Introducción
El trigo en México es un cultivo muy importante tanto para la industria alimentaria como para la economía en general. Los principales tipos de trigo son el cristalino, que se usa en la elaboración de pastas; y el harinero, insumo primordial en la industria galletera y la panificación (de-Sousa y col., 2021). Aunque el país es autosuficiente en trigo cristalino, existe un grave déficit en la producción de harinero. En los últimos 5 años se cosecharon en promedio 1 732 969 T de trigo cristalino y solo 1 587 278 T de harinero, de acuerdo al Servicio de Información Agroalimentaria y Pesquera (SIAP, 2023). Para cubrir el requerimiento nacional se necesita importar 5 200 millones de toneladas al año, lo cual representa un gasto anual de 2 066 millones de dólares (SIAP, 2024). En 2022 los principales estados productores fueron Sonora (con el 58 % del total de producción), Guanajuato (11.4 %) y Sinaloa (8.2 %) (SIAP, 2023).
El déficit en la producción de trigo harinero es muy complejo, pues su origen es multifactorial, ya que inciden elementos agronómicos, económicos, políticos y sociales. Entre los problemas agronómicos más importantes se encuentran los bajos rendimientos actuales (6.1 T/ha) comparados con los potenciales, que llegan hasta 10 T/ha (Solís-Moya y col., 2013), e incluso hasta 12 T/ha con las 7 mejores variedades para el valle del Yaqui en Sonora, México (Fischer y col., 2022). Entre los elementos que más contribuyen a incrementar la brecha entre rendimiento actual y potencial se encuentra la falta de variedades adaptadas a las diferentes regiones agroclimáticas y el manejo deficiente de la fertilización nitrogenada (van-Ittersum y col., 2013).
Con el fin de racionalizar la gestión del fertilizante nitrogenado, Raun y col. (2005) desarrollaron el Algoritmo de Optimización de Fertilizante Nitrogenado (NFOA, por sus siglas en inglés: Nitrogen Fertilization Optimization Algorithm), el cual predice las dosis de nitrógeno complementarias a la fertilización inicial aplicada en la siembra. El algoritmo requiere el uso de una franja rica en nitrógeno (300 kg/ha) que se establece en el centro de la parcela y debe tener un ancho mínimo de 10 m por el largo de la misma, así como la estimación del Índice de Vegetación de Diferencia Normalizada (NDVI, por sus siglas en inglés: Normalized Difference Vegetation Indices), que se basa en la reflectancia de la longitud de onda del infrarrojo cercano. El NFOA debe adecuarse para cada región agroclimática; por tal motivo Paredes-Melesio y col. (2014) lo adaptaron para la región del Bajío en México. Sin embargo, en esta región el empleo de una franja rica en nitrógeno es complicado, debido a la tenencia fraccionada y desagregada de la tierra, que es en promedio de 7 ha; por lo tanto, Mandujano-Bueno y col. (2023) propusieron una modificación al NFOA, que permite eliminar la franja rica con buenos resultados en cuanto a la predicción de requerimientos de nitrógeno.
Recientemente, el manejo de los cultivos empieza a incorporar una serie de herramientas que permiten gestionar puntualmente información de las plantas, principalmente mediante el uso de sensores remotos y el manejo de la información con la llamada Ciencia de los Datos (random forest, machine learning, redes neuronales, entre otros). A esta forma sistematizada de la adquisición de la información agrícola se le denomina “agricultura de precisión”. En términos prácticos, la agricultura de precisión permite gestionar de manera oportuna la información necesaria para que el agricultor aplique acciones correctivas o de seguimiento sobre la totalidad de la superficie cultivada o sobre subdivisiones de la misma, llegando incluso a nivel de una planta (Buters y col., 2019). De esta manera, es posible optimizar los insumos (suelo, fertilizante, agua, agroquímicos, entre otros) y maximizar los productos (grano, forraje, frutos, entre otros) (Singh, 2024).
