Serviços Personalizados
Journal
Artigo
Indicadores
-
Citado por SciELO -
Acessos
Links relacionados
-
Similares em
SciELO
Compartilhar
Revista mexicana de ciencias pecuarias
versão On-line ISSN 2448-6698versão impressa ISSN 2007-1124
Rev. mex. de cienc. pecuarias vol.14 no.2 Mérida Abr./Jun. 2023 Epub 26-Jun-2023
https://doi.org/10.22319/rmcp.v14i2.6286
Technical notes
Growth curves in purebred and crossbred Limousin cattle
a Universidad Autónoma de Chihuahua. Facultad de Zootecnia y Ecología. Chihuahua, México.
b Asociación Mexicana de Criadores de Ganado Limousin. Zacatecas, México.
c Instituto Tecnológico de México. Instituto Tecnológico de El Salto. El Salto, Durango, México.
d Universidad Nacional Autónoma de México. Facultad de Estudios Superiores Cuautitlán. Ciudad de México, México.
e Universidad Juárez Autónoma de Tabasco. División Académica de Ciencias Agropecuarias. Tabasco, México.
The objective was to fit a non-linear model (NLM) to evaluate the growth curve in purebred (PB) Limousin cattle and in five degrees of crossbreeding (DCBs: 1/2, 3/4, 7/8, 15/16, 31/32 Limousin). Live weight, the birth weight interval at 500 d of age, was analyzed. Four NLMs were evaluated: Brody, Bertalanffy, Gompertz, and logistic. Growth parameters were estimated: adult weight (ADW); growth rate (GR); age (AIP; months) and weight (WIP; kg) at inflection point; age (months; A50M) to reach 50 % maturity and degree of maturity at 15 mo (DM15). The growth curve in DCB was characterized using the NLM selected for BP. The best-fitting model was Bertalanffy. The ADW for purebred (PB) males was 566.1, for crossbred (CB) males it was in the range of 446.9 to 527.4; for CB females it was in the range of 374.5 to 419.9, and for PB females, it was 443.0. The NLMs exhibited correlations below -0.75 between ADW and GR. In PB heifers, AIP was estimated at 3.7, and WIP, at 131.2; in CB heifers, AIP and WIP were in the ranges of 2.9 to 3.7 and 110.9 to 124.4, respectively. A50M for PB females was 10.6, and for CB females, within the range of 8.9 to 10.5. DM15 for CB females, the average was 90.5 %, and 87.9 % for PB females. PB males reach A50M at the age of 13 mo.
Key words Bos Taurus; Crossover; Growth parameters; Heterosis; Nonlinear models
El objetivo fue el ajuste de un modelo no lineal (MNL) para evaluar la curva de crecimiento en bovinos Limousin, en pureza de raza (PRZ) y cinco grados de cruzamiento (GPZ; 1/2, 3/4, 7/8, 15/16, 31/32 de Limousin). Se analizó el peso vivo, el intervalo de peso al nacer a 500 días de edad. Se evaluaron cuatro MNL: Brody, Bertalanffy, Gompertz y logístico. Se estimaron parámetros de crecimiento: peso adulto (PAD); tasa de crecimiento (TAC); edad (EPI; meses) y peso (PPI; kg) al punto de inflexión; edad (meses; E50M) para alcanzar 50% de madurez y madurez a 15 meses (GM15). Con el MNL seleccionado en PRZ se caracterizó la curva de crecimiento en GPZ. El modelo de mejor ajuste fue Bertalanffy. El PAD para machos PRZ fue 566.1, para GPZ estuvo en el intervalo de 446.9 a 527.4; para hembras, en GPZ estuvo en el intervalo de 374.5 a 419.9, en PRZ fue 443.0. Los MNL presentaron correlaciones por debajo de -0.75 entre PAD y TAC. En vaquillas de PRZ, EPI se estimó a 3.7 con 131.2 para PPI; en GPZ, EPI y PPI estuvieron en los intervalos de 2.9 a 3.7 y 110.9 a 124.4, respectivamente. E50M para hembras, en PRZ fue a 10.6 y para GPZ en el intervalo de 8.9 a 10.5. GM15 para hembras, en GPZ el promedio fue 90.5 % en PRZ fue de 87.9 %. Los machos en PRZ alcanzan E50M a partir de 13 meses.
