Introducción
Desde 2010, instituciones como el Banco Mundial (The World Bank, 2010) han documentado cómo el cambio climático afecta la disponibilidad de agua para la agricultura, destacando la creciente vulnerabilidad del sector. De manera paralela, Gerten y Rost (2010) cuantificaron los impactos económicos de las limitaciones de agua azul y verde en la producción agrícola, subrayando la necesidad de estrategias de manejo hídrico. En este contexto, estudios recientes en regiones vulnerables como la hidrológica Bravo-Conchos en México han evidenciado sequías recurrentes y escasez de agua, comprometiendo la sostenibilidad agrícola (Martínez y Patiño, 2012; CONAGUA, 2012). El impacto económico del estrés hídrico en la agricultura ha sido ampliamente evaluado mediante metodologías que relacionan la disponibilidad de agua con la productividad agrícola. La productividad marginal del agua, por ejemplo, permite cuantificar la disminución de la producción bajo condiciones de estrés hídrico (The World Bank, 2010; Velasco-Muñoz, Aznar, Belmonte y Román, 2019). Además, Renault y Wallender (2000) destacaron enfoques como “cultivo por gota” y “nutrientes por gota”, que resaltan la necesidad de evaluar el valor económico del agua de manera integral.
Velasco-Muñoz et al., (2018), a nivel global, enfatizaron la necesidad de implementar medidas para reducir el déficit hídrico y su impacto económico. Por su parte, Khan et al., (2021) demostraron en Pakistán cómo la escasez de agua azul afecta la productividad agrícola, mientras que en México, Mejía-Saenz et al. (2003) analizaron la transferencia del distrito de riego 011, integrando la productividad marginal del agua y la precipitación efectiva como factores críticos para la sostenibilidad agrícola. Sin embargo, persisten vacíos metodológicos significativos en la evaluación del valor económico del agua en condiciones de estrés hídrico. Zisopoulou y Panagoulia (2021) indicaron que las evaluaciones separadas de la huella hídrica azul y verde, así como la falta de integración económica, limitan la comprensión del impacto del agua en la rentabilidad agrícola. El Banco Mundial (The World Bank, 2010) también identificó la necesidad de enfoques más integrales que consideren el valor económico del agua en escenarios de escasez.
A pesar de los esfuerzos realizados para evaluar los impactos económicos del estrés hídrico en la agricultura bajo riego, los estudios existentes se han centrado principalmente en estimar el valor económico de la producción agrícola, sin considerar el valor real del agua utilizada en el proceso productivo. Esta limitación metodológica ha generado un vacío en la comprensión integral del problema, particularmente en lo que respecta a la cuantificación de los efectos económicos y la eficiencia del uso del agua en sistemas de riego. Para abordar esta brecha, el presente estudio evaluó tres indicadores novedosos: el Valor Económico de la Huella Hídrica (HHvalor), la Eficacia del Suministro del Riego (ESRhh) y el Valor de la Producción Agrícola (Vp), en el escenario ideal o sin estrés hídrico (Línea Base, LB) y otro con estrés hídrico (Condición Real, CR). Estos indicadores permiten una evaluación más precisa y completa del impacto económico del estrés hídrico en la producción agrícola del Módulo III-4 del Distrito de Riego 025, al integrar el valor económico del agua y su relación directa con la productividad agrícola en dos escenarios de análisis: El objetivo general del estudio fue calcular el impacto económico del estrés hídrico en la producción agrícola del Módulo III-4 del Distrito de Riego 025 mediante la evaluación de los indicadores HHvalor, Vp, y ESRhh para dos escenarios: Línea Base (LB, sin estrés hídrico) y Condición Real (CR, con estrés hídrico). Este estudio empírico con estrategia asociativa está diseñado para evaluar la sostenibilidad económica y la eficiencia hídrica de la producción agrícola bajo condiciones de estrés hídrico en el noreste de México.
Materiales y Métodos
Selección de participantes
Los cultivos estudiados fueron maíz amarillo (Zea mays L.), maíz blanco (Zea mays L.), sorgo grano (Sorghum spp.), algodón (Gossypium hirsutum L.), soya frijol (Glycine max L.), y pasto rye grass (Lolium multiflorum L.), establecidos cíclicamente en el Módulo III-4 del ciclo 2002-2003 al 2019-2020.
Diseño y tipo de investigación
La investigación fue no experimental, de tipo empírica con estrategia asociativa, enfocada en evaluar los impactos económicos del estrés hídrico en el Módulo III-4.
