Introducción
El maíz es el cultivo agrícola más importante en México, con una superficie cultivada de 7 472 356.82 ha y una producción anual de 27 424 527.55 Mg (SIAP, 2020). De esta superficie, 55.3% de la producción proviene de semilla de maíz mejorado (CEDRSSA, 2018); sin embargo, la producción comercial de semillas de maíces mejorados, presentan limitaciones como desarrollo de tecnología de producción inapropiada; factores climáticos que determinan la productividad y la calidad de semilla (Vallejo et al., 2008; Virgen-Vargas et al., 2016; Chassaigne-Ricciulli et al., 2021), altos costos de producción (Ruiz y Hernández, 2017) y falta de empresas nacionales que cuenten con la infraestructura técnica y física para realizar investigaciones e implementar la tecnología de producción de semillas propias para el país (Chassaigne-Ricciulli et al., 2021).
Las prácticas agronómicas que se realizan en las líneas en un lote de producción de semilla de maíz, en las que se incluye la dosis de fertilización, son en general las mismas que se practican para la producción de maíces híbridos comerciales (Ruiz y Hernández, 2017; Vallejo et al., 2008; Chassaigne-Ricciulli et al., 2021), aun cuando se sabe que en un lote de producción de semillas, las líneas endogámicas que se utilizan a diferencia de los híbridos, a lo largo de su desarrollo pierden más rápidamente vigor y productividad (Virgen-Vargas et al., 2014), son más vulnerables a las deficiencias y los desequilibrios de nutrimentos minerales por su capacidad de enraizamiento menor (Wych, 1988) y en general tienden a ser débiles y más susceptibles al estrés ambiental a enfermedades, herbicidas e insecticidas (Ruiz y Hernández, 2017).
El programa de tecnología de semillas de los campos experimentales Valle de México (CEVAMEX) y Bajío (CEBAJ) del INIFAP, han realizado diferentes trabajos para fortalecer la tecnología de producción de semilla (Virgen-Vargas et al. 2016). No obstante, los estudios sobre nutrición mineral en líneas progenitoras de maíz son aún escasos. En la actualidad se desarrollan y promueven el manejo de los nutrientes a través de cuatro requisitos: a) aplicar la fuente y la dosis correcta en el momento y forma correctos (IAH, 2017) con el fin de garantizar una fertilización eficiente; b) reducir los costos de producción; c) incrementar la producción y d) prevenir impactos negativos al ambiente (Souza y Chaves, 2017).
Para lograrlo, una metodología con enfoque científico para generar fórmulas o dosis de fertilización es el método racional simplificado propuesto por Rodríguez (1993) quien indica que la dosis de fertilización depende de la demanda nutrimental en función del rendimiento máximo alcanzable de la zona de interés y el requerimiento nutrimental, además del suministro del nutrimento por el suelo, este último obtenido del análisis químico de suelo y la eficiencia en la recuperación del fertilizante aplicado.
El objetivo del presente trabajo fue determinar la demanda de N, P y K de líneas de maíz progenitoras de híbridos triliniales adaptados a las condiciones climáticas de los Valles altos de México y estimar su dosis de fertilización N-P-K.
Materiales y métodos
Condiciones del sitio experimental
La investigación se realizó en el Campo Experimental Valle de México del INIFAP, en Coatlinchán, Estado de México (19º 17’ latitud norte, 98º 53’ longitud oeste y 2 250 msnm). El suelo era de textura franco arenoso, con pH de 6.2, materia orgánica de 2.1% y CE de 0.16 dS m-1. El contenido de minerales del suelo (mg kg-1) y grado de suficiencia según Castellanos et al. (2000) fueron: N (31, medio), P (47, alto), K (222, medio), Ca (2116, medio), Mg (615, moderadamente alto), Fe (15, moderadamente alto), Cu (0.7, moderadamente bajo), Zn (1.3, medio) y Mn (12, medio).
Material genético y manejo del experimento
El experimento se llevó a cabo de mayo a noviembre en los años 2014, 2015 y 2016, durante el ciclo de cultivo primavera verano. La precipitación acumulada y temperatura promedio mensual fueron de 834, 755 y 543 mm; 19, 19 y 20 oC, respectivamente (SMN, 2017). Fueron evaluadas cinco líneas de maíz: M-18 (♂-S2), M-55 (♀-S4), M-45 (♂-S3), M-48 (♂-S3) y CML-456 (♂-S49), todas adaptadas a las condiciones de Valles Altos de México, las cuales son utilizadas como progenitoras en la formación de híbridos trilineales de alto rendimiento.
