1. Introduction
Explicit time-dependent solutions of the Schrödinger equation have been of interest since the advent of quantum mechanics. In 1952, M. Moshinsky showed [1] that the evolution of a particle beam emerging from a shutter displays important details inherent to interference effects. In the same decade, this study was linked to the poles of the S matrix [2] in scattering theory, including irreversible problems e.g. resonances and nuclear decay [3]. Since then, nuclear, atomic and molecular beams have been used to demonstrate diffraction and quantum interference; in our days, matter waves are best realized by Bose-Einstein condensates [4-7].
In this article, we study a closed dynamical system with spatial and temporal irreversibility, using similar techniques but in a modern context: The microscopic test of the second law of thermodynamics. Our closed system consists of an arbitrarily large ensemble of independent particles described by the Schödinger equation under the influence of a momentum-dependent potential localized in some small region - an obstacle. In the classical regime, the so-called Maxwell’s demon [8] falls into this class of problems, whereby the process of discriminating particles by their velocity is called Maxwellian irreversibility. With this in mind, it is possible to study the quantum effects of an interaction potential that depends on the momentum of a wave, i.e. an operator that addresses its Fourier component. Such momentum-dependent interactions have been used extensively to model nuclear, molecular or even relativistic dynamics [9-11]. Thus, we expect that a point-like defect that operates on a particle according to its velocity, should reproduce reasonably well the classical division of fast and slow components of an ensemble into two compartments, plus interference effects that we shall discuss carefully in our treatment.
The mathematical goal of this work is to obtain in closed form the corresponding energy-dependent Green’s function, thus providing an analytical solution to scattering and time-dependent evolution via Laplace inversion. It should be noted that such a function will have broken exchange symmetry (e.g.,
In terms of applications, the limitations of the second-law of thermodynamics have been discussed since the appearance of Maxwell’s demon [14-21], but they have not been emulated dynamically so far in the quantum realm; instead, informational treatments have been used which, in general, are based on measurements and feedback [14-21] in various types of arrangements, such as photonic setups [27, 28], ultracold atoms [29], superconducting quantum circuits [30], QED cavities [31], quantum dots [32] and electronic circuits [33, 34]. In view of this, our approach shall be ideal for applications that involve wave dynamics of a broader type, without wave collapse mechanisms; electromagnetic cavities can be considered if one perturbs the Helmholtz operator with complex terms, as in dielectric media.
In Sec. 2 we introduce a momentum-dependent potential in a classical Hamiltonian that exerts Maxwellian irreversibility on the particles involved, and then we generalize it to the quantum mechanical domain. Subsequently, the formalism of irreversible non-symmetric Green’s functions is introduced, obtaining thereby a new closed expression. Lastly, in Sec. 3 we present a dynamical analysis of symmetric initial conditions.
2. Maxwellian Irreversible Problems with Localized Interactions
We motivate our discussion with a classical problem that consists of an ensemble of particles in an origin-centered container with a length of
where V
box represents a pair of impenetrable barriers at
and
with
where the reference momentum P R will discern which particles will be influenced by the perturbation, depending on their momentum, whereas the δ distribution is a contact interaction depending on particle’s position. In addition, an ultraviolet cutoff P UV can be introduced in case the potential does not operate at high frequencies; for instance, in electromagnetic realizations P UV is necessary, as dielectric materials operate in specific ranges (see Fig. 1).

Figure 1 Activation potential V act(p) defined in (3) with reference momentum P R and ultraviolet cleaving P UV.
To appreciate the effect of this potential, suppose two ensembles ρ
1 and ρ
2, shown in Fig. 2: ρ
1 represents a collection of independent particles in the first quadrant with a right-directed momentum less than P
R
, therefore, when the system evolves, the phase space corresponding to the zone