Palabras clave Modelos no lineales; Parámetros de crecimiento; Bos Taurus; Cruzamiento; Heterosis
The Limousin breed, originated in France as a pure breed or in crossbreeding schemes1,2 has productive, reproductive, and adaptive qualities that have allowed its distribution in a large number of countries and production systems3,4,5; it has also been used in the development of synthetic breeds6. It arrived in Mexico through imports from Canada and the United States in the 1970s; the Mexican Association of Limousin Cattle Breeders (AMCGL, in Spanish) was established in 19897,8. It is currently distributed in 17 states, especially as a pure breed, although it is also used in open crossbreeding schemes and as a basis for the makeup of synthetic breeds, such as Limousan (5/8 Limousin and 3/8 Angus)9 and Brahmousin (5/8 Limousin and 3/8 Brahman)10.
The AMCGL coordinates the genealogical record of breed purity and purity degrees, as well as the production records that define the breed selection criteria and objectives7. Productive data associated with growth include live weight at birth and at 120, 210, and 365 d of age, with measurements at the plus or minus 45-d interval of the specified age. Live weight measurements generate a distribution of observations throughout the life of the animal, which together can be used to characterize and evaluate the growth curve. Non-linear models (NLM) characterize and analyze the animal growth curve based on the biological interpretation and applications of the regression coefficients, as well as growth parameters derived from the regression coefficients11,12,13. Regression coefficients and growth parameters play an important role in decision making for management, nutrition, breeding, and genetic improvement programs14,15,16,17. Based on the above, the objective of the present study was the selection and adjustment of a NLM to describe and evaluate the growth curve in Limousin cattle from Mexico.
The database consisted of live weight measurements in the weight interval from birth to 500 d of age in Limousin cattle (PB; purebred). In order to define the growth curve, four NLMs were evaluated: Brody (BRO), von Bertalanffy (BER), Gompertz (GOM), and logistic (LOG), all of which are made up of three regression coefficients (β1, β2, and β3)12,13,18. In the NLM equations (Table 1), yi represents the live weight (kg) measured at time t ; β1, is the asymptotic value when t tends to infinity, interpreted as the adult weight parameter (AWP); β2, is an adjustment parameter when y ≠ 0 and t ≠ 0; and β3, is the growth rate (GR), expressing weight gain as a proportion of total weight. The BER, GOM, and LOG models are characterized by describing growth based on a sigmoid curve, for which age (AIP; months) and weight (WIP; kg) at the inflection point were calculated. The BRO model exhibits a growth curve with a constant GR and no inflection point. The regression coefficients were used to estimate the age at 50 % maturity (A50M), the degree maturity attained at 15 months (A15M) of age19,20, as well as the correlation (rac) between GR and ADW.
Table 1 Nonlinear models evaluated in purebred and crossbred Limousin cattle
| Model | Equation | |
|---|---|---|
| Logistic | yi = β1 / (1 + β2*(exp(-β3*t))) + ei | |
| Bertalanffy | yi = β1*((1 - β2*(exp(-β3*t)))**3) + ei | |
| Gompertz | yi = β1*(exp(-β2*(exp(-β3*t)))) + ei | |
| Brody | yi = β1*(1 - β2*(exp(-β3*t))) + ei |
yi= live weight in kg, measured at time t; β1= asymptotic value; β2= integration constant; β3= slope of the growth rate curve.
Analyses were performed for each sex, using the Gauss-Newton method of the NLIN procedure of the SAS statistical analysis software21. The selection of the best-fitting model was based on18,19: Akaike information criterion [AIC= n*nl(sse/n) + 2k]; Bayesian information criterion [BIC= n*nl(sse/n) + k*nl(n)]; coefficient of determination [R2= (1 - (sse/tss))]; and, overall standard error or model (
The AMCGL managed a herd register with various degrees of purity (DCB) for the purpose of increasing the Limousin cattle population through absorbing crossbreeding, based on crossbred cows and PB sires. With the model selected as the best fit in the PB population, the growth curve was characterized in populations defined by five DCB or generations: first (D1) with ½ Limousin; second (D2) with – Limousin; third (D3) with 7/8 Limousin; fourth (D4) with 15/16 Limousin; and, fifth (D5) with 31/32 Limousin. Table 2 describes the database analyzed in terms of BP and DCB.