Una de las herramientas que más desarrollo ha tenido en los últimos años, en el marco de la agricultura de precisión, es el uso de Vehículos Aéreos no Tripulados (VANT), popularmente conocidos como drones. Los VANT comerciales están equipados con una cámara RGB (Red Green Blue) con resolución de 4K que permite tomar fotografías de buena calidad y precisión, para usarlas como insumo en la construcción de ortofotos (imágenes áreas procesadas). Las orotofotos son útiles para estudios de fotogrametría y cálculo de índices de vegetación basados en luz visible (VVI, por sus siglas en inglés: Visible Vegetation Indices), los cuales están diseñados para detectar el verdor y el área del follaje de las plantas. A la fecha, se han desarrollado alrededor de 150 VIV, entre los más usados destacan, el Índice de Hoja Verde (GLI, por sus siglas en inglés: Green Leaf Indices) (Louhaichi y col., 2001), Índice Visible de Resistencia Atmosférica (VARI, por sus siglas en inglés: Visible Atmospherically Resistant Indices) (Gitelson y col., 2002), Índice de Verdor Triangular (TGI, por sus siglas en inglés: Triangular Greenness Indices) (de-Ocampo y col., 2019) e Índice de Vegetación Azul Verde Rojo (RGBVI, por sus siglas en inglés: Red Green Blue Vegetation Indices) (Bendig y col., 2013).
Con los VANT y VIVs se ha estudiado el desarrollo de enfermedades (Gongora-Canull y col., 2019), estimación de producción de forraje (Lussem y col., 2018), estatus hídrico de plantas (Walsh y col., 2020), nitrógeno en plantas (Gordillo-Salinas y col., 2021) y respuesta de la producción a diferentes tipos de labranza (Balážová y col., 2021), entre otros aspectos.
El objetivo de esta investigación fue determinar si existe correlación significativa entre Índices de Vegetación estimados a partir de ortofotos de luz visible con el rendimiento de trigo harinero, con el fin de contribuir a una nutrición vegetal racional, además de complementar o sustituir el índice NDVI obtenido con el sensor Greenseeker™.
Materiales y métodos
Material genético y área de estudio
Se seleccionó la variedad de trigo harinero Triticum aestivum de gluten fuerte Alondra F2014, liberada en 2016 por el Instituto Nacional de Investigaciones Forestales, Agrícolas y Pecuarias (INIFAP). Alondra es un genotipo de alto rendimiento, y elevado nivel de resistencia a roya lineal amarilla, roya de la hoja y de alta calidad industrial (Solís-Moya y col., 2016).
En cada ciclo agrícola otoño-invierno de los años 2022 y 2023 se estableció un lote experimental de trigo harinero en el Campo Experimental Bajío del INIFAP ubicado en Roque, municipio de Celaya, Guanajuato, México. Las parcelas se establecieron en suelo tipo vertisol, representativo del Bajío (que abarca los estados de Guanajuato, Quéretaro, Aguascalientes y San Luis Potosí), con coordenadas 20°34’59’’ N y 100°49’30’’ W y altitud de 1 767 msnm. En esta localidad el clima es cálido y templado, con temperatura promedio de 18.3 °C. En comparación con el invierno, los veranos tienen mucha más lluvia, con precipitaciones de 689 mm. La clasificación climática de Köppen-Geiger modificado por García (2004) identifica este patrón de clima como perteneciente a la categoría Cwa.
Diseño experimental
Durante dos años consecutivos se evaluaron 6 tratamientos de fertilización: 0 kg/ha, 60 kg/ha, 120 kg/ha, 180 kg/ha, 240 kg/ha y 300 kg/ha de N, aplicados al momento de la siembra, bajo un diseño experimental de bloques completos al azar con tres repeticiones. Estas dosis son iguales a las empleadas por Paredes-Melesio y col. (2014) en sus trabajos de calibración del sensor infrarrojo GreenSeeker™, USA e incluyen las cantidades típicas aplicadas por el productor. Cada unidad experimental fue de 3 camas de 1.5 m de ancho y 5 m de largo, sembradas con 4 hilos de cultivo.
