Introducción
La sepsis es un síndrome que se caracteriza por alteraciones fisiológicas, patológicas y bioquímicas. De acuerdo con el último consenso, se define como una disfunción orgánica potencialmente fatal, causada por una respuesta desregulada del cuerpo a una infección, capaz de poner en peligro la vida. En cuanto a su diagnóstico, es imperativo la presencia de una infección documentada o sospechada y disfunción orgánica aguda o exacerbación de insuficiencia orgánica crónica.1 La forma más grave de la sepsis es, sin lugar a dudas, el choque séptico, definido como un estado de insuficiencia circulatoria aguda presente en un subconjunto de pacientes con sepsis, en donde las anormalidades subyacentes del metabolismo celular y las manifestaciones circulatorias son lo suficientemente graves como para incrementar la mortalidad, siendo imprescindible la presencia de sepsis, lactato sérico > 2 mmol/L, así como hipotensión persistente que requiere del tratamiento con vasopresores para mantener la presión arterial media (PAM) de 65 mmHg o más, a pesar de conferir una adecuada reanimación con líquidos.2
Recordemos que la sepsis es considerada como la patología más frecuente de ingreso a la Unidad de Cuidados Intensivos (UCI). Condiciona aproximadamente 2% del total de ingresos hospitalarios, mientras que el choque séptico representa 10% de los ingresos a la UCI. Afecta a más de 30 millones de personas cada año, estimándose una incidencia de 437 casos por cada 100,000 personas al año.3 El choque séptico es considerado el tipo de choque más frecuente, con tasa de mortalidad de aproximadamente 15 a 56% entre 30 y 90 días.4,5 La mortalidad combinada se reporta en 37.3% (IC95% 28.6-46.0%, p < 0.001), en países orientales se presenta en aproximadamente el 10-44%.6
En cuanto a la disfunción miocárdica asociada a sepsis, es una de las alteraciones orgánicas más complejas de caracterizar, en parte debido a su presentación, evolución y heterogeneidad; cuando coexiste disfunción diastólica se presenta incapacidad del llenado ventricular que condiciona disminución del volumen sistólico secundario a relajación ventricular alterada, fuerza de retracción disminuida, rigidez de la cámara cardiaca, lo que determina mayor riesgo de mortalidad en comparación con los pacientes con función cardiaca preservada, por lo que podríamos considerarla como el asesino silencioso; sin embargo, es preciso mencionar que no todos los pacientes con disfunción diastólica presentan cardiopatía estructural.7,8
Existen varios métodos, tanto invasivos como no invasivos, para la medición del incremento de las presiones de llenado del ventrículo izquierdo (VI). Se ha realizado mediante análisis ecocardiográficos volumétricos y Doppler, incluidas la medición de la velocidad del flujo Transmitral, la medición de la velocidad mediante Doppler tisular, la determinación de las velocidades del Doppler de onda continua, el tamaño y volumen de la aurícula izquierda. Estas medidas tienen el potencial de pronosticar resultados adversos en múltiples patologías cardiovasculares, aunque este enfoque multiparamétrico no es confiable en el caso de datos faltantes o contrastantes.9,10
La fracción de eyección del ventrículo izquierdo (FEVI) es una medición ecocardiográfica común, la cual se encarga de evaluar la función sistólica global del ventrículo izquierdo; sin embargo, en el periodo temprano de la disfunción cardiaca inducida por sepsis, la FEVI a menudo no es susceptible a la ligera lesión del movimiento del miocardio, por lo tanto, no es un índice ideal para detectar cambios tempranos y sutiles en la función miocárdica.11,12
La aurícula izquierda (AI) es una estructura compleja y dinámica que influye significativamente en el rendimiento cardiovascular al coordinarse activamente con el ventrículo izquierdo (VI) durante el ciclo cardiaco. Ésta asume diferentes funciones, como reservorio durante la sístole ventricular, como conducto durante la diástole ventricular temprana y como bomba que aumenta el llenado ventricular durante la diástole ventricular tardía.13
La deformación (strain) se describió por primera vez en 2004 como un método no Doppler independiente del ángulo, para evaluar el rendimiento del miocardio y así permitir la medición de los diferentes componentes de la deformación miocárdica, proporcionando información que no está disponible con ninguno de los parámetros ecocardiográficos utilizados actualmente.14 El ecocardiograma transtorácico (ETT) es la piedra angular para la valoración tanto morfológica como funcional de la aurícula izquierda; permite el reconocimiento temprano de la lesión cardiaca con un impacto en el manejo clínico, reduciendo la disfunción orgánica y la mortalidad.15
