Introducción
La estimación del riesgo de inundaciones de una cierta área y el dimensionamiento hidrológico de las obras hidráulicas, como embalses, puentes, muros y diques de protección y canalizaciones, se realiza con base en las llamadas crecientes de diseño, que son gastos extremos del río asociados con bajas probabilidades de excedencia. La estimación más confiable de las crecientes de diseño se lleva a cabo a través del Análisis de Frecuencias de Crecientes (AFC) del registro o serie disponible de gastos máximos anuales. El AFC asume que el proceso aleatorio que genera tales crecientes es estacionario y por ello sus propiedades estadísticas no cambian a lo largo del tiempo (Khaliq, Ouarda, Ondo, Gachon, & Bobée, 2006; El-Adlouni, Ouarda, Zhang, Roy, & Bobée, 2007; El-Adlouni & Ouarda, 2008).
Todos los cambios físicos que ocurren en las cuencas de drenaje, como son la construcción de embalses, la urbanización, la rectificación de cauces, la deforestación y el cambio de uso del suelo, alteran los procesos hidrológicos, dando origen a series o registros de gastos máximos anuales no estacionarios, ya que presentan tendencias y cambios en la variabilidad. Aunado a lo anterior, los impactos del cambio climático global pueden exacerbar las alteraciones de los procesos hidrológicos, favoreciendo la formación de series de datos hidrológicos extremos no estacionarias. Desde comienzos de la década de 1990, la no estacionariedad debida a la urbanización y/o al cambio climático fue tomada en cuenta, corrigiendo el registro disponible, aplicando factores de incremento a las predicciones, o bien realizando predicciones en la cuenca rural y luego ajustando los resultados por su grado de urbanización (Jakob, 2013; Prosdocimi, Kjeldsen, & Miller, 2015).
Actualmente, la teoría estadística de valores extremos ha sido extendida a las condiciones no estacionarias para ajustar la distribución clásica que siguen asintóticamente las series de datos hidrológicos máximos, es decir el modelo probabilístico General de Valores Extremos estacionario (GVE0) con tres parámetros de ajuste (u, α, k). Lo anterior con base en la introducción de las llamadas covariables. Una de las más utilizadas es el tiempo (t) en años, a través de la cual se puede tomar en cuenta la tendencia observada en la serie de datos, adoptando variable el parámetro de ubicación (ut ). Cuando la tendencia es lineal, ut = μ0 + μ1 · t y entonces se ajusta el modelo GVE1 de cuatro parámetros de ajuste (μ0, μ1, α, k). Si la tendencia es curva, ut = μ0 + μ1 · t + μ2 · t2 y se aplica el modelo GVE2 de cinco parámetros de ajuste (μ0, μ1, μ2, α, k). En el modelo GVE11 tanto el parámetro de ubicación como el de escala (αt = σ0 + σ1 · t) son funciones lineales del tiempo t y entonces se toma en cuenta, además de la tendencia, el cambio a través del tiempo de la variabilidad de la serie (Khaliq et al., 2006; El-Adlouni & Ouarda, 2008; Aissaoui-Fqayeh, El-Adlouni, Ouarda, & St. Hilaire, 2009; Jakob, 2013; Gado & Nguyen 2016).
Khaliq et al. (2006), y Meylan, Favre y Musy (2012) han expuesto una revisión de los diversos métodos utilizados en el AFC, en el contexto no estacionario. Tales técnicas incluyen la incorporación de tendencias en los parámetros de la distribución o en los momentos estadísticos, el método del cuantil de la regresión, los procesos de verosimilitud local y el enfoque Bayesiano. En los modelos probabilísticos del primer enfoque, el uso de covariables pretende integrar los cambios que han ocurrido en el pasado directamente en las técnicas del AFC, con el objeto de extrapolarlos al futuro. En este contexto, los modelos que usan el tiempo como covariable, caso del aquí expuesto, son simples y útiles para reproducir el comportamiento no estacionario de un registro de crecientes, pero la aceptación de sus predicciones no es plenamente correcta, ya que como indican López y Francés (2013), las tendencias pueden cambiar en el corto o largo plazos debido a la variabilidad climática o a la intensificación de las actividades humanas.