Manejo agronómico
El manejo agronómico fue el óptimo recomendado para el Bajío (Solís-Moya y col., 2013), excepto por las dosis variables de nitrógeno. Con el fin de reducir la interferencia por deficiencia de nutrientes diferentes al nitrógeno en todas las unidades experimentales se aplicaron los siguientes nutrientes: P (60 kg/ha), K (30 kg/ha), Zn (1.50 kg/ha), Fe (0.50 kg/ha), Mn (0.10 kg/ha), Cu (0.10 kg/ha), B (0.15 kg/ha) y Mo (0.02 kg/ha). Las fuentes de fertilización fueron fosfato diamónico, cloruro de potasio, sulfato de zinc, sulfato de fierro y Micromix concentrado®. Los experimentos se establecieron el 23 de diciembre de 2021 y 10 de enero de 2023, correspondientes a los ciclos agrícolas (OI 2021-2022 y OI 2022-2023. La cantidad de semilla sembrada fue de 120 kg/ha. Los riegos se suministraron a través del sistema de compuertas a los 0 d, 45 d, 75 d y 100 d después de la siembra (dds).
Captura de imágenes y estimación de Índices de Vegetación
Cada 7 d, durante 13 semanas en cada ciclo e iniciando a los 20 dds y hasta el inicio de la etapa de madurez fisiológica, se capturaron fotografías de luz visible con un VANT de la marca DJI® modelo Phantom 3 PRO® (Shenzhen, China), equipado con una cámara RGB 4K de 1/2.3” CMOS, con resolución de 12.4 megapixeles.
Para determinar el efecto de la altura a la cual se toman las fotografías sobre la estimación de los VIV se consideraron dos altitudes de vuelo: 15 m y 50 m sobre el nivel del suelo, lo que produjo una Distancia de Muestreo del Suelo (GSD, por sus siglas en inglés: Ground Sample Distance) de 0.65 cm y 2.15 cm.
Las misiones de vuelo se programaron mediante la aplicación para Android DJI Pilot© 2020, versión 1.8.1. con los siguientes parámetros: velocidad de despegue 5 m/s, velocidad de vuelo 1 m/s (para vuelos a 15 m) y 3 m/s (para vuelos a 50 m) e intervalo entre fotografías de 2 s. De esta manera, se obtuvieron en promedio 120 fotografías en los vuelos a 15 m, y 50 en los vuelos a 50 m. Todos los vuelos se hicieron a las 12:00 horas para evitar el exceso de sombras.
Con el total de fotografías obtenidas en cada vuelo se procedió a la construcción de ortofotos mediante el programa WebODM©, versión 2.5.5, las cuales se utilizaron posteriormente para calcular los VIV en cada unidad experimental, con base en los valores de reflectancia de los colores rojo, verde y azul. Las ortofotos se prepararon en el programa fotográfico de código abierto Programa de Manipulación de Imágenes GNU© (GIMP, por sus siglas en inglés: Image Manipulation Program), versión 2.10.38 y las reflectancias se calcularon a través del script RGB measure del programa de edición de imágenes científicas ImageJ©, versión 1.54 (Schneider y col., 2012).
Los VIV estimados fueron: GLI (Louhaichi y col., 2001), TGI (de-Ocampo y col., 2019), VARI (Gitelson y col., 2002), RGBVI (Bendig y col., 2013) e Índice de Vegetación Verde Rojo (GRVI, por sus siglas en inglés: Green Red Vegetation Indices) (Tucker, 1979). Para validar la efectividad de los VIV se registraron los valores NDVI (Rouse y col., 1973) del dosel vegetal de cada unidad experimental con un sensor óptico (GreenSeeker™ Handheld Crop Sensor, modelo HCS-100 Trimble Navigation Limited, Sunnyvale, California, USA), en las mismas fechas y en los mismos horarios en que se tomaron las imágenes de la cámara RGB del VANT. El NDVI se midió entre 60 cm y 90 cm sobre el dosel vegetal del trigo con un diámetro mayor de lectura de 50 cm, lo que define un ángulo de medición de 45°. En el caso de las ortofotos, se consideró como parcela útil la totalidad de la superficie de la unidad experimental, mientras que para la toma de los datos NDVI se consideraron los 4 m centrales de las 3 camas, donde cada cama fue una repetición.
