Introducción
La citricultura en México es una actividad productiva de gran importancia por los ingresos que genera para los productores y los empleos que demanda. En Veracruz, se cultivan 167 884 ha de naranjo, de las cuales 97.85% son de temporal y 2.14% de riego. Las principales variedades cultivadas en la entidad son Valencia, Washington Navel y Marrs (SIAP, 2018). En los últimos años, la producción citrícola tiene importantes cambios por la incidencia progresiva de enfermedades como el virus tristeza de los cítricos (VTC), Huanglongbing (HLB), Caquexia y Exocortis (Villegas-Monter y Mora, 2011). La diseminación del VTC se ha dispersado a través de vectores trasmisores del virus tales como Toxoptera citricida Kirkaldy (Quiroga-Cardona, Hernández, Silva y Orduz, 2010) y propagación vegetativa a partir de viveros no certificados. El HLB se considera la enfermedad más destructiva para los cítricos en el mundo, es causada por la bacteria Candidatus Liberibacter asiaticus (CLas) y diseminada por el vector Diaphorina citri. Todas las variedades comerciales de cítricos son susceptibles a esta enfermedad, pero las dulces son más afectadas (FONTAGRO, 2021).
Se tiene documentado que VTC causa daños en los haces vasculares debido al uso de portainjertos susceptibles, como el “naranjo agrio” (Citrus aurantium) (Villegas-Monter y Mora, 2011); la bacteria causante del HLB, promueve depósitos de almidón en los tejidos epidérmico, fundamental y del floema (Achor, Etxeberria, Wang, Folimonova, Chung y Albrigo, 2010). La presencia de síntomas de deficiencias nutrimentales, debilitamiento general y muerte repentina de árboles de naranjo, se asocian con la incidencia del VTC y HLB (Contreras, Ovando y Villegas, 2019). La infección combinada de CLas y VTC puede ejercer efecto de sinergia en el debilitamiento del árbol, debido a que limita el transporte de fotoasimilados y nutrimentos (Fu, Shao, Paul, Zhou y Hartung, 2017); por ejemplo, la carencia de Zn en hojas de naranjo (Timothy y Schumann, 2009); Potasio (K), Calcio (Ca), Magnecio (Mg), Cobre (Cu), Fierro (Fe), Zinc (Zn) y Boro (B) en limón mexicano (C. aurantifolia) (Manzanilla-Ramírez et al., 2019).
En naranjo ‘Valencia’ (C. sinensis) afectados por HLB, el sistema integrado de diagnóstico y recomendación (DRIS por sus siglas en inglés) detectó que el Mg fue el nutrimento más limitante, seguido del Manganeso (Mn) y el Zn; el Azufre (S), B, K y Fe fueron menos deficientes, y los índices en exceso fueron el Nitrógeno (N), Ca, Cu y Fósforo (P) (Schumann, Waldo, Vashisth, Wright y Morgan, 2019). Esto indica que la epidemiología de CLas causante del HLB (Schumann, 2009) y los virus (Lacroix, Seabloom y Borer, 2017) influyen en el desbalance nutrimental del huésped, y generan carencias internas que alteran los procesos fisiológicos. En consecuencia, se presentan los síntomas de VTC, hojas pequeñas y clorosis, que se pueden confundir con deficiencias nutrimentales; sin embargo, el desarrollo puede continuar y el árbol se recupera parcialmente cuando son razas ligeras (Müller, Penteado, Alves, Alves de Souza y Verle, 2005). Con razas severas, el crecimiento es paralizado y en corto tiempo el dosel del árbol se defolia por completo, los frutos permanecen pequeños y unidos a las ramas muertas del árbol (Cuéllar, 2016). En hojas de naranjo afectados por HLB, se observan nervaduras corchosas, moteado clorótico asimétrico en la lámina foliar, punteado clorótico hasta amarillamiento y abscisión foliar (Esquivel-Chávez et al., 2012). La aplicación de fósforo a los árboles de cítricos reduce los síntomas y mejora el rendimiento de fruto (Zhao et al., 2013). La fertilización al suelo y al follaje en árboles de lima ‘persa’ (C. latifolia) atenúa los síntomas de HLB (Hernández et al., 2014), éstas prácticas acompañadas de riego y poda de ramas, retardan la enfermedad en algunas especies de cítricos (Xia et al., 2011). No obstante, Beozzo (2016) reportó que las aplicaciones de microelementos al follaje corrigen la carencia de Zn y Mn en naranjos afectados por HLB, pero el moteado en las hojas persiste. Con base en lo anterior, el objetivo fue estudiar el efecto de la fertilización en el estatus nutrimental de árboles de naranjo ‘Marrs’ con síntomas asociados a VTC y HLB y la composición mineral de los frutos. La hipótesis general fue que la adecuada nutrición en árboles de naranjo a través de la aplicación de micronutrimentos (Zn, Mn, B, Fe, Cu) y macronutrimentos (N, P, K, Ca, Mg) al follaje y al suelo, puede contribuir a la producción aceptable de frutos en cantidad y calidad, aún con incidencia de VTC y HLB.