La línea M-18 proviene de Mich 21 CompI-7-2; M-55: Tlax 151 SFC1-11-2-2-2; M-43: Mich 21-181-14-1-16-5; M-45: T58Pob86/1-5-3; M-48: Pob87xSIB/-1-4-3 y CML-456: [(INIFAP cruza simple) x (Batán 8585-6)]-B-1-1-1-2-B-TL-B. El diseño experimental fue bloques completos al azar en arreglo factorial con tres repeticiones. Los factores fueron: 1) año de evaluación: 2014, 2015 y 2016 y 2) líneas de maíz: M-18 (♂-S2), M-55 (♀-S4), M-45 (♂-S3), M-48 (♂-S3) y CML-456 (♂-S49) y unidad experimental de dos surcos de 5 m de longitud separados a 0.8 m.
La densidad de población fue 62 500 plantas ha-1. Se usó una dosis de fertilización de 150-00-00 con urea (46% N) como fuente de nitrógeno; la mitad del N se aplicó al momento de la siembra y el resto en la segunda escarda. Se realizaron cinco riegos por gravedad con una lámina de 12 cm en diferentes etapas fenológicas como las describe Schütte y Meier (1981): al momento de la siembra, cuello de la tercera hoja visible (V3), cuello de la hoja diez visible (V10), última rama de la panícula completamente visible (VT) y estigmas visibles (R1).
Para el control de malezas se aplicó en preemergencia Atrazina + S-metolaclor a una dosis de 1.5 L ha-1 y Dicamba + Atrazina con una dosis de 2 L ha-1 en postemergencia cuando la maleza tuvo una altura de 5 cm.
Variables de estudio
Las variables medidas en la etapa R6 (madurez fisiológica) fueron: materia seca de planta, rendimiento de grano, índice de cosecha y las extracciones de N, P y K. La materia seca (MS) en g, se calculó de la siguiente forma: i) se cortaron dos plantas al nivel del suelo y se colocaron en una bolsa de papel; ii) se obtuvo el peso fresco (g) (P1); iii) se tomó una submuestra de 100-200 g (P2) y iv) se obtuvo el peso seco de la submuestra, esto con ayuda de una estufa de secado a una temperatura de 70 °C durante 72 h (P3), luego se usó la expresión siguiente para su cálculo: MS (g)= [(100 - ( ( (P2 - P3) / P2) x 100)] / 100 x P1) / 2.
El rendimiento de grano (kg ha-1 a 14% de humedad): se calculó con la ecuación: REN= [PC x % MS x % G x FC] /8600. Donde: PC= peso de campo de mazorca, en kilogramos por parcela útil; (%) MS= porcentaje de materia seca, mediante la diferencia, 100 menos el porcentaje de humedad; (%) G= porcentaje de grano, como promedio de la relación entre el peso de grano y el peso de mazorca desprovista de brácteas, de cinco mazorcas, multiplicado por 100; FC= factor de corrección, obtenido al dividir 10 000 m2 (1 ha) entre la superficie útil de la parcela (8 m2 ); 8 600= es un valor constante, que permite estimar el rendimiento con una humedad uniforme del 14%, que es a la cual se manejan las semillas en forma comercial en México.
El índice de cosecha se obtuvo al dividir la materia seca de grano entre la materia seca aérea total. Extracción de N, P y K (g planta-1) se obtuvo en la etapa fenológica R6. Para la determinación analítica, de la submuestra de 100-200 g para obtener materia seca (P2), se tomaron de 20-30 g que fueron molidas. La extracción de los macronutrimentos, se calculó como el producto de: 1) la materia seca o tejido vegetal, producido en R6 y la concentración de N, P y K en el tejido vegetal. Las determinaciones de N y P se realizaron por el método de Microkjeldahl y molibdovanadato amarillo, respectivamente (Chapman y Pratt, 1973) y la de K por flamometría (Sherwood M410, Cambridge, Inglaterra).
