Introducción
Los plaguicidas organoclorados son los agroquímicos más utilizados en el mundo y su estructura química le confiere una alta estabilidad física y química por lo que favorece su persistencia en el ambiente, bioacumulación por seres vivos y su lenta biodegradabilidad (Jayaraj et al., 2016). Entre los diversos tipos de plaguicidas organoclorados, un compuesto que se sabe causa un riesgo significativo es el endosulfán que ha sido ampliamente utilizado en diversos cultivos en todo el mundo. También se ha usado en la preservación de maderas y jardinería. Se comercializa como mezcla de isómeros (α y β) y se transforma en condiciones aeróbicas biológicas de oxidación en endosulfán sulfato, el cual es degradado en metabolitos polares tóxicos y peligrosos para el medio ambiente como endosulfán diol, endosulfán éter y endosulfán lactona (Tiwari y Guha, 2013; Thangadurai y Suresh, 2014; Silva y Beauvais, 2010), permaneciendo en suelo como residuos peligrosos y más tóxicos que el propio endosulfán (Odukkathil y Vasudevan, 2016). De ellos, endosulfán lactona ha sido el menos estudiado y reportado, y de acuerdo con la concentración letal media y la concentración efectiva media evaluada por Vázquez-Villegas et al. (2018), es clasificado como extremadamente tóxico, por lo que, los efectos de derivados de plaguicidas en la biota terrestre son de gran importancia.
Eisenia fetida es un anélido que forma parte de la biota terrestre y durante toda su vida está en el suelo, por lo que inevitablemente está expuesta a diferentes xenobióticos y a la acumulación de contaminantes orgánicos hidrofílicos a través de la piel, e hidrofóbicos por el tracto intestinal durante el paso del suelo a través del intestino (Sun et al., 2005). Existen múltiples reportes de los efectos provocados por plaguicidas en diversas especies generados por reacciones de estrés oxidativo como consecuencia del daño celular, de tejidos y órganos debido a la oxidación de los lípidos presentes en la membrana celular (Oliveira et al., 2017; Xiang et al., 2018; Mehdi et al., 2020; Howell et al., 2018; Uchendu et al., 2018). Ya que endosulfán lactona es un derivado de endosulfán y se ha detectado su presencia en suelo agrícola (Vázquez-Villegas et al., 2018), resulta de interés evaluar las afectaciones que endosulfán lactona genera en el desarrollo, metabolismo y contenido de lípidos de Eisenia fetida y el efecto que los microorganismos presentes en el sustrato tienen para mitigar los daños provocados.
Por lo anterior, en este estudio se evaluó el efecto de la concentración de endosulfán lactona a 3 diferentes concentraciones (0.001, 0.004, 0.009 mgkg-1) en sustrato estéril y no estéril, y el tiempo de exposición (1, 3, 5, 7, 14, 28 y 56 días), en relación con el incremento de peso. El endosulfán lactona se detectó en Eisenia fetida y en sustrato y se evaluaron los procesos de bioacumulación y eliminación de este residuo de plaguicida.
Materiales y métodos
Obtención de Eisenia fétida
Las lombrices (Eisenia fetida) fueron adquiridas en el rancho “Luanda” ubicado en el municipio de Ocozocoautla de Espinoza, Chiapas, y posteriormente fueron resguardadas en un contenedor de plástico cubierto con malla y alimentadas con excreta de conejo y peat moss manteniendo la humedad al 75%.
Preparación del sustrato
El sustrato sólido compuesto por peat moss y excreta de conejo 85-15 (p/p) (Vázquez-Villegas et al., 2018), se secó, molió y tamizó en malla 100 (0.144 mm), se agregó agua destilada y se homogenizó para alcanzar 75 % de humedad. En el caso de los experimentos con sustrato estéril, las unidades experimentales con sustrato obtenido con el procedimiento anterior se colocaron en la autoclave a 121 °C y 15 lb durante 15 minutos, repitiendo el procedimiento cada 24 h, tres veces (Peñaloza et al., 2013).
