SciELO - Scientific Electronic Library Online

 
vol.81 número321Crecimiento económico y cortes estructurales. El caso de Andalucía (1900-1999)¿El final de la curva de Kuznets de carbono? Un análisis semiparamétrico para la América Latina y el Caribe índice de autoresíndice de assuntospesquisa de artigos
Home Pagelista alfabética de periódicos  

Serviços Personalizados

Journal

Artigo

Indicadores

Links relacionados

  • Não possue artigos similaresSimilares em SciELO

Compartilhar


El trimestre económico

versão On-line ISSN 2448-718Xversão impressa ISSN 0041-3011

El trimestre econ vol.81 no.321 Ciudad de México Jan./Mar. 2014

 

Artículos

Sustentabilidad de las fusiones, asimetrías de información y estrategias de las empresas no fusionadas*

José Méndez Naya** 

** Facultad de Economía y Empresas, Universidad A Coruña [correo electrónico: jmn@udc.es].


Resumen:

El objetivo de este artículo es el de analizar la rentabilidad de una fusión horizontal de empresas que compiten en cantidades, en el supuesto de que puede haber tanto asimetrías de información entre las diferentes empresas del mercado como que se pueden realizar pagos colaterales entre las mismas. En este contexto, se prueba que una fusión entre dos empresas seguidoras puede ser beneficiosa. Por otra parte, se prueba que el número mínimo de empresas necesario para garantizar la sustentabilidad de la fusión es menor si existen asimetrías informativas que en un contexto de información simétrica.

Palabras clave: fusiones; información asimétrica; Stackelberg

Abstract:

The purpose of this paper is to analyze firms horizontal mergers sustainability in a quantity competition setting assuming both asymmetric information and profits transfers among firms. In such a context it is proved that a merger between two follower firms could be sustainable. Furthermore, it is proved that the minimal number of firms needed in order to guarantee the merger sustainability is lower under asymmetric information than under symmetric information.

Clasificación JEL: L13, L40, L41.

Introducción

Los efectos derivados de una fusión de empresas resultan de que tanto las empresas fusionadas como las no fusionadas cambian sus estrategias como consecuencia de dicha fusión. El primer efecto nunca puede ser negativo, dado que la empresa resultante de la fusión tiene la opción de producir exactamente lo mismo que producían las empresas fusionadas en la situación de equilibrio anterior a la fusión. Sin embargo, esta estrategia no sería una situación de equilibrio dado que, suponiendo que el resto de las empresas del mercado no variasen su producto, la empresa resultante de la fusión, al tener en cuenta la ganancia agregada de las empresas fusionadas, produciría menos de lo que producían éstas en conjunto antes de la fusión. Este hecho en sí mismo es positivo, dado que las empresas fusionadas maximizan las ganancias conjuntas después de la fusión, sin embargo, las empresas no fusionadas responden a la fusión ajustando su estrategia óptima y esto puede resultar perjudicial para las empresas fusionadas.

Concretamente, en un contexto de Bertrand, las empresas competidoras reaccionan a la fusión incrementando sus precios, lo que permite que las empresas fusionadas también puedan establecer un precio mayor, con lo que dicha fusión será siempre beneficiosa tanto para las empresas fusionadas como para las que no se fusionan. Sin embargo, si las empresas compiten à la Cournot, las empresas fusionadas, al tener en cuenta el beneficio conjunto, tienen un comportamiento menos activo, y dado que en este contexto las funciones de mejor respuesta tienen pendiente negativa, las empresas competidoras reaccionan incrementando su producción lo que resulta perjudicial para las empresas fusionadas. Salant et al (1983) demostraron que con costos de producción y demanda lineales, para que una fusión sea beneficiosa desde el punto de vista de las empresas fusionadas, tienen que fusionarse al menos el 80% de las empresas del mercado.1

Muchos autores han tratado de resolver la paradoja de las fusiones cambiando los supuestos en el modelo original: Perry y Porter (1985) sustituyen la función lineal de costos por una función cuadrática; Faulí-Oller (1997) cambia la hipótesis acerca de la demanda de mercado suponiendo que ésta es convexa; Faulí-Oller (2002) supone ganancias de eficiencia dado que, en general, las empresas tienen distintos costos de producción y cuando dos de ellas se fusionan, la empresa resultante de la fusión produce con la tecnología de la más eficiente; González-Maestre y López-Cuñat (2001) se centran en los cambios en la gestión de la empresa resultante de la fusión al suponer que los propietarios de las empresas fusionadas delegan las decisiones de producción en un gerente, cuya función objetivo puede diferir de la estricta maximización de ganancias; Huck et al (2004) y Creane y Davidson (2004) suponen ciertos cambios en la organización interna de la empresa fusionada que le dan ventaja estratégica frente a las no fusionadas. En concreto, suponen que la empresa resultante de la fusión consta de tantas divisiones como empresas que la componen y dichas divisiones puede fijar sus estrategias en diferentes etapas del juego, lo que significa que ciertas divisiones actúan como líderes de Stackelberg frente a otras.