Análisis estadístico
Con los valores calculados para cada VIV se construyeron gráficas para observar su comportamiento a lo largo del ciclo del cultivo y compararlos con el del NDVI, así se identificó la mejor etapa del cultivo para determinar la dosis de fertilización nitrogenada, de acuerdo con los criterios establecidos por Mandujano-Bueno y col. (2023). Para identificar el VIV que mejor se correlacionó con el rendimiento se tomaron como base sus valores promedio en cada tratamiento para aplicar análisis de correlación de Pearson, además se determinaron coeficientes de determinación (R2) a través de análisis de regresión empleando el valor promedio de cada VIV como variable independiente y rendimiento de grano como variable dependiente.
Adicionalmente, se realizaron análisis de correlación de Pearson, así como regresión lineal simple, empleando el NDVI como variable independiente y cada uno de los VIV como variable dependiente para evaluar el nivel de ajuste entre dichos índices y determinar si alguno de ellos podría reemplazar al NDVI en la predicción de dosis de fertilización nitrogenada.
Al finalizar el ciclo de cultivo se cosechó cada unidad experimental, el grano se pesó y se determinó el porcentaje de humedad para ajustarlo al 13 %; con estos datos se calculó el rendimiento de grano en kg/ha. Para estudiar el rendimiento total en los diferentes tratamientos y años se realizó un análisis de varianza combinado y comparación de medias de Tukey empleando el software estadístico Sistema de Análisis Estadísticos versión 9.3 (SAS, por sus siglas en inglés: Statistical Analysis System).
Resultados y discusión
Rendimiento de grano en función de la cantidad de nitrógeno aplicado
El análisis de varianza del rendimiento de grano presentó diferencias altamente significativas, tanto para años como para tratamientos (Tabla 1). Aunque las diferencias entre años (ciclos OI 2021-2022 y OI 2022-2023) fueron grandes (9.3 T/ha vs 4.8 T/ha), la tendencia de la respuesta entre tratamientos fue similar. En ambos años hubo una tendencia a incrementar pronunciadamente el rendimiento en los tratamientos de 0 kg/ha hasta 120 kg/ha de N y a partir de 180 kg/ha el incremento fue marginal (Tabla 2).
La comparación de medias entre años indicó que 2022 fue el año más productivo, con una diferencia cercana al 100 % (Tabla 2). La diferencia entre años se atribuye a la variación en condiciones ambientales, principalmente del suelo y fecha de siembra.
El suelo donde se sembró en 2022 fue de tipo vertisol de textura arcillosa, pH de 7.4 y 2.1 de materia orgánica, mientas que el de 2023 fue franco arcilloso del tipo vertisol, pH ligeramente alcalino de 7.8, con 1.41 % de materia orgánica. El contenido de nutrientes minerales se muestra en la Tabla 3.
En términos generales, el suelo en 2022 fue más fértil y con más materia orgánica que en 2023, lo que podría explicar en parte las diferencias en rendimiento observadas entre los 2 años. Por otra parte, las fechas de siembra fueron diferentes por 18 d, la del ciclo OI 2022-2023 fue la más tardía, lo que pudo implicar que el cultivo de este ciclo se viera expuesto a temperaturas más altas durante las etapas de espigamiento y llenado de grano con respecto al ciclo OI 2021-2022, induciendo a un menor rendimiento en este ciclo.
Tabla 1 Análisis de varianza combinado para rendimiento de grano de trigo de la variedad Alondra sometida a seis dosis crecientes de fertilización nitrogenada.
| Fuentes de Variación | Grados de libertad | Cuadrados medios |
|---|---|---|
| Año | 1 | 187.23* |
| Repeticiones/años | 4 | 0.10ns |
| Tratamientos | 5 | 19.51* |
| Año x Tratamiento | 5 | 1.53* |
| Error | 20 | 1.08ns |
| CV Tratamiento (%) | 8.85 |
CV = Coeficiente de variación, *significativo ( P ≤ 0.05), ns = no significativo.