Materiales y Métodos
Área de Estudio y Material Vegetal
El estudio se realizó de agosto 2019 a diciembre 2020 en un huerto comercial de naranjo ‘Marrs’ / C. volkameriana de seis años de edad, en producción y sin riego, ubicado en Cazones de Herrera, Veracruz, México. Debido a la topografía irregular del terreno, los árboles se seleccionaron en la parte baja y alta, en función de tres grados de síntomas asociados a VTC y HLB: asintomáticos, ligero y avanzado. El suelo es de textura franco-arcillosa en la parte baja del terreno y en la parte alta es de textura franca, con densidad aparente de 1.1 g cm-3, pH de 7.9, CaCO3 de 40.1%, CIC de 30.5 cmol(+) kg-1 y CE de 0.59 dS m-1. En la parte baja del terreno, el contenido de NO3 -, P, K, Ca, Mg, S, Fe, Zn, Mn, Cu y B fue de 14, 9.5, 194, 6362, 138, 1.69, 23.2, 0.72, 1.74, 0.56 y 0.47 mg kg-1 respectivamente y 3.51% de MO; mientras que, en la parte alta presentó contenido de NO3 -, P, K, Ca, Mg, Fe, Zn, Mn, Cu y B de 3.14, 6.51, 152, 5256, 110, 1.69, 6.44, 0.15, 1.01, 0.61 y 0.34 mg kg-1, respectivamente y 1.95% de MO.
Diseño de Tratamientos y Experimental
Se evaluaron seis tratamientos de fertilización, resultantes de la combinación de los niveles de los factores de estudio: i) fertilización al suelo con tres niveles: química (FQS), orgánica (FOS) y combinada (FCS), y ii) fertilización foliar con dos niveles, química (FQF) y orgánica (FOF).
El diseño experimental fue bloques al azar en arreglo de parcelas divididas, con tres repeticiones, con 6 árboles por bloque. En la parcela grande se aplicó la fertilización foliar y en las parcelas chicas las fertilizaciones al suelo. El árbol de naranjo fue la unidad experimental y la integración de los bloques se realizó con base en el grado de síntomas asociados a VTC y HLB: asintomático, ligero y avanzado.
La FQS consistió de 100 N - 22 P2O5 - 195 K2O - 30 MgO, tuvo como base el contenido mineral que se obtuvo del análisis del suelo y la demanda nutrimental de árboles de naranjo en producción (Srisvastava, 2012) y se hicieron dos aplicaciones con los siguientes fertilizantes químicos: la primera con (NH4)2SO4 (600 g) + (NH4)2HPO4 (120 g) + K2SO4 (468.75 g) + MgSO4 (225.5 g árbol-1), y la segunda con (NH4)2SO4 (542 g) + K2SO4 (468.75 g) + MgSO4 (225.5 g árbol-1). La FOS fue compost, cuya composición fue NO3 - (0.06%), P2O5 (0.18%), K2O (1.12%), MgO (0.13%), CaO (0.39%) y MO (17%) que se aplicó a razón de 10 kg árbol-1.
La FSC consistió en aplicar el 50% de la FQS y el 100% de la FOS. Las tres fertilizaciones fueron fraccionadas en dos aplicaciones; la primera se hizo posterior a la cosecha del ciclo 2017-2018, en la mitad del área de goteo orientado al oeste; y la otra durante el desarrollo intermedio del fruto orientado al este, e incorporados a profundidad 30 cm cerca del área de raíces. La FQF fue una solución nutritiva a base de sulfato de zinc (Zn 35.5%), bórax pentahidratado (B 20.5%), sulfato de hierro (Fe 20%), sulfato de manganeso (Mn 27%) y sulfato de cobre pentahidratado (Cu 25%), concentrada a 1 g L-1, respectivamente. La FOF fue con biol “Supermagro”, el cual contenía 0.21% Zn, 0.06% B, 0.02% Cu, 0.02% Fe y 0.0037% Mn, diluido en 33.33 mL L-1. En total, se realizaron cuatro aplicaciones de fertilización química y orgánica al follaje a dosis de 500 mL árbol-1 cada 15 días, empezando en la fase de brotación vegetativa y floral y, se concluyó en la etapa de amarre inicial de fruto; para su aplicación, se usó motobomba SOLO® con capacidad de 12 litros.