La cuantificación del tamaño y la función de las cámaras cardiacas es esencial en la ecocardiografía. La función de las cámaras se mide mediante la deformación (tensión) del miocardio, lo que favorece a un valioso conocimiento de diagnóstico y pronóstico, siendo ésta más confiable que las mediciones tradicionales, como la fracción de eyección.16 Hoy en día no existe una medida ecocardiográfica perfecta para evaluar la disfunción diastólica, por lo que se ha sugerido realizar la evaluación de la función de la aurícula izquierda a través de ecocardiografía transtorácica (ETT) y speckle tracking (STE) mediante la determinación del strain de la aurícula izquierda (SAI)17 para la caracterización y cuantificación de la deformación de la pared auricular durante el ciclo cardiaco la cual refleja su contribución al rendimiento cardiovascular, basándose en la generación de «speckles» (ecos ultrasónicos) que representan distintas extensiones del miocardio; este se obtiene de la captura y rastreo de puntos cuadro por cuadro a lo largo del ciclo cardiaco, mediante ecocardiografía bidimensional y tridimensional, generando vectores de movimiento y curvas de deformación (strain y strain rate) evalúa la deformación miocárdica en varias fases del ciclo, describiéndose una reproducibilidad de 90%, gracias al avance en los softwares de análisis y a la estandarización en la obtención de imágenes para su medición. Los valores de strain de la aurícula comienzan a cambiar inclusive antes de que el volumen de la aurícula izquierda comience a incrementar.18
El strain se calcula analizando a la tensión como propiedad física, se obtiene como resultado de una fuerza aplicada de forma intrínseca al corazón, basándose principalmente en la contracción del miocardio en asociación a cada latido cardiaco. Para lograr comprender el origen del strain, definiremos el concepto de tensión lagrangiana como la diferencia que existe entre la longitud del miocardio al inicio (L0, generalmente al final de la diástole) y la longitud del miocardio al final de un intervalo de tiempo (L, generalmente al final de la sístole) dividido por L0:
Langrange = (L-L0) / L0
Básicamente, la deformación se define como la diferencia entre la longitud final de cada segmento graficada con su longitud en reposo al final de la diástole.19,20
Por lo tanto, nos centraremos en la evaluación de: la relajación miocárdica y la rigidez de la cámara. Cabe mencionar que la función diastólica del VI está modulada por la interdependencia que existe entre el VI y el VD, la función de la AI, la influencia del pericardio en el llenado del VI, las propiedades de la sístole del VI, la disincronía sistólica y diastólica del VI, el flujo sanguíneo coronario y la perfusión tisular.21,22
La STE puede determinar la función y los volúmenes de la AI en las diversas fases y con ello puede evaluar la función auricular favoreciendo el entendimiento fisiológico de la hemodinamia,23 y así determinar la armonía que existe entre el llenado del VI a través de la interacción del reservorio, conducción y fuerza contráctil, se compone de tres fases: reservorio, conducto y bomba.24
Fase de reservorio: comienza al final de la diástole ventricular (cierre de la válvula mitral) y continúa hasta la apertura de la válvula mitral. En esta fase se produce el llenado de la AI por la sangre procedente del retorno venoso pulmonar, durante la sístole ventricular, manifiesta la contracción isovolumétrica del VI, su eyección, así como la relajación isovolumétrica, la cual depende principalmente de la función sistólica del VI, el tamaño de la aurícula y su compliancia, así como de la función sistólica de la AI, generando una deflexión de deformación positiva en la curva del strain. Esta fase está influenciada por el movimiento del anillo mitral hacia el ápex y por la contractilidad del VI, por lo que el strain reservorio no sólo refleja la capacidad compliante de la AI, sino también la de contractilidad del VI.
Fase de conducto: ocurre desde el momento de la apertura de la válvula mitral a través de la diástasis hasta el inicio de la contracción de la AI en pacientes en ritmo sinusal. En pacientes con fibrilación auricular (FA), continúa hasta el final de la diástole ventricular (cierre de la válvula mitral). Se produce el vaciado pasivo de la AI, se relaciona con la fase temprana del llenado ventricular y es acorde a la compliancia auricular y la relajación del VI, produciendo una disminución del SAI hasta alcanzar una meseta correspondiente a la primera deflexión negativa en la curva del strain, representa la diástasis auricular. La deformación del reservorio y de la bomba de la AI está determinada tanto por la función sistólica como por la diastólica del VI.