Table 2 Live weight database, analyzed across genetic and sex groups, with measurements from birth to 500 d of age
| Sex / Group | D1 | D2 | D3 | D4 | D5 | Purity |
|---|---|---|---|---|---|---|
| Males | 1963 | 1489 | 1607 | 3428 | 6224 | 31784 |
| Females | 2220 | 2296 | 2449 | 4784 | 7382 | 35695 |
Genetic groups: PG, 1/2 Limousin; SG, 3/4 Limousin; TG, 7/8 Limousin; CG, 15/16 Limousin; QG, 31/32 Limousin. Breed purity (> 63/64 Limousin).
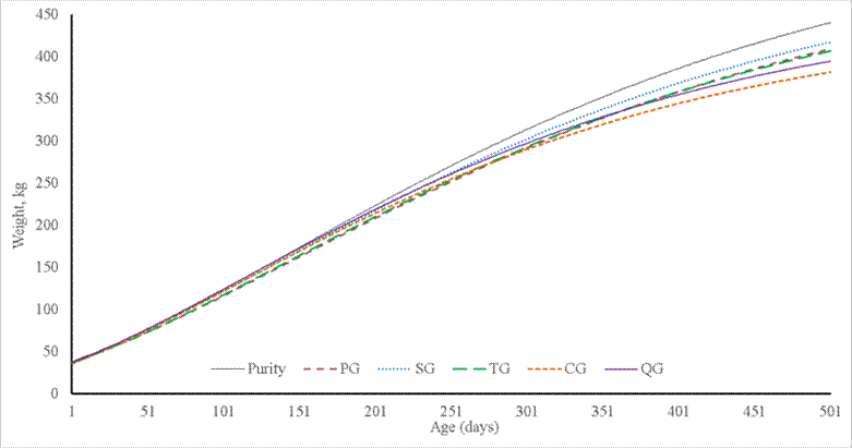
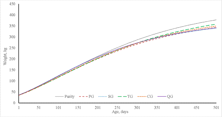
In model selection, within sex with AIC and across sex with BIC, the best fitting model was BER, followed by BRO and GOM; in all models the R2 was greater than 95 % (Table 3). Table 4 shows the results for the regression coefficients and product growth parameters of the evaluated NLMs. ADW estimation was higher for PB vs CB, in contrast, the GR was higher in CB. The genetic improvement scheme for Limousin cattle in Mexico includes weaning weights adjusted to 205 d7, with potential significance in the growth curves, given that the inflection point is located in the pre-weaning period. The BRO model was second in the model ranking; however, it exhibited outlier results for ADW, A50M and DM15. All models had a rac below -0.75 (Table 4), which indicates that high ADWs do not derive from high GRs. Figure 1 for males and Figure 2 for females depicts the growth based on the BER model for all genotypes evaluated.
Table 3 Statistics used for selection of the best-fit nonlinear model
| Statistics | Brody | Gompertz | Logistic | Bertalanffy |
|---|---|---|---|---|
| Males | ||||
| R2 | 96.7 | 96.7 | 96.6 | 96.7 |
| OSE | 40.3 | 40.3 | 40.9 | 40.3 |
| AIC | 236935.8 | 237022.3 | 237856.6 | 236896.4 |
| BIC | 236960.9 | 237047.5 | 237881.7 | 236921.2 |
| Females | ||||
| R2 | 96.8 | 96.8 | 96.7 | 96.8 |
| OSE | 35.6 | 35.7 | 36.1 | 35.6 |
| AIC | 255208.7 | 255253.0 | 256169.4 | 255127.7 |
| BIC | 255234.2 | 255278.4 | 256194.9 | 255153.1 |
AIC= Akaike information criterion; BIC= Bayesian information criterion; R2= coefficient of determination; OSE= overall or model standard error.