Recientemente, algunos autores han desarrollado sus análisis en un contexto de información asimétrica suponiendo que algunas empresas del mercado desempeñan el papel de líderes de Stackelberg. En concreto, Daughety (1990) justificó que una fusión entre dos empresas seguidoras, que se convierten en líderes de Stackelberg como consecuencia de la fusión, puede ser beneficiosa para dichas empresas. Escrihuela-Villar y Faulí-Oller (2008) prueban que una fusión entre empresas que sean suficientemente ineficientes y que actúen como seguidoras de Stackelberg es beneficiosa para las empresas fusionadas debido a que las empresas no fusionadas, que actúan como líderes de Stackelberg, responden a la fusión reduciendo su producción.

Por tanto, tal y como se ha indicado, como consecuencia de una fusión se producen una serie de efectos “externos” en las empresas no fusionadas lo que supone un cambio en el comportamiento de éstas. En términos generales y teniendo en cuenta el “Contrato eficiente de Coase”, los agentes racionales que se enfrenten con una situación en la que existan externalidades, como ocurre por ejemplo en el caso de las fusiones, deberían de llegar a un acuerdo de equilibrio eficiente si se dan una serie de condiciones: posibilidad de establecer transferencias de utilidad entre los agentes, existencia de información completa y simétrica entre los mismos y ausencia de costos de negociación (Coase, 1960).

Con base en la línea de Coase, en este artículo se analiza la rentabilidad privada de las fusiones suponiendo que pueden existir asimetrías informativas entre las empresas fusionadas y no fusionadas y que existe la posibilidad de realizar pagos colaterales entre las empresas. En concreto, dado que en un contexto de Cournot las empresas no tienen incentivos a fusionarse ya que son perjudicadas como consecuencia de dicha fusión y son las empresas que no se fusionan las que se benefician de la misma, dichas empresas estarán interesadas en que la fusión se realice y, por tanto, estarían dispuestas a transferir una parte de sus beneficios a otras empresas para que éstas se fusionen y de este modo garantizar que tanto las empresas fusionadas como las “cooperantes” sean beneficiadas como consecuencia de la fusión.

En resumen, podemos afirmar que la introducción de pagos colaterales, en este contexto, conduce a una mejora en el sentido de Pareto para un subconjunto de empresas que incluye no sólo a las empresas fusionadas, como se ha venido haciendo en la bibliografía tradicional hasta el momento actual, sino también a otras empresas que cooperan con las empresas fusionadas pero que, estrictamente, no se fusionan. En este contexto, se prueba que es suficiente con que una parte de las empresas no fusionadas cooperen realizando una transferencia de ganancias para que la fusión sea rentable en el sentido de Pareto, tanto para las empresas fusionadas como para las “cooperantes”.

El principal objetivo de este artículo es el de probar que el número de empresas “cooperantes” necesario para que la fusión de dos empresas sea rentable es menor en un contexto de información asimétrica que en un contexto de información simétrica. En concreto, se prueba que el número de empresas “cooperantes” necesario para que la fusión de dos empresas seguidoras sea beneficiosa es menor en el contexto de Stackelberg que en el contexto de Cournot. El mismo resultado se obtendría en el supuesto de una fusión entre dos empresas líder. Por tanto, puede afirmarse que la probabilidad de que se realicen fusiones de empresas es mayor en el modelo de Stackelberg que en competencia à la Cournot.

I. El modelo y resultados tradicionales

Para desarrollar el análisis, partimos de un mercado de oligopolio en el que hay n empresas que compiten à la Cournot. Todas las empresas tienen la misma tecnología y, para simplificar el análisis, se supone que no hay costos fijos de producción y los costos marginales son constantes e iguales a 0.