Tabla 2 Comparación de medias de rendimiento de grano de trigo fertilizado con dosis crecientes de nitrógeno de 0 kg a 300 kg.
| Tratamiento | Rendimiento de grano (T/ha) |
|---|---|
| Dosis de N | |
| 0 kg/ha de N | 4.0c |
| 60 kg/ha de N | 6.0b |
| 120 kg/ha de N | 7.3ab |
| 180 kg/ha de N | 8.0a |
| 240 kg/ha de N | 8.6a |
| 300 kg/ha de N | 8.5a |
| DMSH | 1.1 |
| Años | |
| 2022 | 9.3a |
| 2023 | 4.8b |
| DMSH | 1.5 |
a, b, cLetras distintas indican diferencia significativa entre tratamiento (dosis de N o años) (P ≤ 0.05) .
En la expresión del rendimiento, inducida por la cantidad de nitrógeno, la prueba de comparación de medias (P ≤ 0.05, Tabla 2) demostró que los mayores rendimientos se encontraron a partir de 120 kg/ha, sin embargo, dosis superiores no resultaron en rendimientos estadísticamente más altos. Dichos resultados son similares a los reportados por Walsh y col. (2020), quienes demostraron que conforme se incrementa la disponibilidad de agua y de nitrógeno, el rendimiento de trigo se incrementa. En su estudio, encontraron que 150 kg/ha de N (incluyendo el nitrógeno residual en suelo más el fertilizante agregado) fue suficiente para optimizar el rendimiento y el contenido de proteína del grano. Los resultados evidencian la importancia de evitar aplicaciones en exceso de N; el aplicar la dosis adecuada maximiza el rendimiento y además ayuda a reducir la contaminación ambiental y mejorar la rentabilidad del cultivo. Aunque la relación dosis de nitrógeno-rendimiento en trigo se ha estudiado desde al menos 7 décadas bajo la consideración de la ley de rendimientos decrecientes (donde se analizan dosis de fertilización óptima sin variar otros factores), es importante determinar estas dosis con cada nueva variedad, dependiendo del tipo de suelo o la región agroclimática donde se cultiva (Burton y col., 2024; Hnizil y col., 2024); por lo que esta debe ser una acción rutinaria de los programas de mejoramiento de trigo con el fin de generar paquetes tecnológicos adecuados.
Correlación de VIV, NDVI y rendimiento de grano
En la Tabla 4 se muestran los valores promedio de los coeficientes de correlación de Pearson entre todas las variables para los dos ciclos, es decir, la asociación existente entre los VIV, el NDVI y el rendimiento de grano por cada ciclo de cultivo.
La correlación del NDVI con el rendimiento fue alta (0.924). Actualmente, este indicador es considerado como valor de referencia para estimar rendimientos de cosecha. Los resultados obtenidos concuerdan con Walsh y col. (2022) para betabel, Kaya y col. (2023) para trigo y Tamás y col. (2023) en maíz, entre otros. A su vez, es posible apreciar que los diferentes índices de VIV tuvieron un valor de correlación ≥ 0.943 con el indicador NDVI y un valor ≥ 0.905 con el rendimiento, lo que indica que, los VIV determinados a través de imágenes aéreas pueden usarse como alternativa o complemento al NDVI estimado a nivel de suelo con el Greenseeker™.
Predicción de rendimiento y dosis de fertilizante nitrogenado
Los valores de VIV obtenidos con vuelos del VANT a 50 m de altura se correlacionaron mejor con el NDVI que los obtenidos a 15 m, debido probablemente a la diferencia de luminosidad captada a diferentes alturas, como el ejemplo de la Figura 1, que es una ortofoto representativa de cada altura de vuelo, con diseños de parcelas similares en los 2 ciclos (OI 2021-2022 y OI 2022-2023). Los valores globales de VIV reportados a 50 m de altura permitieron que el coeficiente de determinación que ajusta su modelo fuera mayor; por ejemplo, entre NDVI y TGI a 50 m fue de 0.860, mientras que a 15 m fue de 0.798 (datos no mostrados). Por esta razón, todos los análisis y comparaciones, que se muestran a continuación, se realizaron considerando los VIV obtenidos con vuelos a 50 m, donde los valores de los coeficientes de determinación con el rendimiento fueron superiores a 0.86.