Fase de contracción: ocurre desde el inicio de la contracción de la AI hasta el final de la diástole ventricular (cierre de la válvula mitral) en pacientes con ritmo sinusal; depende principalmente del retorno venoso pulmonar (precarga auricular), de la presión ventricular de la telediástole (postcarga auricular), así como de la reserva contráctil de la AI y se correlaciona con la función diastólica, la cual disminuye linealmente a medida que progresa la disfunción diastólica, se caracteriza por el acortamiento de la pared auricular generando una segunda deflexión negativa hasta el valor basal en la curva de deformación auricular izquierda, refleja la función de bomba de refuerzo.25-28
El SAI es considerado más una evaluación de la función como bomba muscular, para ello es primordial la deformación del tejido auricular y el sentido en el que se realiza,27 por lo que este se obtiene en la ventana apical con proyección de cuatro, tres y dos cámaras, se realiza el trazo en el borde endocárdico, excluyendo la entrada de las venas pulmonares, teniendo como ventaja que las tres fases del ciclo auricular quedan representadas perfectamente; sin embargo, dicha representación dependerá de la parte del trazo electrocardiográfico que se tome como referencia, por lo que el orden de las fases cambiará (Figura 1).28

Figura 1: Monitoreo hemodinámico multimodal sincronía de la mecánica ventricular de la aurícula izquierda en fase de reservorio.
El análisis de SAI por STE es un método novedoso para evaluar las fases fisiológicas de la AI. La disfunción de la AI, evaluada principalmente a través de la fase de reservorio (SAIr) permite estimar la función de la AI y su relación con la función ventricular izquierda; sin embargo, hay que considerar que puede ser un método complejo y multiparamétrico. SAIr refleja la distensibilidad auricular independientemente del ritmo cardiaco y la mecánica auricular izquierda; está influenciada no sólo por la rigidez de la AI, sino también por la distensibilidad del VI durante el llenado ventricular y por la contracción del VI a través del descenso de la base cardiaca durante la sístole ventricular. Sin embargo, la contracción longitudinal del VI es un componente que influye en gran medida en la función del reservorio de la AI.18
El punto de referencia, también denominado cero del SAI, puede establecerse en dos puntos validados: bien al inicio del complejo QRS o en el inicio de la onda P. Si se elige el primero como referencia, la primera curva positiva representa la función de reservorio, la cual es la de mayor tamaño, tomándose como sinónimo de tensión global de la aurícula izquierda y las curvas en diástole temprana y diástole tardía corresponden a la función del conducto y la contractilidad de forma cuantitativa; el valor de la fase del conducto se obtiene a través de la resta de los valores de la fase de depósito y de la fase de la bomba. Si se selecciona como referencia el inicio de la onda P, la máxima curva negativa representa la función contráctil y la máxima curva positiva representa la función del conducto y su suma representa la función del reservorio. Hasta el momento se ha demostrado que se obtienen valores similares al tomar cualquiera de los dos puntos de referencia.27-29 Algunos investigadores sugieren que la sincronización puede realizarse en la onda P para pacientes en ritmo sinusal y en el complejo QRS para aquellos con fibrilación auricular (FA).24-30
Las lagunas de conocimiento en la aplicación del SAI en pacientes críticos siguen siendo significativas y, hasta la fecha, el significado fisiopatológico del SAI en pacientes críticos continúa siendo desconocido.29
La STE 3D se está convirtiendo rápidamente en una técnica esencial para evaluar de manera precisa y completa la función miocárdica debido a la superación de las limitaciones de la STE 2D al analizar el movimiento de la pared regional de todo el VI.30,31
Aunque la STE 3D es teóricamente superior a la STE 2D para cuantificar la deformación del VI, necesita validación clínica. Hasta ahora, no se ha establecido el valor de aplicación de la STE 3D en pacientes con sepsis o choque séptico.32
El valor pronóstico de la disfunción miocárdica inducida por sepsis detectada por STE sugieren que los valores disminuidos de Global Longitudinal Strain (GLS) se correlacionaron directamente con una mayor mortalidad en comparación con la FEVI anormal, por lo que es primordial establecer si existe daño miocárdico con disfunción diastólica del VI mediante SAI , para contrarrestar las implicaciones clínicas , priorizar el control de la disfunción miocárdica y la instauración de estrategias cardioprotectores apropiadas en las primeras etapas del curso de la enfermedad y de esta manera impactar en los desenlaces del choque séptico refractario como lo es la morbimortalidad.31,32
Material y métodos
Tipo de estudio: retrospectivo, descriptivo, observacional y longitudinal.
Universo: pacientes que se encuentran hospitalizados con diagnóstico de choque séptico según el tercer consenso internacional (SEPSIS 3) y que están a cargo del Servicio de Terapia Intensiva en el Hospital Regional ISSSTE de Veracruz.