Table 4 Regression coefficients and growth parameters derived from nonlinear models evaluated in purebred and crossbred Limousin cattle
| item | β1 | β2 | β3 | rac | AIP | WIP | A50M | DM15 |
|---|---|---|---|---|---|---|---|---|
| Purebred males with all the evaluated nonlinear models | ||||||||
| Brody | 1645.9 | 0.9778 | 0.000618 | -0.99 | -- | -- | 36.2 | 26.0 |
| Gompertz | 491.0 | 2.5475 | 0.00583 | -0.92 | 5.3 | 180.6 | 7.4 | 83.1 |
| Logistic | 408.2 | 8.8538 | 0.0117 | -0.76 | 6.2 | 204.1 | 6.2 | 98.5 |
| Bertalanffy | 566.1 | 0.5949 | 0.00400 | -0.96 | 4.8 | 167.7 | 13.0 | 81.2 |
| Purebred females with all evaluated nonlinear models | ||||||||
| Brody | 715.1 | 0.9508 | 0.00151 | -0.99 | -- | -- | 14.2 | 51.8 |
| Gompertz | 402.9 | 2.396 | 0.00656 | -0.90 | 4.4 | 148.2 | 6.3 | 88.2 |
| Logistic | 352.3 | 8.0113 | 0.0124 | -0.71 | 5.6 | 176.1 | 5.6 | 99.1 |
| Bertalanffy | 443.0 | 0.5666 | 0.00477 | -0.95 | 3.7 | 131.2 | 10.6 | 87.9 |
| Males in degree of purity with Bertalanffy model | ||||||||
| D1 | 527.4 | 0.5896 | 0.00394 | -0.97 | 4.8 | 156.3 | 13.1 | 80.7 |
| D2 | 522.4 | 0.5858 | 0.00418 | -0.96 | 4.5 | 154.8 | 12.3 | 83.0 |
| D3 | 514.5 | 0.5876 | 0.00410 | -0.96 | 4.6 | 152.4 | 12.6 | 82.3 |
| D4 | 446.9 | 0.5705 | 0.00481 | -0.95 | 3.7 | 132.4 | 10.5 | 88.1 |
| D5 | 467.1 | 0.5724 | 0.00469 | -0.96 | 3.8 | 138.4 | 10.8 | 87.3 |
| Females in degrees of purity with the Bertalanffy model | ||||||||
| D1 | 391.4 | 0.5563 | 0.00511 | -0.94 | 3.3 | 115.9 | 9.7 | 90.0 |
| D2 | 374.5 | 0.5446 | 0.00563 | -0.94 | 2.9 | 110.9 | 8.7 | 92.6 |
| D3 | 419.9 | 0.5619 | 0.00476 | -0.95 | 3.7 | 124.4 | 10.5 | 87.9 |
| D4 | 399.2 | 0.5572 | 0.00509 | -0.95 | 3.4 | 118.3 | 9.8 | 89.9 |
| D5 | 379.9 | 0.5471 | 0.00551 | -0.94 | 3.0 | 112.5 | 8.9 | 92.1 |
Degrees of purity: D1, 1/2 Limousin; D2, 3/4 Limousin; D3, 7/8 Limousin; D4, 15/16 Limousin; D5, 31/32 Limousin. Regression coefficients: β1, β2, and β3. Where: β1 is the asymptotic value, interpreted as the adult weight parameter; β2 is an adjustment parameter, and β3 is the growth rate, expressing weight gain as a proportion of total weight. Age (AIP; months) and weight (WIP; kg) at the inflection point. A50M, age at 50 % of maturity. DM15, degree of maturity (%) at 15 months of age. rac, correlation between β1 and β3.

Figure 1 Growth curves for Limousin males. Purity, purebred animals; D1, 1/2 Limousin; D2, 3/4 Limousin; D3, 7/8 Limousin; D4, 15/16 Limousin; D5, 31/32 Limousin

Figure 2 Growth curves for Limousin females. Purity, purebred animals; D1, 1/2 Limousin; D2, 3/4 Limousin; D3, 7/8 Limousin; D4, 15/16 Limousin; D5, 31/32 Limousin
In purebred Limousin cattle with three different production systems, Igarzabal et al3 reported GOM as the best fitting model. In crossbreeding schemes of Limousin with Angus, Hereford, and MARC III, Zimmermann et al17 used the BRO model to characterize the growth curve and evaluate live weight at maturity; in Limousin x Friesian cattle, they represented growth based on the GOM model22. In the Madrasin breed, product of the crossbreeding of Limousin with Madura, the growth described a sigmoid type curve, characterized with the LOG model23. Growth curves evaluated with the BER model were reported in Holstein24, Pyrenean, and Blonde cattle3.
In Mexico, several studies have discussed contrasts in the type of growth curve across breeds. For growth curves without an inflection point, in five zebu breeds in tropical cattle ranching, Domínguez-Viveros et al25 reported that the best fitting NLMs were Brody, Meloum III and Mitscherlich; the BRO model in particular was selected as the one with the best fit in Romosinuano cows20, as well as in Tropicarne19 and Salers cattle26. For sigmoid growth curves, Contreras et al27 in Jersey, Holstein, and Jersey-Holstein crossbred cows, the selected MNLs were GOM, LOG, and BER, respectively; the BER model has been reported for Hereford cattle26.
