INTRODUCCIÓN
Las rocas del Paleozoico inferior en los Andes Colombianos comparten procesos tectono-magmáticos y metamórficos comunes con la cadena andina (Argentina, Chile, Perú y Venezuela), el sureste de México y América Central (Ward, et al., 1973; Restrepo-Pace et al., 1997; Van der Lelij, et al., 2016; García-Ramírez, et al., 2017; Ortega-Gutiérrez, et al., 2018; Ramos, 2018; Weber, et al., 2018; Tazzo-Rangel, et al., 2019; Juárez-Zúñiga, et al., 2019).
Estas rocas afloran en el Macizo de Santander, localizado en la parte norte de la Cordillera Oriental en Colombia. La evolución geológica de este Macizo, está ligada a otros relieves y geoformas de los Andes del Norte, como el Macizo de Floresta al sur, la Serranía de Perijá al norte y los Andes de Mérida al NE en Venezuela (Velandia-Patiño, 2017) (Figura 1a). Las rocas metamórficas Ordovícicas en el Macizo de Santander, son ortoneises agrupados por Ward et al., (1973) en la unidad Ortoneis. En la Tabla 1, se muestra la recopilación de las edades para estas rocas. Las edades del Ordovícico Temprano han sido relacionadas con la orogenia Quetame-Caparonensis en los Andes del Norte (Colombia, Venezuela) por Restrepo-Pace y Cediel, (2010). Este evento orogénico es conocido en los Andes Centrales y del Sur como orogenia Famatiniana (Aceñolaza y Toselli, 1976). Esta orogenia originó un evento metamórfico barroviense, que afectó las rocas de la unidad Esquistos del Silgará (s.s) y Ortoneis en el Macizo de Santander (García et al., 2005; Van der Lelij et al., 2016, 2019). Este evento metamórfico es correlacionable con el evento metamórfico M1 en los Andes de Mérida (Tazzo-Rangel, et al., 2019). Las edades más jóvenes del Ordovícico Tardío y Silúrico inclusive aún no han sido relacionadas con algún evento tectono-metamórfico en el Macizo de Santander, sin embargo, en los Andes de Mérida, estas edades indican eventos metamórficos, magmáticos y anatexis en ambientes de compresión y extensión (Tazzo-Rangel, et al., 2019).

Figura 1 Mapa de localización del área de estudio. a) Mapa de Colombia modificado de Van der Lelij, et al., (2016). b) Mapa geológico con las muestras analizadas.
Tabla 1 Edades del Ortoneis.
| Sector | Litología | Roca/Mineral | Método | Edad (M.a.) | Autor |
| Ocaña | Metadiorita | Hornblenda | K-Ar | 413 ± 30 | Goldsmith et al., (1971) y Ward et al., (1973) |
| NE de Chitagá | Pegmatita que intruye (Neis de Bucaramanga) | Muscovita pegmatita | K-Ar | 457 ± 13 | |
| NW de Berlín | Granito neisico | Roca total | Rb-Sr | 450 ± 80 | |
| Sur de Pamplona | Gabro | Hornblenda | K-Ar | 456 ± 23 | Boinet et al.,(1985) |
| NE de Ocaña | Metadiorita | Hornblenda | K-Ar | 421 | Forero Suarez (1990) |
| Río Cáraba, NW de Berlín | Roca total | Rb-Sr | 439 | ||
| Ocaña | Roca total | Rb-Sr | 413 | Ordoñez-Carmona et al., (2006) | |
| Roca total | Rb-Sr | 268± 26 | |||
| SE de Vetas cerca a Ranchadero | Granito foliado | Circón | U-Pb | 477 ± 16 | Restrepo (1995) |
| Granito no foliado | Circón | U-Pb | 471 y 360 | ||
| California | Dioritas foliadas | U-Pb (Ablasión laser) | 477± 2 | Mantilla-Figueroa et al., (2012) | |
| Tona | Neis biotitico-hornblendico | Circón | U-Pb | 451.5 ± 1.5 | Van Der Lelij et al., (2016) |
| SW de Tona | Pegmatita | 208.8 ± 1.2 | |||
| SW de Ranchadero sobre el rio Cáraba | Migmatita? | 209.2 ± 3.4 | |||
| SW de Pamplona | Granito foliado | 473.6 ± 2.5 | |||
| NE de Pamplonita | Neis biotitico hornblendico | 479.8 ± 3.1 | |||
| SW de Vetas | Neis sillimanitico | 472.5 ±3.4 | |||
| Vereda Volcán Amarillo | Neis cuarzofeldepático con biotita | Circón | U-Pb | 446 | Jiménez Triana, 2016 |
| Quebrada Cuesta Boba | Neis cuarzofeldepático con escaza biotita | 469 | |||
| Quebrada Cuesta Boba | Neis cuarzofeldepático con escaza biotita | 459 | |||
| Vía Berlín-Pamplona | Neis cuarzofeldepático con escaza biotita | 454 | |||
| Vereda España | 449 | ||||
| Este de la falla de Babega | Neis cuarzo-feldespatico con biotita y hornblenda | Circón | U-Pb | 479±10 | García-Ramírez et al., 2017 |
| 8 km en dirección NW de Silos, cerca del rio Caraba | Neis cuarzo-feldespatico con biotita y moscovita | 471±11 |
De particular interés es el conocimiento de las condiciones de metamorfismo en las rocas del Ortoneis. Este ha sido un problema difícil de resolver por la ausencia en estas rocas de minerales indicadores de metamorfismo (por ejemplo: polimorfos de aluminio, granate, y cordierita entre otros). Debido a esto, las condiciones P-T en los ortoneises han sido definidas de manera indirecta, considerando las relaciones de campo del Ortoneis con las rocas de la unidad Esquistos del Silgará (en el sentido de Mantilla-Figueroa et al., 2016a y b), la cual intruye de forma sintectónica (Ward et al., 1973; Van der Lelij et al., 2016; Restrepo, 1995; García et al., 2005; García-Ramírez et al., 2017).
De acuerdo con lo anterior, el presente trabajo se enfoca en estudiar las condiciones de metamorfismo del Ortoneis, mediante estudios de campo, petrografía, geoquímica y termobarometría.
MARCO GEOLÓGICO
El Macizo de Santander en la Cordillera Oriental de Colombia, es un bloque elevado ubicado entre fallas mayores: hacia el oeste, está limitado por la Falla de Bucaramanga, de rumbo sinestral con componente inverso, mientras que, al este el límite lo constituye la Falla Labateca-Chucarima que se identifican como fallas inversas con vergencia al E (Velandia-Patiño, 2017).
El Macizo de Santander consiste en rocas metamórficas Precámbricas, agrupadas en el Neis de Bucaramanga (Ward, et al., 1973; Restrepo-Pace, et al., 1997; Cardona-Molina, 2003; Cordani, et al., 2005; Ordoñez-Carmona, et al., 2006), Esquistos del Silgará (s.s.) y Esquistos del Chicamocha, con metamorfismo del Ordovícico Temprano (Restrepo-Pace et al, 1997; Restrepo-Pace y Cediel, 2010;Mantilla-Figueroa, et al., 2012; Van der Lelij, et al., 2016;Mantilla-Figueroa, et al., 2016a; García-Ramírez, et al., 2017), Ortoneis del Ordovícico Temprano a Tardío (Goldsmith, et al., 1971; Ward, et al., 1973; Forero Suarez, 1990; Restrepo, 1995; Ordoñez-Carmona, et al., 2006; Restrepo-Pace y Cediel, 2010; Mantilla-Figueroa, et al., 2012; Van der Lelij, et al., 2016; García-Ramírez, et al., 2017; Van der Lelij, et al., 2019), Filitas de San Pedro con edades de depositación de 480 Ma (Mantilla-Figueroa, et al., 2016a) y rocas de bajo grado de metamorfismo denominadas Metasedimentitas de Guaca-La Virgen, Floresta Metamorfoseada y Formación Mogotes de posible edad metamórfica entre el Silúrico y Devónico (Mantilla-Figueroa, et al., 2016a).