Diseño de estudio: muestreo no probabilístico por conveniencia, no aleatorizado. Para el cálculo de tamaño de muestra se utilizó la fórmula de población finita. El tamaño de muestra total es de 169 personas. El tamaño de muestra necesaria calculado fue de 35 personas estimando un parámetro estadístico con valor de Z 1.96, Nivel de confianza de 95%, error estimado máximo aceptado de muestreo aleatorio de 5%, con una proporción esperada de 0.5 y probabilidad de fracaso de 0.04 = ± 4. (Los cálculos fueron realizados con el software QuestionPro.)
Obtención de datos: posterior a obtener la autorización por parte del comité local de investigación y aprobación, se obtuvieron datos del expediente clínico electrónico del Departamento de Terapia Intensiva del Hospital Regional de Alta Especialidad ISSSTE Veracruz.
Criterios de inclusión: pacientes de uno u otro sexo mayores de 18 años, atendidos en la Unidad de Cuidados Intensivos del Hospital Regional de Alta Especialidad del ISSSTE Veracruz. Pacientes que cumplan criterios de SOFA. Pacientes que cumplan criterios de APACHE. Pacientes que cumplan con criterios de SAPS II. Pacientes que presenten comorbilidades.
Criterios de exclusión: paciente menor de 18 años. Pacientes no admitidos en la unidad de cuidados intensivos (UCI) del Hospital de Alta Especialidad del ISSSTE Veracruz. Pacientes que no cumplan con criterios de SOFA o de APACHE o de SAPS II. Paciente con arritmias. Pacientes con valvulopatías. Pacientes con enfermedad pulmonar obstructiva crónica de moderada o grave.
Criterios de eliminación: no incluir en la imagen la presencia completa de la AI en alguna de las vistas apicales. Mala definición de la pared auricular. Mal seguimiento y trazado del registro de strain en sus tres fases en alguna de las vistas apicales, a criterio del ojo del observador. Imágenes con zoom auricular.
Definiciones: la insuficiencia circulatoria aguda por sepsis se definió por al menos uno de los siguientes signos: a) hipotensión (presión arterial sistólica ≤ 90 mmHg o disminución de más de 50 mmHg o presión arterial media ≤ 65 mmHg); b) frecuencia cardiaca ≥ 100 lpm; c) oliguria (diuresis ≤ 0,5 mL/kg/h) durante más de dos horas; d) niveles de lactato ≥ 2 mmol/L; e) moteado de la piel.
La disfunción miocárdica conocida se definió como FEVI < 50%.
La cardiopatía valvular grave se definió como estenosis valvular grave y/o regurgitación grave, y pacientes que se habían sometido previamente a una intervención valvular.
Se estudiaron un total de 25 pacientes con choque séptico refractario en nuestro hospital se realizaron ecocardiogramas 2D y 3D.
Se realizaron protocolo de la evaluación del strain de aurícula izquierda (SAI) como predictor temprano de disfunción diastólica del VI en pacientes con choque séptico refractario, tomando como pronóstico en la fase de reservorio un valor < 19%, lo que equivale a un paciente que presenta incremento en las presiones de llenado del VI y, por consiguiente, alteraciones de la función diastólica del VI. Se analizaron con estadística descriptiva mediante promedio y desviación estándar para variables cuantitativas y con frecuencias absolutas para cuantitativas discretas, mediante el paquete estadístico SPSS v25.0.
Datos clínicos: los datos demográficos de los participantes incluyeron: edad, sexo, índice de masa corporal (IMC). Los antecedentes médicos incluyeron: hipertensión, diabetes mellitus, enfermedad de la arteria coronaria, neoplasia maligna, enfermedad hepática crónica y enfermedad renal crónica. Las fuentes de infección incluyeron: pulmones, tracto urinario y tracto gastrointestinal. Se recogieron los hallazgos de laboratorio. La gravedad de la enfermedad se evaluó de acuerdo con las puntuaciones de la Evaluación de Fisiología Aguda y Salud Crónica (APACHE-II), la Evaluación Secuencial de Insuficiencia Orgánica (SOFA) y la Escala Simplificada de Fisiología Aguda (SAPSS II). La norepinefrina se consideró como la terapia vasopresora de primera elección (con el objetivo de alcanzar una presión arterial media de 65 mmHg o más). Todos los pacientes fueron tratados de acuerdo con las pautas internacionales para el tratamiento del choque séptico a discreción de los médicos tratantes después de la reanimación inicial.