Muestreo y Análisis de Suelo y de Hoja
El muestreo de suelo se realizó durante el desarrollo del fruto del ciclo 2018-2019. Se obtuvieron dos muestras compuestas de 10 submuestras recolectadas en zigzag, en la zona de raíces a 30 cm de profundidad. El muestreo de hoja se realizó después de la cosecha del ciclo 2018-2019, antes de la aplicación de los tratamientos de fertilización. En total se obtuvieron seis muestras compuestas por seis árboles (una por grado de síntomas, tres en cada parte del terreno), a 160 cm de altura y distribuida en los cuatro puntos cardinales del árbol. Ambas muestras fueron analizadas en el laboratorio de Fertilab®, en Celaya, Guanajuato, México; en la de suelo se determinó: clase textural, densidad aparente (g cm-3), pH, conductividad eléctrica CE (dS m-1), carbonatos totales (%), capacidad de intercambio catiónico CIC (cmol(+) kg-1), MO (%), contenido de NO3, P, K, Ca, Mg, Fe, Zn, Mn, Cu, B y S en mg kg-1, respectivamente; en la hoja fue N, P, K, Ca, Mg, S, Fe, Zn, Mn, Cu y B en mg kg-1, respectivamente. El diagnóstico de la fertilidad del suelo se realizó con base en la Norma Oficial Mexicana (NOM-021-SEMARNAT-2000, 2002) y el de hoja con los índices DOP.
Interpretación del Análisis Foliar con los Índices DOP
El método de Desviación del Óptimo Porcentual (DOP) se implementó para calcular los índices de cada nutrimento con la siguiente ecuación:
Donde: A = concentración en la muestra (resultado de laboratorio); a = norma DOP (media de niveles críticos de suficiencia). Los índices negativos indican deficiencia, los positivos, exceso y los índices igual a cero indican condición óptima. Con los índices negativos se obtuvieron el Orden de Requerimiento Nutrimental (ORN) y fueron ordenados del más requerido al menos requerido.
Muestreo del Fruto
Se realizó al momento de la cosecha. En total se recolectaron 18 frutos (tres por tratamiento contrastante, nueve en cada parte del terreno).
Variables
Estatus Nutrimental del Árbol
Los resultados del análisis foliar fueron comparados con valores de referencia para el cultivo y el análisis del suelo. Los índices DOP resultantes fueron relacionados con los grados de síntomas asociados a VTC y HLB, mediante líneas de tendencias con r > 0.8, graficadas en el programa de Exel® versión 2016.
Síntomas de Deficiencias Nutrimentales en Hoja
Se determinaron en tres fases durante el ciclo. Fase inicial. Fue después de la cosecha 2019, antes de la primera aplicación de los fertilizantes; se observaron y clasificaron árboles asintomáticos, con síntomas ligeros y avanzados, en ellos se identificaron deficiencias nutrimentales y asociadas al complejo de VTC y HLB. Fase intermedia. Se realizó durante la floración y el amarre de fruto, después de la primera aplicación de los fertilizantes al suelo y las cuatro aplicaciones al follaje, para observar el efecto de la fertilización en la evolución de los síntomas. Fase final. Se realizó en la cosecha 2020, después de las dos aplicaciones de fertilizantes al suelo y las cuatro al follaje, para observar la respuesta de los tratamientos en los síntomas con los que finalizaron los árboles en un ciclo de producción.
Composición Mineral del Fruto.
Se escogieron frutos de los árboles que recibieron FQF + FQS, FQF + FCS y FOF + FOS para determinar el contenido nutrimental. Las muestras se prepararon previamente a partir de la extracción del jugo de los frutos, la materia fresca se guardó en bolsas de papel y se colocaron en estufa de aire forzado a 70 °C durante 48h. El material seco se trituró en molino de acero inoxidable con tamiz de 1 mm. Posteriormente, para el contenido de N, se determinó digestado con H2SO4, titulación con arrastre de vapor y determinado por el método de Kjeldahl. El P, K, Ca y Mg se digestaron con HNO3 + HClO4 relación 2:1 y fueron determinados por colorimetría en el complejo amarillo vanadio molibdato para P, por emisión atómica para K y absorción atómica para Ca y Mg en %. El Zn, Mn, Fe y Cu fueron digestados con HNO3 + HClO4 relación 2:1 y determinados por absorción atómica y el B con azometina H.
Análisis Estadístico
Los datos fueron analizados con el paquete estadístico SAS® versión 9.4. (SAS Institute, 2018) A cada variable se le realizó un ANOVA y comparación de medias con la prueba de Tukey con P ≤ 0.05.
Resultados y Discusión
Estatus Nutrimental del Árbol
En el suelo, los niveles de MO, N, P, K, Ca, Mg, Fe, Zn, Mn y B fueron superiores en la parte baja del terreno con respecto a la parte alta. En la parte baja se encontró el mayor contenido de nutrimentos en las hojas de los árboles, a excepción del K, Zn y B (Cuadro 1), debido a exceso de Ca y la elevada relación de bases intercambiables. En hojas de árboles con síntomas ligeros y avanzados asociados a VTC y HLB (Cuadro 1) se presentó menor contenido de N, Ca, S, Zn y Mn, valores bajos comparado con los estándares normales en hojas de naranjo (N: 26 500, P: 3100, K y Ca: 9500, Mg: 3500, S: 3000, Zn: 87.5, Mn: 125, Fe: 105, Cu: 15.5, B: 115 mg kg-1, respectivamente) (Morgan et al., 2018). El contenido de Zn, Mn, P y Mg también disminuyó en hojas de naranjo con HLB (Ramírez et al., 2016); así como, el de K, Ca, Cu, Fe y B en hojas de limón mexicano (C. aurantifolia) (Manzanilla-Ramírez et al., 2019).