Tabla 3 Análisis de contenido de nutrientes minerales en suelos de las parcelas experimentales en los años 2022 y 2023.
| Mineral | 2022 | 2023 |
|---|---|---|
| Concentración (ppm) | Concentración (ppm) | |
| Nitrógeno | 25.3 | 14.9 |
| Fósforo | 22 | 26 |
| Potasio | 650 | 823 |
| Calcio | 4 500 | 3 420 |
| Magnesio | 826 | 389 |
| Sodio | 241 | 401 |
| Hierro | 8.3 | 5.4 |
| Zinc | 1.1 | 0.7 |
| Manganeso | 8.1 | 6.3 |
| Cobre | 0.85 | 0.65 |
| Boro | 3.1 | 2.16 |
Tabla 4 Coeficientes de correlación promedio entre las variables estimadas en los ciclos OI 2021-2022 y OI 2022-2023 (P ≤ 0.01).
| NDVI | GLI 50 | RGBVI | GRVI | VARI | TGI | Rendimiento | |
|---|---|---|---|---|---|---|---|
| NDVI | 1 | 0.946 | 0.946 | 0.946 | 0.943 | 0.944 | 0.924 |
| GLI 50 | 1 | 0.999 | 0.999 | 0.996 | 0.995 | 0.928 | |
| RGBVI | 1 | 0.999 | 0.990 | 0.998 | 0.917 | ||
| GRVI | 1 | 0.996 | 0.995 | 0.929 | |||
| VARI | 1 | 0.983 | 0.945 | ||||
| TGI | 1 | 0.905 | |||||
| Rendimiento | 1 |
Los valores más altos en los VIV (Figura 2) se registraron en la etapa de encañe inicial, que corresponde a la etapa 6 de Feekes (Large y col., 1954) y a la etapa 3.1 de Zadoks y col. (1974), mientras que los menores fueron en la etapa de madurez fisiológica (Feekes 11, Zadoks 9). Esta tendencia es similar a la que registraron los valores NDVI (Figura 2F), lo que demuestra la posibilidad de utilizar los VIV generados con el VANT de la forma en que se ha utilizado el NDVI para estimar el rendimientode grano y para calcular dosis de fertilización nitrogenada en la etapa de encañe inicial, tal como lo proponen Mandujano-Bueno y col. (2023).

Figura 1 Imágenes ortorrectificadas representativas del experimento OI 2021-2022. A) Vuelo del VANT a 15 m de altura. A) Vuelo del VANT a 50 m. Cada tratamiento incluye tres camas. Los números en el centro de la cama indican el tratamiento en kg/ha de nitrógeno, las repeticiones se aleatorizaron en cada bloque. Alrededor de la parcela experimental se encuentran bordos de la misma variedad.
Aula y col. (2020), en una amplia revisión de 26 artículos que incluían el uso de sensores remotos y su relación con dosis de nitrógeno y rendimiento de grano, concluyeron que, en condiciones de rendimiento similar, el empleo de índices de vegetación permitió el ahorro de hasta 69 kg/ha de N comparado con los métodos convencionales. Walsh y col. (2020) encontraron que el NDVI explicó el 84 % de la variación en el rendimiento de trigo. Aula y col. (2021) reportaron un coeficiente de determinación (R2) de 0.79; por lo tanto, es posible el empleo indistinto del NDVI o los VIV, principalmente VARI.