Exposición de Eisenia fetida a endosulfán lactona en sustrato estéril y no estéril
Las unidades experimentales fueron frascos de vidrio de 1 L con 50 g de sustrato (estéril y no estéril; 85 % peat moss y 15 % excreta de conejo) ajustando la humedad a 75 % con agua destilada. Posteriormente se adicionó solución de endosulfán lactona en concentraciones de 0.001, 0.004 y 0.009 mg kg-1, determinadas por la CL50 obtenida en sustrato artificial en reportes previos (OCDE 207, 1984; Vázquez-Villegas et al., 2018), se mezcló y se dejó en una campana de extracción durante 24 h para evaporar el disolvente; posteriormente se agregaron 5 lombrices adultas con clitelo bien definido, con peso entre 0.4 y 0.5 g cada una, se cubrió la boca del frasco con pañalina para evitar que las lombrices se salieran y establecer condiciones aeróbicas. En los días 0, 1, 3, 5, 7, 14, 28 y 56, las lombrices fueron removidas, contadas, lavadas con agua destilada, secadas y durante 24 h se dejaron en cajas Petri secas para eliminar su contenido intestinal y se determinó su peso. El sustrato se inspeccionó para identificar algún huevecillo formado y lombrices jóvenes, en caso de encontrarse, se retiraron y colocaron junto con las lombrices adultas para su cuantificación. Se utilizó un diseño experimental multi-factorial categórico con tres factores y distintos niveles (Tabla 1). El análisis estadístico se realizó mediante un análisis de varianza (ANOVA) con 95% de confianza para determinar si existe diferencia significativa entre los tratamientos empleando el software STATGRAPHICS Centurión XVI.
Table 1: Factors and levels of the system with a categoric multifactorial design.
| FACTORES | NIVELES | ||
| Bajo | Medio | Alto | |
| Concentración de endosulfán lactona mgkg-1 | 0.001 | 0.004 | 0.009 |
| Número de lombrices | 5, 10 | 5, 10 | 5, 10 |
| Tiempo de exposición (d) | 1, 3, 5, 7, 14, 28, 56 | 1, 3, 5, 7, 14, 28, 56 | 1,3, 5, 7, 14, 28, 56 |
Para la determinación del incremento de peso (IP), las lombrices se pesaron antes (Po) y después (Pf) del experimento de acuerdo con el procedimiento descrito anteriormente y en el día de muestreo programado, es decir, los días 1, 3, 5, 7, 14, 28 y 56. Los datos obtenidos se utilizaron en la ecuación 1 (Villalobos-Maldonado et al., 2015).
Cuantificación de endosulfán lactona en lombriz
Las lombrices separadas del sustrato en el experimento descrito anteriormente se lavaron, secaron y agruparon dependiendo de la unidad experimental a la que pertenecían. Para conocer la concentración de endosulfán lactona en E. fetida, se siguió la metodología de Mosleh et al. (2003) con ligeras modificaciones. Se tomaron las lombrices, se agregó nitrógeno líquido y se molieron en un mortero, se añadió sulfato de sodio anhidro 1.5 veces el peso de las lombrices para retirar toda la humedad de la muestra y se homogenizó, posteriormente se colocó en un matraz Erlenmeyer de 50 mL y se adicionó 6 mL de cloruro de metileno y 1 mL de acetona, se mezcló en un agitador rotatorio por dos horas a 175 rpm, se filtró y centrifugó en una centrífuga Eppendorf 510 R (Hamburgo, Alemania) a 10,000 rpm por 5 min a 4 °C. El sobrenadante se decantó y se dejó concentrar en una campana de extracción por 24 h hasta casi sequedad; posteriormente se llevó a 2 mL con acetonitrilo grado HPLC y se analizó por triplicado en cromatografía líquida de alta resolución con detector UV en un cromatógrafo Flexar (Perkin Elmer, Shelton, USA).