Dosis de fertilización
La dosis de fertilización de N se estimó con el modelo racional simplificado de Rodríguez (1993):
Demanda del N, P y K del cultivo
La demanda nutrimental (DEM) estuvo en función del rendimiento máximo alcanzable (RMA) de la zona de interés y el requerimiento nutrimental (REQNUT)) según Castellanos et al. (2000): DEM (kg ha-1)= RMA (kg ha-1) x REQNUT (kg del nutrimento por Mg de grano). RMA para el presente estudio fue el promedio de rendimiento de los años de evaluación y el REQNUT de cada elemento (N, P y K) en madurez fisiológica se estimó con la expresión:
Para estimar el RENUT de P y K, la extracción de P se multiplicó por el factor 2.29 y para K se multiplicó por 1.2, para hacer la conversión a la forma química P2O5 y K2O, que se usa en la dosis de fertilización.
Suministro de N por el suelo
Se constituyó del N orgánico de la materia orgánica del suelo (MOS) más el N inorgánico (NO3+ NH4) reportado del análisis químico de suelo. Para estimar el Nitrógeno orgánico se hicieron las consideraciones siguientes: la densidad aparente del suelo (Da) corresponde a un suelo de textura gruesa, 1.4 (g cm3), la MOS tuvo en promedio un 5% de N, el N se mineralizó a un ritmo del 2% al considerar el porcentaje de materia orgánica y textura del suelo (Castellanos et al., 2000).
Al sumarse el nitrógeno orgánico e inorgánico, se tuvo un total de 145.9 kg ha-1, con una eficiencia de utilización por la planta asumida de 60%. Con base en lo anterior, la cantidad del nitrógeno inorgánico realmente disponible fue de 89.1 kg ha-1. Un ejemplo de cálculo para la dosis de N para la línea M-48 fue: a) la demanda de nitrógeno para producir 4.4 Mg ha-1 con una extracción de 25.9 kg ha-1 fue 114 kg ha-1; b) la oferta del suelo es 89.1 kg ha-1; c) la eficiencia del fertilizante nitrogenado fue de 60% y d) la dosis de nitrógeno por aplicar fue: (114-89.1)/0.6= 44 kg de N ha-1. Estos cálculos se realizaron de acuerdo con la metodología de Castellanos et al. (2000).
Suministro de P y K por el suelo
El suministro de P y K se obtuvo con la metodología de Castellanos et al. (2000) que fue generada de información experimental y el uso del análisis químico de suelo. Para el P se consideró el nivel de contenido en el suelo de acuerdo con el método de extracción y meta de rendimiento para maíz de grano, para nuestro estudio se consideró un nivel alto de P (47 kg ha-1) obtenido por el método Bray P1 y nivel de rendimiento de grano bajo (< 2 a 6 Mg ha-1). Para el caso del K, se consideró el nivel medio (222 kg ha-1), la clase de cultivo de baja respuesta, y el rendimiento meta que fue bajo. Para ambos elementos se hace la conversión a P2O5 y K2O como se indicó anteriormente.
Eficiencia del uso del fertilizante
De acuerdo con Castellanos et al. (2000) para nitrogenados va de 0.25 a 0.9%, para fosfóricos de 15-25% y para potásicos de 30-50%.
Análisis de resultados
Los datos obtenidos fueron sometidos a un análisis de varianza y la prueba de comparación de medias Tukey (p= 0.05) con el paquete estadístico SAS versión 9.0 (SAS, 2014). Adicionalmente se evaluaron las correlaciones: 1) entre la MS y la extracción de N, P y K acumuladas y (2) el rendimiento de cada línea y el requerimiento nutrimental.
Resultados y discusión
Efecto de las condiciones ambientales y del N en la producción de líneas de maíz
La materia seca, el índice de cosecha y el rendimiento de grano, mostraron diferencias estadísticas significativas entre años de evaluación (Cuadro 1). La mayoría de las variables tuvieron el valor más alto en 2014, seguido de los obtenidos en 2015 y 2016, que correspondieron al orden decreciente de la precipitación promedia mensual: 2014 (834 mm) >2015 (755 mm) >2016 (543 mm). Las diferencias en MS en R6, el rendimiento y el IC en 2014 respecto a 2015 y 2016, fueron del orden de 52 y 83%, 35 y 34% y 26 y 70%, respectivamente.
