Introducción
Uno de los principales productos agrícolas cultivados en Brasil es el arroz, ya que forma parte de la dieta diaria de la población. Según datos del Instituto Brasileño de Geografía y Estadística (IBGE), en el año 2020 se produjeron en territorio brasileño 11 003 699 t de arroz. Entre los estados productores, Rio Grande do Sul tiene un papel destacado, siendo el mayor productor del grano, contribuyendo con cerca del 70% del valor nacional en la zafra 2019-2020 (IBGE, 2020).
La cascarilla de arroz se utiliza generalmente en reactores termoeléctricos para generar energía, abasteciendo a las propias industrias. La ceniza de cascarilla de arroz (CCA) resultante de este proceso puede ser utilizada en la fabricación de ladrillos (Mattey et al., 2014), cerámica y cemento para la construcción civil.
Según el estudio de Martins Filho et al. (2020), el CCA puede ser utilizado como una estrategia para promover el crecimiento de las plantas, actuando como acondicionador del suelo, con el objetivo de reducir la acidez, aumentar la disponibilidad de nutrientes y mejorar las condiciones estructurales. Kath (2018) también analizó una mayor efectividad del CCA en relación con el uso de encalantes, ya que estos materiales suelen tener una alta composición de óxidos y carbonatos, los cuales son capaces de atenuar la actividad de los principales componentes de la acidez activa y potencial del suelo.
Resultados obtenidos por Góes et al. (2019), observaron que el suelo está habitado por decenas de miles de organismos responsables de diversas funciones y procesos ecosistémicos. La biomasa microbiana se considera una fracción viva y más activa de la materia orgánica del suelo (MOS) y desarrolla un rol clave en la disponibilidad y ciclo de los nutrientes (Agrawal y Gosha, 2016). La tasa de flujo de nutrientes en el suelo depende principalmente de la biomasa microbiana y, por lo tanto, se utiliza como indicador de la fertilidad del suelo.
La investigación realizada por Nguyen y Marschner (2017), refiere a que la biomasa microbiana es de gran importancia en varios procesos biológicos y bioquímicos en el suelo, ya que está directamente relacionada con la MOS, la incorporación de residuos y el ciclo del C y N. El C y N de la biomasa microbiana han sido utilizados como indicadores de la calidad del suelo, ya que los microorganismos son extremadamente sensibles a los cambios que puedan ocurrir (Kushwaha y Singh, 2005).
El rol de la fauna, principalmente de la mesofauna edáfica (organismos <2 mm), implica la fragmentación y redistribución de la materia orgánica (Correia y Oliveira, 2000). Este proceso de redistribución estimula la actividad microbiana y puede regular la descomposición de los materiales llevada a cabo principalmente por las poblaciones de hongos. Además de contribuir a la descomposición de la materia orgánica y, en consecuencia, a la fertilidad del suelo, los invertebrados que habitan el sistema ‘suelo-hojarasca’ procesan raíces y hacen galerías y de esta forma, también influyen en la agregación del suelo.
Los organismos edáficos juegan un papel sumamente importante en el ciclo de nutrientes (Paz-Ferreiro y Fu, 2016), incorporación y descomposición de MOS, secuestro de carbono (Anjum y Khan, 2021) porosidad, aireación e infiltración de agua en el suelo. Frente a lo previamente expuesto, el objetivo de este trabajo fue verificar la relación entre los organismos microbianos y la fauna edáfica con los atributos del suelo utilizando diferentes dosis de CCA.
Materiales y métodos
El sitio del experimento está ubicado en el Centro Tecnológico de Pampa-Fazenda Escola da Estância do Pampa, perteneciente a la Universidad Federal de Pampa-UNIPAMPA-Campus Dom Pedrito. La unidad experimental está ubicada en el municipio de Dom Pedrito-RS (Región Fisiográfica de la Campaña Sur Gaúcha) a 441.4 km de la capital del estado de Rio Grande do Sul (Porto Alegre), bajo las coordenadas geográficas 30° 59’ 58.4” Sur, 54° 36’ 56.4” Oeste, con una altitud aproximada de 150 m.