Figure 2 Phase space evolution of two particle ensembles
Therefore V act(p) effectively separates the particles into two well differentiated zones according to their momentum.
2.1. Quantum mechanical generalization
Now we can omit the presence of V
box in the Hamiltonian operator by introducing Dirichlet boundaries. It is also important to preserve the hermiticity of H by defining properly the irreversible potential. To this end, we first promote
which must be symmetrized in order to get a hermitian potential. First, we note that the
action of
where
The goal is to solve (8) using energy-dependent Green’s functions. We emphasize that the explicit form of the eigenfunctions is not necessary to obtain the spectral decomposition of Green’s functions in closed form. An example of this can be seen in Appendix A, where the Green’s function for a δ(x)-potential is calculated solely using the integrals in the Lippmann-Schwinger equation.
2.2. A Theorem on Non-Symmetric Green’s Functions
It is known that Green’s functions are not always symmetric: the cases in which symmetry under exchange of spatial variables is recovered correspond to real Hamiltonians and time-reversibility. To see this, we present the following elementary theorem:
Theorem.
Let
Proof. In the position-basis,
and
Taking a Hamiltonian such that
or, expressed in the position basis
Note that the left-hand side becomes
after taking out the conjugate transpose. Consequently,
So the advanced and retarded Green’s function, for this case, are related to an index exchange and complex conjugation.
■
Corollary
Proof. ⇒) By taking a Hamiltonian such that H = H * , it follows that
or, expressed in the position basis
Note that the left-hand side can be transformed into
where (10a) was used in the last step. Consequently,
Therefore,
⇐) Suppose that
or, expressed in Dirac notation
Note that the right-hand side can be transformed into
where (10a) was used in the middle step. Consequently,
Therefore,
2.3. Exact form of Green’s function
Now we focus on the analysis of a function G Demon that solves the following problem
where H is any Hamiltonian whose Green’s function G
0 is known and V(x, p) is the Maxwellian interaction in (8). From here on we work with units
Inspired by the solution of a delta perturbation that depends only on position (see Appendix A), the following integral equation is obtained
where the momentum operator
where a complete set of plane waves was introduced in the second line, and as before
is the Fourier transform of the potential; whereas, for the second integral, we have
Substitution of (19) in (18), leads to
In order to get
and recognizing that the integral on the left-hand side is the same as the one in the 2nd term of the right-hand side (with another integration variable), a consistency condition is obtained:
where
Substituting the above equation again into
The latter is not yet a closed formula for G p , for it depends on G p again. Evaluating at x = 0 provides the reduced functional equation
which can be solved for
where
The last equation is substituted into
This is a new formula for our Green’s function. We shall see that (27) can be split into symmetric and antisymmetric contributions, where the latter are associated with irreversibility, as we have seen from the theorem in the previous section.
3. Application to a particle in a container
We now specialize in the case where particles are in a container with Dirichlet boundary conditions. The Green’s function and the energies are well known for the unperturbed problem. Our plan is as follows: first we apply our new Green’s function formula to the case of the container with an irreversible perturbation inside; we give the explicit form of its spectral decomposition, and we analyze its meromorphic structure in order to find its poles. Subsequently, we focus on the evolution problem; therefore, we shall need an appropriate definition of entropy that accounts for the emergence of disorder in energy space. To this end, a basis-dependent entropy is suggested. The next subsection is devoted to the use of Shannon’s entropy in our evolution problem. Afterwards, we address the explicit problem of numerical evolution by means of spectral decomposition and a finite-difference method in space. Efficient numerical evaluations are best achieved if this discretization is restricted to a region where the dispersion relation is well approximated by a parabola. Thus, we include a careful analysis of the dispersion relation in the spatially-discretized version of the problem. Lastly, we construct specific initial conditions that are completely symmetric and analyze how the wave packet propagates inside the container asymmetrically. The reason is obviously the inherent broken spatial symmetry of the problem, i.e., the transformation x → -x, p → -p is not a symmetry of H. Then we add a special definition of temperature (or effective beta parameter). Therewith we can analyze other types of time-evolving distributions. In this part, it is important to show how the entropy can indeed decrease as a function of time, resulting in a special kind of ordering or sorting of fast and slow particles, produced by the non-reversible Maxwellian potential.
We start with a free Green’s function in a container
with
where
3.1. Pole structure analysis
The integrals in (27) can be done in terms of sine-integral functions [31] (Si) using in addition the Fourier’s transform of the potential described in Fig. 1, e.g.
with
Given the behavior of the Si function in
where
and
The pole structure of the whole antisymmetric term can be very intricate. According to the transcendental equation
where it is straightforward to see that
and clearly
still contains the poles of
whose pole produces
3.2. Shannon’s Entropy
The entropy is fundamental in the analysis of asymmetric evolution inasmuch a dynamic effect of apparent ordering is sought. Since the von-Neumann equation without a source does not capture the irreversibility phenomenon, a notion of entropy that describes disorder with respect to a specific basis (e.g. energy) is required. Shannon’s definition of entropy is
where the probabilities
Likewise, the total entropy of the system must be estimated separately, as Shannon’s entropy applies only to the particles inside the container, but does not contemplate the reaction of
with
From this, it follows that
Therefore, when taking into account the work done by the Maxwellian potential, its contribution must compensate for the partial entropy reduction. Indeed, for a container with two separated compartments with volume 𝜐, the change in the particle’s entropy is
where
where
3.3. Spatial and spectral decomposition
We proceed to discretize the Hamiltonian on a lattice. This enable us to treat the problem as a matrix representation on a basis of point-like functions. Since the treatment is equivalent to a tight binding model in a crystal, it is advisable to use the first Brillouin zone to calculate the energies. In this way, the activation potential in (3) will be non-zero in the intervals [-κ
D
, -κ
R
] and [0, κ
R
], resulting in the action zones of the Maxwellian potential according to the reference momentum