Ecocardiografía: el examen de ecocardiografía transtorácica (ETT) fue realizado por médicos capacitados (competentes en ecocardiografía de cuidados críticos), con el paciente en posición supina, utilizando el análisis STE 2D. Se realizó con Ecocardiógrafo ISSSTE CBM 2022 CABM I060200646, ESAOTE MyLabX8 REF 100645000 SN 8100633, Monitor LCD21.5” REF 150000027 CI 00, SN 02547016, ID 12022187 A00, transductor transtorácico de 3-5 MHz.
Análisis de speckle tracking bidimensional (STE 2D): se utilizó un protocolo ecocardiográfico estándar, realizando todas las mediciones de acuerdo con las pautas actuales. Para cada paciente, un solo operador realizó todas las mediciones de ETT. Las ecocardiografías se registraron y se almacenaron imágenes 2D con diez ciclos cardiacos consecutivos para el análisis STE 2D. Todas las mediciones se tomaron al final de la espiración. Se seleccionó el ciclo cardiaco más claro para el análisis STE 2D. La deformación longitudinal de la AI se midió en las vistas apicales de cuatro cámaras, dos cámaras. La deformación circunferencial de la AI se midió mediante el rastreo endocárdico en los niveles basal, medio y apical de las vistas dos y cuatro cámaras. Después de que el software rastreara automáticamente STE en el miocardio, cuadro por cuadro durante todo el ciclo cardiaco, el software proporcionó curvas de deformación regional. Se obtuvo el valor pico de deformación regional. La idoneidad del seguimiento se verificó visualmente y si el seguimiento parecía incorrecto, se realizó un ajuste manual del borde endocárdico.
Análisis estadístico: las variables continuas se expresaron como media ± desviación estándar para datos distribuidos normalmente o mediana y rango intercuartil (RIC) para variables distribuidas anormalmente. Las variables categóricas se expresaron como frecuencias (número y porcentaje). La distribución de la población de interés se analizó de forma cuantitativa mediante prueba de Shapiro-Wilk. Las variables cuantitativas de distribución no paramétricas se analizaron con estadístico U Mann-Whitney según el caso, las cualitativas con χ2. Se consideró significancia estadística un valor de p < 0.05. Posteriormente, se utilizó un modelo de regresión logística binaria empleando razón de momios (Odds ratio) buscando asociación por desenlaces y mediante una relación de variabilidad en ocurrencia de complicaciones por medio del coeficiente de determinación R² de Nagelkerke, asimismo se determinó la tasa de supervivencia mediante una curva de Kaplan-Meier.
Consideraciones éticas: se llevó a cabo de acuerdo con la Declaración de Helsinki, al Código de Núremberg, a la Ley General de Salud de México. Se considera investigación con riesgo mínimo, ya que no se realizará algún tipo de manipulación de variables; de acuerdo con lo establecido por el Reglamento de Investigación (LGS), con base en el artículo 17 en su fracción I, se considera investigación sin riesgo ya que son estudios que emplean técnicas y métodos de investigación documental retrospectivos y en los que no se realiza ninguna intervención o modificación intencionada.
Resultados
El estudio incluyó una muestra de 35 pacientes. La media de edad fue 62.26 ± 14.52 años (rango: 18 a 85). El promedio de las variables analizadas fue: índice de masa corporal (IMC) 33.94 ± 4.08 kg/m2, presión venosa central 8.94 ± 2.49 mmHg, presión sistólica de la arteria pulmonar 31.69 ± 13.89 mmHg, SAIr 25.91 ± 5.44, ventilación mecánica 5.17 ± 2.16 días (Tabla 1).
Tabla 1: Distribución de frecuencias de características basales de la muestra (N =35).
| Rango | Media ± DE | |
|---|---|---|
| Edad (años) | 18-85 | 62.26 ± 14.525 |
| IMC (kg/m2) | 26-42 | 33.94 ± 4.080 |
| Presión venosa central (mmHg) | 5-15 | 8.94 ± 2.496 |
| Balance | 1-6 | 2.54 ± 1.521 |
| PSAP (mmHg) | 15-66 | 31.69 ± 13.896 |
| SAIr | 17-35 | 25.91 ± 5.442 |
| Ventilación mecánica (días) | 3-12 | 5.17 ± 2.162 |
DE = desviación estándar. IMC = índice de masa corporal. PSAP = presión sistólica de la arteria pulmonar. SAIr = strain de la aurícula izquierda en fase de reservorio.
De los 35 pacientes, 17 (47.8%) fueron hombres. Las comorbilidades más frecuentes fueron hipertensión arterial sistémica en 10 (28.6%) pacientes y diabetes mellitus en cinco (14.3%). Los principales focos infecciosos fueron: hematógeno en 14 (40.4%) casos y pulmonar en 11 (31.4%). Se registraron 13 (37.1%) pacientes sobrevivientes (Tabla 2).