El clima de la región, según la clasificación de Köppen, se identifica como Cfa, con una temperatura media entre 14° y 18° y precipitaciones anuales que oscilan entre 1 200 y 1 300 mm (Kuinchtner & Buriol, 2001). El suelo de la zona fue clasificado como Luvisol Háplico Pálico Abruptico (Haplic Luvisol) (Embrapa, 2018). El área está históricamente, o sea, desde cuando se inició la ocupación del territorio del bioma pampa, ocupada por pastos naturales que contienen la ocurrencia de los siguientes géneros botánicos: Paspalum, Oxalis, Trifolium, Bromelia, Prosopis y Axonopus (Boldrini, 1997).
El experimento se implementó en mayo de 2020. El diseño experimental se estructuró en bloques al azar (DBA) con cuatro tratamientos (T= control; T1= 5 Mg de CCA ha-1; T2= 10 Mg de CCA ha-1; T3= 20 Mg de CCA ha-1) y cuatro repeticiones, totalizando 16 parcelas experimentales (25 m² cada una). A su vez, cada parcela se dividió en dos subparcelas, una de las cuales recibió fertilización con urea (20 kg ha-1) y 5 NPK (4-14-8-5 kg ha-1), para evaluar posibles efectos de interacción entre CCA y fertilizante mineral en el suelo.
Seis meses después de la implementación del experimento, se recolectaron muestras de suelo (0-5 cm) en cada subparcela mediante la apertura de microzanjas. Las muestras fueron debidamente empaquetadas y sometidas a análisis de caracterización.
Determinación de contenidos de C y N en suelo y biomasa microbiana
Los contenidos de C y N del suelo se determinaron por combustión seca, en un analizador elemental CHN (Vario El III) en muestras de suelo previamente secadas al aire, molidas y pasadas por un tamiz de 0.2 mm. A partir del contenido de estos elementos se calculó la relación C/N del suelo. La concentración de C y N en la biomasa microbiana (BM) se determinó mediante los procedimientos descritos en Embrapa (1997), con la extracción realizada por el método de microondas y la determinación realizada por combustión seca en un analizador elemental CHN (Vario El III). Después de la determinación de BM C (CBM) y BM N (NBM), también se calculó la relación BM C/N.
Recolección e identificación de fauna edáfica
La colecta de la fauna edáfica se realizó bajo la metodología de trampas pitfall, utilizando como trampas, recipientes tipo ‘Provid’ diseñados por Antoniolli et al. (2006). Los recipientes trampas fueron elaborados a partir de botellas pet de 600 ml, realizando tres bocas de aproximadamente 6 x 4 cm. Las trampas se dispusieron de modo que las aberturas estuvieran al nivel de la superficie ‘suelo- hojarasca’. En el interior de cada trampa se agregaron 70 ml de alcohol etílico (70%).
Por cada repetición experimental se colocaron dos trampas (parcela con y sin fertilizante mineral), totalizando 32. Las trampas permanecieron en campo por un período de siete días y al retirarlas del experimento se les adicionó otros 70 ml de alcohol. Posteriormente, las muestras fueron enviadas al Laboratorio de Microscopía de la UNIPAMPA, donde se clasificaron y se identificaron los organismos mediante la técnica de microscopía óptica.
Procesamiento de datos
Los datos de C y N, relación C/N, CBM, NBM, relación C/N BM y grupos de fauna edáfica identificados se sometieron a análisis de varianza (Anova), seguido de la prueba de Tukey (p< 0.05). Esto se hizo ya que cualquier diferencia en estos atributos y parámetros, dentro del diseño experimental, se consideró como un aditivo (desarrollo de cambios ambientales en las condiciones naturales del sistema ‘suelo x vegetación’, provocado por las dosis de ceniza aplicadas). Así, se asumió la posibilidad de dividir la varianza de los datos entre lo que se puede verificar agregando materiales (gris) y lo que no se puede explicar por este factor de variación (residuales/errores).