The incorporation of replacement heifers at the reproductive phase is of transcendence for the genetic progress and profitability of the herd. This procedure is carried out in three stages28: at the onset of pituitary maturation, triggered at a certain age and weight; followed by the development of the ovaries and body growth; maturation of the uterus as a consequence of pituitary development and its hormonal influence on body growth and ovarian activity, allowing the heifer to mate and develop gestation. Several studies have analyzed the influence of growth parameters on reproductive variables20,24,29; Thus, the inflection point has been associated13,30,31 with the onset of the reproductive phase. Age at first calving is an indicator of the time it takes for an animal to reach sexual maturity and reproduce for the first time, and mating at approximately 15 mo, with age at first calving of approximately 24 mo, has positive effects on cow longevity and productivity32,33. Based on the BER model, differences are observed in CB vs PB females for the components of the growth curve (Table 4), which can be attributed to genetic differences across breeds and heterosis effects resulting from the crossing scheme. In PB heifers, AIP was estimated at 3.7 mo with a WIP of 131.2 kg; in CB, AIP and WIP were in the ranges of 2.9 to 3.7 mo and 110.9 to 124.4 kg, with average values of 3.3 and 116.4, respectively. A50M in females, was estimated to be at 10.6 mo in PB, and within the range of 8.9 to 10.5 mo for CB, with an average value of 9.5 months. For DM15 in females, the average value was 90.5 % for CB, while the estimate for PB was 87.9 %. In contrast, among females from other populations and based on the BER model: Contreras et al27 for Holstein, Jersey and crossbreds estimated AIP (months) and WIP (kg) in the ranges of 7.4 to 9.8 and 115.0 to 151.7, respectively; in five zebu breeds, Domínguez-Viveros et al25 reported AIP and WIP estimates in the ranges of 3.9 to 11.7 and 107.2 to 230.9, respectively; in Romosinuano20, Tropicarne19, and Siboney29. AIP - WIP results were 15.5 - 132.5, 7.7 - 180.5 and 5.9 - 152.4, respectively.
As for the males, the selection of stallions is carried out among PB, and they are incorporated for reproduction from one year of age; however, lowering the age of entry into reproduction reduces the generation gap and has an impact on genetic progress34. The growth curve can influence the development of the reproductive phase; in Bos taurus breeds, the physiological events associated with reproduction begin at six to eight months; maturity and reproductive capacity are determined by the quality of the semen, with variations due to the effects of live weight, growth rate, scrotal circumference, among other factors35. The results indicate that PB males reach 50 % maturity at 13 mo of age, with values above 80 % at 15 mo of age (Table 4). In contrast26, Hereford and Salers cattle reported maturity levels of 68.2 % and 76.6 % at one year, respectively. On the other hand, growth curve indicators are associated with profitability in production; the GR has an effect on age and slaughter weight; degree of maturity is important for efficiency and carcass composition16,22. Various authors15,36,37 have assessed the differences and derivations of the growth curve in relation to production for purebred males and various crosses.
The best fitting model was von Bertalanffy, which described a sigmoid growth curve, with differences in growth parameters across the evaluated genotypes. Tipping point estimates are within the context of pre-weaning growth.
Acknowledgments
The authors are grateful to the Mexican Association of Limousin Cattle Breeders (Asociación Mexicana de Criadores de Ganado Limousin) for having provided the database analyzed herein.