Respecto a la temporalidad de estos eventos, Mantilla-Figueroa, et al., (2016a), mencionan que la edad del pico de metamorfismo de las unidades Esquistos del Silgará (s.s.) y Esquistos del Chicamocha, se relaciona con el evento Orogénico Principal Famatiniano (Ordovícico Temprano). La edad de este evento es concordante con las edades Ordovícicas Tempranas obtenidas en el Ortoneis (Restrepo-Pace y Cediel, 2010; Mantilla-Figueroa, et al., 2012; Van der Lelij et al., 2016; García-Ramírez, et al., 2017), mientras que el pico de metamorfismo de la unidad Filitas de San Pedro está relacionado con el evento Orogénico Menor Famatiniano (¿Silúrico?).
Eventos magmáticos desde el Silúrico hasta el Mioceno consisten en batolitos, stocks, diques, flujos lávicos y materiales volcanoclásticos y volcanosedimentarios, se encuentran ampliamente distribuidos en todo el Macizo de Santander (Mantilla-Figueroa, et al., 2016a). Rocas sedimentarias del Devónico Medio y Superior, Carbonífero y Pérmico, cubren el basamento cristalino (Mantilla-Figueroa, et al., 2016a).
A continuación, se describen brevemente las rocas del basamento del Macizo de Santander.
Neis de Bucaramanga
Consiste en neises cuarzo feldespáticos, biotíticos y sillimaníticos con niveles de neises hornbléndicos, intercalaciones de cuarcitas, anfibolitas y también evidencia de migmatización. Los minerales principales son plagioclasa, biotita, hornblenda, feldespato potásico, cuarzo, moscovita, sillimanita y granate. Los accesorios son ilmenita, circón, magnetita, rutilo y titanita (Cordani, et al., 2005; García, et al., 2005; Ordoñez-Carmona, et al., 2006; Ureña-Suárez y Zuluaga-Castrillón, 2011; Cuellar-Cárdenas, et al., 2012; Amaya-Ferreira, 2012; Cardona-Molina, 2003; Van der Lelij, et al., 2016; Zuluaga, et al., 2017). El metamorfismo de esta unidad alcanzó la facies granulita. Las edades reportadas para el Neis están en torno a 1057 ± 28, 945 ± 40, 854 ± 66, 850 y 800 Ma (Ordoñez-Carmona, et al. 2006; Ward, et al., 1973; Restrepo-Pace, et al., 1997; Cordani, et al., 2005).
Esquistos de Silgará
Esta unidad fue definida como Formación Silgará por Ward et al., (1973). Aflora en los sectores noroeste, suroeste, central y nororiental del Macizo de Santander como franjas alargadas con dirección N-S. En el noroeste, esta unidad es de bajo a medio grado de metamorfismo (zona del granate en facies esquistos verdes) y consta de metaareniscas, cuarcitas, metagrauvacas, esquistos micáceos, esquistos micáceos con granate y filitas cloríticas. En los sectores central y N-E el grado de metamorfismo es mayor (zona de la sillimanita, facies anfibolita) y las rocas son esquistos micáceos, esquistos granatíferos con estaurolita ± cianita ± sillimanita, cuarcitas moscovíticas, granatíferas, granofelsas y neises calcosilicatados y mármoles (García, et al., 2005; Castellanos, et al., 2008). Basados en las diferencias de las edades de depositación, Mantilla-Figueroa, et al. (2016a y 2016b) proponen dividir esta unidad en Esquistos del Silgará, Esquistos del Chicamocha y Filitas de San Pedro. Esta nomenclatura se acoge en el presente trabajo. La edad del metamorfismo de los Esquistos del Silgará no ha sido definida de forma directa en estas rocas. Sin embargo, en diferentes sectores del Macizo de Santander, rocas de los Esquistos del Silgará han sido intruídas de forma sintectónica por cuerpos de Ortoneises de edad Ordovícico Temprano (479 a 471 Ma) al momento del pico metamórfico, evidencia de esto, es la concordancia en el sentido de las foliaciones de estas dos unidades. Las edades de 480-470 Ma (Restrepo-Pace et al., 1997; Restrepo-Pace y Cediel, 2010; Mantilla-Figueroa, et al., 2012; Van der Lelij, et al., 2016 y García-Ramírez, et al., 2017) se relacionan al evento orogénico Famatiniano.
Ortoneis
La unidad Ortoneis consiste principalmente en neises de composición granítica a granodiorita. Cuerpos esporádicos discontinuos de forma tabular y lenticular de anfibolitas se encuentran en estos neises. La mayor parte del Ortoneis aflora al suroeste, norte y noreste de Berlín, existiendo cuñas angostas de Ortoneis que se extienden al sur hasta Chitagá y Silos, aflorando en franjas falladas en una faja hacia el oeste de Pamplona. Otro cuerpo de Ortoneis aflora a lo largo del lado oriental de los batolitos de Santa Bárbara y Mogotes, hasta el extremo sur de los alrededores de Onzaga. (Ward, et al., 1973). Litológicamente esta unidad consta de neis biotítico, neis biotítico-hornbléndico, neis cuarzo-feldespático, neis biotítico-moscovítico y anfibolitas. (García, et al., 2005; Van der Lelij, et al., 2016; García-Ramírez, et al., 2017).
Las características geoquímicas del protolito del Ortoneis corresponden a las de un magma parental ácido de la serie calco-alcalina alta en potasio principalmente, con composiciones de afinidad peraluminosas, y un ambiente de formación de margen continental activa. (García-Ramírez, et al., 2017; Van der Lelij, et al., 2016, 2019; Jiménez Triana, 2016).
Jiménez Triana, (2016) y García-Ramírez, et al., (2017) calcularon las condiciones P-T de metamorfismo a partir de los resultados de la geoquímica de roca total, para las rocas del Ortoneis en los sectores de Berlín, Silos y Babega mediante el método de la seudosección, usando los programas Thermocal, para el sistema químico MnNCKFMASH y Theriak-Domino, para el sistema químico NKfFCMASH. Las condiciones del pico determinadas están en los rangos 0.3-0.8 GPa de presión y 540-800 °C de temperatura, mientras que las condiciones de la etapa retrograda están en el rango entre 0.55-1.0 GPa de presión y 550-690 °C de temperatura.
Dos grupos de edades han sido obtenidas para las rocas del Ortoneis: 1. Ordovícico Temprano, con edades alrededor de los 479 a 471 Ma y 2. Ordovícico Medio-Tardío, con edades alrededor de los 465 a 450 Ma (Goldsmith, et al., 1971; Ward, et al., 1973; Forero Suarez, 1990; Restrepo, 1995; Ordoñez-Carmona, et al., 2006; Restrepo-Pace y Cediel, 2010; Mantilla-Figueroa, et al., 2012; Van der Lelij, et al., 2016; García-Ramírez, et al., 2017).