Además de los datos del estudio de fauna (número de individuos pertenecientes a grandes grupos de suelos-clase/orden taxonómico), se calcularon los siguientes índices de biodiversidad: i) índice de diversidad de Shannon-Weaver (H= -ΣPi log Pi. Donde: Pi= a la proporción del grupo i en el total de la muestra e y ii) índice de Simpson (forma de dominancia dada por S= Σ(ni/N)2. Donde: ni= al número de individuos en el grupo i; y N= la suma de la densidad de todos los grupos) (Odum, 1988). Estos procedimientos se realizaron utilizando el software estadístico Sisvar (versión 5.8) y Bioestat (versión 5.0).
Con fines exploratorios del patrón de distribución de datos, también se aplicaron análisis de regresión lineal simple (polinomios de 1er y 2o orden) y análisis multivariado de componentes principales (ACP), considerando una matriz de correlación lineal como medida de similitud y aplicando la prueba de remuestreo bootstrap -con diez mil interacciones con reemplazo- para evaluar la importancia de la estabilidad del patrón de dispersión de datos (software Past, versión 4.03). Según se expresa en el apartado de resultados y discusión, los análisis exploratorios fueron relacionados a los resultados obtenidos en esta investigación y los resultados bromatológicos de la vegetación descritos en Pinto et al. (2022).
Resultados y discusión
Atributos microbiológicos y materia orgánica del suelo (MOS)
Los resultados para estos atributos mostraron diferencia significativa (Anova + prueba de Tukey considerando: p< 0.05), lo que puede explicarse por las diferencias en el aporte de estos elementos a través de las dosis de CCA (Cuadro 1). La relación C/N del suelo varió numéricamente de 10.8 a 14.2, siendo estadísticamente mayor en T2 (10 Mg ha-1), seguida de T3 (20 Mg ha-1) y menor en T1 (5 Mg ha-1).1 y testigo (Cuadro 1).
Cuadro 1 Atributos químicos y microbiológicos del suelo, así como abundancia de la fauna edáfica e índices de biodiversidad en cada tratamiento experimental.
| Atributo del suelo | C | N | C/N | CBM | NBM | C/N BM | Arachnida | Hymenoptera | Coleóptera | Collembola | Shannon-Weaver | Simpson | Dominio |
|---|---|---|---|---|---|---|---|---|---|---|---|---|---|
| (g kg-1) | (mg kg-1) | ||||||||||||
| Test | 9.7cA | 0.9bA | 11.2aA | 30.1cA | 5.6cA | 5.2cA | 9 ±3 | 27 ±12 | 4 ±1 | 56 ±29 | 1.02 | 2.31 | 0.43 |
| Test NPK | 9.9cA | 0.9bA | 10.8aA | 23. 7cA | 4.3cB | 5.6cA | 6 ±2 | 8 ±1 | 2 ±1 | 98 ±51 | 1.04 | 2.34 | 0.45 |
| T1 | 9cA | 0.8cA | 11. 6aA | 32.8cA | 5.2cA | 6.4bA | 12 ±9 | 22 ±10 | 3 ±1 | 81 ±38 | 0.88 | 1. 91 | 0.52 |
| T1 NPK | 10.2cA | 0.8cA | 13aA | 32. 3cA | 4.4cB | 7.3bA | 12 ±8 | 14 ±7 | 5 ±4 | 62 ±19 | 0.98 | 2.06 | 0.49 |
| T2 | 11.3bA | 0.8bA | 14. 2aA | 53.2bA | 6.3bB | 8.5bA | 13 ±9 | 25 ±17 | 6 ±2 | 76 ±60 | 1.01 | 2.18 | 0.46 |
| T2 NPK | 11.9bA | 0.9bA | 13aA | 73.1bA | 8.8bA | 8.3bA | 16 ±10 | 24 ±12 | 5 ±2 | 59 ±28 | 1.1 | 2.5 | 0.4 |
| T3 | 14aA | 1.2aA | 11.5aA | 84.3aA | 8.3aB | 10. 1aA | 17 ±3 | 24 ±12 | 4 ±3 | 130 ±70 | 0.79 | 1.71 | 0.59 |
| T3 NPK | 13.4aA | 1.1aA | 12.7aA | 93.6aA | 9.4aA | 9.9aA | 14 ±13 | 36 ±20 | 4 ±3 | 212 ±89 | 0.66 | 1.51 | 0.66 |
No hubo diferencias significativas entre la relación C/N del suelo entre los tratamientos experimentales, es decir, la adición de dosis más altas de ceniza (material más recalcitrante) no fue suficiente para cambiar significativamente la relación C/N de las muestras de suelo-a diferencia de lo observado para la relación C/N BM (que se analiza más adelante) (Cuadro 1).
