1. Introducción
El albedo es una variable crítica en el balance energético del planeta, en tanto expresa la proporción de radiación solar de onda corta que es reflejada por sus componentes líquidos, gaseosos y sólidos (equivalente a un valor promedio de ⁓30 % de la radiación solar entrante, i.e., ⁓100 w/m2), respecto de aquella que queda disponible para ser absorbida y emitida (Stephens et al., 2015). Debido a su gran capacidad de reflejar la radiación incidente, la criósfera es un componente modulador del albedo planetario y, por lo tanto, del efecto de invernadero (Donohoe & Battisti, 2011; Dietz et al., 2011; Peña y Olmedo, 2019).
El albedo de un material cualquiera está determinado por la interacción entre las propiedades ópticas de su superficie y las longitudes de onda que conforman a la radiación incidente. Así, en el caso de la nieve y el hielo, el albedo dependerá principalmente de su densidad y espesor, del tamaño y forma de sus cristales e impurezas, de la presencia de aire y agua, y de las condiciones de iluminación imperantes (e.g., ángulo de elevación solar y fracción difusa y directa de la radiación incidente) (Dozier et al., 2009; Dadic et al., 2013; Warren, 2019; He, 2022). Un descenso en el albedo de la nieve y el hielo entonces, implicará que una mayor proporción de radiación quede disponible para ser absorbida, activando su fusión/sublimación, razón por la que dicha variable pasa a ser clave en la estimación del balance de masa glaciar (Ming et al., 2015; Dowson et al., 2020; Shaw et al., 2020; Yue et al., 2020). Si bien el albedo puede ser medido mediante instrumentos de campo (e.g., piranómetros y albedómetros), su derivación a partir de imágenes ópticas satelitales facilita su rastreo sinóptico y periódico, contribuyendo a estimar tasas de pérdida de hielo glaciar a nivel global, a la sazón acrecentadas por el forzamiento radiativo positivo inducido por el cambio climático antropogénico (Dietz et al., 2012; Zemp et al., 2015).
El albedo de glaciares situados en cuencas hidrográficas con presencia de sistemas volcánicos activos específicamente, no sólo es comandado por fluctuaciones climáticas, sino también por actividades volcánico-magmáticas de carácter explosivas. Los fragmentos de roca piroclástica o tefras (2-64 mm) eyectados durante estas, podrán depositarse sobre la superficie glaciar, comportándose como medios opacos que propiciarán la absorción de radiación incidente, alterando el intercambio de energía de la superficie glaciar (Möller et al., 2014; Bonadonna et al., 2015).
La consecuente reducción del albedo glaciar por deposición de tefras, acelerará el deshielo, activándose cada vez que el manto nival invernal se derrita y deje expuesta la capa de tefras, con lo que retroalimentará negativamente el balance de masa glaciar (Conway et al., 1996; Qu et al., 2014; Qian et al., 2015). En Chile concretamente, los eventos de caída de tefras acaecidos en el presente siglo han afectado mayoritariamente a la Zona Glaciológica Sur (36-46° S), donde se localiza parte importante de los sistemas volcánicos activos de alta frecuencia de actividad eruptiva y con presencia de glaciares suprayacentes; marcados por balances de masa negativos, retrocesos frontales y reducciones areales, como consecuencia de la disminución de las precipitaciones y el aumento de la temperatura atmosférica (DGA, 2022; Rivera y Bown, 2013; Rivera et al., 2014; SERNAGEOMIN, 2020).
Existen numerosas evidencias acerca del decremento del albedo de glaciares por deposición masiva de tefras. Así, por ejemplo, Gascoin et al. (2017), observaron diferencias de hasta 0,6 unidades de albedo en verano sobre los casquetes de hielo islandeses, luego de ocurridas las erupciones de los volcanes Eyjafjallajökull y Grímsvötn, en 2010 y 2011, respectivamente. Möller et al. (2014), obtuvieron diferencias de 0,35 unidades de albedo en el casquete glaciar Vatnajökull, luego de ocurrida la erupción del Volcán Grímsvötn, Islandia, en 2004. Young et al. (2014) en tanto, estimaron reducciones del albedo del manto de nieve ártico de hasta 0,85 unidades, derivadas de la erupción del Volcán Redoubt en 2009.