Las edades del Ortoneis en el Macizo de Santander corresponden a las reportadas para rocas generadas durante la orogenia Famatiniana, típica del protomargen de Gondwana occidental que se extendió desde Argentina hasta el sureste de México. La localidad tipo de la orogenia Famatiniana es la Sierra de Famatina, ubicada en el flanco oeste de las Sierras Pampeanas en Argentina. Este arco magmático se desarrolló entre 490-460 Ma y se caracteriza por la presencia de rocas plutónicas emplazadas en rocas metamórficas de baja presión y alta temperatura (Ramos, 2018). Al norte de los Andes argentinos según Ramos, (2018), los complejos ígneo-metamórficos Famatinianos ocurren en el Macizo Marañón (Perú) y el Complejo Olmos en Ecuador, siendo este último metasedimentario.
El límite informal de los sectores oeste y este estudiados en el Macizo de Santander, lo constituye la Falla de Morro Negro (Figura 1b). Los ortoneises al Oeste de la Falla de Morro Negro (sector central) forman cuerpos masivos a irregulares, altamente expuestos al NE del corregimiento de Berlín, o aflorando como franjas en sentido norte-sur en los alrededores del corregimiento de Ranchadero, localizado sobre la vía Bucaramanga-Pamplona; cuñas angostas de Ortoneis también se encuentran al sur del municipio de Silos. Al Este de la Falla de Morro Negro (sector este), el Ortoneis aflora en dos franjas alargadas en sentido norte-sur; la primera al Oeste de Pamplona y la segunda en inmediaciones de Pamplona y al Sur de este municipio. El contacto del Ortoneis con la unidad Esquistos del Silgará en la zona estudiada es intrusivo, siendo las foliaciones en las rocas de estas dos unidades siempre concordantes.
METODOLOGÍA
Durante una fase inicial de campo en rocas de la unidad Ortoneis en los sectores central y este en el Macizo de Santander, se recolectaron datos geológicos y se muestrearon diferentes variedades litológicas para los estudios petrográficos, geoquímicos y se consideraron también los estudios geocronológicos, publicados por Van der Lelij, et al., (2016); García-Ramírez, et al., (2017); Tazzo-Rangel, et al., (2019) y Van der Lelij, et al., (2019).
Los estudios petrográficos se realizaron en el laboratorio de Petrografía de la Escuela de Geología de la Universidad Industrial de Santander, usando un microscopio triocular marca Leica, modelo DM750POL. Los análisis geoquímicos se realizaron en el laboratorio ALS laboratories en Vancouver, Canadá. Los elementos mayores y menores fueron determinados por fluorescencia de rayos (XRF). Elementos traza y Tierras Raras fueron analizados mediante ICP-MS. Los datos geoquímicos fueron procesados mediante el programa de computador de libre acceso Geochemical Data Toolkit (GCDKit) versión 6.0 de Janousek, et al., (2019), disponible en la página web: <http://www.gcdkit.org/>. Los cálculos geotermobarométricos por el método de la seudosección se realizaron usando el programa Theriak Domino, versión: 11.03.2020 (De Capitani y Petrakakis, 2010), considerando la base JUN92d.bs de Berman, (1988) y el sistema químico TiKFCMASH (TiO2, Na2O, K2O, FeO, CaO, MgO, Al2O3, SiO2 y H2O). Igualmente, se empleó el geotermómetro hornblenda-plagioclasa de Holland y Blundy, (1994) en rocas metamáficas.
RESULTADOS
Ocurrencia en Campo y Petrografía
A continuación, presentamos los aspectos relacionados con la ocurrencia en campo, características petrográficas y geoquímicas de las rocas del Ortoneis aflorantes en el sector central y este en el Macizo de Santander.
Ortoneis del sector central (al Oeste de la Falla de Morro Negro)
El Ortoneis en el sector de Berlín aflora como cuerpos en dirección NE-SW y N-S, siendo intruídos por la Cuarzo-monzonita de Santa Bárbara y en contacto fallado con los Esquistos del Silgará. En el sector de Ranchadero, aflora una masa de Ortoneis que se encuentra limitado al SW por la Falla Rio Charta, al Oeste por la Quebrada Los Ranchos y al Este por la Quebrada Las Minas. Finalmente, a cinco kilómetros en dirección NW del municipio de Silos, aflora una masa de Ortoneis cuya dirección de foliación es concordante con la foliación de los Esquistos del Silgará (Figura 1b).
Las rocas del Ortoneis al Oeste de la Falla de Morro Negro, presentan fuerte desarrollo de la foliación. Litológicamente el Ortoneis consta de intercalaciones de neises hornbléndicos, cuarzo-feldespáticos y biotíticos, predominando los últimos; así mismo, se observan lentes esporádicos de anfibolitas dentro de los ortoneises, con direcciones de foliación concordantes entre sí. Las estructuras observadas en los ortoneises varían de néisica y ocasionalmente ojosa a masiva y augen, predominando la primera. En el sector de Silos, se encuentran afloramientos altamente fracturados, por efecto de la falla del río Cáraba. El Ortoneis se encuentra en contacto fallado y directo con los Esquistos del Silgará. Es común encontrar xenolitos de los esquistos dentro del Ortoneis. Los ortoneises en los sectores de Mutiscua y Babega presentan mayor tamaño de grano, característica que posiblemente puede estar relacionada al protolito (Figura 2).

Figura 2 Ocurrencia en campo y fotomicrografías de las rocas del Ortoneis al Oeste de la Falla de Morro Negro. a) intercalación de neis biotítico y hornbléndico, b) xenolitos de cuarcita (contorneados en verde) en neis cuarzo-feldespático, c y d) texturas lepidogranoblástica en neis biotítico (muestra PCM-667).
La composición mineralógica y las texturas en las rocas del Ortoneis en el sector central se resumen en la Tabla 2.
Tabla 2 Composición mineralógica de las rocas del Ortoneis del sector central en el Macizo de Santander.
| Muestra | Litotipos | Textura | Composición mineralógica (%)a | ||||||||||||
| Qtz | Bt | Pl | Hbl | Or | Ep | Mc | Ttn | Opq | Ms | Grt | Ap | Px | |||
| BM-141 | Neis cuarzo-feldespático | Granoblástica | 45 | 35 | 10 | 10 | |||||||||
| PCM-667, PCM-757, PCM-769, PCM-781 | Neis biotítico | Lepidogranoblastica Pertitica Mirmequítica Poiquiloblástica | 30-40 | 15-20 | 15-25 | 10-20 | 2-5 | ||||||||
| PCM-638 | Anfibolita | Granonematoblástica Poiquiloblástica | 12 | 5 | 27 | 56 | |||||||||
a Abreviaturas minerales según Kretz (1983).
Neis cuarzo-feldespático (BM-141)
La foliación de este neis es débil, definida por la intercalación de bandas de cuarzo y plagioclasa. Los minerales principales son cuarzo, plagioclasa y moscovita. Los opacos son minerales accesorios. El cuarzo se presenta como cristales idioblásticos, algunos con inclusiones de plagioclasa. La plagioclasa es heteroblástica a subidioblástica, con macla polisintética y parcialmente reemplazada por epidota. La moscovita es idioblástica y heteroblástica. Los minerales opacos se presentan como porfidoblastos, heteroblásticos e idioblásticos de forma cubica; la textura es granoblástica. La asociación de la roca es cuarzo + plagioclasa + muscovita + opacos.