REFERENCES
1. Arango JA, Cundiff LV, Van Vleck LD. Breed comparisons of Angus, Charolais, Hereford, Jersey, Limousin, Simmental, and South Devon for weight, weight adjusted for body condition score, height, and body condition score of cows. J Anim Sci 2002;80(12):3123-3132. [ Links ]
2. Williams JL, Aguilar I, Rekaya R, Bertrand JK. Estimation of breed and heterosis for growth and carcass traits in cattle using published crossbreeding studies. J Anim Sci 2010;88(2):460-466. [ Links ]
3. Igarzabal A, Oregui LM, Mandaluniz N, Amenabar ME, Ruiz R, Neiker AB. Estudio de las curvas de crecimiento del ganado vacuno en los principales sistemas de producción del País Vasco. ITEA 2005;26(I):222-224. [ Links ]
4. Bouquet A, Venot E, Laloe D, Forabosco F, Fogh A, Pabiou T, et al. Genetic structure of the European Charolais and Limousin cattle metapopulations using pedigree analyses. J Anim Sci 2011;89(6):1719-1730. [ Links ]
5. Goncalves de RMP, Mendes MCH, Biffani S, Souza CPL, Carrillo JA, Bozzi R. Genotype-environment interaction for age at first calving in Limousin and Charolais cattle raised in Italy, employing reaction norm model. Livest Sci 2020;232:103912. [ Links ]
6. Sutarno S, Setyawan AD. Review: Genetic diversity of local and exotic cattle and their crossbreeding impact on the quality of Indonesian cattle. Biodiversitas J Biol Divers 2015;16(2):327-354. [ Links ]
7. Ríos-Utrera Á, Vega-Murillo VE, Martínez-Velázquez G, Montaño-Bermúdez M. Comparison of models for the estimation of variance components for growth traits of registered Limousin cattle. Trop Subtrop Agroec 2011;14(2):667-674. [ Links ]
8. AMCGL. Reglamento técnico de la asociación mexicana de criadores de ganado Limousin. Asociación Mexicana de Criadores de Ganado Limousin. Secretaria de Agricultura, Ganadería, Desarrollo Rural, Pesca y Alimentación. 2014. [ Links ]
9. AMCGL. Reglamento técnico de la asociación mexicana de criadores de ganado Limousin para el registro de ganado Limousan. Asociación Mexicana de Criadores de Ganado Limousin. Secretaria de Agricultura, Ganadería, Desarrollo Rural, Pesca y Alimentación. 2020. [ Links ]
10. AMCGL. Reglamento técnico de la asociación mexicana de criadores de ganado Limousin para el registro de ganado Brahmousin. Asociación Mexicana de Criadores de Ganado Limousin. Secretaria de Agricultura, Ganadería, Desarrollo Rural, Pesca y Alimentación. 2016. [ Links ]
11. France J, Dijkstra J, Dhanoa MS. Growth functions and their application in animal science. Annales Zootech 1996;45:165-174. [ Links ]
12. Ribeiro de FA. Growth curves in animal production. Rev Brasil Zoot 2005;34:786-795. [ Links ]
13. Maharani D, Amrullah AHK, Widayati DT, Sumadi S, Fathoni A, Khusnudin M. Predicting the age and weight at puberty of Ongole Grade cattle using nonlinear mathematical model in Kebumen Farmer Association. J Indonesian Trop Anim Agric 2017;42(4):233-239. [ Links ]
14. López de TG, Candotti JJ, Reverter A, Bellido MM, Vasco P, García LJ, Brinks JS. Effects of growth curve parameters on cow efficiency. J Anim Sci 1992;70(9):2668-2672. [ Links ]
15. Archer JA, Herd RM, Arthur PF, Parnell PF. Correlated responses in rate of maturation and mature size of cows and steers to divergent selection for yearling growth rate in Angus cattle. Livest Prod Sci 1998;54(3):183-192. [ Links ]
16. Agudelo GDA, Cerón MMF, Restrepo LLF. Modeling of growth functions applied to animal production. Rev Colomb Cienc Pecu 2008;21(1):39-58. [ Links ]
17. Zimmermann MJ, Kuehn LA, Spangler ML, Thallman RM, Snelling WM, Lewis RM. Comparison of different functions to describe growth from weaning to maturity in crossbred beef cattle. J Anim Sci 2019;97(4):1523-1533. [ Links ]
18. Agudelo-Gómez D, Hurtado-Lugo N, Cerón-Muñoz MF. Growth curves and genetic parameters in Colombian buffaloes (Bubalus bubalis Artiodactyla, Bovidae). Rev Colomb Cienc Pecu 2009;22(2):178-188. [ Links ]