La depresión sostenida que puede experimentar el albedo glaciar ante una disrupción de tipo eruptiva podrá producir efectos negativos en su balance de masa. Así lo constataron Gelman Constantin et al. (2020) tras las erupciones volcánicas de 2011 y 2015 que recubrieron de cenizas la superficie del Glaciar Alerce de Los Andes argentinos, motivando una reducción en el albedo que se tradujo en un alza de 34% en el derretimiento estival de hielo/nieve, equivalente a un descenso de 1,25 m de agua en su balance de masa superficial anual. No obstante, cuando estos depósitos conforman capas suficientemente gruesas y densas, se podrán comportar como un aislante térmico de la superficie de hielo, reduciendo su ablación (Reid et al., 2010; Neild et al., 2013), semejante a como ha sido observado en glaciares enterrados (Nicholson & Benn, 2006) y de roca (Haeberli et al., 2006).
La ocurrencia de un ciclo eruptivo de actividad estromboliana iniciado en febrero de 2015 en el Volcán Villarrica, Chile, fue seguido de un evento de fuente de lava ocurrido el 3 de marzo, que devino en una caída masiva de tefras de composición andesítica-basáltica, siendo considerado el de mayor envergadura dentro de su registro histórico; con una columna eruptiva que alcanzó los 1.500 m y una emisión de ⁓2,4 × 106 m3 de material (Romero et al., 2018). Este evento afectó principalmente a los glaciares Turbio y Pedregoso, situados en los flancos Norte y Este del volcán, en cuya dirección se concentró la caída de tefras.
Dado el contexto climático y el comportamiento de los glaciares de la Zona Glaciológica Sur en los últimos años, se espera que el fenómeno de caída y deposición de tefras derivado de la actividad eruptiva, condicione la estabilidad del albedo sobre los glaciares implicados, que a su vez se ve influenciado por las fases positivas del Modo Anular del Sur y eventos climáticos locales, así como por el forzamiento radiativo de carácter antrópico (Boisier et al., 2018; González-Reyes et al., 2022). En atención a lo anterior, el presente estudio evaluó el comportamiento temporal ex-post del albedo de los glaciares Turbio y Pedregoso del Volcán Villarrica, el que fue derivado desde ocho imágenes satelitales ASTER (Advanced Spaceborn Thermal Emission and Reflection Radiometer), adquiridas antes, durante y después del evento eruptivo de 2015, a fin de contribuir a comprender su magnitud y pervasividad en el tiempo.
2. Metodología
2.1 Área de estudio
El área de estudio (Figura 1) comprende los glaciares Pedregoso (2,85 km²) y Turbio (10,41 km²) del Volcán Villarrica (39,42° S/71,93° O; 2.847 m.s.n.m.); localizado en el rango latitudinal de la Zona Glaciológica Sur (36-46° S), Chile (DGA, 2011; DGA, 2022).

Figura 1 Ubicación del área de estudio; correspondiente a los glaciares Turbio y Pedregoso del Volcán Villarrica, situado en el límite de las regiones de la Araucanía y de los Ríos, Chile.
El Volcán Villarrica forma parte de la Zona Volcánica Sur de Chile, ubicándose entre las cuencas del Río Toltén y Río Valdivia, en el límite de las provincias de Cautín (Región de La Araucanía) y Valdivia (Región de Los Ríos). Se encuentra a 110 km en línea recta de la costa en el Océano Pacífico. Las localidades más cercanas son Villarrica, Pucón, Curarrehue, Lican Ray y Coñaripe, las cuales reciben gran cantidad de visitantes durante los meses de verano. El volcán está comprendido en el área que ocupa el Parque Nacional Villarrica y se encuentra recubierto por una superficie glacial total de 24,79 km² con equivalencia de volumen de agua estimada en 1.079 km³ (DGA, 2022). Sus principales flujos hídricos son los ríos Pedregoso-Turbio, Zanjón Seco-Carmelito, Correntoso, Molco-Huichatio, Voipir, Chaillupén y Seco-Llancahue.