Cuadro 1: Composición mineral en hojas de naranjo ‘Marrs’ / C. volkameriana, con tres grados de síntomas asociados a VTC y HLB, en las partes baja y alta del terreno.
Mineral composition in orange leaves ‘Marrs’ / C. volkameriana, with three degrees of symptoms associated with CTV and HLB, in the lower and upper parts of the terrain. Color of squash fruit peel (Cucurbita pepo L.) var. ‘Grey Zucchini’s.
| Terreno (parte) | Grado de síntomas | Nutrimentos | ||||||||||
| N | P | K | Ca | Mg | S | Fe | Zn | Mn | Cu | B | ||
| - - - - - - - - - - - - - - - - - - - - - - mg kg-1 - - - - - - - - - - - - - - - - - - - - - - | ||||||||||||
| Asintomático | 43 700 | 1500 | 7800 | 51 200 | 1800 | 2800 | 159 | 12.2 | 19.1 | 3.53 | 52.5 | |
| Baja | Ligero | 27 100 | 1600 | 7000 | 42 300 | 1600 | 2500 | 121 | 8.51 | 15.3 | 3.5 | 55.3 |
| Avanzado | 26 600 | 1800 | 9300 | 39 800 | 1800 | 2800 | 155 | 7.09 | 19.5 | 11.6 | 62.3 | |
| Asintomático | 25 500 | 1300 | 16 000 | 45 600 | 1600 | 2900 | 81.9 | 13 | 18.9 | 5.03 | 57.7 | |
| Alta | Ligero | 20 100 | 1200 | 15 100 | 45 500 | 1000 | 2700 | 108 | 13.2 | 16.3 | 5.36 | 61.5 |
| Avanzado | 23 400 | 1300 | 16 700 | 40 500 | 1200 | 2500 | 97.2 | 8.99 | 16.7 | 6.48 | 76.1 | |
Los índices DOP detectaron deficiencias de nutrimentos en las hojas de naranjo, en los tres grados de síntomas asociados a VTC y HLB, en ambas partes del terreno. En los árboles asintomáticos los nutrimentos más limitantes según el ORN, fueron Zn > Mn > Cu > B > P > Mg > K > S en la parte baja y, Zn > Mn > Cu > P > Mg > B > Fe > N > S en la parte alta del terreno. En los árboles con síntomas ligeros y avanzados el ORN fue similar al de los asintomáticos, siendo el Zn, Mn, Cu, P, B y Mg los más requeridos (Cuadro 2). En naranjos ‘Valencia’ aparentemente sanos los índices DOP detectaron por medio del ORN que los nutrimentos más requeridos eran Cu > Mg > Fe > P > K > Ca > B > N > Mn (Ventura-Ulloa et al., 2012); pero, cuando son afectados por la incidencia de HLB, los índices DRIS señalaron que el Mg es el nutrimento más limitante, seguido del Mn y el Zn; el S, B, K y Fe también son deficientes, pero en menor nivel, y los índices en exceso fueron el N, Ca, Cu y P (Schumann et al., 2019). En naranjo ‘Marrs’ se conoce muy poco del estatus nutricional en relación al nivel de afectación de HLB y VTC; sin embargo está demostrado que el rendimiento es menor cuando los sistomas asociados a estos patógenos se agudizan, lo cual está relacionado con el desbalance nutrimental del árbol (Hernández-Morales, García, Cortés, Villegas y Mora, 2023). Esto indica que, en árboles asintomáticos, el contenido de los nutrimentos está por debajo del óptimo, en donde aún no se expresan los síntomas de deficiencia en las hojas, condición conocida como hambre oculta.
Cuadro 2: Índices DOP y ORN en hojas de naranjo ‘Marrs’ / C. volkameriana, con tres grados de síntomas asociados a VTC y HLB, en las partes baja y alta del terreno.
Table 2: DOP Indices and ORN in orange leaves ‘Marrs’ / C. volkameriana, with three degrees of symptoms associated with CTV and HLB, in the lower and upper parts of the terrain.
| Terreno (parte) | GS | Nutrimentos (mg kg-1) | |||||||||||
| N | P | K | Ca | Mg | S | Fe | Zn | Mn | Cu | B | ORDEN | ||
| As | 65 | -52 | -18 | 439 | -49 | -7 | 51 | -86 | -85 | -77 | -45 | Zn>Mn>Cu>B>P>Mg>K>S | |
| Baja | L | 2 | -48 | -26 | 345 | -54 | -17 | 15 | -90 | -88 | -77 | -52 | Zn>Mn>Cu>Mg>B>P>K>S |
| A | 0 | -42 | -2 | 319 | -49 | -7 | 48 | -92 | -84 | -25 | -46 | Zn>Mn>Mg>B>P>Cu>S>K | |
| As | -4 | -58 | 68 | 380 | -54 | -3 | -22 | -85 | -85 | -68 | -50 | Zn>Mn>Cu>P>Mg>B>Fe>N>S | |
| Alta | L | -24 | -61 | 59 | 379 | -71 | -10 | 3 | -85 | -87 | -65 | -47 | Mn>Zn>Mg>Cu>P>B>N>S |
| A | -12 | -58 | 76 | 326 | -66 | -17 | -7 | -90 | -87 | -54 | -34 | Zn>Mn>Mg>P>Cu>B>S>N>Fe | |
GS = grado de síntoma; As = asintomático; L = ligero; Av = avanzado. GS = symptom grade; As = asymptomatic; L = mild; Av = advanced.