Cuadro 1 Efecto de las condiciones ambientales (años) en producción de grano promedio en líneas de maíz de Valles Altos (2014-2016).
| Año de evaluación | Materia seca (kg ha-1) | Índice de cosecha (%) | Rendimiento (kg ha-1) |
|---|---|---|---|
| 2014 | 13082 a | 0.43 a | 5719 a |
| 2015 | 9281 b | 0.32 b | 2734 b |
| 2016 | 7445 c | 0.13 c | 975 c |
| DSH | 1416 | 0.05 | 524 |
Medias con la misma letra en cada columna son estadísticamente iguales (Tukey, p≤ 0.05). DSH= diferencia significativa honesta.
Efectos similares fueron señalados por Virgen-Vargas et al. (2016); Zepeda et al. (2021) al estudiar el comportamiento agronómico de líneas e híbridos de maíz. Por su parte, Chakwizira et al. (2016), reportaron que el IC aumentó cuando el suministro de agua fue mayor, esto consecuencia de mejores condiciones ambientales que a su vez, favorecieron la producción de MS y rendimiento. Liu et al. (2020) al estudiar una base de datos indicaron que la MS y el IC contribuyeron al rendimiento de maíz en 77.36% y 26.28%, respectivamente.
Entre líneas de maíz, se encontraron diferencias significativas para las variables producción de grano (Cuadro 2) que puede explicarse, entre otros factores, por las diferencias genéticas y nivel de endogamia que reduce su vigor (MacRobert et al., 2014). Las líneas machos (♂) con menor endogamia, presentaron valores más altos de materia seca, IC y rendimiento de grano respecto a la línea CML-456 (♂) con mayor nivel de endogamia.
Cuadro 2 Materia seca, índice de cosecha y rendimiento de grano promedio en líneas de maíz de Valles Altos (2014-2016).
| Línea | Materia seca (kg·ha-1) | Índice de cosecha (%) | Rendimiento (kg·ha-1) |
|---|---|---|---|
| M-48 (♂-S3) | 11316 ab | 0.42 a | 5132 az |
| M-18 (♂-S2) | 12395 a | 0.3 bc | 3684 b |
| M-45 (♂-S3) | 9614 b | 0.38 ab | 3527 b |
| M-55 (♀-S4) | 9396 b | 0.23 dc | 2262 c |
| CML-456 (♂-S4) | 6960 c | 0.16 d | 1085 d |
| DSH† | 2152 | 0.12 | 1103 |
Medias con la misma letra en cada columna son estadísticamente iguales (Tukey, p≤ 0.05). DSH= diferencia significativa honesta.
La línea M-55 (♀) a pesar de tener mayor endogamia, presentó materia seca similar a las líneas macho con bajo nivel de endogamia, lo cual es posible, ya que en los progenitores ♀ tienen esta característica y como lo indican Ruiz y Hernández (2017), las hembras de los híbridos triples y dobles tienen un mayor potencial de rendimiento que las de híbridos simples.
Estos resultados tuvieron el mismo comportamiento que los realizados por Arellano et al. (2011); Virgen-Vargas et al. (2014) que incluyen algunas de las líneas evaluadas en el presente estudio. El bajo rendimiento de grano e índice de cosecha de la línea CML-456 se explicó por el alto nivel de endogamia que ésta posee, pues la depresión por endogamia conduce a líneas de maíz de bajo rendimiento (Virgen et al., 2014).
Extracción de N, P y K
La comparación de medias de extracción nutrimental de N, P y K entre líneas de maíz indicó diferencias estadísticas significativas (P≤ 0.05). Las extracciones de N, P y K en todas las líneas fueron mayores que las de la línea CML-456 (♂-S4) con menor nivel de endogamia (Cuadro 3).
Cuadro 3 Comparación de medias de extracción de N, P y K entre líneas de maíz de Valles Altos, en promedio de los años de evaluación 2014-2016.
| Línea | Extracción nutrimental por planta (g) | ||
|---|---|---|---|
| Nitrógeno | Fósforo | Potasio | |
| M-48 (♂-S3) | 1.83 az | 0.52 a | 3.31 a |
| M-18 (♂-S2) | 1.78 a | 0.56 a | 3.25 a |
| M-45 (♂-S3) | 1.5 ab | 0.48 a | 2.66 ab |
| M-55 (♀-S4) | 1.59 ab | 0.46 a | 2.22 bc |
| CML-456 (♂-S4) | 1.11 b | 0.29 b | 1.6 c |
| DSH† | 0.5055 | 0.1056 | 0.7145 |
Medias con la misma letra en cada columna son estadísticamente iguales (Tukey, p≤ 0.05). DSH= diferencia significativa honesta.