El volcán, originado en el Pleistoceno medio y el Holoceno, es el resultado de una sucesión de capas de lavas basálticas a andesítico-basálticas, lahares y flujos piroclásticos asociados a eventos eruptivos efusivos y explosivos, propios de un estratovolcán, contando a su haber con un registro histórico de eventos eruptivos en el rango de efusivos a moderadamente explosivos (0-3 IEV, índice de explosividad volcánica, Newhall & Self, 1982). Su área basal es de 490 km², desde donde es reconocible su cono volcánico, que remata en un cráter abierto de 200 m de diámetro, el cual aloja un lago de lava cuya profundidad respecto del borde del cráter varía de 100 a 150 m (Lara y Clavero, 2004; Moreno y Clavero, 2006).
El clima en que se inscribe el área de estudio se caracteriza por veranos secos y frescos e inviernos fríos o templados, con un registro de temperatura anual que oscila en el rango de -3 y 25 °C y abundantes precipitaciones distribuidas entre abril y septiembre que llegan a alcanzar un monto anual de 2.787 mm, adscribiendo a un tipo de clima templado oceánico de costa occidental (‘Csb’ y ‘Cfb’, respectivamente, según la clasificación climática Köppen-Geiger). La dirección predominante de las masas de aire a través del año es oeste, haciéndose más fuerte y constante en invierno (junio-agosto) debido a la presencia de sistemas de baja presión y frentes fríos que se mueven desde el océano Pacífico hacia el continente (westerlies) (Sarricolea et al., 2017; Álvarez-Garretón et al., 2018). De acuerdo con la única medición in situ, la línea de equilibrio altitudinal (ELA, Equilibrium Line Altitude) del área de estudio, se ubica a ⁓2.000 m.s.n.m., altitud sobre la cual se ha estimado en 4.930 mm el monto de precipitación media anual, equivalente a 10 m de acumulación media de nieve durante otoño e invierno (Rivera et al., 2006; Brock et al., 2007).
2.2 Selección y procesamiento de imágenes satelitales
Fueron descargadas desde el sitio web del Sistema de Datos de Observación Terrestre de la NASA (National Aeronautics and Space Administration, https://search.earthdata.nasa.gov/search), ocho imágenes satelitales ASTER, L1B (producto radiométricamente calibrado y geométricamente corregistrado), libres de nubosidad, adquiridas entre 2009 y 2022, en fechas estivales de casi aniversario (entre enero y marzo) correspondientes a las tres fases del evento eruptivo en cuestión: antes (ex-ante), durante (ex-dure) y después (ex-post) (Tabla 1).
Tabla 1 Fecha de adquisición de las imágenes ASTER empleadas
| Temporalidad ante el evento eruptivo | Temporalidad ante el evento eruptivo |
| Ex-ante | Febrero 12, 2009 |
| Febrero 26, 2011 | |
| Enero 14, 2013 | |
| Ex-dure | Marzo 9, 2015 |
| Ex-post | Enero 23, 2016 |
| Enero 28, 2018 | |
| Febrero 19, 2020 | |
| Febrero 17, 2022 |
Las imágenes ASTER se componen de 14 bandas situadas en el espectro reflejado y emitido (0,52 - 11,65 µm); cuatro en el visible e infrarrojo cercano (15 m de resolución espacial), seis en el infrarrojo de onda corta (30 m de resolución espacial), y cinco en el infrarrojo térmico (90 m de resolución espacial), siendo estas últimas innecesarias para los propósitos del presente estudio, así como la banda 3B, útil para fines de modelado estereoscópico del terreno retratado (Tabla 2).