Neis biotítico (PCM-667, PCM-757, PCM-769, PCM-781)
La foliación está bien desarrollada definida por bandas biotíticas alternadas con bandas leucocráticas de cuarzo, plagioclasa y ortoclasa. El apatito es el mineral menor. El cuarzo se presenta como agregados cristalinos. La plagioclasa es xenoblástica a subidioblástica, con macla principal polisintética y con inclusiones de biotita, cuarzo y minerales opacos; está reemplazada hacia los bordes por sericita. La biotita se presenta como individuos heteroblásticos e idioblásticos con formas tabulares. Los individuos de ortoclasa ocurren de forma xenoblástica. La textura predominante es lepidogranoblástica, aunque localmente se observa textura poiquiloblástica, pertítica y mirmequítica. La asociación de la roca es: plagioclasa + ortoclasa + cuarzo + biotita.
Anfibolita (PCM-638)
Presenta bandas de plagioclasa y cuarzo intercaladas con bandas de hornblenda y biotita. La hornblenda es de tamaño grueso, con bordes irregulares y rectos, y presenta inclusiones de plagioclasa de forma subredondeada. La plagioclasa es xenoblástica, de tamaño grueso, y maclado polisintético; la mayoría de la plagioclasa está sericitizada. Los cristales de biotita son de forma tabular, subidioblásticos, de bordes rectos y está reemplazada por clorita. El cuarzo es subidioblástico y heteroblástico. La textura predominante es la granonematoblástica, localmente se observa textura poiquiloblástica. La asociación de la roca es: hornblenda + plagioclasa + biotita ± cuarzo.
Ortoneis del sector este (al Este de la Falla de Morro Negro)
El Ortoneis al Este de la Falla de Morro Negro, es un cuerpo alargado en dirección N-S, limitado al Oeste por esta falla; al Este, es suprayacido por rocas sedimentarias de la Formación Tibú-Mercedes; al Norte y Sureste, intruye de forma sintectónica los Esquistos del Silgará y finalmente al Sureste está siendo intruído por el Granito de Durania del Silúrico. Las rocas del Ortoneis en este sector, presentan débil a buen desarrollo de la foliación. Litológicamente, el Ortoneis consta de intercalaciones de neises biotíticos, cuarzo-feldespáticos y hornbléndicos, predominando los primeros y esporádicos cuerpos de anfibolita en forma de diques o lentes. Las estructuras de las rocas varían de masiva a néisica. Las relaciones de campo del Ortoneis con los Esquistos del Silgará, evidencian un contacto intrusivo (Figura 3a y 3b). Al igual que en otros sectores del Macizo de Santander, las foliaciones de ortoneises y esquistos son concordantes. Es común encontrar xenolitos de esquistos micáceos en el Ortoneis. La composición mineralógica y las texturas del Ortoneis aflorantes al Este de la falla, se resumen en la Tabla 3.

Figura 3 Ocurrencia en campo y fotomicrografías de las rocas del Ortoneis del sector este. a) contacto intrusivo entre Ortoneis y los Esquistos del Silgará, b) dirección de la foliación del Ortoneis (línea azul) y esquistosidad en los esquistos (línea roja), c) textura lepidogranoblástica en neis biotítico con moscovita (muestra PCM-7), d) textura granonematoblástica en neis hornbléndico (muestra PCM-583). Qtz: cuarzo, Hbl: hornblenda.
Tabla 3 Composición mineralógica de las rocas del Ortoneis del sector este en el Macizo de Santander.
| Muestra | Litotipo | Textura | Composición Mineralógica (%)a | |||||||
| Qtz | Bt | Pl | Hbl | Ep | Mc | Ttn | Ms | |||
| PCM-583 | Neis hornblendico | Nematogranoblastica | 19 | 58 | 22 | 1 | ||||
| PCM-7, PCM-13 | Neis biotítico con moscovita | Lepidogranoblástica, Poiquiloblástica | 35-40 | 18-35 | 9-32 | 3-18 | 4-12 | |||
| PCM-99 | Anfibolita | Granonematoblastica Poiquiloblástica y porfidoblástica en matriz granonematoblástica | 11 | 34 | 47 | 8 | ||||
a Abreviaturas minerales según Kretz (1983).
Neis hornbléndico (PCM-583)
Roca homeoblástica de tamaño de grano medio, con foliación bien desarrollada definida por la orientación preferencial de la hornblenda. Las bandas de cuarzo y plagioclasa están intercaladas con bandas de hornblenda. El cuarzo ocurre como individuos xenoblásticos a subidioblásticos y agregados granulares en cuyos bordes se evidencian procesos de recristalización. Algunos blastos de cuarzo presentan inclusiones de biotita orientadas al azar. La plagioclasa es xenoblástica a subidioblástica, con maclado polisintético y leve sericitización. La hornblenda es heteroblástica y subidioblástica con inclusiones de circón y esfena orientadas al azar. La textura principal de la roca es granonematoblástica. La asociación de la roca es: cuarzo + plagioclasa + hornblenda (Figura 3d).
Neis biotítico con moscovita (PCM-7, PCM-13)
Presentan bandas de plagioclasa, cuarzo y feldespato potásico, alternadas con bandas de biotita y moscovita. La foliación bordea porfidoblastos de plagioclasa, microclina y agregados de cuarzo. El cuarzo es xenoblástico a subidioblástico y también ocurre como agregados. Algunos cristales de cuarzo presentan inclusiones al azar de biotita. La biotita se observa como agregados alargados. La plagioclasa es xenoblástica a subidioblástica con maclado polisintético y parcialmente está sericitizada. La moscovita incluye biotita y cuarzo orientados al azar. La microclina se observa xenoblástica a subidioblástica, con evidencia de maclado en rejilla. La textura general es lepidogranoblástica y localmente es granolepidoblástica y poiquiloblástica (Figura 3c). La asociación de la roca es plagioclasa + cuarzo + biotita ± moscovita ± microclina.
Anfibolita (PCM-99)
Tiene foliación bien desarrollada, la cual consiste en la alternancia de bandas cuarzo feldespáticas y bandas con hornblenda. La plagioclasa es xenoblástica a subidioblástica, algunas veces con maclado polisintético y leve sericitización. La epidota está orientada según la foliación de la roca. El cuarzo es de forma xenoblástica a subidioblástica. La hornblenda es de forma xenoblástica a subidioblástica. La textura principal es granonematoblástica. La asociación de la roca es hornblenda + plagioclasa ± cuarzo ± epidota.
Petrograficamente se observan algunas diferencias en los ortoneises de los sectores central y este. En el sector este, la foliación de los ortoneises esta menos desarrollada que en el sector central. La muscovita solo esta esta presente en el sector este.
GEOQUÍMICA
La geoquímica de elementos mayores y traza fue usada para clasificar composicionalmente y establecer el ambiente tectónico de formación de los ortoneises. En total se analizaron nueve muestras por geoquímica de roca total (Tabla 4).