Debido a lo anterior, en las dos últimas décadas se ha explorado la posibilidad de incorporar índices climáticos como forzamientos externos en los modelos del AFC, asumiendo dependencia lineal o no lineal. Este enfoque ha mostrado que el uso de tales covariables conduce a modelos que describen mejor los cambios temporales ocurridos en los registros de crecientes. En realidad, se ha encontrado una teleconexión entre los cambios observados en los regímenes de crecientes y las anomalías en los índices (ENSO: El Niño-Southern Oscillation; PDO: Pacific Decadal Oscillation, and NAO: North Atlantic Oscillation) que describen la evolución temporal de los patrones de circulación atmosférica de baja frecuencia (Khaliq et al., 2006; López-de-la-Cruz & Francés, 2014).
El objetivo de este trabajo consistió en exponer la teoría del ajuste de la distribución GVE a las condiciones no estacionarias por medio de la generalización del método de los momentos L, planteada por Gado y Nguyen (2016) para el modelo GVE11. Se exponen y procesan tres series de datos hidrológicos extremos tomadas de la literatura especializada y se discuten sus resultados, destacando la sencillez y utilidad de método de los momentos L para obtener predicciones dentro del registro histórico y a futuro, cuando ellas son importantes, debido a la tendencia ascendente de la serie y/o su variabilidad en aumento.
Teoría operativa
Distribución General de Valores Extremos
Los valores extremos anuales son eventos raros que ocurren en la extremidad o cola derecha de la función de distribución de probabilidades (FDP), que es el modelo probabilístico que define el comportamiento de la variable aleatoria hidrológica bajo estudio, como son crecientes y valores máximos de lluvias, temperaturas, vientos y niveles del mar. Los valores extremos se pueden predecir con base en la FDP, como el máximo de la variable aleatoria que corresponde a un cierto intervalo promedio de recurrencia o periodo de retorno (Tr), cuya probabilidad de excedencia es p = 1 / Tr.
La teoría de valores extremos justifica y establece que los datos extremos siguen de manera asintótica alguno de los tres tipos de distribuciones denominadas Gumbel, Fréchet o Weibull (Clarke, 1973; Stedinger, Vogel, & Foufoula-Georgiou, 1993; Coles, 2001; Khaliq et al., 2006). Estos tres modelos probabilísticos se pueden representar en uno solo, denominado distribución General de Valores Extremos (GVE), cuya aplicación ha sido ampliamente recomendada para modelar gastos máximos anuales (q) y otros datos extremos (Hosking & Wallis, 1997; Papalexiou & Koutsoyiannis, 2013; Gado & Nguyen, 2016; Stedinger, 2017). La FDP de la GVE con una probabilidad de no excedencia [F(q)] es:
En la expresión anterior, u, α y k son los parámetros de ubicación, escala y forma de la distribución GVE. Cuando k = 0, se obtiene la distribución Gumbel, que es una línea recta en la papel de probabilidad Gumbel-Powell (Chow, 1964), por lo cual el intervalo de la variable es -∞ < q < ∞. Cuando k > 0, la distribución es Weibull, que es una curva con concavidad hacia abajo y límite superior, por lo cual -∞ < q ≤ u + α / k. Por último, si k < 0, la distribución es Fréchet, que también es una curva, pero con concavidad hacia arriba y frontera inferior, por lo que u + α / k ≤ q < ∞. Las predicciones buscadas (QTr ) se obtienen con la solución inversa de la Ecuación (1):
Momentos L de la muestra de datos
El método de los momentos L es quizás el más simple y se ha convertido en uno de los procedimientos confiables para estimar los parámetros de ajuste de las FDP utilizadas en hidrología. Lo anterior debido a que los momentos L, que son combinaciones lineales (Hosking & Wallis, 1997) de los momentos de probabilidad ponderada (βr ), no son afectados de manera significativa por los valores dispersos (outliers) de la muestra. Los primeros tres momentos L de una muestra (l1, l2, l3) y el cociente L de asimetría (t3) se estiman a través del estimador insesgado (br ) de los βr , como sigue:
El estimador insesgado de los βr es (Hosking & Wallis, 1997):
donde r = 0, 1, 2,… y qj son los datos de la muestra o serie disponible de tamaño n, ordenados de menor a mayor
Parámetros de ajuste de la distribución GVE estacionaria
Para el modelo GVE0 con el método de los momentos L se obtienen las ecuaciones siguientes para sus tres parámetros de ajuste (Stedinger et al., 1993; Hosking & Wallis, 1997; Rao & Hamed, 2000; Stedinger, 2017):
siendo:
Para la estimación de la función Gamma Γ(ω) se utilizó la fórmula de Stirling (Davis, 1972):
Planteamiento del análisis no estacionario
Tiene dos suposiciones inherentes. La primera acepta que la no estacionariedad de las series hidrológicas de valores anuales extremos es causada por cambios graduales del uso del suelo o por el cambio climático global o de escala regional, generando una alteración ligera de sus parámetros estadísticos. El segundo supuesto acepta que la FDP es independiente del tiempo, entonces la distribución GVE, con parámetros de ajuste variables con el tiempo, es aceptable para modelar datos extremos no estacionarios.