Se supone una función inversa de demanda lineal dada por

(1)

en la que Q es la cantidad producida por las n empresas que se encuentran compitiendo en el mercado, es decir

y qi es la producción de la empresa i.

Dadas las hipótesis acerca de la función de costos, las ganancias de las empresas coinciden con el ingreso proveniente de sus ventas y están dados por:

(2)

En este contexto, suponiendo información simétrica y completa, la competencia à la Cournot entre las n empresas del mercado resulta en una situación de equilibrio, en la cual las cantidades y ganancias correspondientes a cada una de las empresas están dadas respectivamente por:

(3)

en la que el superíndice A denota la situación previa a la fusión. Si ahora suponemos que dos empresas se fusionan, obtenemos los siguientes resultados

(4)

En este caso, el superíndice D refleja la situación después de la fusión.

En el contexto planteado se produce la tradicional paradoja de las fusiones Salant et al (1983), es decir, que las empresas que se fusionan son perjudicadas mientras que el resto de las empresas del mercado son beneficiadas [componente del gorrón (free rider) de las fusiones].

II. Comportamiento de las empresas no fusionadas y rentabilidad privada de las fusiones

En esta sección se supone que las empresas que no forman parte de la fusión, en la medida en que son beneficiadas como consecuencia de la misma, tienen incentivos a que dicha fusión se realice. Se trata de analizar el número mínimo de empresas necesario para que la fusión sea rentable desde el punto de vista de las empresas privadas, tanto en un contexto de información simétrica como en un contexto de información asimétrica.

1. Pagos colaterales entre empresas con información simétrica

Debe advertirse que en la situación planteada en la sección anterior, a pesar de que las empresas fusionadas son perjudicadas como consecuencia de la fusión, las ganancias agregadas del sector aumentan. Es decir, la suma de los ganancias de las n-1 empresas existentes en el mercado después de la fusión es superior a la ganancia agregada de las n empresas existentes antes de la fusión. En concreto la diferencia de ganancias viene dada por la siguiente expresión:

(5)

Dado que el número mínimo de empresas necesario para que la fusión pueda realizarse es de dos, la anterior expresión tiene siempre signo positivo. Esto es debido al hecho de que la fusión supone una reducción en el número de empresas, lo que reduce la competencia existente en el mercado e incrementa los beneficios de dichas empresas, en concreto, la reducción máxima de la competencia se produce cuando hay dos empresas en el mercado, en este caso la fusión conduce a una situación de monopolio. En particular se verifica que

lo que significa que el incremento en los beneficios agregados del sector como consecuencia de la formación de la unión es tanto mayor cuanto menor es el número de empresas de mercado, dado que, al haber pocas empresas, una fusión entre dos de ellas supone una gran reducción de la competencia o, lo que es lo mismo, un gran incremento del poder de mercado de las empresas existentes. En resumen, puede afirmarse que en general, desde el punto de vista de las ganancias agregadas de las empresas, la situación más ventajosa sería aquella en la que se fusionan todas las empresas del mercado, es decir, cuando se llega a una solución de monopolio.

Por tanto, si las empresas no fusionadas actúan “cooperativamente” y deciden transferir una parte de sus ganancias hacia las empresas fusionadas la fusión puede ser rentable evitándose de este modo la paradoja de las fusiones. En este sentido, dado que la fusión supone un incremento en las ganancias agregadas del sector, con una política de transferencias adecuada ninguna empresa se vería perjudicada como consecuencia de la fusión y se conseguiría una solución óptima en el sentido de Pareto para el subconjunto de empresas considerado. Sin embargo, este resultado se produce incluso aunque solamente una parte de las empresas no fusionadas estén de acuerdo con esta transferencia de ganancias en favor de las empresas fusionadas.

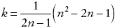
  • Resultado 1. En un contexto de información simétrica entre las empresas fusionadas y no fusionadas, el número mínimo de empresas cooperantes, k, necesario para que la fusión sea rentable, está dado por

  • Prueba. En este contexto de información simétrica, el número mínimo de empresas necesario para que la fusión sea rentable, k, tiene que verificar que: k+1ΠiD-k+2ΠiA>0, es decir que las ganancias agregadas obtenidas por las empresas cooperantes y la empresa fusionada tienen que ser superiores a las que obtienen antes de la fusión de dichas empresas cooperantes y las dos empresas que se van a fusionar. Resolviendo la anterior desigualdad obtenemos el número mínimo de empresas cooperantes que son necesarias para garantizar que la fusión sea rentable que está dado por

La siguiente gráfica nos ayuda a visualizar la relación entre el número de empresas total del mercado y el número mínimo de empresas cooperantes que pueden hacer la fusión beneficiosa.