Tabla 2 Principales características técnicas de las imágenes ASTER empleadas
| Subsistema | Resolución espacial (m) | # banda | Longitud de onda central (μm) | Ancho de banda (μm) |
| VNIR (Visible and Near-infrared) | 15 | 1 | 0,56 | 0,08 |
| 2 | 0,66 | 0,06 | ||
| 3N | 0,82 | 0,08 | ||
| 3B | 0,82 | 0,08 | ||
| SWIR (Short-wave Infrared) | 30 | 4 | 1,65 | 0,10 |
| 5 | 2,17 | 0,04 | ||
| 6 | 2,21 | 0,04 | ||
| 7 | 2,52 | 0,05 | ||
| 8 | 2,33 | 0,07 | ||
| 9 | 2,4 | 0,07 | ||
| TIR (Thermal Infrared) | 90 | 10 | 8,3 | 0,35 |
| 11 | 8,65 | 0,35 | ||
| 12 | 9,25 | 0,35 | ||
| 13 | 10,60 | 0,70 | ||
| 14 | 11,30 | 0,70 |
Las imágenes fueron ortorrectificadas en ENVI (Environment for Visualizing Images) 5.3© (Exelis Visual Information Solutions Inc., Boulder, USA) mediante el uso de los coeficientes racionales de polinomio (RPC, rational polynomial coefficients) contenidos en sus metadatos y un DEM (Digital Elevation Model) ALOS (Advanced Land Observing Satellite) de 12,5 m de píxel. En el proceso, estas fueron remuestreadas espacialmente al menor tamaño de píxel de ASTER (15 m), usando el método de vecino más cercano, para luego proyectarlas al sistema de coordenadas UTM (Universal Transversal de Mercator), elipsoide WGS84 (World Geodetic System 1984). Posteriormente, los valores de radiancia absoluta de sus bandas fueron convertidos a reflectancias superficiales mediante el corrector atmosférico FLAASH (Fast Line-of-Sight Atmospheric Analysis of Spectral Hypercubes), disponible en el mismo procesador de imágenes, el cual, basándose en el modelo de transferencia radiativa MODTRAN (Moderate Resolution Atmospheric Transmission, Spectral Sciences, Inc., Burlington, USA), modela el flujo radiante descendente (iluminancia), a la vez de suprimir la radiación de ruta añadida al flujo radiante ascendente (luminancia).
2.3 Delimitación del área de estudio y clasificación de tefras
El área impactada por la caída y deposición de tefras en ambos glaciares estudiados, fue delimitada en la forma de un polígono, interpretado visualmente sobre una composición en falso color de la imagen ASTER adquirida inmediatamente después de la ocurrencia del evento eruptivo (3 de marzo de 2015), procurando excluir píxeles mezclados de borde. Posteriormente, se efectuaron sucesivas clasificaciones espectrales no supervisadas de dicha imagen, empleando el algoritmo ISOData (Iterative Self-Organizing Data Analysis Technique), a fin de acotar dos clases de grado de cobertura relativa de tefras: mayor y menor, según resultaban apreciables en la imagen compuesta.
2.4 Delimitación de la Línea de Equilibrio Altitudinal
El Inventario Público de Glaciares 2022 de la Dirección General de Aguas (DGA, 2022), permitió extraer los límites vectoriales de los dos glaciares de interés. Posteriormente, la ELA sugerida a 2.000 m.s.n.m. para el área de estudio (Rivera et al., 2006; Brock et al., 2007), permitió discriminar sobre el DEM ALOS, la zona de acumulación (> ELA) de aquella de ablación (< ELA) en cada glaciar de interés.
2.5 Cálculo de albedo
Debido al fallo del instrumento SWIR (shortwave infrared, infrarrojo de onda corta) del sensor ASTER a partir de 2008, el albedo fue calculado únicamente a partir de las bandas situadas en la dimensión espectral visible de ASTER, siguiendo la fórmula propuesta por Liang (2000):
Donde α1 y α2 son las reflectividades de las bandas de las regiones verde y rojo del espectro visible, respectivamente, ponderadas desde su modelado empírico; el que demostró arrojar resultados similares a aquellos que incluyeron bandas ópticas de los infrarrojos reflejados (ver detalles en Liang, 2000).