Debido a la no estacionariedad existe gran variabilidad estadística asociada con la muestra o serie disponible de datos anuales extremos y por ello conviene adoptar que la media (μ) y la desviación estándar (σ) son funciones del tiempo. La manera más simple se realiza por medio del modelo probabilístico GVE11 con variaciones lineales, por lo cual μt = μ0 + μ1 · t y ln(σt ) = σ0 + σ1 · t. En las expresiones anteriores, t es la covariable tiempo en años que abarca la serie de datos de tamaño n. El uso de los logaritmos naturales de σ asegura valores positivos del parámetro de escala (α) en la distribución GVE (Gado & Nguyen, 2016). Las expresiones generales de la media y de la desviación estándar del modelo GVE0, obtenida la segunda a través del segundo momento central, son (Rao & Hamed, 2000):
Ajuste de la distribución GVE11
Como la media y el logaritmo natural de la desviación estándar son funciones lineales del tiempo, primero se introduce la expresión μt = μ0 + μ1 · t en la Ecuación (13) para despejar la expresión de parámetro de ubicación variable con el tiempo (ut ), en la cual también es variable el parámetro de escala (αt ) y donde FK1 es el primer factor función del parámetro de forma (k). Tal ecuación es (Gado & Nguyen, 2016):
en donde:
De la Ecuación (14) se obtiene la expresión de parámetro de escala variable con el tiempo:
Por lo cual:
siendo:
Sustituyendo la Ecuación (18) en la Ecuación (15) se obtiene la expresión final del parámetro de ubicación variable con el tiempo:
Las magnitudes μ0 y μ1 de la recta que representa la tendencia lineal de la muestra o serie de datos qt se obtienen con base en las ecuaciones de la recta de regresión lineal de la manera siguiente: se considera que la variable dependiente (y) son los datos hidrológicos máximos anuales qt y los tiempos o años t son las abscisas (x), en este caso iguales al i-ésimo valor de i. La pendiente (μ1) de la recta de regresión ajustada por mínimos cuadrados de los residuos y la ordenada al origen (μ0) se obtienen con las ecuaciones siguientes (Campos-Aranda, 2003):
En las ecuaciones anteriores,
siendo:
Para estimar la tendencia lineal en la desviación estándar (σt ), primero se obtienen los residuales (εt ) con la ecuación siguiente (Cunderlik & Burn, 2003; Gado & Nguyen, 2016):
Se obtiene su valor medio (
Se aplican logaritmos naturales a
Los valores de σ1 y σ0 se calculan con base en las ecuaciones (22) y (23). El grado de asociación entre ln(
En las expresiones anteriores, σt = exp(σ0 + σ1·t). Se aplican las ecuaciones (9) y (8) a la serie de
Error estándar de ajuste
Desde mediados de la década de 1970 se formuló al error estándar de ajuste (EEA) como una medida cuantitativa que estima la habilidad descriptiva del modelo probabilístico ajustado (Meylan et al., 2012). El EEA permite la comparación objetiva entre las diversas FDP que se prueban o ajustan a una serie o muestra de datos, ya que tiene las unidades de los datos (qi ). Su expresión es la siguiente (Kite, 1977):
en donde n es el número de datos de la serie disponible; npa, el número de parámetros de ajuste de la FDP que se prueba (cinco para el modelo GVE11); qi , los datos ordenados de menor a mayor, y
en la cual m es el número de orden del dato, con 1 para el menor y n para el mayor.