Los valores de CBM y NBM (en la capa de 0-5 cm) variaron de 23.7 a 93.6 mg kg-1 y de 4.3 a 9.6 mg kg-1, respectivamente y aumentaron con la magnificación de la dosis de CCA (Cuadro 1). Este incremento en la biomasa microbiana del suelo indica un cambio significativo en la actividad biológica (Liu et al., 2023) que está relacionado con la especialización del ambiente y la adición de materiales pirógenos que puede afectar el ciclo de nutrientes y, en consecuencia, el desarrollo de las plantas.
El NBM mostró una diferencia significativa entre la condición de subparcela, siendo mayor en la parcela que recibió fertilizante mineral (Cuadro 1). Este hecho era esperable ya que, con un mayor aporte de N vía fertilización, los microorganismos pueden inmovilizar parte de este elemento en el proceso de crecimiento celular (Grzyb et al., 2021) y procesos metabólicos. A su vez, la relación C/N BM varió de 5.2 a 10.1, tendiendo a aumentar junto con el aumento de la dosis de CCA en los tratamientos T2 y T3 (Cuadro 1).
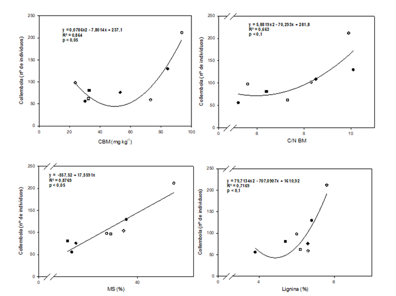
Valores de C/N BM superiores a ‘8’ con las dosis más altas de CCA sugieren un predominio de hongos (Totola y Chaer, 2002), los cuales conforman un grupo ecológico reconocido por su importancia en la descomposición de materiales orgánicos y ciclo nutricional. Además, los hongos son fuentes preferidas de alimento para grupos de fauna edáfica de detritívoros-fungívoros, como los colémbolos (Chauvat et al., 2014).
Fauna del suelo y diversidad ecológica
Los principales grupos de fauna edáfica identificados fueron: i) Arachnida; ii) Hymenoptera (83% de Formicidae, principalmente ‘cortadores’); iii) Coleópteros (principalmente Staphylinidae y Curculionidae) y iv) Collembola (65% de Isotomidae) (Cuadro 1). Entre los tratamientos experimentales, en promedio, la variación de estos grupos fue: i) Arachnida (6 a 17 individuos); ii) Hymenoptera (de 8 a 36 individuos); iii) Coleópteros (2 a 6 individuos) y iv) Colémbolos (56 a 212 individuos).
No hubo diferencia significativa entre las condiciones experimentales y las subparcelas para ninguno de los grupos edáficos, lo que posiblemente se deba a los altos coeficientes de variación verificados (65.5%; 62.5%; 39.9% y 51.9% para Arácnidos, Hymenoptera, Coleóptera y Collembola, respectivamente).