Una vez convertidas las reflectancias de las bandas del espectro visible a albedo de banda ancha, sus valores adimensionales fueron normalizados con el propósito de garantizar su constreñimiento a una escala estandarizada, aplicando la siguiente fórmula:
Posteriormente, sobre cada glaciar fueron enmascarados sus valores de albedo de acuerdo con los dos rangos de altitud y las dos clases de cobertura de tefras previamente referidas, a partir de los cuales se obtuvieron sus estadísticos descriptivos. Por último, para cada glaciar fueron creadas imágenes de albedo promedio de las fechas ex-ante, a las cuales se les restó cada imagen de albedo ex-post, a fin de dar cuenta acerca de la magnitud de cambio temporal relativo de la variable.
3. Resultados
3.1 Comportamiento temporal del albedo del Glaciar Turbio
La Figura 2 revela que la zona de acumulación del Glaciar Turbio exhibió valores de albedo promedio notoriamente más elevados que los de su zona de ablación, a lo largo del período de interés. Durante el evento eruptivo (2015), el albedo promedio descendió más notoriamente en su zona de ablación (0,08). Con posterioridad al evento, la zona de acumulación del glaciar mostró una notoria recuperación del albedo promedio, llegando incluso a superar los valores ex-ante, para luego, en 2022, decrecer más acentuadamente. En la zona de ablación en tanto, si bien el albedo promedio repuntó tras un año de ocurrido el evento (2016), posteriormente descendió sostenidamente hasta 2022, exhibiendo valores menores que aquellos ex-ante.

Figura 2 Promedio y desviación estándar del albedo del Glaciar Turbio, para sus zonas de ablación y acumulación, antes (ex-ante), durante (ex-dure) y después (ex-post) del evento eruptivo.
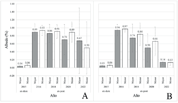
En cuanto al comportamiento temporal del albedo promedio del Glaciar Turbio según clase de grado de cobertura relativa de tefras (mayor y menor), la Figura 3A permite apreciar que ambas clases presentaron valores similares en su zona de acumulación, durante las fechas de interés. Los valores comenzaron por descender notoriamente, como cabría esperar, en 2015, para repuntar luego en 2016, fecha a partir de la cual mostraron una tendencia decreciente, que se agudizó en 2022. Para las clases de cobertura de tefras situadas en la zona de ablación del glaciar (Figura 3B) en tanto, si bien el albedo promedio mostró un patrón temporal similar al arrojado por la zona de acumulación, estos se constriñeron dentro de un rango marcadamente más bajo y con diferencias entre clases algo más apreciables.
3.2 Comportamiento temporal del albedo del Glaciar Pedregoso
La Figura 4 permite observar que los valores de albedo promedio de la zona de acumulación del Glaciar Pedregoso no fueron mucho más altos que los de su zona de ablación, a lo largo del período de interés. Durante el evento eruptivo, el albedo promedio descendió abruptamente, tanto en la zona de ablación (0,06) como de acumulación (0,11). Con posterioridad al evento (2016), si bien los valores exhibieron un alza, estos tendieron a decrecer hacia 2022, especialmente en la zona de ablación del glaciar.

Figura 4 Promedio y desviación estándar del albedo del Glaciar Pedregoso, para sus zonas de ablación y acumulación, antes (ex-ante), durante (ex-dure) y después (ex-post) del evento eruptivo.
El comportamiento temporal del albedo promedio de las clases de coberturas de tefras del Glaciar Pedregoso (Figura 5), mostró un patrón similar al arrojado por el Glaciar Turbio. Sin embargo, en este caso los valores de su zona de ablación (Figura 5B), fueron bastante más similares a los de su zona de acumulación (Figura 5A).