Planteamiento de los análisis probabilísticos
Para que la distribución GVE11 sea aplicable al registro no estacionario, su gráfica de valores de los datos (qi ) contra el tiempo (ti ) deberá mostrar tendencia lineal, y variabilidad o desviación estándar que aumenta o disminuye con el tiempo. El cálculo del error estándar de ajuste (EEA) con la Ecuación (33) permite la comparación o confrontación de los diversos modelos no estacionarios probados en la serie que se procesa. Cuando los valores del EEA son similares, se puede adoptar un modelo no estacionario de manera subjetiva, por ejemplo, el que conduce a las predicciones más desfavorables.
Respecto a otras distribuciones no estacionarias, existen varias, por ejemplo la Log-Normal (Vogel, Yaindl, & Walter, 2011; Aissaoui-Fqayeh et al., 2009) y los modelos Logística Generalizada (Kim, Nam, Ahn, Kim, & Heo, 2015) y Pareto Generalizada, que son susceptibles de un tratamiento idéntico al descrito en este trabajo para la distribución GVE, cambiando las ecuaciones (13) y (14) por las correspondientes a estos modelos (Rao & Hamed, 2000). También se pueden usar otras covariables en lugar del tiempo (t), como algunos índices climáticos globales o regionales (López-de-la-Cruz & Francés, 2014; Álvarez-Olguín & Escalante-Sandoval, 2016; Campos-Aranda, 2018a).
Con base en la Ecuación (2) se estiman las predicciones con periodos de retorno (Tr) de 2, 10, 25, 50 y 100 años, a través del periodo de registro, aplicando las ecuaciones (20) y (18). La primera predicción corresponde a la mediana, ya que su probabilidad de no excedencia (1-p) es del 50 % y las cuatro siguientes se calculan para los valores siguientes: 0.90, 0.96, 0.98 y 0.99, respectivamente. Además, en una de las series procesadas se hacen predicciones a futuro, en los años 2025 y 2050. Se considera que extrapolar más de 30 años el comportamiento observado en la tendencia histórica y su variabilidad es extremadamente arriesgado.
Al respecto, se considera mucho más confiable el método de los momentos L móviles sugerido por Mudersbach y Jensen (2010), y aplicado por Campos-Aranda (2018b), cuya limitante principal es requerir registros bastante amplios. También se muestran en los gráficos de datos y predicciones las estimaciones de los Tr extremos (2 y 100 años) con el modelo estacionario GVE0, las cuales son líneas rectas horizontales punteadas.
Series hidrológicas procesadas
Serie 1: con tendencia descendente y disminución de variabilidad
Este registro fue expuesto por Katz (2013) como ejemplo impresionante de la reducción de la precipitación máxima diaria (PMD) del invierno (mayo a octubre), medida en la estación Manjimup del extremo suroeste de Australia. El registro abarca 75 valores anuales (de 1930 a 2004), con tendencia descendente y variabilidad mayor en el inicio del registro. Sus magnitudes aproximadas se exponen en la Tabla 1, ya que fueron leídas de una gráfica de barras y se muestran en la Figura 1.