La bioacumulación se refiere al aumento progresivo de sustancias químicas o contaminantes en los organismos vivos a lo largo del tiempo. La bioacumulación en Eisenia fetida fue calculada a partir de la concentración inicial (CI) y final (CF) de endosulfán lactona en la lombriz durante el tiempo de exposición (1, 3, 5, 7, 14, 28 y 56), utilizando la ecuación 2 (Cao et al., 2015).
Cuantificación de endosulfán lactona en sustrato
5 g de sustrato se adicionaron a un matraz Erlenmeyer de 250 mL y se adicionó 75 mL de acetonitrilo, se mezcló en un agitador rotatorio por una hora a 175 rpm, para su posterior centrifugación a 4000 rpm por 15 min a 20 oC (Li et al., 2004). El sobrenadante se decantó y se dejó concentrar en una campana de extracción por 24 h hasta alcanzar 1 mL; el concentrado se filtró y se analizó por cromatografía líquida de alta resolución con detector ultravioleta (HPLC-UV).
Análisis por HPLC-UV
La concentración de endosulfán lactona fue analizada en un cromatógrafo Flexar (Perkin Elmer, Shelton, USA) equipado con una columna capilar marca ZORBAX ODS-C18 (4.6 x 250 mm x 5 mm). Una alícuota de 20 μL fue inyectada utilizando una elución isocrática con acetonitrilo-agua (80:20), flujo de 1 mL min-1 y longitud de onda de 217 nm. El tiempo de retención de endosulfán lactona fue de 5.3 min y el tiempo total del método de 10 min (Li et al., 2004). Se construyó la curva de calibración de endosulfán lactona a diferentes concentraciones (0.15, 0.25, 0.35, 0.45, 0.55, 0.65, 0.75, 0.85, 0.95, 1.05, 10, 50, 100 mg L-1) de acuerdo con lo descrito por Vázquez-Villegas et al. (2018).
Eliminación de endosulfán lactona por Eisenia fetida
Una vez identificados el tiempo y la concentración en el que Eisenia fetida bioacumula mayor concentración de endosulfán lactona, se repitió el experimento anterior con el fin de tener especímenes de Eisenia fetida con endosulfán lactona acumulado, para realizar el experimento de eliminación. Se prepararon unidades experimentales (por triplicado) con sustrato sin contaminante, y se agregaron 5 lombrices provenientes del experimento que genera mayor concentración de endosulfán lactona en la lombriz. Se tapó el frasco con pañalina, y se cuantificó el contenido de endosulfán lactona en lombriz y sustrato en los días 0, 1, 3, 5, 7, 14, 28, 56, con los métodos de extracción y cromatográficos ya descritos, para conocer si se presentaba o no la eliminación del contaminante presente en la lombriz.
Efecto de endosulfán lactona en el contenido de ácidos grasos en Eisenia fetida en sustrato estéril y no estéril
Con el fin de conocer si endosulfán lactona tenía un efecto en la concentración de ácidos grasos de Eisenia fetida, se cuantificaron ácido laúrico, ácido tridecanoico ácido mirístico, ácido heptadecanoico y ácido esteárico ya que son ácidos grasos involucrados en mecanismos de estrés oxidativo.
Se colocaron 5 lombrices en unidades experimentales descritas anteriormente, con sustrato estéril y no estéril a los que se les adicionó 0.001, 0.004 y 0.009 mg kg-1 de endosulfán lactona. Se extrajeron y cuantificaron los ácidos grasos en los días 1, 3, 5, 7, 14, 28 y 56, de acuerdo con la metodología que se describe a continuación.
