Introduction
Today, one of humanity's greatest challenges is to achieve sustainable food security for a growing population while mitigating biodiversity loss in a context of climate change (Godfray, 2014; Mehrabi et al., 2018; Myers et al., 2017). Climate change is expected to reduce yields of key crops such as wheat (6.0%), rice (3.2%), corn (7.4%) and soybeans (3.1%) by the end of the century (Zhao et al., 2017). In contrast, food production must increase by more than 62% to food 10 billion people by 2050 (Godfray et al., 2010; Tilman et al., 2011; Van - Dijk et al., 2021). The solution includes strategies such as reducing inequalities, healthy diets with reduced food waste and sustainable production of primary crops (Ruben et al., 2021; Willett et al., 2019; Geyik et al., 2022). The Fabaceae represents a food important in humans and animal, rich in minerals such as N, P, K, Ca, and Mg, and also constitutes a source of Fe and Zn (Valdés - Márquez et al., 2023). The bean grain has a high nutritional value and is rich in proteins and essential amino acids, with important contributions to the human diet (De Conceico - Dos Santos et al., 2022). The jewish beans grows well in harsh environments where other legumes do not grow, withstands high temperatures, tolerates drought and produces in soils with nutrient deficiencies (Carvalho et al., 2016). It establishes symbiosis with rhizobia and mycorrhizal fungi, which reduces the use of fertilizer and favors the physical, chemical and biological properties of the soil (Carvalho et al., 2016; Fageria et al., 2005). According to Carneiro - Da Silva et al., (2019) These attributes allow these species to be recognized as an important crop in the structure of sustainable agroecosystems. The jewish bean (V. unguiculata [L] Walp) has a promising future because it has a high resistance to adverse climate changes (Kotir, 2011; Chandra et al., 2023). In Mexico, naturally adapted varieties are produced on a small scale and for family consumption (Morales - Morales et al., 2019). They occupy approximately 240 ha and the states that most produced are Yucatán, Tabasco, Campeche and Quintana Roo with average productions of 527 kg/ha-1 (SIAP, 2022; 2023). Good agricultural practices, such as crop rotation, improve the nutrients availability in the soil, its structure and biological activity, and reduce the incidence of pests and diseases Díaz - Solís and Morejón - Rivera, (2018). Integrated crop management, which includes sustainable practices and the rational use of inputs, is crucial to maintaining productivity and minimizing contamination with the use of chemicals (Alvarado et al., 2024). Production is associated with planting density, cultivation area, distance between plants, cleaning, amount of fertilizer and the method of planting (Reyes - González et al., 2021). The objective of the study was to determine the prevalence of the cultivation of jewish bean (V. unguivulata [L] Walp), the varieties cultivated and the relationship of management practices with the productive yield of the crops.
Materials and methods
The study was conducted in the Guerrero tropics (18° 20’ 30” NL and 100° 39’ 18” WL), at 250 masl. The predominant climate was warm subhumid (Aw0). The minimum and maximum annual temperature ranged from 28 °C to 46 °C, with annual precipitation of 750 mm (Reynolds et al., 1995). Pungarabato is a municipality with 38,000 inhabitants, where 52.7% of its population lived in moderate to extreme poverty. Vulnerability was especially evident in the social and economic areas, particularly in terms of access to healthcare and food, affecting the life quality of the population (CONEVAL, 2020). The sample (n) was obtained with the formula:
Were:
Z= minimum confidence level used (95%) to generalize the results to the entire population
p y q= represents the maximum variation of the study (50%) probability of finding or not finding the culture
E= indicates the maximum tolerable error (10%) in the study
These parameters that were introduced into the statistical program winepi-episcope 2.0 modified by (Thrusfield et al. 2001). The program yielded a sample of 97 farmers, however, to increase certainty, 110 producers interviewed during a field visit were considered as the final sample. The selection of the farmers interviewed was random, men and women with agricultural activity in general, which allowed to know the frequency of the crop in the study area (farmers who cultivated the bean and those who did not). From the sample visited, only those who at the time of the study had jewish bean cultivation (Vigna unguiculata [L] Walp) were selected (n = 62, which represented 68.2% of the total sample) to whom questions were asked in a survey format.