Tabla 4 Composición química de rocas representativas del Ortoneis.
| Muestra
Litología |
PCM-667
Neis biotítico |
PCM-757
Neis biotítico |
PCM-769
Neis biotítico |
PCM-781
Neis biotítico |
BM-141
Neis cuarzo-feldespático |
VR-7-2
Neis cuarzo-feldespático con biotita y hornblenda |
VR-22-1
Neis cuarzo-feldespático con biotita y moscovita |
10VDL44
Granito foliado |
| SiO2 | 72.86 | 72.13 | 72.99 | 71.30 | 76.54 | 72.6 | 76.47 | 73.03 |
| TiO2 | 0.53 | 0.46 | 0.41 | 0.61 | 0.04 | 0.48 | 0.1 | 0.53 |
| Al2O3 | 12.18 | 13.41 | 13.14 | 13.56 | 12.88 | 12.72 | 12.32 | 13.26 |
| Fe2O3 | 1.22 | 1.56 | 1.18 | 1.25 | 0.38 | 2.81 | 2.4 | 2.78 |
| FeO | 2.56 | 1.67 | 1.94 | 3.03 | 0.15 | |||
| MnO | 0.05 | 0.06 | 0.05 | 0.07 | <0.01 | 0.03 | 0.07 | 0.06 |
| MgO | 1.07 | 0.52 | 0.73 | 1.08 | 0.09 | 0.77 | 0.17 | 0.74 |
| CaO | 0.63 | 1.62 | 1.35 | 1.82 | 0.57 | 1.3 | 1.45 | 1.60 |
| Na2O | 1.93 | 3.03 | 2.36 | 2.38 | 3.20 | 3.01 | 2.95 | 1.94 |
| K2O | 5.90 | 4.77 | 5.02 | 4.32 | 5.16 | 4.21 | 3.99 | 5.00 |
| P2O5 | 0.08 | 0.09 | 0.07 | 0.10 | 0.02 | 0.11 | 0.02 | 0.12 |
| LOl | 0.8 | 0.5 | 0.6 | 0.3 | 0.9 | 0.0 | 0.97 | |
| Cr2O3 | 0.00 | 0.00 | 0.00 | 0.01 | <0.002 | <0.01 | <0.01 | |
| Total | 99.81 | 99.82 | 99.84 | 99.83 | 99.93 | 98.04 | 99.94 | 100.03 |
| Mo | 0.7 | 0.6 | 0.5 | 0.5 | 0.3 | <1 | <1 | 0.27 |
| NiO | <20 | <20 | <20 | <20 | <20 | |||
| Ni | 9.4 | 2.3 | 5.9 | 9.7 | 0.8 | 4 | <1 | 9.3 |
| Zn | 52 | 31 | 33 | 51 | 9 | 30 | 41 | 34 |
| Cu | 6.2 | 1.5 | 6.8 | 12.7 | 2.6 | 11 | 2 | 4.9 |
| As | <0.5 | <0.5 | <0.5 | <0.5 | 0.7 | 1 | 0.3 | 3.98 |
| Cd | <0.1 | <0.1 | <0.1 | <0.1 | <0.1 | <0.5 | <0.5 | |
| Sb | <0.1 | <0.1 | <0.1 | <0.1 | <0.1 | <0.05 | <0.05 | |
| Bi | <0.1 | <0.1 | <0.1 | <0.1 | <0.1 | 0.06 | 0.01 | 0.14 |
| Ag | <0.1 | <0.1 | <0.1 | <0.1 | 0.1 | <0.5 | <0.5 | |
| Au | 1.3 | <0.5 | <0.5 | <0.5 | <0.5 | |||
| Hg | <0.01 | <0.01 | <0.01 | <0.01 | <0.01 | <0.005 | <0.005 | |
| Tl | 0.6 | 0.4 | 0.1 | 0.7 | <0.1 | 0.1 | 0.15 | |
| Se | <0.5 | <0.5 | <0.5 | <0.5 | <0.5 | 0.3 | <0.2 | |
| Ga | 14.0 | 15.1 | 13.1 | 14.5 | 11.8 | 16.6 | 14.8 | 15.35 |
| Sc | 11 | 8 | 9 | 13 | 1 | 8 | 5 | 12.20 |
| V | 57 | 35 | 40 | 72 | <8 | 54 | 19 | 42.00 |
| W | <0.5 | <0.5 | <0.5 | <0.5 | <0.5 | 1 | 2 | 11.73 |
| Co | 6.0 | 3.9 | 4.5 | 7.2 | 0.3 | 6 | 2 | 6.34 |
| Cs | 3.6 | 2.8 | 1.3 | 4.5 | 1.5 | 4.87 | 1.78 | 2.94 |
| Ba | 740 | 612 | 656 | 582 | 315 | 453 | 208 | 651.87 |
| Be | 1 | 4 | <1 | 4 | 2 | 3.47 | ||
| Rb | 216.8 | 192.6 | 166.3 | 182.2 | 120.3 | 170 | 179 | 188.01 |
| Sn | 3 | 4 | 3 | 3 | <1 | 4 | 2 | |
| Th | 15.8 | 16.2 | 23.7 | 19.9 | 15.0 | 19.1 | 13 | 18.33 |
| Nb | 11.7 | 12.4 | 8.8 | 12.6 | 7.5 | 12.7 | 11.5 | 13.89 |
| Ta | 0.8 | 1.0 | 0.4 | 0.7 | 1.0 | 1.1 | 1.4 | 1.31 |
| Sr | 84.3 | 93.2 | 119.9 | 87.5 | 144.3 | 61.5 | 59.5 | 93.00 |
| Zr | 200.4 | 302.8 | 186.3 | 230.0 | 51.3 | 163 | 59 | 240.90 |
| Hf | 5.8 | 8.2 | 5.6 | 6.6 | 2.9 | 5.1 | 2.1 | 6.77 |
| Y | 31.3 | 51.6 | 32.8 | 39.2 | 13.0 | 42.3 | 21.5 | 67.31 |
| Pb | 8.5 | 3.1 | 2.9 | 1.6 | 4.7 | 17 | 14 | 27.50 |
| U | 2.7 | 3.2 | 2.7 | 2.6 | 2.7 | 2.38 | 2.33 | 2.64 |
| La | 28.3 | 43.6 | 33.5 | 38.8 | 7.6 | 32.7 | 16 | 39.29 |
| Ce | 60.6 | 94.5 | 86.3 | 76.7 | 14.6 | 70.4 | 37.6 | 76.97 |
| Pr | 7.12 | 10.91 | 8.13 | 9.21 | 1.86 | 8.34 | 4.17 | 8.91 |
| Nd | 27.0 | 41.6 | 29.4 | 35.0 | 7.3 | 30.4 | 14.8 | 35.79 |
| Sm | 5.29 | 8.27 | 6.01 | 6.73 | 1.75 | 6 | 3.21 | 7.59 |
| Eu | 0.81 | 1.33 | 0.93 | 1.09 | 0.30 | 0.87 | 0.39 | 1.21 |
| Gd | 5.12 | 8.45 | 5.62 | 6.39 | 1.60 | 6.77 | 3.18 | 7.68 |
| Tb | 0.89 | 1.46 | 1.01 | 1.11 | 0.29 | 1.12 | 0.53 | 1.35 |
| Dy | 5.66 | 8.80 | 6.10 | 6.90 | 1.90 | 6.99 | 3.39 | 9.88 |
| Ho | 1.19 | 1.77 | 1.19 | 1.38 | 0.37 | 1.43 | 0.73 | 2.31 |
| Er | 3.40 | 5.07 | 3.35 | 4.02 | 1.23 | 4.44 | 2.54 | 7.27 |
| Tm | 0.52 | 0.79 | 0.49 | 0.60 | 0.21 | 0.67 | 0.47 | 1.18 |
| Yb | 3.58 | 5.12 | 2.84 | 3.59 | 1.56 | 4.21 | 3.31 | 8.10 |
| Lu | 0.54 | 0.80 | 0.42 | 0.54 | 0.26 | 0.65 | 0.54 | 1.22 |
Las muestras VR-7-2 y VR-22-1 fueron tomadas de García-Ramírez, et al., (2017). La muestra 10VDL44 fue tomada de Van der Lelij, et al., (2016).