Los índices de diversidad ecológica de Shannon-Weaver y Simpson variaron de 0.66 a 1.04 y de 1.51 a 2.34, respectivamente (Cuadro 1); es decir, a medida que aumenta la dosis de los materiales añadidos, que implica un mayor contenido de C/N, se observó una disminución en la diversidad de la fauna edáfica expresado por el índice Shannon-Weaver y una mayor dominancia ecológica de estas comunidades. Siguiendo la tendencia opuesta, el índice de dominancia ecológica aumentó en T3 (20 Mg ha-1), lo que sugiere que la aplicación de altas cantidades de estos materiales carbonizados tiende a reducir la diversidad de la fauna del suelo y aumentar la dominancia ecológica de algunos grupos (Cuadro 1).
Análisis de componentes principales
Se realizó un análisis multivariado de componentes principales (ACP) con el fin de relacionar los datos o atributos microbiológicos y de la fauna del suelo determinados, junto con los datos de SOM y los datos bromatológicos de la vegetación, estos últimos descritos y discutidos en Pinto et al. (2022) (Figura 1). CP 1 (eje ‘x’), que explica la mayor parte de la varianza de los datos, es una variable compleja compilada a partir de los siguientes atributos/parámetros del suelo: i) contenido de C y N; ii) CBM; iii) NBM; iv) C/N BM; v) arácnidos; vi) himenópteros; vii) colémbolos; viii) contenido de materia seca (MS) del pasto; ix) contenido de proteína bruta de la pastura (PB); x) contenido de fibra detergente neutro (FDN) de la pastura; xi) contenido de fibra detergente ácida (FDA) del pasto y xii) contenido de lignina del pasto (resultados del estudio).
Así, el CP 1 contiene la variación de datos de MOS, datos microbiológicos, datos de fauna (depredadores, insectos sociales y cicladores) y datos de vegetación. El ACP describió más del 80% de la varianza total de los datos experimentales, con el 77.7% de la varianza contenida en los dos primeros ejes de ordenación (componentes principales). El CP 1 (eje ‘x’) contenía el 49.8% de la variación de los datos, mientras que el CP 2 (eje ‘y’) contenía aproximadamente el 27.9% de la varianza total (Figura 1). Ambos componentes 1 y 2 se consideraron estables mediante la prueba de remuestreo de bootstrap probabilístico, por lo que el patrón de dispersión de datos se consideró válido para la discusión (Figura 1).
En otras palabras: la posición de los grupos de organismos (fauna y flora edáfica) responde a variaciones en el contenido de MOS y constituyentes de los tejidos vegetales. CP 2 (eje ‘y’) es una variable que contiene la variación del parámetro relación C/N, grupo de coleópteros e índices de diversidad (Shannon-Weaver, Simpson y dominancia ecológica). Así, el CP 2 (eje ‘y’) tiene como principal significado temático la diversidad ecológica de las condiciones experimentales.
Los resultados obtenidos sugieren que el grupo Coleoptera es menos sensible a las variaciones en el suelo y la vegetación que los otros grupos de fauna y tiende a concentrarse más en posiciones experimentales donde hay una menor tasa de descomposición de SOM. Las unidades de muestreo (promedio de las subparcelas de los tratamientos experimentales) que aparecen a la derecha del origen, en relación con el CP 1, tienden a presentar mayor número de Arácnidos, Hymenoptera, Collembola, mayor contenido de C y N, mayor relación CBM, NBM y C/N BM, así como vegetación con mayor fitomasa y mayor composición de FDN, PC y lignina. Estas unidades de muestreo corresponden exactamente a las dosis más altas de CCA (T2 y T3) (Figura 2).

Figura 2 Prueba de probabilidad de la estabilidad del diagrama de dispersión de los componentes principales mediante remuestreo Bootstrap. Nota: valores reales representados por la línea azul y valores de muestra bootstrap representados por la línea roja.
Por lo tanto, existe una tendencia comprobada de que el CCA tiene la capacidad de cambiar no solo la SOM y los atributos microbiológicos del suelo, sino también la composición bromatológica de la vegetación y de ciertos grupos de fauna edáfica. Estos grupos taxonómicos representan insectos sociales (Hymenoptera), cicladores detritívoros-fungívoros (Collembola) y depredadores (Arachnida). Como el CCA está compuesto por estructuras carbonosas más recalcitrantes (aromáticas), se espera que, con la adición de estos materiales, se produzca un aumento progresivo de la relación C/N del suelo, lo que favorecería un mayor desarrollo fúngico.