The survey collected information on the farmers' age, educational level, and years cultivating the jewish bean. The age and educational level of producers can be a reflection of formality, their organizational capacity and accessibility to the transfer of knowledge and technologies, the heritage and interest of the new generations to continue with the cultivation. The years of cultivation help to know the experience of the producer and the changes that he has observed in the plant over time. Aspects of crop management were also included, such as cultivation area, planting density, frequency and amount of fertilization, frequency of cleaning, sowing method among others. The area planted was a reflection of the production scale and the crop impact on the product supply (total production). The cleaning frequency reflects the competitiveness of the crop with other weeds and the need to improve practices to costs reduce or environmental damage due to agrochemicals use. The number seeds per point and the furrows distance are variables related to the sowing density and crop yield. The sowing type, associated or monoculture, allowed us to determine the crop's capacity to established in a more sustainable agricultural system. The type and amount of fertilizer used was an indication of the additional needs of the crop as a nitrogen-fixing Fabaceae specie. The which ways the product was used and marketed allowed for an economic balance established and its value as a family’s food in rural areas.
Statistical analysis
The relationship of management variables (plant and furrows distance, sowing density, cleaning frequency, seed per point, amount of fertilizer) with crop seed production were analyzed by association measures (correlation and regression) (SAS, 2021). The nonparametric descriptive chi-square statistic was used to analyze crop frequency by Vignas variety (in a 2*4 contingency table and 3 degrees of freedom), type of fertilizer used and sowing method (monoculture or associated cultivation) in a 2*2 contingency table and one degrees of freedom. In all analyses, the determination of the associated effects was at an alpha of 0.05.
Results
Population that develops the crop
The farmers who plant the jew bean (Vigna unguiculata [L] Walp) 50% were over 50 years old, 39% were adults between 30-50 years old and only 11% were young people under 30 years old. Among those who grow beans, 82% were men and 17% women. The analysis of the schooling of this population stratum showed that 41% have no education at all, 32% have primary education, 4% secondary education, 8% with higher education, and 11% have university studies. The experience years in farming indicated that 62.9% of farmers were less than 30 years old, 19.4% were between 30 and 50 years old, and only 17.7% had more than 50 years of experience.
Frequency and varieties of cultivated Vignas
The frequency of cultivation of Vignas was 56% and the cultivated varieties identified were, in order of importance (p<0.0004), brown seed of Vigna, white seed, brown seed of shrub and black seed (Figure 1). These varieties have persisted for more than 50 years, identified daily by their phenotypic characteristics of color and growth habit (Figure 2 A, B, C and D).

Figure 1 Frequency of Jew bean cultivation (Vigna unguiculata [L] Walp), in farmers of the Pungarabato Municipality.
Vignas are beans belonging to the Fabaceae, the varieties identified in the study were four, catalogued by the phenotypic differences observed, for example the pole growth habit was characteristic of three varieties A, B and D in Figure 2 and only C showed shrub growth. The violet color of the flower was characteristic of varieties A, C and D in Figure 2 and only variety B showed white flowers in their entirety. In the seed more differences were observed, varieties A and C showed brown color, however, the tone was stronger in variety C, in variety B the seed was white and in variety D it was black (Figure 2). In the shape of the leaf, varieties B, C and D showed triangular leaves and of the three, C had a light green color and varieties B and D had a strong green color, only variety A showed a circular-rhombic leaf of a strong green color (Figure 2).
Management practices developed by producers
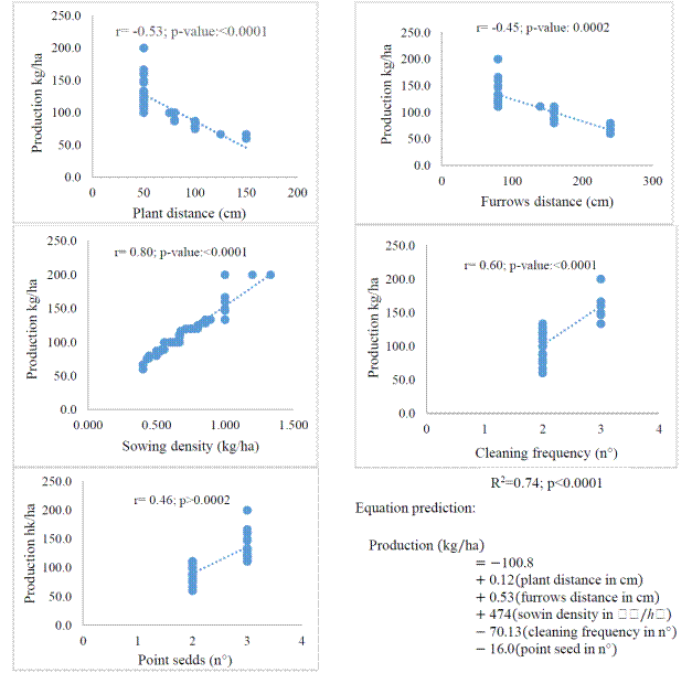