La clasificación química TAS de Midlemost, (1994) indica una composición muy homogénea para los ortoneises del sector central consistentes en granitos, mientras que los ortoneises del sector este, varían entre granito y granodiorita (Figura 4). La anfibolita (PCM-638) se ubica en el campo de los gabros, sin embargo, se asume una composición más basáltica que sería la apropiada en este ambiente geológico.

Figura 4 Diagrama clasificatorio TAS de Middlemost, (1994). Las muestras VR-7-2 y VR-22-1 fueron tomadas de García-Ramírez, et al., (2017). La muestra 10VDL44 fue tomada de Van der Lelij, et al., (2016).
Los ortoneises en su gran mayoría pertenecen a la serie calco-alcalina. Por otro lado, las anfibolitas (muestras PCM-638, PCM-99) se ubican en la serie toleítica (Figura 5a). Estas series se diferencian con más detalle en el diagrama de Peccerillo y Taylor, (1976) (Figura 5b) en el cual las muestras de la unidad Ortoneis principalmente, pertenecen a la serie calco-alcalina alta en potasio; las anfibolitas y los neises hornbléndicos son de la serie calco-alcalina. Los Ortoneises félsicos son generalmente peralumínicos, mientras que, las anfibolitas son metalumínicas (Figura 5c).

Figura 5 Diagramas discriminatorios de series químicas. a) Diagrama AFM de Irvine y Baragar, (1971). Los ortoneises corresponden a la serie calco-alcalina, mientras que las metabasitas ocupan el campo toleítico. b) Diagrama de Peccerillo y Taylor, (1976). Los ortoneises se disponen en su mayoría en la serie calco-alcalina rica en K y la serie calco-alcalina. c) Diagrama de Shand, (1943), donde se evidencia el carácter peralumínico de los ortoneises y metaalumínico de las metabasitas. Las muestras VR-7-2 y VR-22-1 fueron tomadas de García-Ramírez, et al., (2017). La muestra 10VDL44 fue tomada de Van der Lelij, et al., (2016).
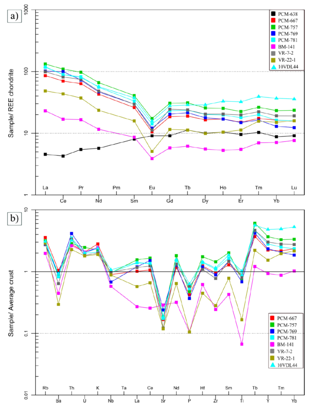
El contenido de Tierras raras (REE) en los ortoneises fue normalizado a la condrita de Nakamura, (1974). Estos valores evidencian tres patrones diferentes de comportamiento de las REE (Figura 6a): 1) Los ortoneises félsicos muestran un empobrecimiento en las REE ligeras (La-Sm) y un empobrecimiento en REE pesadas (Eu-Lu) con poca diferencia entre estas. En relación con el contenido total de REE, los ortoneises VR-22-1 y BM-141 son los más empobrecidos con valores de 90.86 y 40,83 ppm respectivamente. 2) Para todos los ortoneises es clara una anomalía negativa en Eu*. 3) La anfibolita (PCM-638) está muy empobrecida en REE ligeras y va incrementando el contenido de REE pesadas con ausencia de anomalía en Eu*.

Figura 6 Comportamiento de los elementos traza, incluidos tierras raras (REE) en ortoneises y metabasitas. a) REE normalizadas al condrito de Nakamura, (1974). b) Diagrama multielemental para los ortoneises, normalizado al promedio de la corteza de Weaver y Tarney, (1984). Las muestras VR-7-2 y VR-22-1 fueron tomadas de García-Ramírez, et al., (2017). La muestra 10VDL44 fue tomada de Van der Lelij, et al., (2016).
El diagrama multielemental (Figura 6b) muestra un comportamiento muy similar en los elementos incompatibles para los ortoneises de composición granítica a granodiorítica, mientras que los ortoneises tonalíticos (muestra BM-141) y la anfibolita (PCM-638) están muy empobrecidos en elementos LILE.
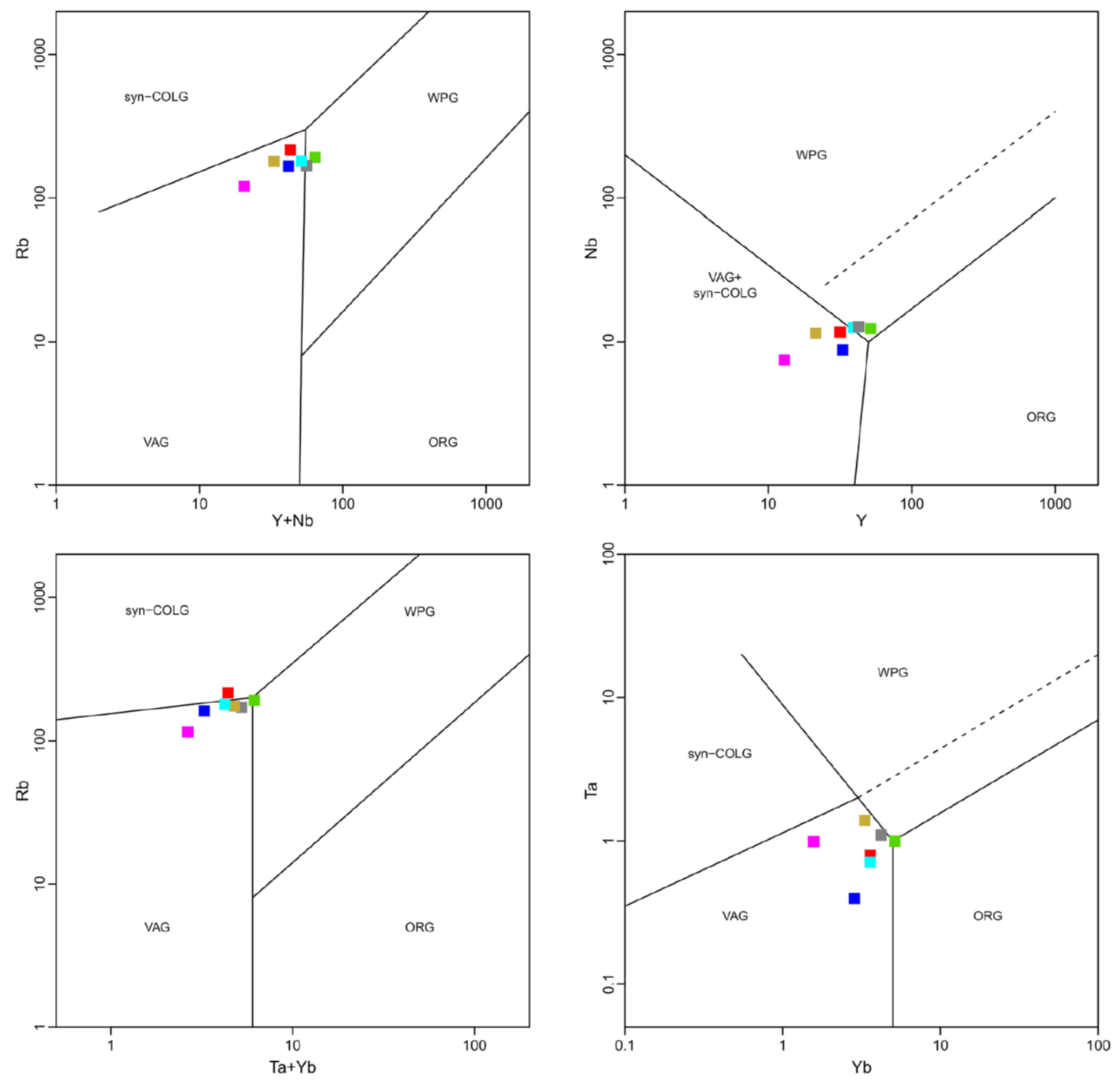
Los ortoneises se formaron en un ambiente de margen continental activo (Figura 7).