Técnicas de recolección de datos
Se emplearon observación directa, entrevistas a personal del módulo, análisis de datos secundarios (hidrométricos, agrícolas y meteorológicos), y análisis geoespacial en QGIS (QGIS.org, 2021) para mapear la producción e infraestructura.
Instrumentos de medición
Se utilizaron equipos de estaciones meteorológicas convencionales y automatizadas, además de molinetes para medir caudales en canales de riego. Las mediciones siguieron escalas métricas.
Procedimientos (escenarios y fases)
El estudio se dividió en fases de campo (recorridos, entrevistas y recopilación de información en sitio) y de gabinete (análisis de datos secundarios, definición de escenarios LB y CR, y deducción de indicadores).
Análisis estadísticos
Se realizaron análisis descriptivos, ANOVA, correlación de Pearson y regresión lineal para evaluar diferencias entre escenarios y la relación de los indicadores HHvalor, Vp y ESRhh con la eficiencia del agua y la producción. El análisis se llevó a cabo en Microsoft Excel®.
Descripción del área de estudio
El Distrito de Riego 025 Bajo Río Bravo (DR-025) se encuentra en Tamaulipas, noreste de México, abarcando alrededor de 200 000 ha en los municipios de Matamoros, Valle Hermoso, Río Bravo y Reynosa y su infraestructura se organiza en cuatro unidades de riego, subdivididas en nueve módulos (SEGOB, 2016) (Figura 1a). El Módulo III-4 “Hidráulica Los Ángeles, A.C.” es el área de estudio, ubicado al oeste del DR-025, abarcando 22 833.44 ha y operando con 10 secciones de riego (Figura 1b). La red incluye 47 canales (156.67 km) y 193 drenes (315.79 km) (ANUR, 2020). El agua proviene de la presa internacional “La Amistad” y se distribuye a través de la presa Falcón y el canal Anzalduas, operado por la CONAGUA. El Módulo pertenece a la región hidrológica Bravo Conchos y utiliza tanto aguas superficiales como del acuífero Río Bravo (CONAGUA, 2024) (Figura 2 a y 2b).
Diagrama de flujo de la investigación
El estudio se llevó a cabo en dos etapas: campo y gabinete. La fase de campo incluyó recorridos, entrevistas y recopilación de datos. La fase de gabinete abarcó la recopilación de fuentes secundarias, procesamiento de datos, diseño de escenarios de riego (Línea Base y Condición Real), análisis de indicadores económicos y elaboración del manuscrito. Las Figuras 3a y 3b ilustran las fases y su interrelación.
Descripción biofísica del módulo III-4
Los suelos del Módulo III-4, clasificados bajo la WRB 2014, comprenden siete tipos principales, siendo el Chernozem vértico sódico + Vertisol pélico cálcico + Chernozem lúvico cálcico el más predominante, cubriendo el 53.68% del área (INEGI, 2014a). Los suelos dominantes incluyen texturas arcillosas y francas. Los Vertisoles presentan alta retención de agua y expansión por arcillas, mientras que los Chernozem destacan por su fertilidad y materia orgánica, aunque algunos tienen problemas de salinidad o sodicidad (INEGI, 2014b) (Figura 4a).
El Módulo III-4 tiene dos climas: templado semicálido subhúmedo y seco cálido semiseco, con lluvias de verano y menos del 5% de lluvia invernal. La temperatura media anual es de 22.7 °C, con una máxima de 28.7 °C, mientras que la precipitación anual promedio es de 682.69 mm y la evapotranspiración promedio anual es de 1844 mm (INEGI, 2014c; Vargas, Hernández, Gutiérrez, Plácido y Jiménez, 2007; CONAGUA, 2012).
Principales cultivos
Los cultivos predominantes son sorgo grano (11 765.38 ha), maíz amarillo (5 462.53 ha) y algodón (1 259.25 ha), ocupando el sorgo la mayor superficie del módulo (Asociación de Usuarios Hidráulica Los Ángeles A. C., 20201).
Diagrama ombrotérmico
El diagrama muestra un periodo seco prolongado, donde la precipitación es menor a dos veces la temperatura media durante todo el año, excepto en septiembre. Esto evidencia el déficit hídrico estacional en la región (Bagnouls y Gaussen, 1957), Figura 4b.