Tabla 2: Distribución de los pacientes por sexo, comorbilidades, sobrevivientes y origen del foco infeccioso.
| n (%) | |
|---|---|
| Género (hombre) | 17 (47.8) |
| Comorbilidades | |
| HAS | 13 (37.1) |
| DM | 10 (28.6) |
| IAM | 5 (14.3) |
| EPOC | 4 (11.4) |
| Sobreviviente | 13 (37.1) |
| Origen infeccioso | |
| Pulmonar | 11 (31.4) |
| SNC | 2 (5.7) |
| Hematógeno | 14 (40.4) |
| Urinario | 8 (22.9) |
DM = diabetes mellitus. EPOC = enfermedad pulmonar obstructiva crónica. HAS = hipertensión arterial sistémica. IAM = infarto agudo al miocardio. SNC = sistema nervioso central.
La Tabla 3 muestra el resultado de la prueba de normalidad de Shapiro-Wilk según género, comorbilidades, origen de la sepsis y desenlace. El valor de distribución (W) para el género fue 0.637, comorbilidades 0.836, origen de la sepsis 0.613. Encontramos un valor de p < 0.001, por lo que se puede concluir que las variables se distribuyen normalmente con una asimetría en normalidad en las tres variables independientes. Se observa un desenlace con un valor de p < 0.001.
Tabla 3: Prueba de normalidad de Shapiro-Wilk según género, comorbilidades, origen de la sepsis y desenlace.
| Variable | Prueba de Shapiro-Wilk | |||
|---|---|---|---|---|
| W | Asimetría | Curtosis | p | |
| Género | 0.637 | 0.968 | −1.875 | < 0.001 |
| Comorbilidades | 0.836 | −1.755 | −2.364 | < 0.001 |
| Origen sepsis | 0.806 | 0.968 | −1.875 | < 0.001 |
| Desenlace | 0.613 | −1.755 | −2.364 | < 0.001 |
La regresión logística ajustada por variables confusoras se muestra en la Tabla 4. La bondad de ajuste del modelo de regresión logística binaria muestra que el SAIr < 19% está asociado como factor de riesgo de muerte (OR 1.62, IC95% 1.215-2.113), estadísticamente con valor de p = 0.001 y una puntuación estimada de 68%, lo que determina una relación fuerte de la variabilidad en ocurrencia de complicaciones mediante el coeficiente de determinación R2 de Nagelkerke.
Tabla 4: Modelo de regresión logística binaria para SAIr en una población de 35 pacientes.
| N = 35 | Gl | OR | IC95% | p |
|---|---|---|---|---|
| SAIr | 1 | 1.602 | 1.215-2.113 | 0.001 |
Puntuación estimada: SAIr 19% (p < 0.001) (R² de Nagelkerke 0.68).
Gl = grados de libertad. OR = odds ratio. SAIr = strain de la aurícula izquierda en fase de reservorio.
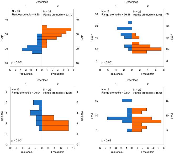
Se determinó tasa de supervivencia mediante una curva de Kaplan-Meier (Figura 2). La tasa de supervivencia fue mayor en los pacientes que presentaron SAIr 20 en comparación con los que presentan un SAIr < 19. En cuanto al análisis de probabilidad de mortalidad, en la Figura 3 se observa que SAIr como desenlace por mortalidad y strain de la AI es significativo con valor de p < 0.001; la presión sistólica de la arteria pulmonar (PSAP) mostró significancia estadística en el desenlace por mortalidad con un valor de p < 0.001; el balance también registró un valor de p = 0.001 con desenlace de mortalidad significativamente estadístico; sólo la presión venosa central (PVC) no mostró significancia estadística en el desenlace por mortalidad (p = 0.69).

SAIr = strain de la aurícula izquierda en fase de reservorio. UCI = Unidad de Cuidados Intensivos.
Figura 2: Tasa de supervivencia, curva de Kaplan-Meier.
