Los agaves cuentan con un ‘bulbilo’ dentro del escapo floral que forma parte de su órgano reproductor, en donde se encuentran las semillas (Arizaga y Ezcurra, 2002). En la actualidad las plantaciones comerciales se realizan mediante propagación asexual generando endogamias que disminuyen su porte ecológico, por lo que agaves originados de semilla favorecen su dinámica de las poblaciones, debido a la recombinación sexual que propicia la variabilidad genética poblacional (Ramírez-Tobías et al., 2012).
Las reservas y calidad de germoplasma en las semillas propician que las poblaciones silvestres de agaves persistan, promuevan su dispersión y adaptación a nuevos ambientes (Doria, 2010; Verma et al., 2014). Conservar tales reservas es de vital importancia, ya que el manejo inadecuado, la falta de planificación en la extracción de agaves silvestres justo antes de la floración y el aumento de los monocultivos han provocado una disminución de la variabilidad poblacional de los agaves.
La consecuencia inmediata es una fragmentación de las poblaciones silvestres en unidades más pequeñas, aumentando así su vulnerabilidad (Delgado-Lemus et al., 2014). Los estudios de morfometría geométrica permiten profundizar en características, como la forma y el tamaño de las semillas y mediante el uso de descriptores cuantitativos, se contribuye al conocimiento de las especies y su agrupamiento sistemático (Miniño-Mejía et al., 2014), incluye además, técnicas para el registro numérico mediante distancias entre puntos (Zelditch et al., 2004), también analiza a partir de la forma y tamaño de una estructura con análisis multivariados, lo que permite el estudio comparativo entre individuos y entre especies (Bookstein, 1982; Adams et al., 2004; Mitteroecker y Gunz, 2009).
Herridge et al. (2011); Tanabata et al. (2012) indican que los análisis realizados a la forma de las semillas son importantes para hacer inferencias sobre la diversidad biológica en las poblaciones naturales debido a sus mecanismos de dispersión. La morfometría geométrica es una herramienta que en la actualidad es empleada en diversas áreas de la biología, para dar soporte a estudios con enfoques ecológicos, evolutivos y genéticos (Chuanromanee et al., 2019), para el caso de los agaves pueden ser aplicados en la conservación o manejo agrícola de las poblaciones naturales.
Por lo anterior, el objetivo de este trabajo fue analizar la variación morfológica en las semillas de agave, que permitan generar estrategias para establecer programas de manejo y conservación de agaves silvestres a través de su variación poblacional.
Estudio morfométrico
Para los análisis morfométricos se utilizaron semillas de Agave angustifolia Haw, A. karwinskii Zucc, A. potatorum Zucc y A. rhodacantha Trel. Las muestras fueron colectadas entre diciembre de 2017 y junio de 2018 en las localidades de San Bartolo Coyotepec (16° 57’ 24’’ latitud norte y 96° 42’ 23’’ longitud oeste), Tlacolula de Matamoros (16º 57’ 15” latitud norte y 96º 28’ 45” longitud oeste) y Villa Sola de Vega (16° 30’ 42’’ latitud norte y 96° 58’ 46’’ longitud oeste).
Dichas localidades pertenecen a la región de los Valles Centrales de Oaxaca, México. En San Bartolo Coyotepec se obtuvieron registros de las cuatro especies, y en las otras dos poblaciones se utilizaron registros solo de semillas de A. potatorum Zucc.
Se seleccionaron 100 semillas fértiles de cada especie verificando que no presentaran roturas, fracturas, daños por insectos, deformaciones o afectadas por hongos. Cada semilla fue pesada en una balanza analítica (Sartorius CP224S) y colocada en un tubo Eppendorf debidamente identificada. Para la obtención de las imágenes se colocó un referente milimétrico. Las fotografías se obtuvieron con una cámara (Nikon Reflex, D5600 de 24 MP), la cual se orientó paralelamente al plano horizontal de la base de la semilla y se mantuvo fija a una columna y a un soporte.
Cada semilla se colocó en el mismo punto y se orientó hacia un solo sentido. Las imágenes se guardaron en formato de imagen JPG. Empleando el software MakeFan6 (Sheets, 2005) se realizó el recorte de las imágenes, se establecieron los puntos homólogos y se generaron los peines que fueron utilizados como referente para el marcado de los puntos de contorno o Landmarks, posteriormente se guardaron como archivos PNG. Con el programa TpsUtil (Rohlf, 2005), se asignaron los Landmarks a partir de los puntos homólogos (22 para cada registro), convirtiendo la imagen en un plano cartesiano, guardando la base de datos con extensión TPS.
Obtenida la base de datos de las coordenadas, se editó con el nombre correspondiente de cada especie. La base de datos es la configuración completa que representa la forma del objeto de estudio, formada por ‘k’ cantidad de Landmarks y ‘m’ coordenadas. Con el programa MorphoJ se realizó el análisis Procrusters para los registros, esto es, mediante los análisis multivariados de componentes principales (ACP), análisis de variables canónicas (AVA) y el análisis de discriminantes canónicas considerando las distancias Mahalanobis y Procrusters (Rohlf, 2015).