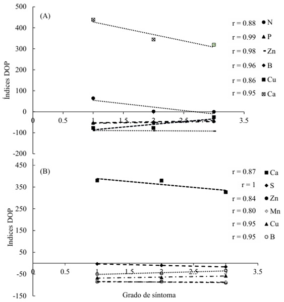
Los índices DOP para N, Ca y Zn en la parte baja y para Ca, S, Zn y Mn en la parte alta del terreno, disminuyeron en los árboles con síntomas ligeros y avanzados asociados a VTC y HLB, con respecto a los árboles asintomáticos (Figura 1 A y B). Esto indica que el N, S, Zn y Mn se alejaron del óptimo porcentual con índices más negativos cuando los síntomas son avanzados. El Ca que tuvo índice positivo (en exceso), también disminuyó conforme avanzaron los síntomas. Los índices para P, K, Mg, Fe, Cu y B no mostraron tendencia decreciente conforme avanzó el grado de sintomatología. Se tiene documentado que los índices para Mg, Mn, Zn y B disminuyen en naranjo ‘Valencia’ afectado por HLB (Schumann et al., 2019), ya que durante la patogénesis del VTC y HLB hacen uso del N y P (Lacroix et al., 2017); además, atrofian los haces vasculares en el huésped (Arce-Leal et al., 2019), lo que genera desbalance nutrimental del árbol (Fu et al., 2017); en consecuencia, el sistema de raíces se debilita (Hamido, Ebel y Morgan, 2019), limitando la absorción de S, Fe y, otros nutrimentos que son preferencialmente suministrados por intercepción de raíces (Alcántar y Trejo-Téllez, 2009). Esto indica que la topografía del terreno influye en la fertilidad del suelo, y, en consecuencia, en el estatus nutrimental de los árboles, el cual disminuye con el avance de los síntomas asociados a VTC y HLB.
Síntomas de Deficiencias Nutrimentales en Hoja
Fase inicial. Después de la cosecha 2019, los árboles presentaron diferentes grados de síntomas, en ambas partes del terreno. Hubo árboles asintomáticos, con dosel vigoroso sin síntomas de deficiencias nutrimentales, no mostraron síntomas comunes por VTC y HLB. Hubo árboles con síntomas ligeros de deficiencia de Zn, Mn, Mg y N, además de nervaduras amarillas y clorosis asimétrica en las hojas del dosel, pero aún con vigor. Otros árboles presentaron síntomas avanzados (deficiencia de nutrimentos, moteado clorótico acentuado, hojas pequeñas, nervaduras amarillas, defoliación y ramas muertas) (Figura 2). Obreza y Morgan (2017a), observaron que la deficiencia de Zn en los cítricos provoca hojas pequeñas, estrechas y alargadas con clorosis que llega hasta el margen de la hoja, la de Mn es similar al Zn, pero la clorosis no llega hasta el margen, y la de N presenta clorosis en hojas maduras, el árbol con escaso vigor y poco follaje. En naranjo ‘Valencia’ con HLB ocurre caída de hojas, estas son corchosas, con nervaduras cloróticas gruesas (Esquivel-Chávez et al. 2012), con VTC se aprecian deficiencias nutrimentales, hojas pequeñas y ramas secas (Müller et al., 2005).
Fase intermedia. Al inicio de la brotación vegetativa y floral, las hojas nuevas de los árboles no presentaron síntomas asociados a VTC y HLB, ni deficiencias nutrimentales en ambas partes del terreno (Figura 3A). Es decir, que la condición inicial de los árboles con síntomas ligeros y avanzados mejoró. Esto indica que la aplicación de los tratamientos de fertilización, en condiciones de humedad residual del ciclo anterior, permitió la absorción y translocación de los nutrimentos para ser usados en la formación de nuevos órganos (Srisvastava, 2012). A partir del amarre del fruto, la condición de los árboles se vió afectada, por una sequía atípica durante la fructificación, lo que provocó estrés hídrico, en estas condiciones es limitada la absorción nutrimental (Srisvastava, 2012). No obstante, los árboles con FQF se mantuvieron asintomáticos; en contraste con FOF, que presentaron carencias de Zn y Mn en el follaje (Figura 3 B y C).