The relationship between the distance between plants and furrows, sowing density, seeds per point and cleaning frequency as independent variables with the seed production of the crop as dependent variable is presented in Figure 3. The variables that had a significant positive correlation from medium to high were seeds per point (r=0.46; p=0.0002), cleaning frequency (r=0.60; p<0.0001) and sowing density (r=0.80; p<0.0001). The variables that had a significant negative correlation were the distance between furrows (r=-0.45; p=0.0002) and the distance between plants (r= -0.53; p<0.0001). The multiple linear regression analysis (R2) indicated that the variations in the seed production of the Vignas were attributed by 74% (R2=0.74; p<0.0001) to the management practices provided to the crop at the time of sowing (Plant distance (cm), furrow’s distance (cm), sowing density (kg/ha) and point seeds (n°)) and the cleaning frequency (n°) during the productive cycle and based on the results the prediction equation observed in Figure 3 was standardized. This indicated that producers who planted a greater quantity of seed per ha, more seeds per point, less distance between plants and furrows and more cleaning practices in their crops, harvested a greater quantity of seed at the end of the productive cycle of the plant. The sowing method mixed (n=23; 37%) and monoculture (n=39; 63%) was not related to changes in crop production.

Figure 3 Correlation and multiple regression between seed production as a dependent variable with plant distance sowing method cleaning frequency and point seeds with bean production as independent variables.
In Figure 4, a moderate to high positive correlation was observed and was significant (r=0.69; p<0.0001) which showed that with increased fertilization, seed production increased in the V. unguiculata crop. The regression analysis showed a medium relationship (R2=0.536; p<0.0001) which indicated that the changes in seed production of the plant were explained in 48.4% by the addition of fertilizer, which yielded a prediction equation (Figure 4A) for seed production (y) at the expense of fertilization as an independent variable (x). The type of fertilizer used was nitrogen: diammonium phosphate (18% N - 46% P) and urea (46% N) and was not related to the crop production level (p>0.05) (Figure 4B).
Use and profitability of the crop
Figure 5 contains the expenses attributed to the cultivation of Vignas as well as the total income and net profit. It was observed that the expenses per hectare ranged between $2,593.55 pesos Mx, and the total income was 7,517.27 pesos Mx, of which $2,477.27 pesos Mx were for the sale of the seed and $5,040 pesos Mx for the sale of ejote (ripe fruit characterized by having the complete formation of the seed and humidity around 60%). The net profit of the cultivation of jew oscillated between $4,923.72 pesos Mx per productive cycle ha-1. It is important to mention that the estimates of utilities included 47 and 35% of the use for self-consumption in the form of seeds ($1,164.2 Mexican pesos) and green beans ($1,764 Mexican pesos) respectively, which represented an economic saving for families.
Discussion
Population that develops the crop
The participation of older women and men was a reflection of the importance of the activity of growing Vignas in the family economy, especially since it is one of the most economically vulnerable strata of the population in the region due to unemployment and marginalization. Furthermore, the analysis of the academic preparation of this population places them at a disadvantage when competing for employment and, alternatively, this may left the fact that this agricultural sector remains in the activity for between 5 and 50 years, in order to ensure food for their family and diversify income from the trade of the product. Another interesting fact is that the strongest stratum that cultivates Vignas is the adult to elderly population, and this Morales-Morales et al., (2019) related that the crops developed mostly by the senile adult population implement management practices based on empiricism, which has implied a dynamic selection process, in which farmers conserve the plants that best adapt to their local conditions. It was also observed that the activity is inherited by the participation of a small stratum of young adults, which has allowed local varieties to be preserved through generations.