Variación geométrica de cuatro semillas de Agave en una localidad
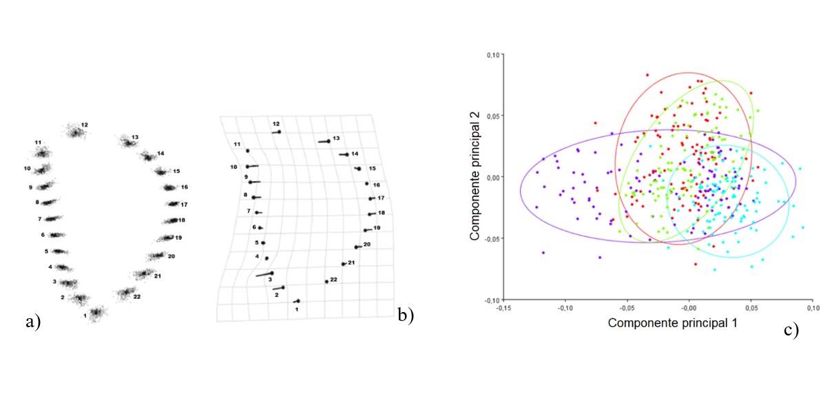
Las semillas de agave de las cuatro especies colectadas en San Bartolo Coyotepec, mostraron diferencias significativas (p= 0.001) en la variación de la forma y tamaño. La nube de datos (Figura 1a) y la expresión de la variación (Figura 1b) presente en el extremo micropilar, landmark 1, 2, 3, 21 y 22 de la semilla de A. karwinskii, mostró un desplazamiento hacia la izquierda; en la parte basal, landmark 10, 11, 12, 13 y 14 el desplazamiento se observó hacia la derecha expresado por A. potatorum.

Figura 1 Nube de datos (a), expresión de la variación (b) y análisis de componentes principales de los patrones de cambio (c), en las semillas de A. angustifolia Haw (puntos rojos), A. rodacantha Trel (puntos verdes), A. potatorum Zucc (puntos azules), A. karwinskii Zucc (puntos morados) de San Bartolo Coyotepec.
En general las semillas presentaron forma lacriforme plana. Leishman y Westoby (1992) indican que las variaciones en la forma y el tamaño de las semillas tienen un papel importante en la historia de vida de una especie.
Las variaciones en forma y tamaño (p≤ 0.01: Mahalanobis y Procrustes) expresadas en las semillas de A. angustifolia Haw, A. rodacantha Trel, A. karwinskii Zucc y A. potatorum Zucc en San Bartolo Coyotepec, son la respuesta a las adaptaciones que cada especie presenta en su lugar de crecimiento.
En este sentido, Chuanromanee et al. (2019) indican que la variación en la forma de una especie vegetal está condicionada principalmente por la carga genética y posteriormente por la ambiental, este supuesto evidencia porque hubo diferencia entre las cuatro especies de Agave presentes en San Bartolo Coyotepec. Moles et al. (2005) mencionan que los factores que afectan los cambios en el tamaño, es la manera como la semilla expresa los cambios durante su crecimiento.
A partir, del espacio definido por los valores de los dos primeros componentes principales, no se presentó una separación total en la forma de las semillas de las cuatro especies. Los patrones de distribución se sobreponen en parte de las áreas ocupadas (Figura 1c), aunque A. karwinskii y A. potatorum presentaron ligeras variaciones en su forma. El componente 1 explicó el 45.14% y el componente 2 el 41.34%, con una variación total de 86.48% en la forma de las semillas.
El análisis discriminante y la prueba de permutación mostró diferencias significativas tanto para el valor de las distancias Mahalanobis (p≤ 0.001), como para el valor de las distancias Procrustes (p≤ 0.001), esto es, tanto el tamaño como la forma fueron diferentes, respectivamente (Cuadro 1). Las mayores diferencias en las semillas de las cuatro especies se observaron principalmente en el tamaño.
Cuadro 1 Relación de distancias que condicionan el tamaño (Mahalanobis) y la forma (Procrustes) de las semillas de A. potatorum Zucc en San Bartolo Coyotepec.
| Especies | Mahalanobis | Procrustes |
| A. angustifolia vs A. rodacantha | 2.9887** | 0.0297** |
| A. angustifolia vs A. potatorum | 3.5435** | 0.0552** |
| A. angustifolia vs A. karwinskii | 2.2368** | 0.0355** |
| A. rhodacantha vs A. potatorum | 3.5134** | 0.0495** |
| A. rhodacantha vs A. karwinskii | 3.4579** | 0.0373** |
| A. potatorum vs A. karwinskii | 3.2108** | 0.0597** |
**= significancia p≤ 0.01.
La alteración en la forma y tamaño de las semillas de Agave sp. Están relacionados con la disponibilidad de los recursos, siendo común para otras plantas como las herbaceas (Winn, 1988; Ericksson, 1999). El tamaño de la semilla es considerado un indicador de calidad fisiológica, dado que se correlaciona positivamente con el vigor de las plantas (Aguiar, 1995; Sánchez-Rendón et al., 2002; Aráoz et al., 2004) y mayor capacidad de sobrevivencia.