Para la extracción de los ácidos grasos, se siguió la metodología de Chen et al. (2011), brevemente se pesaron 500 mg de lombriz tratada con nitrógeno líquido y sulfato de sodio anhidro, se añadió 1 mL de metanol al 80 % y se agitó en vórtex durante 10 minutos. La mezcla se centrifugó en una centrifugadora HERMLE Z326K (HERMLE, Alemania) durante 10 minutos a 10,000 rpm y el sobrenadante se dejó secar en una campana de extracción, se añadió 25 µL de piridina anhidra, 25 µL de N-metil-N-trimetilsilil trifluoroacetamida y se agitó durante 20 minutos en vórtex, posteriormente se colocó 1 mL de heptano grado HPLC y se agitó durante 5 minutos más. Se analizó por triplicado en un cromatógrafo de gases marca Agilent Technologies 7890A GC (Wilmington, USA) acoplado a detector de ionización de flama (FID). Se realizó una curva de calibración de los ácidos grasos a 0.003, 0.006, 0.009, 0.01, 0.015, 0.018, 0.020 y 0.025 ppm siguiendo la metodología descrita en la norma ASTM D 6584.
Método cromatográfico de cuantificación de ácidos grasos
Para la identificación y cuantificación de ácidos grasos en lombrices se utilizó un cromatógrafo de gases 7890A (Agilent Technologies, Wilmington, USA) acoplado a FID con columna tubular abierta Perkin Elmer Elite-5 (5 % difenil / 95 % dimetil polisiloxano) de 30 m x 0.53 mm x 5 µm. La temperatura del inyector se ajustó a 250 °C, se utilizó nitrógeno como gas acarreador e hidrógeno y aire como gases para el detector FID y se mantuvo un flujo constante de 1.1 mL min-1 durante el análisis. La temperatura de la columna se mantuvo inicialmente a 65 °C durante 2 minutos, posteriormente se llevó a 230 °C a una velocidad de 6 °C min-1 y a 260 °C a una velocidad de 10 °C min-1, manteniéndose durante 20 min, el volumen de la muestra fue de 1 μL.
Resultados y discusión
Efecto de endosulfán lactona en el incremento de peso (%) de E. fetida
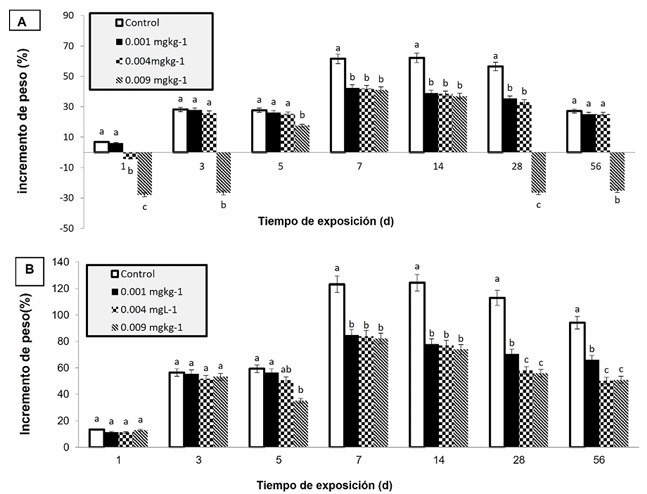
El efecto de la concentración de endosulfán lactona en el incremento de peso de Eisenia fetida, en sustrato no estéril y estéril se puede observar en la Figura 1 A y B. Se aprecia que existe diferencia estadística significativa del incremento de peso entre el control y los experimentos con sustrato contaminado con endosulfán lactona a diferentes concentraciones.
Figura 1 Incremento de peso con 5 lombrices en sustrato no estéril, (B) y sustrato estéril, (A), cuando se exponen a endosulfán lactona en diferentes intervalos de tiempo y concentraciones. Las letras diferentes indican diferencia estadística significativa (p <0.05) entre los tratamientos determinado por la prueba de Tukey (HSD).

Figure 1: Weight increment with 5 earthworms in non-sterile substrate, (B) and sterile substrate, (A), when exposed to endosulfan lactone at different time and concentration intervals. Different letters indicate significant statistical difference (p<0.05) between treatments with the Tukey test (HSD).