En la gráfica, la función k+1ΠiD-k+2ΠiA=0 nos da las combinaciones de n y k que hacen que las ganancias agregadas de las empresas cooperantes y las fusionadas después de la fusión se igualen a las que obtenían dichas empresas antes de la fusión, por debajo de dicha función la expresión tiene signo positivo y por encima negativo. Debe tenerse en cuenta que después de la fusión hay n - 1 empresas en el mercado, una resultante de la fusión y n - 2 restantes, por tanto, tiene que verificarse que kn − 2, en el caso de que k = n − 2 todas las empresas del mercado, excepto la dos fusionadas, serían cooperantes.

Gráfica 1 Información simétrica: Número mínimo de empresas cooperantes 

En resumen, los valores de k y n que hacen la fusión sostenible estarían dadas por el área comprendida entre la función k+1ΠiD-k+2ΠiA=0 y la recta k = n − 2. ■

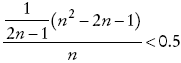
Teniendo en cuenta la condición obtenida en el resultado 1, podemos afirmar que la condición necesaria para que la fusión sea beneficiosa es que cooperen el 50% de las empresas, dado que

mientras que, como es bien sabido, en Salant et al (1983), la fusión sólo será beneficiosa si se fusionan al menos el 80% de las empresas del mercado. Por tanto, la introducción de la hipótesis de que las empresas pueden hacer pagos colaterales en el modelo original de Salant et al (1983) reducen el número de empresas necesario para que una fusión sea beneficiosa para las empresas participantes.

2. Pagos colaterales entre empresas en un contexto de información asimétrica

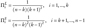
En esta subsección se supone que un determinado número de empresas tienen más información que las restantes, es decir actúan como líderes de Stackelberg, lo que significa que cuando deciden su estrategia conocen el comportamiento de las empresas restantes, que en este caso son seguidoras de Stackelberg. En este contexto, las empresa líderes, que son conscientes de que una fusión entre dos empresas seguidoras les beneficia, están dispuestas a transferir una parte de sus ganancias para que dicha fusión se realice. El objetivo es analizar el número mínimo de empresas “cooperantes” (que están dispuestas a transferir una parte de sus ganancias para que la fusión se realice) y líderes (conocen las funciones de reacción de las restantes empresas), k, que son necesarias para que la fusión sea beneficiosa en el sentido de Pareto, para el subconjunto de empresas formado por las empresas fusionadas y las empresas cooperantes, y comparar dicho número con el obtenido en el contexto de información simétrica.

A la hora de realizar el análisis planteamos un juego por etapas con el siguiente desarrollo temporal: las k empresas que están dispuestas a cooperar para que la fusión se lleve a cabo actúan como líderes de Stackelberg y fijan su cantidad en la primera etapa del juego; dada ésta, en la segunda etapa tanto la empresa resultante de la fusión como con las restantes empresas del mercado, que actúan como seguidoras de Stackelberg, establecen su correspondiente producción. Como es habitual, para determinar el equilibrio perfecto en subjuegos, el juego se resuelve por inducción hacia atrás, determinando en primer lugar las funciones de reacción de las empresas seguidoras y posteriormente, conocidas dichas funciones de reacción, las empresas líderes determinan su estrategia óptima.

La resolución del juego nos permite determinar los valores de equilibrio, que para el caso de la producción tanto de las empresas líderes, xiL, como de las seguidoras, xiS , está dada por las siguientes expresiones:

(6)

Como es habitual en este tipo de modelos de información asimétrica, cuando todas las empresas del mercado son simétricas la producción de las empresas líderes no depende del número de empresas seguidoras y está relacionada de manera inversa con el número de empresas líder. Por otra parte, la producción de las empresas seguidoras está relacionada de manera inversa con el número de empresas seguidoras y su relación con el número de empresas líder está indeterminado dependiendo de la relación entre el número de líderes y seguidoras (véase por ejemplo Escrihuela-Villar y Faulí-Oller, 2008).