Las extracciones de la línea M-55 (♀-S4) fueron mayores sólo respecto a la línea macho con mayor nivel de endogamia, CML-456 (♂-S4), esto puede explicarse porque las líneas más endogámicas tienen menor vigor y sistema radical menos desarrollado que los híbridos (Vallejo et al., 2008), lo que disminuye su capacidad de absorber nutrimentos. En el caso de las líneas hembra de los híbridos triples y dobles tienen un mayor potencial de rendimiento y extraen mayores cantidades de nutrientes que las hembras de los híbridos simples y que las líneas machos de los híbridos de cruzas triple y simple (Ruiz y Hernández, 2017).
Extracción y demanda de N, P y K
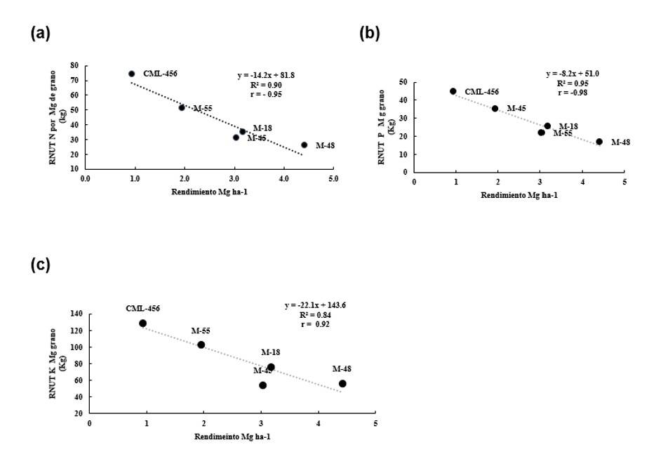
Las extracciones totales promedio de N, P y K (kg ha-1) en tres años de evaluación tuvieron una relación directa con la producción de MS en la etapa R6, rendimiento de grano y una relación inversa con el nivel de endogamia de las líneas (Figura 1, Cuadro 4). El orden de extracción de mayor a menor fue el siguiente, para N: M-48 >M-18 >M-55 >M-45 >CML-456; para P: M-18 >M-48 >M-45 >M-55 >CML-456 y para K: M-48 >M-18 > M-45 >M-55 >CML-456.

Figura 1 Correlación entre materia seca y extracción nutrimental en madurez fisiológica en líneas de maíz en los años 214, 2015 y 2016.
Cuadro 4 Extracción, requerimiento nutrimental y demanda de N, P, K en líneas de maíz en promedio de tres años de evaluación.
| NUT | Línea | REN (Mg ha-1) | Extracción | REQNUT (kg Mg-1) | DEM (kg ha-1) | DF (kg ha-1) | |
|---|---|---|---|---|---|---|---|
| Planta (g) | ha (kg) | ||||||
| N | M-48 (♂-S3) | 4.4 | 1.83 | 114.5 | 26 | 115 | 44 |
| N | M-18 (♂-S2) | 3.2 | 1.78 | 111.5 | 35 | 112 | 42 |
| N | M-45 (♂-S3) | 1.9 | 1.59 | 99.5 | 51 | 100 | 16 |
| N | M-55 (♀-S4) | 3 | 1.5 | 93.6 | 31 | 94 | 9 |
| N | CML-456 (♂-S4) | 0.9 | 1.11 | 69.5 | 75 | 70 | 0 |
| P | M-48 (♂-S3) | 4.4 | 0.52 | 32.6 | 17§ | 75§ | 0 |
| P | M-18 (♂-S2) | 3.2 | 0.56 | 35.1 | 25 | 80 | 0 |
| P | M-45 (♂-S3) | 1.9 | 0.48 | 30 | 35 | 69 | 0 |
| P | M-55 (♀-S4) | 3 | 0.46 | 29 | 22 | 66 | 0 |
| P | CML-456 (♂-S4) | 0.9 | 0.29 | 18.2 | 45 | 42 | 0 |
| K | M-48 (♂-S3) | 4.4 | 3.31 | 207.1 | 56¥ | 249¥ | 0 |
| K | M-18 (♂-S2) | 3.2 | 3.25 | 203 | 77 | 244 | 0 |
| K | M-45 (♂-S3) | 1.9 | 2.66 | 166.5 | 103 | 200 | 0 |
| K | M-55 (♀-S4) | 3 | 2.22 | 139 | 55 | 167 | 0 |
| K | CML-456 (♂-S4) | 0.9 | 1.6 | 100.2 | 129 | 120 | 0 |
NUT= nutrimento; REN= rendimiento base seca; REQNUT= requerimiento nutrimental (kg por Mg de grano); DF= dosis de fertilización; DEM= demanda; §= P en la forma química P205; ¥= K en la forma química K20.
