Los frutos de guayaba, ya sea frescos o procesados, son muy apreciados por los consumidores, debido a su sabor característico y alto contenido de vitamina C (Corrêa et al., 2011). Brasil es un importante productor mundial, con una producción de 564.764 t en 22.63 ha (IBGE, 2023). Los estudios sobre caracterización de germoplasma y diversidad genética generan información esencial para el desarrollo de nuevos cultivares (Coser et al., 2014). Según Corrêa et al. (2011), la evaluación de los rasgos relacionados con el dulzor y la acidez, así como el contenido de compuestos bioactivos es esencial para el desarrollo de los cultivares de guayaba.
El ácido ascórbico, uno de los principales compuestos bioactivos de la guayaba, es una vitamina hidrosoluble de gran importancia nutritiva ya que los seres humanos no sintetizan esta vitamina (Corrêa et al., 2011). Se han realizado pocos estudios que abordan la caracterización fisicoquímica del género Psidium; por ejemplo, Corrêa et al. (2011), cuyo estudio cuantificó compuestos bioactivos en accesiones de guayaba y araçá.
Sin embargo, no se encontraron reportes que aborden la caracterización de accesiones de guayaba injertadas en portainjertos resistentes al nematodo agallador de la raíz (RKN) por sus siglas en inglés (Meloidogyne enterolobii), considerando que la vida útil de las plantas de guayaba sin portainjerto resistente está limitada por este patógeno. Este estudio tuvo como objetivo caracterizar la variabilidad fisicoquímica de las accesiones de guayaba injertadas en un portainjerto resistente al RKN, BRS Guaraçá, para ayudar en la selección de progenitores para cruzas y el desarrollo de nuevos cultivares.
La evaluación se realizó en noviembre de 2021 en frutos de 87 accesiones de un Banco de Germoplasma de Psidium de Embrapa, Petrolina, PE, Brasil, latitud 09° 08’ 12.3” S, longitud 40° 18’ 31.6” O, a 363 msnm. Las accesiones de guayaba se recolectaron en algunas regiones de 12 estados brasileños. Las accesiones se dispusieron en dos bloques, con dos plantas por parcela, en un espaciamiento de 4 m x 4 m. La guayaba BRS Guaraçá, resistente al RKN, se utilizó como portainjerto. Durante la etapa de cosecha, se eligieron al azar cinco frutos por planta de las accesiones de guayaba y se analizaron ocho variables.
El color de la pulpa y la cáscara se determinaron utilizando un colorímetro CR-400 (Minolta, Tokio, Japón), como se describe en Harder et al. (2007). La firmeza de la pulpa (Newton) se evaluó mediante un analizador de textura TA.XT.Plus (Extralab®, São Paulo, Brasil) con una punta de 8 mm. Los sólidos solubles se determinaron utilizando un refractómetro digital portátil PAL-1 (Atago, São Paulo, Brasil). La solución para la acidez titulable (% de ácido cítrico) se cuantificó según lo descrito por Lutz (2008).
Los contenidos de vitamina C, β-caroteno y licopeno (mg de ácido ascórbico por 100 g-1) se determinaron como describen Corrêa et al. (2011). Los datos de las variables, excepto los colores, se sometieron a análisis de varianza utilizando el procedimiento del modelo lineal generalizado (GLM), por sus siglas en inglés del sistema de análisis estadístico (SAS), por sus siglas en inglés, versión universitaria en línea. Los datos se transformaron en raíz cuadrada para cumplir con los supuestos de normalidad. Los gráficos de histograma se construyeron utilizando las funciones de la hoja de cálculo de Microsoft Excel.
Hubo diferencias significativas (p< 0.05) para los frutos de las 87 accesiones para todas las variables cuantitativas analizadas, lo que indica variabilidad fenotípica entre ellas. Los coeficientes de variación variaron de 9.7 a 51.5% para los rasgos analizados, lo que indica una precisión experimental buena a limitada en la medición de los datos (Cuadro 1). No hubo diferencias significativas en la prueba F para la varianza entre plantas de las accesiones, lo que indica la ausencia de variabilidad fenotípica entre plantas de una determinada accesión (Cuadro 1). Para Coser et al. (2014), la guayaba se poliniza principalmente de forma cruzada, esperando una alta variabilidad fenotípica cuando se multiplica por propagación sexual.
Cuadro 1 Cuadrados medios (CM), media y coeficiente de variación (CV) para firmeza de pulpa, sólidos solubles (SS), ácido cítrico, vitamina C (Vit C), β-caroteno y licopeno medidos en frutos de 87 accesiones de guayaba injertadas en el portainjerto BRS Guaraçá. Petrolina, PE, Brasil.