Tabla 1 Datos máximos anuales por procesar de precipitación máxima diaria (PMD, en milímetros) y de gasto (q, m3/s) en las estaciones indicadas.
| Núm. del dato | (PMD) Est. Manjimup | (q) río Aberjona | (q) MercerCreek | Núm. del dato | (PMD) Est. Manjimup | (q) río Aberjona | (q) Mercer Creek |
|---|---|---|---|---|---|---|---|
| 1 | 35.7 | 9.1 | 6.8 | 39 | 34.7 | 18.7 | 5.2 |
| 2 | 49.0 | 5.9 | 5.1 | 40 | 24.8 | 39.6 | 8.9 |
| 3 | 37.8 | 7.4 | 6.7 | 41 | 33.6 | 7.1 | 15.5 |
| 4 | 47.1 | 6.8 | 6.2 | 42 | 24.8 | 9.3 | 17.6 |
| 5 | 84.0 | 5.0 | 5.9 | 43 | 29.9 | 24.4 | 9.1 |
| 6 | 44.9 | 6.2 | 5.4 | 44 | 28.3 | 12.7 | 12.3 |
| 7 | 54.1 | 9.1 | 4.8 | 45 | 34.8 | 22.9 | 11.0 |
| 8 | 45.9 | 9.1 | 4.3 | 16 | 36.1 | 8.5 | 8.6 |
| 9 | 64.8 | 10.2 | 6.4 | 47 | 34.1 | 14.7 | 15.5 |
| 10 | 35.1 | 3.4 | 5.4 | 48 | 34.9 | 24.6 | 18.1 |
| 11 | 52.3 | 7.1 | 5.2 | 49 | 35.0 | 8.8 | 21.3 |
| 12 | 63.9 | 6.8 | 7.2 | 50 | 30.0 | 8.8 | 10.9 |
| 13 | 42.5 | 6.2 | 5.0 | 51 | 35.0 | 19.8 | 13.1 |
| 14 | 31.4 | 7.1 | 7.1 | 52 | 28.1 | 13.9 | - |
| 15 | 54.6 | 13.9 | 5.3 | 53 | 28.0 | 6.8 | - |
| 16 | 97.5 | 19.5 | 5.7 | 54 | 51.5 | 13.9 | - |
| 17 | 49.6 | 10.8 | 11.5 | 55 | 32.1 | 15.0 | - |
| 18 | 95.9 | 4.8 | 6.9 | 56 | 37.0 | 5.9 | - |
| 19 | 50.0 | 11.0 | 9.1 | 57 | 24.1 | 9.1 | - |
| 20 | 42.9 | 4.8 | 9.6 | 58 | 32.0 | 34.0 | - |
| 21 | 51.8 | 5.4 | 7.8 | 59 | 63.7 | 31.1 | - |
| 22 | 35.6 | 6.8 | 7.5 | 60 | 33.3 | 13.3 | - |
| 23 | 37.2 | 10.8 | 11.4 | 61 | 46.3 | 11.0 | - |
| 24 | 57.0 | 22.4 | 13.3 | 62 | 51.8 | 45.3 | - |
| 25 | 53.9 | 6.5 | 14.7 | 63 | 37.9 | 6.8 | - |
| 26 | 54.8 | 8.8 | 11.9 | 64 | 41.2 | 8.8 | - |
| 27 | 43.5 | 2.8 | 19.0 | 65 | 34.1 | 28.3 | - |
| 28 | 47.0 | 10.8 | 17.4 | 66 | 35.0 | 6.5 | - |
| 29 | 36.7 | 18.4 | 11.5 | 67 | 35.0 | 36.8 | - |
| 30 | 29.2 | 13.0 | 10.0 | 68 | 43.4 | 15.3 | - |
| 31 | 34.3 | 21.2 | 23.6 | 69 | 36.0 | 8.2 | - |
| 32 | 48.2 | 4.0 | 14.2 | 70 | 51.4 | - | - |
| 33 | 50.7 | 15.6 | 9.5 | 71 | 30.0 | - | - |
| 34 | 37.6 | 8.5 | 6.5 | 72 | 34.1 | - | - |
| 35 | 42.7 | 7.4 | 18.9 | 73 | 37.0 | - | - |
| 36 | 31.9 | 6.5 | 15.1 | 74 | 36.0 | - | - |
| 37 | 38.8 | 13.0 | 7.8 | 75 | 27.3 | - | - |
| 38 | 29.4 | 10.2 | 7.9 | - | - | - | - |
Serie 2: con tendencia ascendente y variabilidad en aumento
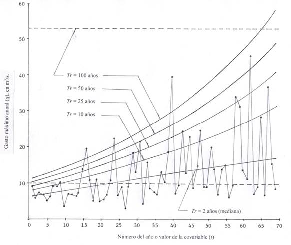
Este registro de gastos máximos anuales fue procesado por Vogel et al. (2011), tiene 69 valores en el lapso de 1940 a 2008 y procede de una estación de aforos localizada en el río Aberjona, justo después de la ciudad de Boston, Massachusetts, EUA, de manera que su cuenca siempre ha estado bajo el impacto en aumento del desarrollo urbano. Sus valores aproximados se muestran en la Tabla 1, ya que fueron leídos en un diagrama de dispersión y se exponen en la Figura 2.