3.3 Cambio temporal del albedo de los glaciares Turbio y Pedregoso
La Tabla 3 da cuenta de la magnitud de cambio temporal entre el albedo previo al evento eruptivo (resultante de promediar sus valores en 2009, 2011 y 2013) y aquel correspondiente a la fecha más reciente (2022), para las zonas de ablación y acumulación de ambos glaciares estudiados. Cabe notar que el albedo del Glaciar Turbio mostró una diminución menos acentuada que el del Glaciar Pedregoso, particularmente en su zona de ablación (0,13).
Tabla 3 Promedio(X-) y desviación estándar (σ) de la diferencia entre el albedo previo al evento eruptivo (resultante de promediar sus valores en 2009, 2011 y 2013) y aquel más reciente (2022), para las zonas de ablación y acumulación de los glaciares Turbio y Pedregoso
| Glaciar | Zona | X- | s |
| Turbio | Ablación | 0,13 | 0,25 |
| Acumulación | 0,23 | 0,52 | |
| Pedregoso | Ablación | 0,50 | 0,16 |
| Acumulación | 0,30 | 0,48 |
La Figura 6 muestra la secuencia de diferencias temporales de albedo para el Glaciar Turbio, resultantes de restar el valor promedio de las fechas ex-ante (2009, 2011 y 2013) al valor de cada una de las fechas ex-post. En términos generales, el descenso de albedo fue más notorio en 2016 (Figura 6A) que en las fechas siguientes de 2018 y 2020 (Figuras 6B y 6C, respectivamente), en las que el decremento de albedo más alto se concentró en torno a los cordones longitudinales de tefras depositadas en la zona de ablación del glaciar. En 2022, la disminución de albedo se acentuó más que en ninguna de las fechas ex-post precedentes, particularmente en torno a la zona de acumulación del glaciar (Figura 6D). Lo anterior, se condice con los promedios de albedo observados previamente para dicho glaciar y sus zonas (véase Figura 2).

Figura 6 Mapeo de las diferencias entre el albedo del Glaciar Turbio previo al evento eruptivo (resultante de promediar sus valores en 2009, 2011 y 2013) y el de cada una de sus fechas posteriores: 2016 (A), 2018 (B), 2020 (C) y 2022 (D).
La secuencia de diferencias temporales de albedo para el Glaciar Pedregoso (Figura 7), resultantes de restar el valor promedio de las fechas ex-ante (2009, 2011 y 2013) al valor de cada una de las fechas ex-post, muestra que el albedo de 2016 (Figura 7A), 2018 (Figura 7B) y 2020 (Figura 7C), se mantuvo bastante estable, observándose decrementos más marcados focalizados en la zona de ablación del glaciar. En 2022 en cambio, la disminución de albedo se agudizó claramente, exceptuando secciones cercanas al cráter del volcán (Figura 7D), observaciones que se condicen con los promedios de albedo observados previamente para dicho glaciar y sus zonas (véase Figura 4).
4. Discusión
Si bien el albedo de ambos glaciares estudiados reestablece sus valores ex-ante tras un año de ocurrido el evento eruptivo de 2015, su comportamiento a lo largo de las restantes fechas ex-post (2017-2022) es tendiente a la baja, especialmente en sus zonas de ablación. Dicho hallazgo es atribuible a la exposición progresiva en el tiempo de las tefras depositadas en el sustrato de hielo, debido a la fusión/sublimación cíclica que experimenta durante el estío la capa nival que logra recubrirlas durante el resto del año, intensificando así su improntación en el sustrato de hielo, en respuesta a su relativamente alta absorción y subsecuente emisión de radiación incidente, propiciando el derretimiento de la nieve/hielo que las circunda, proceso que se acentuará particularmente bajo la ELA. Por otro lado, de acuerdo con He (2022), una amalgama de nieve y sedimentos tanto microscópicos como macroscópicos, redundará en un incremento en la regularidad y tamaño de los granos que componen al sustrato nival, favoreciendo esto la penetración de radiación y, por ende, su disponibilidad para ser absorbida, reduciendo así el albedo de dicho sustrato e incrementando su ablación.