Figura 7 Ambientes tectónicos de formación de los ortoneises de acuerdo con Pearce et al., (1984). VAG-granitos de arco volcánico; syn-COLG-granitos sincolisionales; WPG-granitos de intraplaca; ORG-granitos de dorsales oceánicas. Las muestras VR-7-2 y VR-22-1 fueron tomadas de García-Ramírez, et al., (2017). La muestra 10VDL44 fue tomada de Van der Lelij, et al., (2016). Mismas convenciones de la Figura 6B.
Con el propósito de establecer y detallar mejor estas diferencias se emplearon los diagramas de Chappell y White, (1974) y Laurent, et al., (2014) (Figuras 8, 9). En el diagrama K2O vs. Na2O de Chappell y White, (1974) (Figura 8), las muestras de los ortoneises se localizan tanto en el campo de los granitos tipo I (VR-7-2, VR-22-1, PCM-7, PCM-13, PCM-757, BM-141), como en el de granitos tipo S (PCM-781, PCM-769, PCM-667, 10DVL44). Las muestras del campo de los granitos tipo S, se localizan en el campo metasedimentario en el diagrama de Laurent, et al, (2014) (Figura 9). No obstante, las muestras de los ortoneises clasificadas como granitos tipo I (VR-7, VR-22, PCM-7, PCM-757) según Chappell y White, (1974), también se representan en el campo metasedimentario según Laurent, et al., (2014). Cabe anotar que estas últimas muestras se localizan muy cerca al límite entre granitos tipo I y S, esto podría indicar mezcla de fuentes diferentes o contaminación cortical. Van der Lelij, et al., (2019), describen una situación similar en ortoneises y granitoides de los Andes de Mérida y el Macizo de Santander, y lo explican a partir de una mezcla de fuentes de la corteza inferior (o derivados del manto) y fuentes metasedimentarias.

Figura 8 Tipos de granitos según Chappell y White, 1974. Los cuadrados en verde son las muestras localizadas en el sector este. Los triángulos en verde son las muestras localizadas en el sector central. Las muestras VR-7-2 y VR-22-1 fueron tomadas de García-Ramírez, et al., (2017). La muestra 10VDL44 fue tomada de Van der Lelij, et al., (2016).

Figura 9 Localización de las muestras de ortoneises y metabasitas en el diagrama de Laurent et al., 2014 para determinar la fuente de estas rocas. Las muestras VR-7-2 y VR-22-1 fueron tomadas de García-Ramírez, et al., (2017). La muestra 10VDL44 fue tomada de Van der Lelij, et al., (2016). Mismas convenciones de la Figura 6a.
Las anfibolitas que ocurren como lentes o cuerpos irregulares entre los ortoneises, se ubican en el campo de rocas máficas, con bajo o alto contenido de K en el diagrama de Laurent, et al., (2014) (Figura 9).
Las características geoquímicas de las rocas de la unidad Ortoneis, evidencian diferencias en los sectores central y este. Los ortoneises del sector central son muy homogéneos en su composición clasificándose como granitos, mientras que los ubicados al este, muestran mayor variación entre granito y granodiorita. En relación con el origen del magma, las rocas no se diferencian de forma tan clara e indistintamente aparecen en el campo de los granitos tipo I o S, pero todas se ubican en el campo de las rocas metasedimentarias, excepto la muestra BM-141 (Figura 9). Esto podría representar una fuente magmática cortical producto de fusión parcial, aunque también la contaminación podría haber jugado un papel importante. Con base en las observaciones de campo, las rocas metamórficas máficas en la unidad Ortoneis se diferencian de la siguiente manera: en el sector este, las foliaciones no están muy bien desarrolladas y las rocas se han clasificado como metabasaltos o metagabros, mientras que, en el sector central, las foliaciones están mejor desarrolladas y, las rocas se clasifican como anfibolitas. Estas rocas se localizan en el campo de las rocas ígneas máficas como fuente y son de la serie toleítica. Estos rasgos geoquímicos corroboran su ocurrencia en campo como lentes o cuerpos irregulares entre los ortoneises.
CONDICIONES P-T DE METAMORFISMO
Las condiciones P-T de los ortoneises fueron determinadas mediante el método de la seudosección, usando el programa THERIAK-DOMINO, versión: 11.03.2020 (De Capitani y Petrakakis, 2010) y la base de datos termodinámica JUN92.bs de Berman, (1988). Se construyó el diagrama para un neis biotítico (PCM-667), usando el sistema químico TiKFCMASH (TiO2, Na2O, K2O, FeO, CaO, MgO, Al2O3, SiO2 y H2O) (Figura 10). Igualmente, se usó un neis hornbléndico (PCM-583), para calcular la temperatura, usando el geotermobarómetro hornblenda-plagioclasa de Holland y Blundy (1994).

Figura 10 Diagrama TiKFCMASH de las rocas del Ortoneis del sector central (muestra PCM-667). En celeste el campo de la asociación plagioclasa + ortoclasa + cuarzo + biotita.
Las condiciones de metamorfismo obtenidas en el neis biotítico (muestra PCM-667) fueron: T = 690-770 °C y P = 0.53-0.85 GPa. Estas condiciones son muy similares a las obtenidas para los Esquistos del Silgará por García, et al., (2005) y García-Ramírez, et al., (2020) que fueron respectivamente T = 650-727 °C y P =0.50-0.95 GPa y T= 650-720 °C y P = 0.55-0.69 GPa.
En rocas del sector este, la seudosección obtenida no permitió establecer condiciones P-T restringidas y, por lo tanto, las condiciones P-T se determinaron mediante el geotermómetro hornblenda-plagioclasa de Holland y Blundy, (1994) para el neis hornbléndico (muestra PCM-583). La composición de estos minerales se presenta en la Tabla 5. Las temperaturas obtenidas en la base de edenita-tremolita fueron 680 y 693 °C. Los rangos de presión utilizados fueron de 0.5-0 7 GPa, ya que estos valores son los más comúnmente conocidos para los Esquistos del Silgará en la parte central del Macizo de Santander (García, et al., 2005; Castellanos, et al., 2008; García-Ramírez, et al., 2020).