En el estudio con sustrato estéril, se observó que en los experimentos control hubo incremento de peso siendo el máximo de 62.17 % en el día 14, mientras que el peso de E. fetida disminuyó en el día 1, 3, 28 y 56 cuando se utilizó la mayor concentración de endosulfán lactona (0.009 mg kg-1). En los experimentos con las menores concentraciones (0.001 y 0.004 mg kg-1), no se observó disminución de peso en la lombriz. El mayor incremento de peso de Eisenia fetida (42.38 %) se observó en el día 7, sin que la concentración de endosulfán lactona tuviera efecto.
En el sustrato no estéril (Fig. 1B) no hubo disminución de peso de Eisenia fetida en ninguno de los experimentos en donde se utilizó endosulfán lactona ni en el control, se observa un incremento de peso desde el día 1 hasta el 56. En el caso del control, se observa el mayor incremento de peso en el día 14 (124 %), mientras que con la presencia de endosulfán lactona, el mayor incremento de peso fue en el día 7 con 84.76 % sin que la concentración tuviera efecto (p <0.05). En los días 28 y 56, las lombrices presentes en el sustrato no estéril que contenía 0.004 y 0.009 mg kg-1, incrementaron su peso, pero en menor medida que las contenidas en sustrato con 0.001 mg kg-1.
En general, el peso de las lombrices fue significativamente menor en sustrato estéril que en sustrato no estéril. Las condiciones no estériles favorecen al aumento de peso debido a la relación mutualista de los microorganismos del sustrato con los propios de la lombriz y probablemente con el aumento en cantidad y variedad de las enzimas digestivas de la lombriz (Chen et al., 2021). Esta relación podría resumirse en que mientras las lombrices proporcionan un medio idóneo que favorece la actividad microbiana, los microorganismos degradan la materia orgánica, proporcionando metabolitos fácilmente asimilables para las lombrices (Ahmed and Al-Mutairi 2022). Además, estudios han demostrado que el crecimiento de las lombrices de tierra se inhibe después de la exposición a sustancias químicas tóxicas, y la reducción del peso es una respuesta común de las lombrices de tierra al estrés, ya que puede afectar gravemente al inhibir su crecimiento e inducir estrés oxidativo y daño en el ADN. Estos efectos pueden comprometer su salud, reproducción y funciones ecológicas (Qiao et al., 2024). Zhang et al. (2024) informaron que la reducción de peso en Eisenia debido a la exposición a sustancias químicas tóxicas se debe principalmente al estrés oxidativo, que agota el glucógeno, los lípidos y las proteínas. Esta alteración metabólica suele ir acompañada de daño histopatológico y deterioro del metabolismo energético, lo que resalta la sensibilidad de Eisenia a los contaminantes ambientales.
Por lo anterior, la presencia de endosulfán lactona puede influir en el metabolismo primario de estructuras moleculares como carbohidratos, lípidos y proteínas en lombrices de tierra a 0.004 mg kg-1 y 0.009 mg kg-1 en los días 28 y 56 ya que fueron a estas dos concentraciones donde se pudo observar la mayor pérdida de peso a diferencia de los controles. Además, estudios previos han demostrado que los mecanismos de desintoxicación de las lombrices de tierra juegan un papel importante en la eliminación de contaminantes, ya que es un proceso de metabolismo energético (Zhao et al., 2024). El proceso de desintoxicación consumirá sustancias energéticas, como glucógeno, lípidos y proteínas, lo que puede ser un motivo para reducir el peso de las lombrices de tierra. Li et al. (2017) reportaron un resultado similar que estudió la toxicidad de la ciflutrina para las lombrices de tierra. En su estudio, la tasa de inhibición del crecimiento aumentó significativamente desde los 10 mg kg-1 después de 8 semanas de exposición. Por lo tanto, en concentraciones de 0.004 y 0.009 mg kg-1, endosulfán lactona pueden tener una toxicidad alta para las lombrices de tierra después de la exposición a 14 días, hecho que se corrobora con los trabajos de Vázquez-Villegas et al. (2018), en donde identifica como concentración letal media (CL50) 0.004 mg kg-1 y como concentración efectiva media (CE50) 0.003 mg kg-1.