Serie 3: tramo con tendencia ascendente y variabilidad en aumento
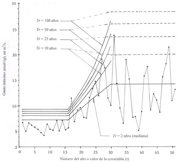
Este registro de gastos máximos anuales fue expuesto por Gilleland y Katz (2011), y Katz (2013), y procede de una cuenca en el estado de Washington, EUA, cuya estación de aforos Mercer Creek tiene 51 valores en el periodo de 1956 a 2006. En el intervalo de 15 años entre 1971 y 1985, este registro estuvo influenciado por una urbanización en aumento e intensa. Debido a ello, únicamente tal lapso debe ser considerado no estacionario. Los datos aproximados de tal serie se tienen en la Tabla 1, ya que fueron leídos de una gráfica de barras (Katz, 2013) y se ilustran en la Figura 3.
Descripción de los resultados
Predicciones en la estación Manjimup
La aplicación de las ecuaciones (22) a (25) a los 75 datos de PMD de la Tabla 1 condujo a los resultados siguientes: μ0 =
La Ecuación (2), al utilizar los parámetros de ubicación (ecuación 20) y escala (Ecuación (18)) variables conduce a un error estándar de ajuste (EEA) de 15.5 mm. En la Tabla 2 se muestra una parte de las predicciones dentro de registro histórico; a futuro sus predicciones no son importantes debido a la tendencia lineal descendente y a la disminución de la variabilidad. Las predicciones con el modelo estacionario GVE0 de periodos de retorno 2 y 100 años son 38.7 y 96.6 mm. En la Figura 1 se muestran los datos y las curvas de predicciones descendentes.
Tabla 2 Predicciones (mm) en el periodo histórico en la estación Manjimup con base en la distribución no estacionaria GVE11.
| Núm. (t) | Año | Dato (mm) | Periodos de retorno en años | ||||
|---|---|---|---|---|---|---|---|
| 2 | 10 | 25 | 50 | 100 | |||
| 1 | 1930 | 35.7 | 50.9 | 64.4 | 71.8 | 77.6 | 83.5 |
| 10 | 1939 | 35.1 | 48.5 | 60.6 | 67.1 | 72.2 | 77.5 |
| 20 | 1949 | 42.9 | 45.9 | 56.4 | 62.2 | 66.7 | 71.3 |
| 30 | 1959 | 29.2 | 43.2 | 52.5 | 57.5 | 61.5 | 65.5 |
| 40 | 1969 | 24.8 | 40.6 | 48.7 | 53.1 | 56.5 | 60.1 |
| 50 | 1979 | 30.0 | 37.9 | 45.0 | 48.9 | 51.9 | 55.0 |
| 60 | 1989 | 33.3 | 35.2 | 41.4 | 44.8 | 47.5 | 50.2 |
| 70 | 1999 | 51.4 | 32.5 | 37.9 | 40.9 | 43.2 | 45.6 |
| 75 | 2004 | 27.3 | 31.1 | 36.2 | 39.0 | 41.2 | 43.4 |
Predicciones en el río Aberjona
La aplicación de las ecuaciones (22) a (25) a los 69 gastos máximos anuales (q) de la Tabla 1 condujo a los resultados siguientes: μ0 =
Tabla 3 Predicciones (m3/s) en el periodo histórico y a futuro en el río Aberjona con base en la distribución no estacionaria GVE11.