Sustituyendo, podemos determinar la producción de mercado así como el precio y, dado éste, las ganancias correspondientes tanto para las empresas líderes, ΠiL, como seguidoras, ΠiS, que vienen dadas respectivamente por las siguientes expresiones:

(7)

La comparación de las ganancias obtenidas por cada una de las empresas en este caso con las obtenidas en la situación anterior a la fusión nos permite obtener resultados similares a los obtenidos por la bibliografía de los efectos de las fusiones en modelos de Stackelberg (Daughety, 1990; Huch et al, 2001; Escrihuela-Villar y Faulí-Oller, 2008).

En concreto, la fusión de dos empresas seguidoras es perjudicial tanto para las empresas fusionadas como para el resto de las empresas seguidoras. Sin embargo, la fusión es beneficiosa para las empresas líder. En este caso, se resuelve parcialmente la paradoja de las fusiones, dado que una parte de las empresas no fusionadas, las seguidoras, son perjudicadas como consecuencia de la fusión. A pesar de que en un contexto de información simétrica todas las empresas no fusionadas se benefician de la fusión, en el contexto de información asimétrica las empresas no fusionadas, que al mismo tiempo son seguidoras de Stackelberg, son perjudicadas como consecuencia de la fusión. Este resultado es debido al comportamiento de las empresas líder que aprovechan su ventaja informativa para beneficiarse a expensas de todas las empresas seguidoras.

Para determinar el número de empresas líder necesario para hacer que la fusión sea beneficiosa, al igual que en el contexto de simetría, tenemos que comparar las ganancias agregadas de dichas empresas y las empresas fusionadas antes y después de la fusión; en concreto la fusión será rentable si se verifica que ΩD-k+2ΠiA>0 , en la que ΩD representa las ganancias agregadas de las empresas cooperantes y la empresa fusionada después de la fusión. Es decir: ΩD-kΠiLD+ΠiSD. El análisis del signo de la anterior expresión nos permite enunciar el siguiente resultado:

  • Resultado 2. La fusión será rentable en un contexto de asimetría si para un determinado número de empresas del mercado, n, el número de empresas cooperantes, k, no supera un cierto valor crítico, k < k*.

  • Prueba. El signo de ΩiD-(k+2)ΠiA está indeterminado y depende de la relación entre el número total de empresas del mercado, n, y el número de empresas cooperantes, k. En concreto, para todo n existen un k* que verifica que ΩiD-k+2ΠiA=0, y si k < k*, entonces ΩiD-k+2ΠiA>0 . La Gráfica 2 nos permite visualizar las combinaciones de n y k que hacen que la fusión sea beneficiosa.

Gráfica 2 Información asimétrica: Número mínimo de empresas cooperantes 

La función ΩiD-k+2ΠiA=0, nos da las combinaciones de n y k que hacen que las ganancias agregadas de las empresas cooperantes y la empresa resultante de la fusión se igualen a las obtenidas antes de la fusión por dichas empresas cooperantes y las dos que se fusionan. A la izquierda de la función la expresión tiene signo positivo, lo que significa que la fusión es rentable para las empresas consideradas. ■

Este resultado, tal y como se ha indicado, es debido al hecho de que las empresas líderes se benefician a expensas de las seguidoras, por eso se necesita un número mínimo de empresas seguidoras para que la fusión resulte beneficiosa para las líderes. Ahora podemos comparar el número mínimo de empresa cooperantes necesarias para que la fusión sea rentable en un contexto de simetría respecto a la situación de asimetría, lo que nos permite enunciar el siguiente resultado:

  • Resultado 3. El número mínimo de empresas cooperantes que hace que la fusión sea rentable es menor en un contexto de información asimétrica que un contexto de simetría informativa.

  • Prueba. El análisis de la Gráfica 3, que es el resultado de considerar conjuntamente las Gráficas 1 y 3 nos ayuda a probar el resultado,

Gráfica 3 Análisis comparativo 

Como puede observarse, para cada n el número de empresas cooperantes necesario para que la fusión sea rentable para las empresas participantes es menor en el contexto de asimetría que en el caso simétrico, con lo que queda demostrado. ■

Este resultado se debe a que, a pesar de que las empresas fusionadas son más perjudicadas como consecuencia de la fusión en el contexto de Stackelberg que en el contexto de Cournot, como las empresas líder se benefician a expensas de las seguidoras, el número de líderes necesario para que la fusión sea beneficiosa es menor en el contexto de Stackelberg que en el contexto de información simétrica de Cournot.