Adicionalmente, en todas las unidades experimentales, las lombrices de tierra no mostraron efectos adversos en su desarrollo ante endosulfán lactona, se presentó sobrevivencia del 100% en todas las unidades experimentales, ni se identificaron úlceras o lesiones visibles en la superficie. Por otra parte, la duración de la exposición a contaminantes ambientales juega un papel crucial en determinar su impacto metabólico. La exposición a largo plazo a menudo conduce a cambios metabólicos adaptativos, con posibles efectos sistémicos como trastornos metabólicos y alteraciones en el metabolismo de los lípidos. Estos hallazgos destacan la importancia de considerar tanto el tipo como la duración de la exposición al evaluar los riesgos para la salud de los contaminantes ambientales (Zeng et al., 2023). Según Jiang et al. (2025) las alteraciones que sufre la lombriz al contacto con cualquier contaminante o compuesto orgánico dañino son debido al estrés, sobre todo del tipo oxidativo, liberando enzimas para su protección como catalasa o superóxido dismutasa, como lo demostraron al evaluar los efectos bioquímicos del ibuprofeno sobre la lombriz detectando aumento de la concentración de estas enzimas, especialmente con el enantiómero S. Al haber un exceso de plaguicida en la prueba por contacto, el estrés que sufre la lombriz se observa, además, mayor daño. Resultados similares se observaron en el trabajo de Vázquez et al. (2018) que a baja toxicidad se afectó la supervivencia de la lombriz, sin embargo, una alta toxicidad causó efectos crónicos debido a la acumulación de estas sustancias en el organismo de la lombriz.
Bioacumulación de endosulfán lactona en E. fetida
Al observarse que el sustrato no estéril favoreció el incremento de peso en comparación con el sustrato estéril, se procedió a identificar en sustrato no estéril la concentración de endosulfán lactona en la que se generaba mayor acumulación en Eisenia fetida, observándose que esto sucedía cuando el sustrato contenía 0.004 mg kg-1 de endosulfán lactona (Fig. 2), además de que esta acumulación se presentaba en el día 5.
Una vez identificada la concentración de mayor acumulación de endosulfán lactona (0.004 mg kg-1) en Eisenia fetida, se realizó el experimento de acumulación/remoción, cuantificando el contaminante tanto en la lombriz, como en el sustrato no estéril añadido con endosulfán lactona.
En la Figura 3 se observa la concentración de endosulfán lactona cuantificada en Eisenia fetida y en sustrato desde el día 1 hasta el 56. Se aprecia que inicialmente el sustrato contiene aproximadamente 0.004 mg kg-1 de endosulfán lactona, y disminuye en los días 3, 5 y 7 para posteriormente aumentar en el día 14 y hasta el día 30, para disminuir en el día 56.
De manera opuesta, en la lombriz incrementa la concentración de endosulfán lactona desde el día 1 y hasta el día 5 (como se observó en el experimento anterior), disminuyendo gradualmente desde el día 7 y hasta el 56. Debido a que la máxima concentración de endosulfán lactona en lombriz no fue mayor a 0.004 mg kg-1, que fue la concentración inicial de ese compuesto en el sustrato no estéril, su presencia en la lombriz no puede considerarse un fenómeno de bioacumulación, ya que la concentración de endosulfán lactona no es mayor a la adicionada al sistema.
Con las concentraciones de endosulfán lactona obtenidas, se calculó la remoción en sustrato y la acumulación en E. fetida, observándose que en el día 5 y 7 se observó la mayor remoción (80-90 %), sin presentar diferencia estadística hasta el día 14.