Fase final. En las Figuras 4 y 5, se observan hojas de árboles en diferentes bloques de síntomas asociados a VTC y HLB, confirmados como positivos o negativos a las enfermedades y con diferentes tratamientos de fertilización. Los bloques que iniciaron asintomáticos, terminaron el ciclo con síntomas ligeros de deficiencias de Zn y Mn; además de moteado clorótico asimétrico en la lámina foliar, con nervaduras amarillas y gruesas. Los bloques que inicialmente fueron ligeros y avanzados tuvieron síntomas similares pero más acentuados. Los árboles positivos a VTC presentaron hojas pequeñas y clorosis internerval con recurrencia; los positivos a HLB tuvieron hojas con nervaduras gruesas y amarillas, y moteado clorótico asimétrico en la lámina foliar. Los árboles positivos a VTC y HLB, mostraron un complejo de síntomas por deficiencias nutrimentales, además de los síntomas más frecuentes en los árboles con VTC y HLB descritos líneas arriba. Hubo árboles con prueba negativa a ambas enfermedades, tuvieron hojas verdes y de tamaño normal. Los árboles que recibieron FQF terminaron el ciclo con hojas de tonalidad verde (más intenso) con respecto a los árboles con FOF, en ambas partes del terreno. En naranjos con HLB se presentó moteado clorótico asimétrico en la lámina foliar, abscisión, y deficiencias de Zn y Mn (Esquivel-Chávez et al., 2012; Beozzo, 2016), similar a los síntomas de árboles positivos a HLB en el presente trabajo. El VTC está asociado a deficiencias nutrimentales y hojas pequeñas (Müller et al., 2005), se encontraron los mismos síntomas de los árboles positivos a VTC en esta investigación. La infección simultanea de HLB y VTC ejercen sinergia en el debilitamiento del árbol por la alteración de la translocación de nutrimentos (Fu et al., 2017). La aplicación de NH4NO3, K, Ca y Mg más (NH4)2HPO4 y B al suelo combinado con N, P, K, Ca, microelementos y aminoácidos al follaje retardaron los síntomas HLB en árboles de lima ‘persa’ (C. latifolia) (Hernández et al., 2014). Por otra parte, Beozzo (2016), cita que las aplicaciones de microelementos al follaje de cítricos corrigen la carencia de Zn y Mn en árboles afectados por HLB, pero el moteado en las hojas persiste, similar a lo ocurrido en el presente trabajo.
Contenido Mineral del Fruto
El análisis de varianza detectó diferencias estadísticas significativas (P ≤ 0.05) entre los tratamientos de fertilización en el contenido de N y P en el fruto, en la parte baja del terreno y para Cu en la parte alta del terreno. Los frutos de árboles con FQF + FCS tuvieron contenido de 10 700 mg kg-1 de N, que superó a la FQF + FQS. Los frutos provenientes de FOF + FOS presentaron contenido de P de 2700 mg kg-1, que superó a los otros tratamientos, y la FQF + FQS presentó contenido de Cu de 2.67 mg kg-1, que superó a la FOF + FOS (Cuadro 3).
Cuadro 3: Composición mineral del fruto de naranja ‘Marrs’, cosechados de árboles fertilizados y con síntomas asociados con VTC y HLB en las partes baja y alta del terreno.
Table 3: Mineral composition of the ‘Marrs’ orange fruit, harvested from fertilized trees and with symptoms associated with CTV and HLB in the lower and upper part of the terrain.
| Fuentes de variación | Nutrimentos (mg kg-1) | ||||||||||
| N | P | K | Ca | Mg | Fe | Cu | Zn | Mn | B | ||
| Grado de síntomas | Parte baja del terreno | ||||||||||
| Asintomático | 9500 a† | 1600 a | 6400 a | 12 800 a | 900 ab | 14.67 a | 1.00 a | 4.33 a | 5.66 a | 18.33 a | |
| Ligero | 8300 a | 1400 a | 5700 a | 11 500 a | 700 b | 19.67 a | 1.00 a | 3.66 a | 4.66 a | 16.00 a | |
| Avanzado | 9100 a | 2200 a | 9400 a | 15 300 a | 1300 a | 20.67 a | 2.33 a | 5.00 a | 6.33 a | 16.67 a | |