Es presumible que la acentuación del decremento de albebo ex-post de 2022 observado en ambos glaciares, estribe en la inusitada exposición superficial que alcanzó la cobertura de tefras ese verano, producto del relativamente escaso monto de nieve que las recubrió en el invierno precedente. En efecto, 2021 fue consignado como el cuarto año más seco del que se tenga registro en Chile, alcanzando temperaturas promedio anuales de entre 0,5 y 0,76° C más elevadas que los registros históricos promedio. En la zona austral específicamente, esto trasuntó en temperaturas máximas que llegaron a superar en 3° C los registros históricos promedio, así como déficit de precipitaciones que fluctuaron entre 40 y 70% (Centro de Ciencia del Clima y la Resiliencia, 2021; DMC, 2022).
El menor albedo que registra la zona de ablación de ambos glaciares estudiados a lo largo de las fechas de interés, guarda relación con las temperaturas relativamente menores que prevalecen a esas altitudes (< 2000 m.s.n.m.), propiciando una mayor fusión de nieve y hielo y subsecuentemente, su recristalización en granos de mayor tamaño y por lo tanto, intrínsecamente menos reflectivos (Dozier et al., 2009; He, 2022). Así, se activará el proceso referido al inicio de este acápite, maximizado por la mayor susceptibilidad de esta zona de recibir directamente las tefras eyectadas durante el evento explosivo o de acumularlas a la postre, por mero efecto de su deposición gravitacional aguas abajo. Tal decremento de albedo se ve más acentuado en el Glaciar Turbio, en el cual predomina una cobertura muy continua de tefras, trasladadas por los vientos predominantes del oeste, concentrándose más claramente en su zona de ablación. Cabe señalar que las diferencias en el albedo de ambas zonas de cada glaciar, se verán influidas por las variaciones que pudiera experimentar la posición altitudinal de la ELA producto de variaciones climáticas recientes. A este respeto, mediciones efectuadas por Howcutt et al. (2023) a partir del modelado SIG (sistema de información geográfica) de hipsometría glaciar, sugieren que la ELA actual del área de estudio podría situarse 172 m por sobre de aquella medida originalmente en terreno por Rivera et al. (2006).
Contrario a lo que cabría esperar, el albedo ex-post de la clase de mayor grado de cobertura de tefras sobrepasa a aquella de menor cobertura en la zona de ablación del Glaciar Turbio, especialmente en las fechas 2016 y 2018. Dicha zona conforma una topografía rugosa producto de la copiosa acumulación de tefras, distribuidas en el sentido del flujo de movimiento del glaciar y en grietas transversales exhibidas por su superficie. Esto, sumado a la permanente insolación norte, fomentará una ablación diferenciada del hielo superficial, que acentuará las depresiones y canales que guían el flujo del agua de deshielo y, a su vez, el movimiento gravitacional de las tefras (Cuffey & Paterson, 2010; Dadic et al., 2013). Seguidamente, el relativamente bajo ángulo de elevación imperante al momento de adquisición de las imágenes ASTER (condicionado por la hora de paso matinal de este tipo de satélite heliosíncrono, en conjunción con la latitud moderadamente alta del área de estudio), hará que muchas de sus superficies con exposición sur aparezcan sombreadas; donde precisamente predomina la clase más baja de abundancia de tefras (teóricamente más reflectiva). Como resultado, el albedo de esas superficies dependerá fuertemente de la irradiancia indirecta o difusa; ostensiblemente menor que aquella directa que prevalece en la superficie solana, arrojando, por lo tanto, una medición de reflectancia superficial (albedo) más atenuada en la imagen, efecto que debería morigerarse hacia mediodía (Liang, 2004; Liang et al., 2012).