| Núm. (t) | Año | Dato (m3/s) | Periodos de retorno en años | ||||
|---|---|---|---|---|---|---|---|
| 2 | 10 | 25 | 50 | 100 | |||
| 1 | 1940 | 9.1 | 6.1 | 7.9 | 9.1 | 10.1 | 11.3 |
| 10 | 1949 | 3.4 | 7.7 | 10.1 | 11.7 | 13.0 | 14.6 |
| 20 | 1959 | 4.8 | 9.4 | 12.7 | 14.8 | 16.7 | 18.8 |
| 30 | 1969 | 13.0 | 11.1 | 15.6 | 18.5 | 21.0 | 23.8 |
| 40 | 1979 | 39.6 | 12.8 | 18.8 | 22.7 | 26.1 | 29.9 |
| 50 | 1989 | 8.8 | 14.3 | 22.5 | 27.8 | 32.4 | 37.6 |
| 60 | 1999 | 13.3 | 15.7 | 26.8 | 34.0 | 40.2 | 47.2 |
| 69 | 2008 | 8.2 | 16.8 | 31.4 | 40.8 | 49.0 | 58.3 |
| 86 | 2025 | - | 18.4 | 42.7 | 58.6 | 72.4 | 87.9 |
| 111 | 2050 | - | 18.4 | 70.5 | 104.6 | 134.0 | 167.2 |
Predicciones en la estación Mercer Creek
La aplicación de las ecuaciones (22) a (25) a los 15 datos de 1971 a 1985, es decir los datos con números 16 a 30 de la Tabla 1, condujo a los resultados siguientes: μ0 =
En la Tabla 4 se muestra una parte de las predicciones dentro de registro histórico y en la Figura 3 se ilustran los datos, las curvas ascendentes de predicciones y sus extrapolaciones respectivas.
Tabla 4 Predicciones (m3/s) en el periodo histórico en la estación Mercer Creek con base en la distribución no estacionaria GVE11.
| Núm. (t) | Año | Dato (m3/s) | Periodos de retorno en años | ||||
|---|---|---|---|---|---|---|---|
| 2 | 10 | 25 | 50 | 100 | |||
| 1 | 1971 | 5.7 | 7.3 | 8.1 | 8.5 | 8.9 | 9.3 |
| 4 | 1974 | 9.1 | 8.9 | 9.9 | 10.6 | 11.2 | 11.8 |
| 7 | 1977 | 7.5 | 10.4 | 12.0 | 13.0 | 13.8 | 14.7 |
| 10 | 1980 | 14.7 | 11.8 | 14.2 | 15.7 | 16.9 | 18.2 |
| 13 | 1983 | 17.4 | 13.3 | 16.7 | 18.9 | 20.7 | 22.7 |
| 15 | 1985 | 10.0 | 14.2 | 18.7 | 21.5 | 23.8 | 26.3 |
Para esta serie de datos, las predicciones con el modelo estacionario GVE0 son de importancia vital para aprobar la extrapolación hacia el inicio y el final del registro de las predicciones del modelo GVE11 que serán las más críticas (Gilleland & Katz, 2011). Por ello, se realizaron dos ajustes: (1) con el registro inicial estacionario de 15 datos (1956-1970), y (2) con el lapso de 21 valores (1986-2006) que ocurren después del tramo con tendencia y variabilidad en aumento (1971-1985). Las predicciones del primer ajuste fueron 5.7, 7.0, 7.6, 7.9 y 8.2 m3/s para los periodos de retorno (Tr) de 2, 10, 25, 50 y 100 años, respectivamente, con un EEA = 0.193 m3/s; las predicciones correspondientes al segundo ajuste fueron 12.2, 19.9, 23.4, 25.9 y 28.2 m3/s, respectivamente, con un EEA = 0.691 m3/s.
Entonces, según resultados de la Tabla 4, todas las predicciones de la GVE11 son extrapolables hacia el inicio del registro por ser mayores que las de la GVE0. Hacia el final del registro, sólo se extrapola la mediana (Tr = 2 años), que es 14.2 m3/s, debido a las predicciones de los otros Tr; son más extremas las obtenidas con la GVE0, que las del último renglón de la Tabla 4. Lo anterior se muestra en la Figura 3.