La coincidencia de mayor remoción de endosulfán lactona en sustrato y la mayor acumulación de éste en E. fetida en los días 1-5, puede deberse a que en la vermirremediación confluyen los procesos de acumulación, transformación y degradación de contaminantes al mismo tiempo (Zeb et al., 2020). En diferentes reportes se ha evidenciado la remoción de contaminantes en suelo (Li et al., 2025, Zuo et al., 2023), y su acumulación en Eisenia fetida debido a las actividades de alimentación, ingiriendo, transportando y modificando estructuralmente a los compuestos (Zhang et al., 2024). Se ha demostrado que Lumbricus terrestris y Aporrectodea caliginosa disminuyen la mineralización de atrazina (Kersanté et al., 2006) y que la bioacumulación de atrazina depende de las especies debido a los diferentes mecanismos de ingesta (Song et al., 2023).
Los contaminantes hidrofóbicos se acumulan en las lombrices independientemente de su naturaleza, a pesar de que el principal mecanismo de bioacumulación en Eisenia fetida es por absorción dérmica (Owagboriaye et al., 2020).
La presencia de microorganismos en el sustrato no estéril es fundamental en el proceso de vermicomposteo. Coutiño et al. (2010) evaluaron la remoción de antraceno usando E. fetida encontrando el 41% en experimentos sin lombrices y 93% en experimentos con lombrices durante 70 días. Ali et al. (2014) evaluaron la remoción de endosulfán α y β, haciendo uso de composta de residuos vegetales inoculado con Bacillus sp., Pseudomonas sp. y Lactobacillus sp. utilizando un cilindro giratorio continuo, obteniendo remociones de 84.95 y 83.20 % para endosulfán α y β, respectivamente. Es decir, la presencia de microorganismos en el sistema de vermicomposteo mejora la remoción.
La lombriz acelera los procesos de remoción de contaminantes en el suelo, preparando el sustrato y alterando la actividad biológica; sin embargo, los microorganismos desempeñan un papel importante ya que son responsables de la degradación bioquímica de la materia orgánica; por lo tanto, las lombrices estimulan la actividad microbiana y el crecimiento a través de la excreción de carbono degradable.
Eliminación de endosulfán lactona en E. fetida
Las lombrices del día cinco del experimento anterior (en las que se observó mayor cantidad de endosulfán lactona), fueron transferidas a un sustrato limpio no estéril para realizar la prueba de eliminación. Se encontró que en el día 1 en sustrato no estéril hay una tasa de eliminación del 88.58 % de endosulfán lactona, observándose que hasta el día 14 no hay diferencia estadística significativa (p <0.05) (Fig. 4), mientras que la concentración de endosulfán lactona en sustrato no estéril aumentó a partir del día 5 y hasta el día 14 (0.0039 %), demostrando que desde el día 1 hasta al día 5 no existe diferencia estadística significativa (P <0.05).
Aunque endosulfán lactona no se acumuló en las lombrices de tierra, éste fue absorbido rápidamente, alcanzando la concentración más alta en un corto período (5 días) y posteriormente eliminado para ser transformado por los microorganismos del sustrato en moléculas que son más asimilables para las plantas u otros organismos.
Cao et al. (2015) realizaron experimentos de eliminación bajo condiciones de laboratorio utilizando suelos contaminados con clomazona donde las lombrices fueron expuestas durante 14 días y posteriormente transferidas a un suelo artificial libre de clomazona, obteniéndose el 80 % de eliminación en el día uno. La eliminación fue relativamente rápida e indicó que clomazona no se bioacumula en E. fetida. Resultados similares son los reportados por Sun et al. (2005) donde se observó que la avermectina fue absorbida rápidamente por Eisenia fetida y eliminada en un 64 %. Cao et al. (2013) observaron que el efecto clomazona en la actividad de las enzimas antioxidantes super óxido dismutasa, catalasa, glutatión peroxidasa, puede ayudar a eliminar contaminantes del cuerpo o transformarlos en otros compuestos desconocidos, que en última instancia resultaron en una menor acumulación de concentraciones en lombrices. Por otra parte, Zhang et al. (2009) indicaron que la concentración de un compuesto en lombrices tierra es controlada por tres factores: absorción, eliminación y biotransformación, donde ellos reportaron que E. fetida absorbió rápidamente hexahidro-1,3,5-trinitro-1,3,5-triazina (RDX), sin embargo, después de un corto tiempo fue eliminado y transformado en otros productos. Mencionan que las características fisicoquímicas de los contaminantes también influyen en su captación en las lombrices de tierra, sus resultados demostraron que E. fetida acumuló una cantidad limitada de RDX, lo que atribuyen a la salud de las lombrices de tierra ya que si se encuentran “saludables” pueden activar sus sistemas de desintoxicación para eliminar contaminantes del cuerpo o transformarlos en otros compuestos desconocidos.