19. Domínguez-Viveros J, Rodríguez-Almeida FA, Núñez-Domínguez R, Ramírez-Valverde R, Ortega-Gutiérrez JA, Ruiz-Flores A. Ajuste de modelos no lineales y estimación de parámetros de crecimiento en bovinos Tropicarne. Agrociencia 2013;47(1):25-34. [ Links ]
20. Martínez-Rocha R, Ramírez-Valverde R, Núñez-Domínguez R, García-Muñiz JG, Parra-Bracamonte GM. Comportamiento de crecimiento y reproductivo en hembras bovinas Romosinuano. Rev MVZ Córdoba 2021;26(1):e2033. [ Links ]
21. SAS. 2001. Statistical Analysis System Institute. User´s Guide: Statistics (version 9.0). Cary NC, USA. [ Links ]
22. Akbas Y, Alcicek A, Onenc A, Gungor M. Growth curve analysis for body weight and dry matter intake in Friesian, Limousin x Friesian and Piemontese x Friesian cattle. Arch Anim Breed 2006;49(4):329-339. [ Links ]
23. Widyas N, Prastowo S, Widi TSM, Baliarti E. Predicting Madura cattle growth curve using non-linear model. IOP Conference Series: Earth Environment Sci 2018;142:012006. [ Links ]
24. Coelho JG, Barbosa PF, Tonhati H, Ramalho de FMA. Analysis of the relationships of growth curve and productive efficiency of Holstein-Friesian cows. Rev Brasil Zoot 2009;38(12):2346-2353. [ Links ]
25. Domínguez-Viveros J, Rodríguez-Almeida FA, Aguilar-Palma GN, Castillo-Rangel F, Saiz-Pineda JF, Villegas-Gutiérrez C. Fitting of non-linear models to characterize the growth of five zebu cattle breeds. Livest Sci 2020;242:104303. [ Links ]
26. Domínguez-Viveros J, Ortega-Gutiérrez JA, Rodríguez-Almeida FA, Callejas-Juárez N, Aguilar-Palma NG, Santillán-Moreno E. Ajuste de modelos no lineales para caracterizar el crecimiento de bovinos Hereford y Salers. Rev Cient FCV-LUZ 2014;24(5):436-442. [ Links ]
27. Contreras PS, García MJG, Ramírez VR, Núñez DR, González ACC. Comparison of equations to fit growth curves of Holstein, Jersey and Jersey x Holstein cows in a grazing system. Rev Mex Cienc Pecu 2021;12(4):1250-1263. [ Links ]
28. Hafez ESE. Reproducción e inseminación artificial en animales. 6ª edición. McGraw-Hill Interamericana de México. México, D. F. 2002. [ Links ]
29. Domínguez-Viveros J, González-Prieto S, Palacios-Espinosa A, Suárez-Tronco MA, Rodríguez-Almeida FA, Espinoza-Villavicencio JL, Rodríguez-Castro M. Parámetros de crecimiento y sus efectos en la edad al primer empadre de vacas Siboney. Ecosist Rec Agrop 2019;6(17):383-389. [ Links ]
30. Pittroff W, Dahm F, Blanc F, Keisler D, Cartwright TC. Onset of puberty and the inflection point of the growth curve in sheep - Brody´s law revisited. J Agric Sci 2008;146(3):239-250. [ Links ]
31. Bahashwan S, Salim AA, Alfadli S, Johnson ES. Dhofari cattle growth curve prediction by different non-linear model functions. Livest Res Rural Develop 2015;27(12):27236. [ Links ]
32. Núnez-Domínguez R, Cundiff LV, Dickerson GE, Gregory KE, Koch RM. Lifetime production of beef heifers calving first at two vs three years of age. J Anim Sci 1991;69(9):3467-3479. [ Links ]
33. Cushman RA, Kill LK, Funston RN, Mousel EM, Perry GA. Heifer calving date positively influences calf weaning weight through six parturitions. J Anim Sci 2013;91(9):4486-4491. [ Links ]
34. Thundathil JC, Dance AL, Kastelic JP. Fertility management of bulls to improve beef cattle productivity. Theriogenology 2016;86(1):397-405. [ Links ]
35. Hopper RM (Ed). Bovine Reproduction. First edition. John Wile & Sons. Mississippi, USA. 2015. [ Links ]
36. Doren PE, Baker JF, Long CR, Cartwright TC. Estimating parameters of growth curves of bulls. J Anim Sci 1989;67(6):1432-1445. [ Links ]
37. Herrera RAC, Vergara GOD, Cerón MMF, Agudelo-Gómez D, Arboleda ZEM. Growth curves in crossbreed cattle using the Brody model. Livest Res Rural Develop 2008;20(9):20140. [ Links ]
Received: July 10, 2022; Accepted: November 07, 2022










texto em 