| FV | CM | ||||||
|---|---|---|---|---|---|---|---|
| Firmeza1/ | SS1/ | Ácido cítrico1/ | Vit C1/ | β-caroteno1/ | Licopeno1/ | ||
| Bloque | 5.39** | 0.09NS | 0.03NS | 61.5 | 0.094NS | 0.123NS | |
| Accesiones | 1.26** | 0.17** | 0.014* | 69.4** | 0.171** | 0.492** | |
| Variación entre | 0.004NS | 0.01NS | 0.005NS | 1.1 NS | 0.218NS | 0.447NS | |
| Variación dentro | 0.55 | 0.1 | 0.0117 | 22.3 | 0.065 | 0.125 | |
| Rango | 0-11.31 | 6.7-16.4 | 0.16-0.66 | 33-1335 | 0.02-1.83 | 0.0-3.7 | |
| Media | 3.7 | 10.8 | 0.42 | 297 | 0.49 | 0.77 | |
| CV (%) | 43.7 | 9.7 | 15.7 | 28 | 41.2 | 51.5 | |
| Valores más bajos | |||||||
| GUA02MA | GUA178AP | GUA177AP | GUA02MA | GUA131GO | GUA131GO | ||
| GUA105RS | GUA127GO | GUA40PE | GUA113GO | GUA124GO | GUA187ES | ||
| GUA113GO | GUA66RO | GUA145BA | GUA184ES | GUA82RO | GUA46PE | ||
| GUA177AP | GUA07MA | GUA147BA | GUA132RR | GUA35PE | GUA21GO | ||
| Valores más altos | |||||||
| GUA87AM | GUA15MA | GUA17MA | GUA07MA | GUA113GO | GUA65RO | ||
| GUA124GO | GUA46PE | GUA15MA | GUA22MA | GUA06MA | GUA150BA | ||
| GUA135RR | PALUMA | GUA31PI | GUA48SE | GUA55SE | GUA32PE | ||
| GUA33PE | GUA69RO | GUA03MA | GUA31PI | GUA73RO | GUA64BA | ||
NS, ** y *= no significativo, significativo al 1% y al 5%, respectivamente, según la prueba F. 1/= datos transformados en raíz cuadrada.
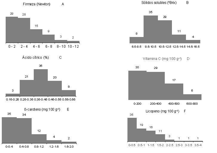
Los valores de firmeza de pulpa variaron de 0 a 11.31 N, con una media de 3.7 N y el 93% de las accesiones mostraron valores de 0 a 8 N (Figura 1A). En general, el 70% de las accesiones mostraron valores superiores a 10° Brix (Figura 1B). Resultados cercanos a los estimados en el presente estudio fueron reportados por Corrêa et al. (2011), quienes encontraron valores que oscilaron entre 9.58 y 15.82 °Brix en accesiones de guayaba.

Figura 1 Frecuencia de accesiones para firmeza de pulpa (A); sólidos solubles (B); ácido cítrico (C); vitamina C (D); β-caroteno (E) y licopeno (F) en frutos de 87 accesiones de guayaba injertadas en el portainjerto BRS Guaraçá.
Para el ácido cítrico, los valores oscilaron entre 0.16 y 0.66%, con una media de 0.42% (Cuadro 1) y el 87% de las accesiones mostraron valores entre 0.26 y 0.55% (Figura 1C). Corrêa et al. (2011) reportaron valores de 0.22 a 0.67% para este compuesto en frutos de guayaba. El contenido de β-caroteno en las accesiones de guayaba analizadas varió de 0.02 a 1.83 mg 100 g-1, con una media de 0.49 mg 100 g-1 (Cuadro 1).
Para el licopeno, responsable del color rojo o rosado de la guayaba, el valor medio fue de 0.77 mg 100 g-1 (Cuadro 1), con el 93% de las accesiones mostrando valores de 0 a 2 mg 100 g-1 (Figura 1F). Corrêa et al. (2011) reportaron mayores contenidos de β-caroteno y licopeno en las accesiones de guayaba que los reportados en nuestro estudio.
El valor medio del contenido de vitamina C fue de 297 mg 100 g-1, con valores que oscilan entre 33 y 686 mg 100 g-1 (Cuadro 1), con un 72% mostrando valores que oscilan entre 33 y 400 mg 100 g-1 (Figura 1D). Los valores reportados >600 mg 100 g-1 son más altos para este cultivo y caracterizan excelentes contenidos de ácido ascórbico para algunas accesiones. Diplock et al. (1998) sugirieron 150 mg como ingesta diaria mínima de vitamina C, la cual puede ser suministrada con una pequeña parte de un fruto de estas accesiones de una forma totalmente natural y saludable. Corrêa et al. (2011) reportaron valores que oscilaron entre 44.66 y 409.77 mg 100 g-1 al evaluar accesiones no injertadas de la misma colección del presente estudio.
Los resultados de los análisis de color mostraron que el 95% de los frutos presentaron un color de cáscara amarillo, y solo el 5% tenían frutos verdes en algunas accesiones evaluadas. Hubo una gran variabilidad en los parámetros de color de pulpa, con un 55% de las accesiones mostrando una pulpa roja de diferentes intensidades, mientras que el 9% presentó un color rosado, el 25% tuvo una pulpa blanca de diferentes intensidades y el 11% tuvo una pulpa anaranjada.
Dos accesiones mostraron valores más altos para más de un fisicoquímico; por ejemplo, GUA15MA, que mostró valores altos de sólidos solubles, ácido cítrico y GUA31PI, que mostró altos contenidos de ácido cítrico y vitamina C, siendo indicada para cruzas con el fin de desarrollar nuevos cultivares de guayaba. Los análisis del presente estudio son innovadores ya que consideran una muestra representativa de accesiones injertadas en BRS Guaraçá. El RKN es el principal patógeno de la guayaba en Brasil, lo que ha causado graves pérdidas a los productores de guayaba. El sistema radicular de la guayaba es destruido por el RKN, lo que provoca la muerte de la planta en pocos meses y dificulta evaluaciones como las reportadas en el presente estudio.
Conclusiones
Las 87 accesiones de guayaba evaluadas mostraron diferencias significativas para todas las variables cuantitativas analizadas (p< 0.05), lo que indica variabilidad fenotípica entre ellas. Las accesiones de guayaba GUA33PE y GUA135RR, con valores altos de firmeza del fruto, son recomendadas para cruzas con el fin de desarrollar nuevos cultivares con mayor resistencia al transporte y vida útil. Las accesiones GUA31PI (886 mg 100 g-1) y GUA48SE (821 mg 100 g-1) mostraron valores altos de vitamina C y se recomiendan para las cruzas que buscan el desarrollo de cultivares con mayor contenido de este compuesto bioactivo.










texto em 