Conclusiones

En este artículo se analiza la paradoja de las fusiones, tanto en un contexto de información simétrica como asimétrica, en el supuesto de que se puede realizar transferencias de ganancias, pagos colaterales, entre las empresas fusionadas y no fusionadas. Con estas hipótesis se justifica que una fusión horizontal de dos empresas en un contexto de competencia à la Cournot puede ser rentable para las empresas participantes y a la vez que, en un contexto de información asimétrica, perjudicial para una parte de las empresas no fusionadas (las seguidoras), por lo que se cualifica la tradicional paradoja de las fusiones en sus dos vertientes, a saber, que la fusión es perjudicial para las empresas fusionadas pero beneficia a las empresas que no se fusionan.

El anterior resultado se debe a que una parte de las empresas no fusionadas (cooperantes) realizan una transferencia de ganancias en favor de las fusionadas, de tal modo que tanto las empresas fusionadas como las cooperantes salen beneficiadas. En este contexto, se prueba que el número de empresas cooperantes necesario para que la fusión sea beneficiosa es menor en un contexto de información asimétrica que en un contexto de información simétrica.

Por último, en lo que se refiere a las consecuencias para la política de defensa de la competencia, se puede afirmar que, a pesar de que el bienestar derivado de la fusión es mayor en el contexto de Stackelberg que en el contexto de Cournot, en ambos casos dicho bienestar es reducido respecto a la situación previa a la fusión.

Referencias bibliográficas

Coase, R.H. (1960), “The Problem of Social Costs”, The Journal of Law and Economics, 3, pp. 1-44. [ Links ]

Creane, A., y C. Davidson (2004), “Multidivisional Firms, Internal Competition, and the Merger Paradox”, Canadian Journal of Economics, 37, 4, pp. 951-977. [ Links ]

Daughety, A. F. (1990), “Beneficial Concentration”, The American Economic Review, 80, 5, pp. 1231-1237. [ Links ]

Escrihuela-Villar, M., y R. Faulí-Oller (2008), “Mergers in Asymmetric Stackelberg Markets”, Spanish Economic Review, 10, 4, pp. 279-288. [ Links ]

Faulí-Oller, R. (1997), “On Merger Profitability in a Cournot Setting”, Economics Letters, 54, 1, pp. 75-79. [ Links ]

______ (2002), “Mergers Between Asymmetric Firms: Profitability and Welfare”, The Manchester School , 70, 1, pp. 77-87. [ Links ]

González-Maestre, M. A., y J. López-Cuñat (2001), “Delegation and Mergers in Oligopoly”, International Journal of Industrial Organization, 19, 8, pp. 1263-1279. [ Links ]

Huck, S., K. A. Konrad y W. Müller (2001), “Big Fish Eat Small Fish: On Merger in Stackelberg Markets”, Economics Letters, 73, 2, pp. 213-217. [ Links ]

______, ______ y ______ (2004), “Profitable Horizontal Mergers without Costs Advantages: The Role of Internal Organization, Information and Market Structure”, Economica, 71, 284, pp. 575-587. [ Links ]

Pepall, L., D. J. Richards y G. Norman (1999), Industrial Organization: Contemporary Theory and Practice (1a ed.), South-Western College Publishing. [ Links ]

Perry, M. K., y R. H. Porter (1985), “Oligopoly and the Incentives for Horizontal Mergers”, The American Economic Review, 75, 1, pp. 219-227. [ Links ]

Salant, S., S. Switzer y R. J. Reynolds (1983), “Losses from Horizontal Merger: the Effects of an Exogenous Change in Industry Structure on Cournot-Nash Equilibrium”, The Quarterly Journal of Economics, 98, 2, pp. 185-199. [ Links ]

* El autor agradece los valiosos comentarios de un dictaminador anónimo de EL TRIMESTRE ECONÓMICO y asume la total responsabilidad de los errores existentes en el trabajo. También se agradece el apoyo financiero de la Consellería de Innovación e Industria de la Xunta de Galicia por medio del proyecto 10 PXIB 100 189 PR.

1La dificultad existente a la hora de construir un modelo en el que una fusión que no incorpore a la mayoría de las empresas del mercado sea beneficiosa para las empresas integrantes y al mismo tiempo perjudique a las empresas no fusionadas es lo que, en la bibliografía de la organización industrial, se conoce como la “paradoja de las fusiones” (véase Pepall et al, 1999).

Recibido: 30 de Julio de 2012; Aprobado: 05 de Diciembre de 2012

Creative Commons License Este es un artículo publicado en acceso abierto bajo una licencia Creative Commons