| Pr > F‡ | 0.4812 | 0.1812 | 0.1410 | 0.6377 | 0.0372 | 0.9607 | 0.2170 | 0.060 | 0.5071 | 0.4328 | |
| Fertilización§ | |||||||||||
| FQF+FQS | 7000 b | 900 b | 7000 a | 11 100 a | 900 a | 37.33 a | 1.00 a | 3.00 a | 5.00 a | 16.33 a | |
| FQF+FCS | 10 700 a | 1600 ab | 6700 a | 11 800 a | 900 a | 17.33 a | 2.00 a | 5.33 a | 5.66 a | 17.66 a | |
| FOF+FOS | 9100 ab | 2700 a | 7800 a | 16 700 a | 1100 a | 0.33 a | 1.33 a | 4.66 a | 6.00 a | 17.00 a | |
| Pr>F | 0.0396 | 0.0260 | 0.7503 | 0.3775 | 0.4839 | 0.3573 | 0.4444 | 0.250 | 0.7575 | 0.7432 | |
| Grado de síntomas | Parte alta del terreno | ||||||||||
| Asintomático | 8700 a | 2700 a | 11 700 a | 12 300 a | 1100 a | 12.33 a | 2.00 ab | 6.70 a | 5.66 a | 20.00 a | |
| Ligero | 8500 a | 2500 a | 10 700 a | 11 200 a | 1000 a | 27.67 a | 2.67 a | 10.70 a | 5.33 a | 17.00 a | |
| Avanzado | 7500 a | 2400 a | 8000 a | 97 00 a | 1100 a | 13.33 a | 1.33 b | 6.70 a | 6.00 a | 16.33 a | |
| Pr > F | 0.2899 | 0.4138 | 0.1125 | 0.7228 | 0.8205 | 0.7033 | 0.0400 | 0.1837 | 0.7901 | 0.1748 | |
| Fertilización | |||||||||||
| FQF+FQS | 8000 a | 2700 a | 9200 a | 11 500 a | 1000 a | 18.00 a | 2.67 a | 9.33 a | 6.60 a | 16.70 a | |
| FQF+FCS | 8000 a | 2300 a | 10 400 a | 11 200 a | 1200 a | 10.00 a | 2.00 ab | 8.33 a | 5.66 a | 19.70 a | |
| FOF+FOS | 8900 a | 2600 a | 11 000 a | 10 500 a | 1000 a | 25.33 a | 1.33 b | 6.33 a | 4.66 a | 17.00 a | |
| Pr > F | 0.3699 | 0.1624 | 0.5121 | 0.9487 | 0.6421 | 0.7512 | 0.0400 | 0.3989 | 0.2215 | 0.2534 | |
† Letras distintas en la misma columna indican diferencias significativas, según la prueba de Tukey (P ≤ 0.05). ‡ Pr > F = nivel de significancia estadística. § FQF = fertilización química foliar; FOF = fertilización orgánica foliar; FQS = fertilización química al suelo; FOS = fertilización orgánica al suelo; FCS = fertilización combinada al suelo.
† Different letters in the same column indicate significant differences, according to the Tukey test (P ≤ 0.05). ‡Pr > F = level of statistical significance. § FQF = foliar Chemical Fertilization; FOF = foliar organic fertilization; FQS = chemical soil fertilization; FOS = organic soil fertilization; FCS = combined soil fertilization.
El grado de síntoma asociado a VTC y HLB afectó el contenido de Mg en la parte baja y el de Cu en la parte alta del terreno. Los frutos de árboles con síntomas avanzados tuvieron 1300 mg kg-1 de Mg y superaron a los frutos de árboles con síntomas ligeros (700 mg kg-1); mientras que, en Cu, los frutos de árboles con síntomas ligeros presentaron 2.67 mg kg-1 y superaron a los frutos de árboles con síntomas avanzados (1.33 mg kg-1). El contenido de K, Ca, Fe, Zn, Mn y B en los frutos no fueron afectados por el grado de síntomas asociados a VTC y HLB, y por los tratamientos de fertilización en ambas partes del terreno (Cuadro 3).
Se tiene documentado que el contenido de N en los frutos de naranja es de 11 000 a 12 500, P de 1000 a 2500, K de 990 a 13 571, Ca de 250 a 5500, Mg de 800 a 2300, Fe de 31.6 a 74.8, Cu de 1.8 a 5.2, Zn de 5 a 12.5, Mn de 5.7 a 13.1 y B de 29 a 36.5 mg kg-1, respectivamente (Xing-Zheng et al., 2019; Czech et al., 2020); sin embargo, durante el desarrollo del fruto estos contenidos pueden variar, por ejemplo, el N, P, Mg, S, Mn y Zn son altos durante el amarre y en la primera caída fisiológica del fruto, y van disminuyendo hasta la maduración. El contenido de K y Fe es alto durante la expansión del fruto, y el Ca en la maduración (Xing-Zheng et al., 2019). La composición mineral también puede diferir por ser especies diferentes, y por otros factores, tales como el manejo de la fertilización, suelo, clima, combinación entre injerto/portainjerto y estado de desarrollo de los árboles (Cao, Cheng, Yang y Wang, 2015).