Tabla 5 Composición química de la plagioclasa y hornblenda en la muestra PCM-583.
| Muestra | Neis hornbléndico (PCM-583) | ||||
| Mineral | Pl | Mg-Hbl | Pl | Mg-Hbl | |
| Componentes | Análisis 43 | Análisis 42 | Análisis 43 | Análisis 42 | |
| SiO2 | 57.45 | 45.26 | Cationes/O | 8 | 23 |
| TiO2 | 0.00 | 0.61 | Si | 2.562 | 6.685 |
| Al2O3 | 27.29 | 10.75 | Ti | 0.000 | 0.068 |
| Fe2O3 | --- | 0.93 | Al | 1.434 | 1.871 |
| FeO | 0.10 | 13.29 | Fe3 + | 0.103 | |
| MnO | 0.00 | 0.16 | Fe2 + | 0.004 | 1.645 |
| MgO | 0.01 | 11.86 | Mn | 0.000 | 0.020 |
| CaO | 9.21 | 12.84 | Mg | 0.001 | 2.612 |
| Na2O | 6.41 | 1.21 | Ca | 0.440 | 2.032 |
| K2O | 0.13 | 0.58 | Na | 0.554 | 0.346 |
| Cr2O3 | 0.00 | 0.00 | K | 0.007 | 0.109 |
| Total | 100.60 | 97.48 | Cr | 0.000 | 0.000 |
| Total | 5.002 | 15.492 | |||
| XMg | 0.61 | ||||
| XAn | 0.44 | ||||
En general, las condiciones P-T de los ortoneises indican temperaturas de metamorfismo más altas en el sector central. Cualitativamente esto corresponde con foliaciones mejor desarrolladas.
DISCUSIÓN
Las relaciones de campo permitieron concluir que los Ortoneises de los sectores central y este en el Macizo de Santander, presentan la misma relación de contactos intrusivos sinuosos y foliaciones concordantes con los Esquistos del Silgará, siendo las foliaciones más desarrolladas en el sector central. Esta diferencia también es evidente en los cuerpos de anfibolitas asociadas al Ortoneis. Así mismo, las observaciones en campo y el estudio petrográfico, mostraron que al parecer la muscovita solo está presente en el sector este. Geoquímicamente los ortoneises del sector central son muy homogéneos en su composición, clasificándose como granitos, mientras que los ubicados en el sector este, muestran variación entre granito y granodiorita. De acuerdo con la localización de las muestras en los diagramas de Pearce et al., (1984) (Figura 7) los ortoneises se formaron en un ambiente de arco o margen continental activo.
En relación con el origen del magma, las rocas no se diferencian de forma tan clara; los Ortoneises del sector central pueden ser granitos tipo I o S, mientras que las rocas del este, en su mayoría son granitos tipo I. (Figura 8). En la clasificación de Laurent, et al., (2014), los ortoneises ocupan el campo de las rocas metasedimentarias, mientras las anfibolitas están en el campo de las rocas máficas. Esta situación ambigua en donde rocas similares apuntan a fuentes de magmas diferentes, ha sido también evidenciada por Van der Lelij, et al., (2019) a partir de relaciones isotópicas como edades modelo Lu-Hf, relaciones 87Sr/86Sr y Rb/Sr. Para los autores, estas rocas habrían tenido fuentes magmáticas mezcladas: origen en corteza inferior (o manto derivados) y fuente metasedimentaria. Las muestras que se localizan en el campo de los granitos tipo S (PCM-667, PCM-769, PCM-781), presentan relaciones de CaO/Na2O de 0.32; 0.57; 0.76 respectivamente, lo cual indicaría una fuente empobrecida en arcillas y enriquecida en plagioclasa (metagrauvacas). De acuerdo con el contexto geológico del Macizo de Santander, la fuente posible sería las rocas de la unidad Precámbrica Neis de Bucaramanga y menos probable, los Esquistos del Silgará, por ser estos últimos más enriquecidos en filosilicatos. Esto también puede ser corroborado por las edades Precámbricas heredadas en ortoneises, reportadas por García-Ramírez, et al., (2017). Las rocas metamórficas máficas muestran firmas geoquímicas propias de rocas ígneas máficas.
Las condiciones de metamorfismo alcanzadas por los ortoneises en el sector central (T = 690-770 °C y P = 0.53-0.85) y oriental (T = 680-693 °C y P = 0.5-0.70) evidencian un metamorfismo de presiones intermedias tipo barroviense.
Los resultados del trabajo de campo, geoquímica de roca total y cálculos termobarométricos permitieron establecer características en los ortoneises tales como: 1) emplazamiento sintectónico en rocas de la unidad Esquistos del Silgará (concordancia en las direcciones de las foliaciones) durante el pico metamórfico de esta última unidad; 2) ambiente tectónico de formación correspondiente a una margen continental activa; 3) metamorfismo de media presión con temperaturas medias a altas, típicas de ambientes colisionales.
Ahora bien, la ocurrencia en campo, las características petrográficas y geoquímicas de los ortoneises estudiados, guardan mucha similitud con otros cuerpos de ortoneises aflorantes en el Macizo de Santander y los Andes de Mérida en Venezuela (Van der Lelij, et al., 2016; García-Ramírez et al., 2017; Van der Lelij et al., 2019; Tazzo-Rangel, et al., 2019). Las edades reportadas para la unidad Ortoneis (Ward, et al., 1973; Restrepo-Pace y Cediel, 2010; Van der Lelij, et al., 2016; García-Ramírez et al., 2017; Tazzo-Rangel, et al., 2019) abarcan rangos entre 480 y 453 Ma. Por lo anterior, es claro que se trata de un evento regional, relacionado con la existencia de un cinturón magmático del Ordovícico. Este cinturón magmático ha sido asociado al evento orogénico Caparonensis en los Andes del Norte (Restrepo-Pace y Cediel, 2010).
Ortoneises y eventos metamórficos de edad Ordovícica son reportados en los Andes centrales y del sur, y son el registro de un arco magmático activo, desarrollado a lo largo del margen occidental de Gondwana (Chew et al., 2007; Aleman y Ramos, 2000). Este evento colisional de terrenos alóctonos y paraautóctonos contra el margen de Suramérica según estos autores, desencadenó el evento tectono-metamórfico conocido como la orogenia Famatiniana en los Andes centrales y del sur. Igualmente, en los últimos años se han reportan edades del Ordovícico y Silúrico en rocas metaígneas y metasedimentarias en los terrenos al Sureste de México y en América Central (Weber, et al., 2018; Ortega-Gutiérrez, et al., 2018; Juárez-Zúñiga, et al., 2019). Especialmente, El Complejo El Triunfo, localizado en el sureste del Macizo Chiapas en el Bloque Maya, registra un cinturón magmático alrededor de 450 Ma consistente en intrusivos de composición granítica a gabroica de la serie Motozintla, emplazados en rocas metasedimentarias con grado medio a alto de metamorfismo y anatexis (Weber, et al., 2018).
CONCLUSIONES
Las rocas de la unidad Ortoneis en el Macizo de Santander consisten en ortoneises biotíticos y cuarzo-feldespáticos y cuerpos de anfibolita que ocurren como lentes dentro de esta unidad.
Las condiciones de metamorfismo de los ortoneises fueron: T = 690-770 °C y P = 0.53-0.85 GPa y para el neis hornbléndico: T = 680-693 °C a presión de aproximadamente 0.5-0.7 GPa.
Se evidencian algunas diferencias estructurales y mineralógicas en los sectores central y este del Macizo de Santander, explicadas a partir de las características del magma parental, lo que a su vez se relaciona con los niveles corticales donde estos se generaron: corteza inferior para las anfibolitas y corteza media a superior para los ortoneises.
Las edades del Ordovícico y Silúrico Temprano registradas en rocas metaígneas o granitoides sintectónicos emplazados en rocas metasedimentarias de grado metamórfico medio a alto, son reportadas a lo largo de los Andes y el sureste de México, lo cual ha sido interpretado como evidencia de la orogenia Famatiniana desarrollada a lo largo del protomargen de Gondwana occidental.










nova página do texto(beta)