Por un lado la permanencia de tefras en la superficie de los glaciares estudiados podría estimular derretimientos más prematuros de la nieve estacional que los recubren, como ha sido reportado en casos de estudio similares (Qu et al., 2014), cuestión que en Chile central, afectado en las últimas décadas por una megasequía cuyo límite geográfico sur abarca al área de estudio, pudiera alterar el ciclo hidrológico local y reforzar la ocurrencia de veranos más secos (Barnett et al., 2005; Garreaud et al., 2015, 2017). Por otro, hay evidencias que apuntan a que la exposición y grosor de estos depósitos se expresarían más bien en una disminución de la ablación del hielo subyacente, produciendo un efecto positivo en los balances de masa glaciar, concordando en este punto con lo referido en otros casos de estudio similares (Nield et al., 2013).
A este respecto, para el Glaciar Villarrica, aledaño a los aquí estudiados, Brock et al. (2007) encontraron que las tefras gruesas y altamente porosas (con un grosor < 5 mm), redujeron significativamente la ablación en comparación con nieve limpia. Mientras que los derretimientos totales modelados en superficies de hielo libres de tefras fueron de 4,95 y 3,96 m.a.e. (metros de agua equivalente) entre enero y marzo de 2004 y 2005, respectivamente, estos descendieron a ⁓0,5 m.a.e. para hielo cubierto por una capa de tefras > 0,1 m. Los autores, además, encontraron que, si bien las impurezas de tefra transportadas por el viento redujeron el albedo de la nieve, estas incrementaron su derretimiento sólo en aproximadamente 0,28 m.a.e. en el mismo período. En general, el impacto neto de la tefra supraglacial del área de estudio fue positivo, ya que las deposiciones de capas gruesas de tefras probablemente redujeron la ablación anual en varios m.a.e. Este hallazgo es confirmado posteriormente por Rivera et al. (2014)) en varios glaciares del Volcán Villarrica, incluido el Turbio, quienes, aunque consignaron una reducción de área glaciar y un adelgazamiento del hielo producto de la deposición de tefras, encontraron que en las zonas de ablación estas ejercieron un efecto de aislamiento térmico.
5. Conclusiones
Este estudio evaluó los efectos a corto plazo producidos por la deposición de tefras en el albedo glaciar del Volcán Villarrica, como consecuencia de la ocurrencia del mayor evento de fuente de lava del que se tenga registro histórico en el área y que afectara específicamente a sus glaciares Turbio y Pedregoso. Comprender la dinámica ex-post de esta variable, en términos de su magnitud y pervasividad en el tiempo es un tópico relativamente poco explorado para la Zona Glaciológica Sur, caracterizada por la presencia de glaciares en torno a sistemas volcánicos activos que suman presión al forzamiento radiativo de carácter antrópico. Aunque es evidente el efecto producido por la deposición de tefras en el albedo de los glaciares estudiados, las consecuencias que su magnitud de cambio pudiera comportar en los balances de masa, deben ser exploradas a la luz de los hallazgos que han sido consignados en áreas aledañas. En esta línea, la incidencia de otras variables en la ablación debería ser considerada, como aquellas climáticas, e.g., precipitaciones y temperaturas, y volcánicas, tanto endógenas como exógenas.
Futuros trabajos sobre esta u otras áreas de estudio, podrían incrementar la frecuencia temporal de los datos aquí medidos, incorporando fechas provenientes del resto de las estaciones del año, a fin de construir una trayectoria temporal más continua del albedo ex-post, capaz de dar cuenta de sus fluctuaciones cíclicas intranuales. Por otra parte, la contrastación del albedo remotamente teledetectado con datos in situ contribuiría a validar la precisión y concluir empíricamente sobre la confiabilidad del método aquí empleado. Por último, esta metodología podría ser replicada en otros rangos geográficos de áreas englaciadas sujetas a presión antropogénica y eventos eruptivos como los aquí imperantes, permitiendo así establecer análisis comparados que enriquezcan el estado del arte que existe sobre esta materia en el país.










nova página do texto(beta)