El requerimiento total promedio de N, P y K en las líneas para producir un megagramo (1x106 g) de grano se incrementó conforme la extracción fue menor; el orden de mayor a menor fue: CML-456 >M-55 >M-18 >M-45 >M-48. Por ejemplo, la línea CML-456 con menor nivel de endogamia y rendimiento promedio de 0.99 t ha-1 de grano, requirió de 74.5 kg de nitrógeno, 44.6 kg de fósforo y 128.8 kg de potasio para producir 1 t ha-1; es decir, 65% de N, 62% de P y 57% de K más que los requeridos por la línea M-18 (Cuadro 4), valores que están por debajo del promedio internacional reportados por Bertsch (2009): 17.9 a 34.9 kg de N, de 3.3 a 7.3 kg de P y de 11.3 a 25 kg de K, y que según Castellanos et al. (2005) la extracción unitaria del nutrimento está en función del rendimiento potencial y no es un valor fijo.
Los requerimientos para un megagramo de grano de la línea CML-456 al multiplicarse por el rendimiento promedio, da la demanda durante el ciclo de cultivo (kg ha-1): de N, 70; de P, 42 y de K, 120), resultados que concuerdan con Cervantes et al. (2013), quienes además indicaron que el nivel de endogamia de una línea influye en su respuesta a la fertilización nitrogenada.
Las líneas por su nivel de endogamia, producción de materia seca de planta y rendimiento de grano, difieren en las extracciones de N, P y K y en consecuencia en los requerimientos de fertilización, aspectos que deben ser considerados en el programa de fertilización en un lote de producción de semillas. En la Figura 1 se observa que, en general, hubo alta correlación entre materia seca y extracción de K, P y N, en el orden de 0.93, 0.89 y 0.78, respectivamente.
Los valores de R2 fueron altos: K (0.97), N (0.95) y P (0.97), lo que indica que las extracciones se pueden estimar en función de la producción total de materia seca de las líneas. Grageda (1999) señala que la cantidad de nutrientes está correlacionada con la producción de materia seca y que a su vez es influenciada por las condiciones ambientales y constitución genética de la planta.
La dosis de fertilización estimada de N fue diferente entre líneas, de 0 a 44 kg ha-1. En P y K no hubo necesidad de fertilización, seguramente porque las reservas en el suelo fueron suficientes para cubrir la demanda de las plantas, como también lo señalan Castellanos et al. (2005) para la mayoría de los suelos de México donde se cultivan cereales, excepto para suelos tropicales, donde la respuesta a la aplicación de K es baja (nivel crítico). Para P obtenido con el método Bray 1, 30 ppm puede considerarse como un valor crítico; en el presente estudio la concentración fue de 47 ppm de P, que es suficiente para las líneas de maíz y para la mayoría de los cultivos (Castellanos et al., 2005).
El requerimiento de N, P y K por las líneas tuvo correlación alta y negativa con el rendimiento de las líneas que se relacionó con su nivel de endogamia. Rodríguez (1993) indicó que es posible estimar el requerimiento nutricional a partir del rendimiento máximo alcanzable, que en nuestro estudio correspondió al promedio de tres años de evaluación. Los resultados también indican que las líneas tienen diferentes necesidades nutrimentales (Figura 2).
Conclusiones
Los resultados permiten concluir que las líneas de maíz progenitoras de híbridos trilineales adaptados a las condiciones de Valles Altos de México, difieren en la demanda y extracciones de N, P y K según el nivel de endogamia, producción de materia seca de planta y rendimiento de grano y en consecuencia difieren en los requerimientos totales de fertilización, aspecto que debe ser considerado en un programa de fertilización de producción de semilla para la formación de híbridos comerciales. La demanda de nutrimentos (kg ha-1) en las líneas de maíz fue 70 a 115, para N, 42 a 80 para P205 y 120 a 249 para K2O. La dosis de fertilización estimada de N fue de 0 a 44 kg ha-1 y para P y K las necesidades de fertilización fueron nulas.










texto em 