Discusión de los resultados
Desde un punto de vista práctico, las tres aplicaciones numéricas descritas cubren los casos comunes en que resulta aplicable el modelo GVE11 a registros de datos hidrológicos extremos no estacionarios y que son los siguientes:
1. Series con tendencia y variabilidad descendentes. Se presentan en registros de crecientes cuando se han construido varios embalses pequeños dentro de la cuenca de drenaje. Tal comportamiento también puede estar asociado con el cambio climático global, como en el caso de la estación pluviométrica Manjimup.
2. Registros de crecientes con tendencia ascendente. Por lo general se asocian con cuencas que tienen desarrollo urbano o deforestación intensas, como en el caso de la estación Mercer Creek.
Si ambos procesos ocurren en la cuenca, o se ven acrecentados por los impactos del cambio climático, la variabilidad también aumenta hacia el final de la muestra, como en el caso del río Aberjona.
Las predicciones, más allá del registro histórico (t > n), asociadas con bajas probabilidades de excedencia (crecientes de diseño) carecen de importancia en los registros con tendencia y variabilidad descendentes, ya que son menores en el futuro. Lo contrario ocurre con las series con tendencia ascendente y variabilidad en aumento, pero en ellas es necesario explicar o justificar el origen físico probable de tal comportamiento para aceptar las predicciones a futuro e intentar discernir sobre el alcance real de ellas. Es extremadamente riesgoso aceptar el comportamiento de variabilidad en aumento, cuando, por ejemplo, no se sabe si seguirá el desarrollo urbano en la cuenca de drenaje.
Para ampliar lo anterior, se indica que Meylan et al. (2012) han señalado que los diversos enfoques o nuevos métodos del AFC que aceptan la no estacionariedad han generado técnicas que permiten hacer predicciones asociadas con bajas probabilidades de excedencia para afrontar el diseño de las obras hidráulicas. Sin embargo, existe la necesidad imperiosa de remplazar el concepto de periodo de retorno (Tr, en años), para adecuarlo al contexto de la no estacionariedad. Lo anterior debido a que el Tr está definido con el intervalo de recurrencia promedio, medido a lo largo de un gran número de ocurrencias. Como ahora, en la no estacionariedad, la media cambia a través del tiempo, el concepto de Tr carece de sentido. Detalles y soluciones al respecto se han propuesto en las referencias de Sivapalan y Samuel (2009); Salas y Obeysekera (2014); Serinaldi (2015), y Salas, Obeysekera y Vogel (2018).
Conclusiones
Los análisis de frecuencias de crecientes (AFC) en registros no estacionarios que muestran tendencia y/o variabilidad no constante serán, en el futuro inmediato, cada vez más comunes debido al aumento de la demanda de agua potable y de alimentos, así como a los impactos del cambio climático y del desarrollo urbano. Un enfoque simple y sin dificultades computacionales que permite realizar el AFC en tales registros se basa en la extensión de la teoría de valores extremos a través del ajuste con momentos L, de la distribución no estacionaria GVE11 con parámetro de ubicación y escala variables linealmente con el tiempo que se introduce como covariable. Por lo anterior, el modelo GVE11 resulta adecuado cuando la serie de datos hidrológicos extremos presenta tendencia, y aumento o disminución de variabilidad que pueden ser aceptadas lineales.
Con base en los resultados de las tres aplicaciones numéricas en registros no estacionarios se observa la simplicidad del método expuesto, además de la facilidad para obtener las predicciones asociadas con probabilidades de no excedencia. El contraste gráfico es básico para validar la habilidad descriptiva de las predicciones dentro del registro histórico y en el futuro cercano. Los resultados numéricos del error estándar de ajuste permitirán el contraste y la aceptación de otros modelos probabilísticos no estacionarios. La aplicación del modelo probabilístico GVE11 a otros datos hidrológicos extremos, como vientos, temperaturas, sequías y niveles del mar, es plenamente factible.










texto em 