Discusión
Nuestro estudio tuvo como propósito demostrar que strain de la aurícula izquierda en fase de reservorio (SAIr) puede ser predictor en la mortalidad en pacientes con choque séptico que ingresaron a la unidad de terapia intensiva del Hospital de Alta Especialidad ISSSTE Veracruz. En este trabajo presentamos rangos de referencia ecocardiográficos para SAIr evaluando la función diastólica del VI según las pautas de las diversas sociedades de ecocardiografía, puesto que se considera transcendental identificar con precisión la disfunción miocárdica, de una población normal de 35 pacientes con choque séptico refractario, con un amplio rango de edad y una distribución equilibrada de sexos. Todos los registros fueron adquiridos y supervisados por ecografistas experimentados. Los valores de SAIr fueron menores a mayor edad. Además, las deformaciones específicas se asociaron con varias características del paciente, los rangos de referencia presentados se pueden utilizar para respaldar la toma de decisiones clínicas al evaluar pacientes con choque séptico refractario; las diferencias en la distribución por edades, el tamaño de las muestras estudiadas y el método utilizado para analizar la tensión pueden explicar en parte las diferencias entre los resultados de otras revisiones.
La determinación de SAI tenía amplios rangos de referencia en comparación con las tensiones ventriculares, por lo que es recomendable conocer los rangos de referencia, siendo imprescindible nunca olvidar individualizar al paciente; la diferenciación entre normalidad y patología puede mejorarse utilizando rangos de referencia que tomen en cuenta las variables que influyen en las mediciones, es por esto que el valor del SAI sigue siendo hasta ahora controversial y enigmático, ya que la adquisición, la metodología y los análisis aún no logran estandarizarse para limitar las fuentes de variabilidad sistemática y aleatoria.
El SAI ha emergido como un parámetro poderoso en la evaluación de la función diastólica y estimación de las presiones de llenado del VI con lo que obtiene una predicción de eventos adversos en múltiples escenarios como alteraciones valvulares, fibrilación auricular, infarto agudo al miocardio e insuficiencia cardiaca; también facilita el cálculo del riesgo de accidente cerebrovascular, aportando un valor diagnóstico y pronostico. En el estudio de Parket y colaboradores se informa de un análisis retrospectivo de los 3,983 pacientes con insuficiencia cardiaca aguda (ICA) inscritos en el registro TRATS-HF (STrain for Risk Assessment and Therapeutic Strategies in patients with Acute Heart Failure); este estudio documentó un papel predictivo de eventos cardiovasculares del SAI, excepto en pacientes con fibrilación auricular. Pathan F y asociados realizaron una revisión sistemática y metaanálisis en 2016 con 40 estudios; los componentes del SAI reportan como rangos normales: reservorio 39.4% (IC95% 38.0-40.85), conducto 23% (IC95% 20.7-25.2), función contráctil 17.4% (IC95% 16.0-19.0); en esta revisión, 19 estudios evaluaron la tensión auricular sólo en la vista de cuatro cámaras, 17 en las vistas de dos y cuatro cámaras, y únicamente cuatro estudios en las vistas de dos, tres y cuatro cámaras, sin encontrar diferencias significativas en los valores de deformación longitudinal de la AI.33 En el estudio multicéntrico de 2015 realizado por Morris y colaboradores, se describe una media de 45.5% (± 11.4), sin establecer diferencias en cuanto a etnia, pero sí en cuanto a rango etario34 el trazo del strain realizado fue gatillado por la onda R; los valores globales del SAI se obtuvieron en dos y cuatro cámaras. Es de conocimiento que, en estados patológicos tales como fibrilación auricular, comunicación interauricular, disincronía auricular, estas tres fases no siempre se cumplen. En el estudio EACVI NORRE,32 se inscribió a un total de 549 sujetos sanos, en 22 instituciones colaboradoras del estudio, de rangos normales de referencia para ecocardiografía (NORRE), de la Sociedad Europea de Cardiología (ESC). Los valores esperados más bajos de deformaciones y torsión del VI calculados como ± 1.96 desviaciones estándar de la media fueron -16.7% en hombres y -17.8% en mujeres para deformación longitudinal, -22.3 y -23.6% para deformación circunferencial, 20.6 y 21.5% para deformación radial, y 2.2 grados y 1.9 grados para deformación, respectivamente, en un documento reciente publicado en 2018 por el grupo de trabajo de EACVI/ASE.18
En pacientes con choque séptico, la miocardiopatía séptica afecta la función ventricular, pero faltan estudios sobre el miocardio auricular. Beyls C y asociados realizaron un análisis de la tensión auricular izquierda y derecha para predecir la fibrilación auricular de nueva aparición en 156 pacientes con choque séptico entre agosto de 2021 y abril de 2023; mediante un análisis multivariable utilizando modelos anidados, la disfunción de la AI, definida por un SAIr < 20%, se asoció fuertemente con fibrilación auricular de nueva aparición (OR = 10.48, p = 0.003) disfunción de la AD, definida como un SADr < 30%, mejoró la discriminación del modelo y también se asoció fuertemente con NOAF (OR = 8.28, p = 0.004). Es el primer estudio que analiza SAIr y SADr en una cohorte significativa de pacientes con choque séptico, mostrando que ambas fases del reservorio estaban deterioradas y enfatizando la importancia de evaluar las funciones de AI y AD para predecir fibrilación auricular de nueva aparición.35