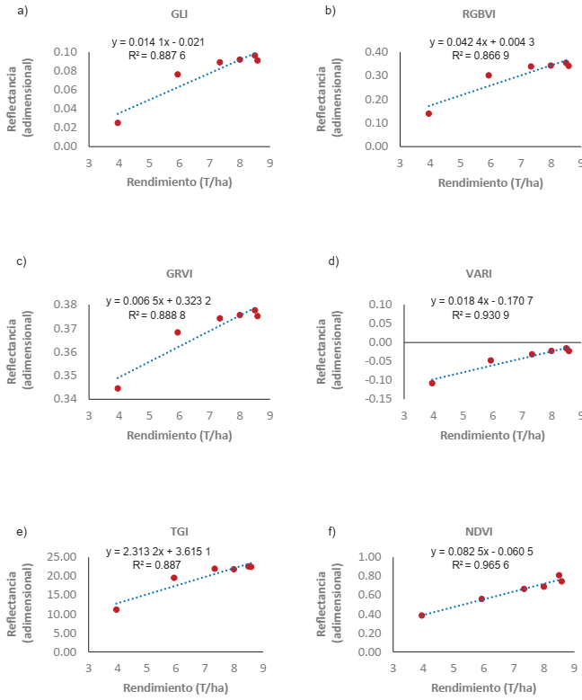
En experimentos previos, los autores de este trabajo demostraron que el GLI se correlaciona en más de 80 % con el rendimiento de 13 variedades de trigo (Montero y col., 2021). Por otra parte, el análisis de correlación complementado con el de regresión entre el NDVI y los VIV dio como resultado un coeficiente de determinación R2 de 0.89 entre NDVI y los VIV, GLI, RGVBI y GRVI, es decir, que 89 % de la variación observada en el NDVI puede explicarse por los resultados obtenidos con estos VIV. Los coeficientes de correlación de todos los índices entre sí y con el rendimiento tienen valores altos ≥ 0.90 (Tabla 4). Esto significa que los VIV pueden emplearse indistintamente entre sí y en lugar del NDVI. Al respecto, los coeficientes de determinación promedio, obtenidos de los dos ciclos en la etapa de encañe inicial, entre NDVI y los diferentes VIV, presentaron los siguientes valores: 0.898 con GLI, 0.882 con RGBVI, 0.809 5 con GRVI, 0.914 5 con VARI y 0.856 con TGI. Esto significa que los VIV explicaron desde 80 % (GRVI) hasta 91 % (VARI) de la varianza observada en el NDVI en esta etapa fenológica. También los coeficientes de determinación (R2) para los modelos que relacionaron los índices GLI (0.887 6), GRVI (0.888 8) y VARI (0.930 9) con el rendimiento, calculados en la etapa de encañe inicial, fueron altos y cercanos al coeficiente de determinación entre NDVI y rendimiento global reportado (0.965 6) (Figura 3). Los coeficientes de determinación calculados empleando los promedios de todo el ciclo de cultivo, resultaron no menores a 0.94 en todos los casos. Esto confirma la utilidad de estos VIV para estimar el rendimiento de grano y eventualmente sustituir el uso actual del NDVI.

Figura 2 Comportamiento promedio de los índices de vegetación a través de las etapas fenológicas comprendidas en el estudio en los diferentes tratamientos. Se resalta el valor del encañe inicial. 3HTP = tres hojas en tallo principal, MI = amacollamiento inicial, MII = amacollamiento intermedio, MIII = amacollamiento final, EI = encañe inicial, EII = encañe intermedio, EIII = encañe final, Es = espigamiento, AI = inicio de antesis, AII = antesis, L = grano lechoso, L-M = grano lechoso masoso, M = grano masoso, MFI = madurez fisiológica, MFII = madurez mecánica.
Conclusiones
Los Índices de Vegetación de luz visible (VIV), particularmente VARI, estimados en vuelos a 50 m de altura se correlacionaron con el rendimiento, requerimientos de fertilizante nitrogenado y el índice NDVI estimado con el sensor GreenSeeker™, particularmente en la etapa de encañe inicial, por lo que pueden emplearse de manera complementaria o sustituyendo con alto grado de confianza al NDVI; aunque es importante probar estos índices con más variedades de trigo y en más ambientes. La aplicación de los VIV permite predecir adecuadamente el rendimiento de grano y las dosis de nitrógeno que se deben aplicar en el reabono en la etapa fenológica de encañe inicial.










nova página do texto(beta)