El contenido de N fue deficiente en los frutos evaluados, lo que puede tener relación con el nivel pobre de NO3 - en el suelo que fue de 3.43 a 14 mg kg-1. Incluso, con la alteración de la síntesis de compuestos orgánicos como nucleótidos, enzimas y proteínas (Obreza, Zekri y Futch, 2017b), además del uso por los virus y bacterias durante la patogénesis (Lacroix et al., 2017). El contenido de P fue inconsistente en las dos áreas del terreno; en la parte baja fue deficiente en el fruto, y en la parte alta en exceso. Esto puede estar relacionado con la fertilidad del suelo en cada área y en la variación del P durante el desarrollo del fruto (Xing-Zheng et al., 2019). Se ha reportado que la incidencia de virus y también Candidatus Liberibacter asiaticus promueven carencias de P (Lacroix et al., 2017; Zhao et al., 2013); sin embargo, en los frutos evaluados no se observó ninguna tendencia similar. El K fue de moderado a deficiente en el fruto, condición que se relaciona con el bajo suministro de K en el suelo, que fue de 152 a 194 mg kg-1. Es importante indicar que la incidencia de HLB debilita el desarrollo de las raíces (Hamido et al., 2019), en consecuencia, la absorción de K se reduce, por ser un elemento que es suministrado principalmente por difusión (Alcántar y Trejo-Téllez, 2009). En Ca, el contenido de 9700 a 15 300 mg kg-1 resultó elevado y supera lo reportado en la literatura (360 a 410 mg kg-1) Moreiras, Carbajal, Cabrera y Cuadrado (2010), fue el elemento más abundante en el fruto, superando al N y K que en general son los de mayor presencia en frutos de naranja (Xing-Zheng et al., 2019). Probablemente el alto contenido de Ca (5256 a 6362 mg kg-1) en el suelo donde están creciendo los árboles, genere efecto antagónico con el N y K (Alcántar y Trejo-Téllez, 2009). El contenido de Mg en los frutos fue moderadamente deficiente y está asociado con el bajo contenido de Mg (110 a 138 mg kg-1) y excesos de Ca en el suelo. El contenido de Cu fue moderado en el fruto y también en el suelo (0.56 a 0.61 mg kg-1), esto indica que la aplicación de los fertilizantes químicos al suelo y al follaje, y la sanidad de los árboles provocan niveles normales de Cu en el fruto. El contenido de Fe, Zn, Mn y B en los frutos se consideraron de moderados a deficientes. Al desarrollarse los frutos sobre un suelo calcáreo, pero, con suministro alto de Fe (6.44 a 23.2 mg kg-1), bajo en Zn (0.15 a 0.72 mg kg-1), moderado en Mn (1.01 a 1.74 mg kg-1) y bajo en B (0.34 a 0.47 mg kg-1), es de esperarse escases de micronutrientes en órganos demandantes (Alcántar y Trejo-Téllez, 2009). Estos elementos también son escasos en las hojas de limón mexicano ‘Colimex’ (C. aurantifolia) afectados por HLB (Manzanilla-Ramírez et al., 2019), similar a lo ocurrido en los frutos de naranja ‘Marrs’ (C. sinensis). Además, se presentó una sequía atípica durante el desarrollo del fruto, misma que causó estrés hídrico persistente. En esta condición se afecta la disponibilidad, absorción y translocación de nutrimentos a los sitios de demanda (Srisvastava, 2012), provocando el bajo contenido del N, K, Mg, Fe, Zn, Mn y B en el fruto.
Conclusiones
Los índices DOP permitieron detectar el estatus nutrimental de los árboles de naranjo ‘Marrs’, en los tres grados de síntomas asociados a VTC y HLB, en ambas partes del terreno. En los árboles asintomáticos los nutrimentos más limitantes según el ORN, fueron Zn > Mn > Cu > B > P > Mg > K > S en la parte baja y, Zn > Mn > Cu > P > Mg > B > Fe > N > S en la parte alta del terreno. En los árboles con síntomas ligeros y avanzados el ORN fue similar al de los asintomáticos, siendo el Zn, Mn, Cu, P, B y Mg los más requeridos, por tanto, esta herramienta es de gran utilidad.
Los tratamientos de fertilización aplicada al suelo y foliar, tuvieron un efecto benéfico en general pero diferenciado en órganos y momentos de evaluación. La fertilización química foliar promovió el desarrollo de brotes vegetativos asintomáticos durante la floración y amarre de fruto; pero, fue afectada por una sequía atípica durante la fructificación, lo que provocó síntomas por deficiencia de Zn y Mn en hojas nuevas, que se combinaron con los síntomas comunes de VTC y HLB.
La fertilización combinada al suelo y quimica foliar, aún en las condiciones restrictivas de humedad generaron al final una remisión de sintomas de deficiencias nutricionales, que se asocian en varios casos a los efectos de las enfermedades de VTC y HLB, presentando hojas con coloración verde normal.
En los frutos el contenido de N fue deficiente, el contenido de P fue inconsistente en la parte baja del terreno fue deficiente y en la parte alta en exceso. El grado de síntoma asociado a VTC y HLB afectó el contenido de Mg en la parte baja y el de Cu en la parte alta del terreno. En general los frutos presentaron composición mineral deficiente con excepción del P, Ca y Cu. Pero aún en condiciones restrictivas de húmedad que afecto significativamente la absorción y traslocación de nutrimentos los frutos alcanzaron su maduréz fisiológica y comercial.
Declaración de Ética
No aplicable.
Consentimiento para Publicación
No aplicable.
Disponibilidad de Datos
No aplicable.
Conflicto de Intereses
Los autores declaran que no tienen intereses en competencia.
Financiación
No aplicable.










nova página do texto(beta)