Frequency and varieties of Vignas cultivated
The high prevalence of bean cultivation among farmers in the area reinforces that this bean is an important food for the fed security of families in rural areas. Brush and Perales, (2007) reported that local crops allow the population to have a constant source of food. Furthermore, V. unguiculata is a specie native to Africa, however, farmers mentioned that the Vignas varieties they cultivated were conserved over the years adapted ones and well adapted to tropical climate conditions, Choudhary et al., (2017) mentioned that local varieties acquired greater resistance to specific pests and diseases and adapted better to climate change. The pole brown jew was established as the most important variety of Vigna, because comparatively it was the most abundant crop (Figure 1) and the farmers expressed that they like this variety very much because of the ease of establishing it in monoculture or associated according to the need, but it also facilitates the cleaning of weeds and greater density of plants with greater coverage that favors the self-control of weeds in the lower stratum of the crop, by reducing the penetration of solar rays into the soil, advantages that they also described Yzarra-Aguilar et al., (2023) On the contrary, the farmers said that the varieties of the white, black and brown bean, are Vignas that grow like a pole and need a tutor to climb and spread, which is why they were preferably grown in association with corn plants. Among the drawbacks, the producers mentioned the difficulty of cleaning them. However, these varieties are still grown because they diversified the flavors in the dish, and the size of the seed translates into good results in terms of yield. Furthermore, the presence of nodules can favor nitrogen fixation in the soil and Yzarra-Aguilar et al., (2023) reported that associated crops prevented water and wind erosion of the soil, and specifically legumes play symbiotic roles by fixing atmospheric nitrogen (N) to the soil in a biological way due to the presence of nodules in the root system (Figure 6). (Sahoo et al., 2023) they reported that a cropping system involving corn and Catilla beans (Vigna unguiculata [L] Walp) decreased water erosion by reducing water runoff attributed to greater vegetation cover at ground level.
Management practices developed by producers
The influence and trends of management practices presented in Figure 3 on the production, were related to the final density of the plant. Ciampitti and Vyn, (2011) stated that population density, distance between rows and plants were important factors in the agronomic management that determines the biomass production and grain yield of crops, similar to what was obtained in this study. Production systems for green beans (V. unguiculata) range from traditional practices to modern agricultural techniques. Doebley et al., (2006) reported that traditional practices are usually low-input but highly dependent on climatic conditions while modern practices use advanced technologies to maximize efficiency and minimize environmental impact. However, the productive aspect was not the only important factor among farmers, because they expressed that the associated cultivation provides other benefits to the soil such as reducing erosion and improving soil fertility attributed to the presence of the legume. Yzarra-Aguilar et al., (2023) they reported that associated crops of grasses and legumes are valuable to farmers due to the ability of grasses to reduce soil erosion and the increase in soil fertility attributed to legumes, in addition to weed control and more stable nutrition. Jing-Xiu et al. (2021) they reported that legumes can fix nitrogen to the soil between 30 to 60 kg ha-1 per year, which can represent up to 40% in an associated cropping system. Sahoo et al. (2023) associated crops of corn with lower legumes, corn acts as a barrier against the winds, providing protection to lower legume crops by establishing a symbiotic relationship between crops. The correlation of fertilization with the seed production of the crop described in this study was similar to that observed by Sakpal et al. (2022) who reported a positive effect of fertilization on the growth and production of V. unguiculata L. Poudel et al. (2023) increased seed production with phosphorus fertilization in a V. unguiculata crop. This indicates the need to regulate soil mineral deficiencies so that crops can express greater productive potential.
Uses and profitability of cultivation
In the section on uses, it was observed that producers diversify the crop use, that is, they consume and sell it as green beans, as seeds, but also the leaves and straw remain as a remainder for animal feed. In terms of crop profitability, the results highlight the importance of Vignas in the family economy and in food security, especially in rural areas where low incomes and scarcity of employment predominate, for example, in Figure 5 it can be seen that 47% of what is produced is used for self-consumption in the form of seeds and 35% in the form of green beans. In the same figure it is perceived that the sustainability of the crop is attributed to the use for self-consumption which results in family savings by avoiding the purchase of food sustenance, in addition to the sale of green beans and seeds to have cash. (Olivares-Pérez et al., 2018; Olivares-Pérez et al., 2016; Olivares-Pérez et al., 2011) they also reported that diversification in the use of natural resources in production systems can increase economic benefits for family sustenance or satisfactions that reduce investment costs in the operation of the systems.
Conclusions
The cultivated varieties of the jew bean (V. unguiculata [L] Walp) were the brown pole bean, white bean, brown bush bean, and black bean. The most abundant variety was the shrub Vigna with brown seeds. The Vignas have been grown associated or monocultures and are sustainable, because it is an activity with more than fifty years of inheritance and develops men and women with family labor using adapted local varieties. Management practices that had a positive relationship with seed production were planting density, seeds per point at planting moment, cleaning frequency of weed and the amount of fertilizer added to the crop and the management practices that had a negative relationship with seed production were only the distance between plants and furrows. The Vignas in the region are marketed in the form of seeds and green beans, they are also a source of food for families and an option of the economic income.










nova página do texto(beta)