Anteriormente se ha demostrado que existen amplios rangos de referencia para las tensiones auriculares.23,25,29,32 Las tensiones auriculares deben utilizarse con precaución en la toma de decisiones clínicas. No tenemos ninguna indicación de que los IC amplios se debieran a la inclusión de individuos con enfermedad cardiaca subyacente. Desde un punto de vista matemático, las tensiones auriculares son incluso más sensibles al movimiento relativo fuera de plano y al acortamiento, ya que la longitud es más corta que para los ventrículos.36
Es bien sabido que las aurículas dilatadas se asocian con un peor pronóstico; sin embargo, el aumento del volumen de la AI no confirma el aumento de la presión auricular ni identifica la función de la aurícula, lo que sugiere que estudiar la función, más que el volumen, puede ser de mayor relevancia, es así que tenemos que un valor de strain bajo nos orientara hacia una aurícula que ha perdido la propiedad de compliancia y que también presenta una disminución de su capacidad contráctil, por lo que el strain auricular (SAI) emerge como un parámetro poderoso en la evaluación de la función diastólica y estimación de las presiones de llenado del VI, sirviendo también en la predicción de eventos adversos y en múltiples escenarios como alteraciones valvulares, fibrilación auricular, infarto agudo al miocardio e insuficiencia cardiaca, y facilita el cálculo del riesgo de accidente cerebrovascular aportando un valor diagnóstico y pronostico.26
En algunos estudios se ha demostrado que las mediciones de SAI proporcionan información pronóstica más allá de los métodos tradicionales.37 Si bien aún no se recomiendan en la práctica habitual.30 La estrecha correlación entre la tensión auricular y la función ventricular es lógica y está documentada.
El strain auricular izquierdo reservorio (SAIr) es un método que permite evaluar la función de la AI y su relación con la función ventricular izquierda; sin embargo, hay que considerar que puede ser un método complejo y multiparamétrico. SAIr refleja la distensibilidad auricular independientemente del ritmo cardiaco y la mecánica auricular izquierda; está influenciada no sólo por la rigidez de la AI, sino también por la distensibilidad del VI durante el llenado ventricular y por la contracción del VI a través del descenso de la base cardiaca durante la sístole ventricular.38 Sin embargo, la contracción longitudinal del VI es un componente que influye en gran medida en la función del reservorio de la AI; se consideran como valores anormales de SAIr un rango < 19-23% por lo que se ha propuesto un límite < 18%, indicando que existe un incremento de la presión de llenado del VI concomitante a ello una alteración en la función diastólica.18 Varios estudios han mostrado resultados algo inconsistentes con respecto a la asociación entre la presión de llenado del VI y la deformación del reservorio de la AI.16,22,39 Singh y colaboradores demostraron que la tensión de la AI disminuyó significativamente en todas las etapas de la disfunción diastólica, lo que sugiere que el SAI puede ser útil en el diagnóstico y pronóstico de disfunción diastólica y de la estimación precisa de la presión final del VI. Sin embargo, el valor de corte de la tensión AI para detectar disfunción diastólica es discutible.25 Se consideran como valores anormales un rango < 19-23%, por lo que se ha propuesto un límite SAIr de < 18% para diferenciar la presión final del VI normal de la presión final del VI elevada.30,31 De aquí tomamos como referencia el hecho de que encontrar un SAI bajo en pacientes con choque séptico puede indicar que existe un incremento de la presión de llenado del VI concomitante a ello una alteración en la función diastólica (Figura 4).
Conclusiones
La disfunción miocárdica es una de las alteraciones orgánicas más complejas de caracterizar en pacientes con sepsis y choque séptico en la Unidad de Cuidados Intensivos, debido a su heterogeneidad, por lo que es imprescindible su evaluación. El strain de la aurícula izquierda en fase de reservorio mediante el método de Speckle tracking (STE) es una técnica ecocardiográfica que podría ser factible para predecir el pronóstico de eventos adversos asociados a morbimortalidad, por lo tanto justifican su implementación paulatina en áreas críticas. Nuestra línea de investigación propone un modelo de atención con una toma de decisiones basadas en datos, sin embargo, es importante recalcar mejoras en sesgos, grupos de interés y diferentes tecnologías que mejoren la calidad de análisis implicado.










nova página do texto(beta)