Efecto de endosulfán lactona en el contenido de ácidos grasos en Eisenia fetida
Como se puede observar en la Figura 5, las condiciones de esterilidad del sustrato influyen en la concentración de ácidos laúrico, tridecanoico, mirístico, heptadecanoico y esteárico, así como la concentración de endosulfán lactona, observándose que la presencia de microorganismos y la menor concentración de endosulfán lactona en el sustrato, favorece la concentración de los ácidos grasos en las lombrices.
Figura 5 Heat Maps agrupa los ácidos grasos presentes en 5-10 lombrices de tierra expuesta a endosulfán lactona en tres niveles de concentraciones a 0.001, 0.004 y 0.009 mgkg-1, a lo largo de 56 días de exposición en sustrato no estéril y sustrato estéril, (P≤0.05). El color más oscuro nos reporta las concentraciones más altas.
Lo anterior puede deberse a la disminución del efecto tóxico de endosulfán lactona debido a la presencia de microorganismos en el sustrato (Vázquez-Villegas, 2021), atenuando las reacciones de oxidación de los ácidos grasos presentes en E. fetida. Khyzhnyak et al. (2022) reportaron que los fungicidas combinados carbendazim y cipronazol en Eisenia fetida utilizando un sustrato artificial reveló toxicidad moderada y disminución en el contenido de ácidos grasos saturados. Al mismo tiempo, se identificó aumento en el contenido de ácidos grasos poliinsaturados de cadena larga de las familias ω6 y ω3, que están involucrados en la regulación de una amplia gama de procesos fisiológicos. La modulación del perfil de ácidos grasos lipídicos en las lombrices Eisenia fetida se explica por la participación de los ácidos grasos en la reestructuración del sistema de reactividad del organismo bajo carga fungicida. La reorganización del perfil de ácidos grasos puede considerarse como un criterio temprano de perturbaciones metabólicas en las lombrices bajo la acción de plaguicidas. De acuerdo con los resultados, la concentración de ácidos grasos presentes en E. fetida depende de la concentración de endosulfán lactona y la presencia de microorganismos en el sustrato, por lo que los ácidos grasos puede ser un indicador de la sanidad del suelo.
Conclusiones
Al comparar los resultados de los dos estudios con sustrato no estéril y estéril, se confirmó que la presencia de los microorganismos causa importantes cambios en el destino y la biodisponibilidad del endosulfán lactona. Las diferencias entre sustrato estéril y no estéril confirmaron que las actividades microbianas son más importantes en sustrato no estéril ya que el incremento de peso máximo en las lombrices se dio en el día 7 en sustrato no estéril, lo que evidencia la relación mutualista entre los microorganismos presentes en el sistema y Eisenia fetida.
Endosulfán lactona no se bioacumula en Eisenia fetida, ya que se observa su eliminación desde el primer día. Por otra parte, la concentración de ácidos grasos en E. fetida se vio afectada por la exposición a endosulfán lactona; sin embargo, los microorganismos presentes en el medio tuvieron una influencia positiva sobre este proceso.










nova página do texto(beta)