Con el aumento de la relación C/N y la biomasa de los forrajes más recalcitrantes, así como el aumento del crecimiento de hongos, es probable que haya presión ecológica para el crecimiento de la población de organismos detritívoros y fungívoros (Collembola). De esta forma, también tenderían a aumentar otros organismos, depredadores de Collembola, como es el caso de los arácnidos.
Por otro lado, el cambio en las características del suelo y la vegetación provocado por la adición progresiva de CCA también crearía condiciones ambientales para un aumento en la densidad de insectos sociales (Hymenoptera), principalmente hormigas (como se observó en el proceso de selección). Posiblemente, esta tendencia estaría relacionada con el aumento en el suministro de biomasa y el cambio en la estructura del suelo a un ambiente con mejor drenaje. En cuanto al CP 2 (eje ‘y’), se observó que la aplicación de CCA hasta una dosis de 10 Mg ha-1 tiene poca influencia en la diversidad ecológica del sistema (Figuras 1 y 2
Sin embargo, a la dosis más alta de CCA (T3= 20 Mg ha-1) se verificó una disminución sustancial en la diversidad de organismos concomitante con el aumento en la dominancia de ciertos grupos edáficos. Estos datos sugieren que altas dosis de este material pueden tener efectos significativos en la dinámica ecológica de la fauna edáfica en fisonomías de pastizales, provocando una disminución de la diversidad y un aumento de la especialización del medio en relación con determinados grupos.
La aplicación del algoritmo del árbol de expansión, representado a través de los bordes que interconectan las unidades de muestra en el diagrama de ordenación, destaca el patrón de similitud entre las condiciones experimentales (Figura 3). Este patrón muestra que las muestras control y T1 son más similares entre sí, comparando la aplicación de la dosis intermedia de CCA (T2= 10 Mg ha-1) y la dosis más alta (T3= 20 Mg ha-1), con alguna variación entre las subparcelas evaluadas (con y sin fertilización mineral suplementaria).

Figura 3 Modelos de regresión lineal entre la población Collembola y CBM; C/N BM y contenido de lignina en la vegetación.
Es decir, si bien no se verificaron diferencias significativas por el Anova -debido al alto coeficiente de variación de los datos entre las repeticiones experimentales, como ya se mencionó- sí existe, de hecho, una tendencia de alteración de los atributos del suelo, en la microbiología, en la vegetación y fauna para la aplicación del CCA, la cual no debe ser ignorada.
La relativa proximidad temporal entre el muestreo de la fauna y el tiempo de instalación del experimento puede haber contribuido a que los resultados sean aún inestables desde el punto de vista de la variación de los atributos/parámetros evaluados. Sin embargo, un muestreo probable con mayor distancia temporal del período de instalación puede dilucidar cómo estos patrones ecológicos aparecerán después de una mayor estabilización de las condiciones ambientales por la aplicación de CCA.
Conclusiones
La aplicación de ceniza de cascarilla de arroz resultó en un cambio significativo en la cantidad de C y N en el suelo y en la biomasa microbiana del suelo, condicionando una selectividad de los microorganismos fúngicos (mayor relación C/N) con el aumento de la dosis utilizada. El patrón de distribución de ciertos grupos detritívoros y fungívoros de la fauna (representados aquí por los colémbolos) responde a la cantidad y calidad de la biomasa vegetal añadida.
El aumento de estos organismos también da como resultado un cambio en la población de depredadores (aquí representados por arácnidos). Además, la alteración de las características del suelo y la vegetación, con la aplicación de CCA, también resultó en la alteración de la comunidad de insectos sociales (aquí representados por los Hymenoptera).










texto em 