Por lo anterior, el tamaño de la semilla puede afectar potencialmente el tamaño y la resistencia de las plántulas que se generen (Wulff, 1986). La variabilidad en los valores biométricos de las semillas en las semillas de las cuatro especies de agave, podrían deberse a condiciones fenológicas de las plantas progenitoras que a su vez son el producto de las condiciones ambientales del sitio donde fueron extraídas. La variación en las semillas de agave, así como las variaciones encontradas por Pozo-Gómez et al. (2019) en semillas de Croton sp. Son consecuencia de condiciones multifactoiales.
Variación geométrica de A. potatorum en tres localidades
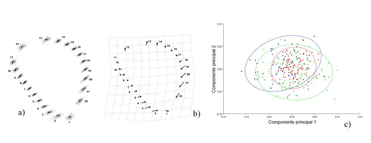
La forma de las semillas de A. potatorum procedentes de Tlacolula de Matamoros, Villa Sola de Vega y San Bartolo Coyotepec, mostraron diferencias significativas entre las localidades (p≤ 0.01). La nube de datos (Figura 2a) y la expresión de la variación (Figura 2b) mostraron variaciones de forma, principalmente en la zona micropilar se presentó desplazamiento hacia la izquierda en los Larmacks 1, 2, 3, 4 y 5 y hacia la derecha en los Larmacks 18, 19, 20, 21 y 22.

Figura 2 Nube de datos (a), expresión de la variación (b) y análisis de componentes principales de los patrones de cambio (c), en las semillas de A. potatorum Zucc de San Bartolo Coyotepec (puntos rojos), Villa Sola de Vega (puntos verdes) y Tlacolula de Matamoros (puntos azules).
La variación en tamaño y forma de las semillas de A. potatorum Zucc en las tres localidades, registró una dispersión menor expresable para el tamaño Mahalanobis (p≤ 0.01) y para la forma Procrustes (p≤ 0.01). Dicha variación puede indicar para esta especie, que las condiciones de sitio no fueron determinantes en cuanto a cambios en la forma o tamaño de las semillas. La variación registrada en las semillas de A. potatorum Zucc se presentó en la región apical (micropilar) que es el lugar por el cual emerge la plántula.
En el espacio definido por los dos componentes principales, la separación entre localidades con A. potatorum fue gradual, evidenciando una población heterogénea en cuanto a forma en la Villa Sola de Vega y menor heterogeneidad en San Bartolo Coyotepec (Figura 2c). La variación total explicada por el componente 1 (51.6%) y el componente 2 (48.3%) fue de 99.9%, el cambio se presentó principalmente en la zona micropilar de la semilla.
La prueba de permutación arrojó valores significativos tanto para el valor de las distancias Procrustes (p≤ 0.001) que señala la forma de las semillas, como para los valores de las distancias Mahalanobis (p≤ 0.001) para el tamaño de estas (Cuadro 2).
Cuadro 2 Relación de distancias que condicionan el tamaño (Mahalanobis) y la forma (Procrustes) de las semillas de A. potatorum Zucc en las localidades.
| Localidades | Mahalanobis | Procrustes |
| Sn Bartolo C. vs Sola de Vega | 1.9651** | 0.0165** |
| San Bartolo C. vs Tlacolula | 2.3415** | 0.0287** |
| Sola de Vega vs Tlacolula | 2.3878** | 0.0356** |
**= significancia p≤ 0.01
Aunque las diferencias genéticas son relativamente importantes, los patrones físicos o estructurales de la semilla, pueden estar influenciados por factores como la etapa de maduración del fruto, el estímulo de estrés abiótico o biótico, incluido el cambio climático y el estímulo de interacciones inter y tierras altas intraespecíficas durante el desarrollo de semillas (Howe y Richter, 1982).
En este sentido, Boyd (2002) menciona que poblaciones aisladas de una especie, pueden presentar diferencia en forma en algunas de sus estructuras. Lo anterior, se puede evidenciar para el caso de A. potatorum, en donde el aislamiento de sus poblaciones provocó diferencias en la forma de sus semillas.
Conclusiones
Las semillas de los agaves A. angustifolia Haw, A. rodacantha Trel, A. karwinskii Zucc y A. potatorum Zucc en su estructura lacriforme presentaron diferencias (p< 0.05) en forma y tamaño en la parte basal y micropilar, estableciendo que si existe un patrón de variación de acuerdo a la especie. En un análisis intraespecífico la región basal y apical de Agave potatorum presentó variaciones (p< 0.05) entre semillas provenientes de diferentes localidades, estableciendo que existen factores en al ambiente que generan heterogeneidad en la especie, tal característica poblacional puede ser utilizada para establecer estrategias de intercruzamientos en plantaciones comerciales y de esta que fomenten la conservación de las especies silvestres.










texto em 