Figure 3 The graph below shows the energies in a tight binding model in a
crystal, the coloured zones represent the activation potential in
(3) with reference momentum
Therefore, the Hamiltonian’s action on a plane wave
is no longer restricted to the unperturbed part plus the defect at the origin, instead we have a non-local effect that can be obtained directly by calculating the matrix elements at site n
where
Note that for the central element (the evaluation of the corresponding integrals at
This shows that the potential at its location is finite in a discretized setting, and its intensity
Finally, the wave function
where E
m
are the eigenvalues of the problem,
where
3.4. Dynamical analysis of symmetric initial conditions
The Shannon analogue of a Boltzmann thermal distribution [37] (e.g. as understood by superposition of particle’s number in photonic states) can be used as an appropriate initial condition for box states. The idea is to monitor its evolution and its subsequent ordering. We have:
here n is the site such that
in thermodynamics. This probability overlaps with the components of the eigenvectors
obtaining the wave function at the rescaled time
where
An example of evolution is shown in Fig. 4. The system size is
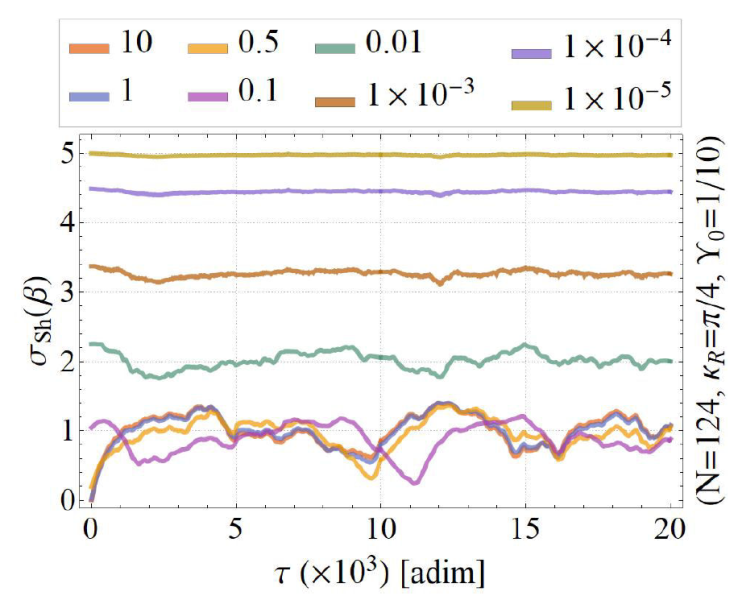
Now we turn our attention to Fig. 5 where we show a comparative plot of entropies by varying the temperature value. It is found that values
In Fig. 6 we can see asymmetries induced as time elapses, with must drastic effects occurring around

Figure 6 Lateral probabilities for the left (L, red line) and right (R,
blue line) part of the container with
In Fig. 7 we display lateral averages of the total energy as functions of time. We find asymmetries in both quantities: initially, the thermal wave is biased to the right. Then, between

Figure 7 Average internal energy for the left (L, red line) and right (R, blue line) part of the container with β = 1/100.

Figure 8 Average Potential Energy. It contributes significantly to the energy balance. The blue line indicates the time average at time τ. Negative values imply work done by the wave on the Maxwellian potential.
In Fig. 9 we show a density plot for (47). The Talbot effect induces a recurrence time in the quasi-temporal coordinate that will force the system to repeat its behaviour. In this case,

Figure 9 Evolution of a Boltzmann distributed wave packet in the interval
Another situation of interest is the uniform distribution, i.e.

Figure 10 Entropy of an isospectral wave packet. A decrease of the entropy
is seen at
4. Conclusions
We have dealt with an irreversible problem in time and space. In particular, we have reported a new asymmetrical Green’s function in closed form pertaining to irreversible systems, not found in standard Refs. [12]. The meromorphic structure of such a solution has been docile enough to allow proper identification of energy ranges where a Maxwellian sorting device is effective. In this way, we have identified how through a Fourier semi-transform the propagator of a real problem will be perturbed due to irreversibility. The symmetry breaking is located in a special term in the Green’s function, whose pole is related with the reference energy at which a demon operates.
Afterwards, a dynamical model for a system that splits an ensemble of waves representing independent particles has been proposed and successfully studied. Our description has been possible via a Hamiltonian operator given by (1) and the irreversible potential in (3). The system works with a reference momentum that decides how two subsystems, with different temperatures, are distributed in each compartment of the cavity. The outcome is reminiscent of the classical demon’s action shown in Fig. 2, as we have confirmed by analyzing wave dynamics in Fig. 9. As an interesting result, the undulatory version of Maxwell’s demon contains -in its evolution- the interference structure of Talbot (quantum) carpets in time domain.
The reader familiarized with Jacobi theta functions may find in our interference patterns the typical trajectories of constant theta value that appear in many other applications, including factorization of natural numbers using Gaussian sums [38]. For long times, a structure of collapses and revivals can be distinguished. This structure displays the expected spatial asymmetries for limited periods of time associated with Talbot lengths. There is no true thermalization (as opposed to the classical process) because of such revivals. A number of quantities and their time behavior support our conclusions in connection with irreversibility and the apparent entropy decrease. Indeed, with Shannon’s definition for a basis-dependent disorder function (in energy states) we observe regimes where ordered configurations are established as time elapses. Also, densities and average energies at each compartment were studied. (Fig. 7 is unmistakable in this respect.) As mentioned in the introduction, our approach to irreversibility can be applied to many types of waves. Particular attention should be paid to electromagnetic cavities, since non-hermitian wave operators with odd space parity emerge naturally in dielectric media. Numerical implementations are left for future work.

