Diagrama general de trabajo del módulo
El módulo de riego está dirigido por el Consejo Directivo y el Consejo de Vigilancia, ambos elegidos por los productores. La gestión operativa recae en el Gerente Técnico, quien desarrolla y supervisa los programas de riego, conservación y recaudación. El subgerente de operación se encarga de ejecutar el plan de riego, coordinar las brigadas de aforo y llevar el control estadístico de la producción. El subgerente de conservación lidera el mantenimiento de la infraestructura hidroagrícola, mientras que el Subgerente de Administración gestiona la recaudación de cuotas y finanzas del módulo (elaboración propia con base en entrevistas técnicas), Figura 5a.
Localización de las estaciones meteorológicas
Se recopilaron datos de tres estaciones meteorológicas para el área de estudio. La estación S.J. 3-47 Río Bravo (1951-2010), la Simulación SWAT (1979-2014), y la Estación Automatizada del Módulo III-4 (2016-2020) aportaron datos climáticos diarios, mensuales y anuales. La ubicación de estas estaciones se muestra en la Figura 5b (SMN, 2020).
Ciclos y subciclos de producción agrícola
Se recopilaron y analizaron estadísticas de producción del módulo de riego para ocho ciclos agrícolas (2012-2013 a 2019-2020) y las hidrométricas para 18 ciclos agrícolas (2002-2003 a 2019-2020), con datos organizados en los formatos EAS de la CONAGUA. La información incluye cultivos, superficie sembrada y cosechada, volúmenes, rendimientos, producción, precios y valor de la producción (Asociación de Usuarios Hidráulica Los Ángeles A. C., 20201). Los rendimientos óptimos se obtuvieron de los paquetes tecnológicos del Centro de Investigación Regional del Noreste, Campo Experimental Río Bravo (INIFAP, 2023).
Métodos para calcular la evapotranspiración del cultivo de referencia (ETo)
La ETo se calcula utilizando varios métodos: FAO Penman-Monteith recomendado por la FAO, es el método más preciso y ampliamente utilizado. Este fue el método empleado para la ETo del sitio de estudio (Allen, Pereira, y Raes, 2006). Hargreaves-Samani: Se utiliza cuando no se dispone de datos completos, basándose principalmente en la temperatura y radiación solar. Es una opción más simple, adecuada para climas áridos o semiáridos (Hargreaves y Samani, 1985). Blaney-Criddle: Un método empírico, adecuado cuando solo se cuenta con datos de temperatura y duración del día. Es menos preciso, pero útil en climas más estables y con datos limitados (Blaney y Criddle, 1952). Para el Módulo III-4, se utilizó el método FAO Penman-Monteith, empleando datos de tres estaciones meteorológicas: una base generada con el modelo SWAT, la estación del SMN de la CONAGUA y la estación automatizada del Módulo III-4.
Métodos para calcular la precipitación efectiva (Pe)
La precipitación efectiva se puede estimar mediante varios métodos, adaptados a diferentes climas y cultivos; dentro de los más importantes se tienen los siguientes: FAO (CropWat): Calcula la precipitación efectiva considerando la precipitación total y el uso consuntivo de los cultivos, junto con la eficiencia del riego (Allen et al., 2006). USDA (SCS): Basado en relaciones empíricas, es ampliamente utilizado en zonas agrícolas por su adaptabilidad a diversos climas y tipos de cultivos (USDA, 1970). Blaney-Criddle: Más simple y menos preciso, se usa donde solo se dispone de datos de temperatura y precipitación (Blaney y Criddle, 1952). En el Módulo III-4, la precipitación efectiva se calculó con el software CropWat 8.0 de la FAO, utilizando el método SCS del USDA, por su confiabilidad en áreas agrícolas bajo riego (FAO, 2009).
Huella hídrica de los cultivos
La Huella Hídrica (HH) es un indicador multidimensional que mide el volumen de agua dulce consumida y contaminada por actividades humanas, mostrando su impacto sobre los recursos hídricos (Chapagain y Hoekstra, 2004). La HH se clasifica en tres categorías, a saber: HHVerde: Agua de lluvia almacenada en el suelo y utilizada por las plantas. HHAzul: Agua superficial y subterránea consumida por las plantas y HHGris: Volumen de agua necesario para diluir contaminantes según normas de calidad (Mekonnen y Hoekstra, 2011). La Huella Hídrica Total (HHTotal) se calculó como el cociente entre el uso de agua por el cultivo y su rendimiento, siguiendo las ecuaciones propuestas por Hoekstra, Chapagain, Aldaya y Mekonnen (2009). De manera similar, se estimaron la HHVerde y la HHAzul.
Productividad del agua por los cultivos
La productividad del agua (Pa) se calculó como el cociente entre el valor de la producción agrícola y el volumen neto de agua utilizado, tal como indica la Ecuación 1:
Donde: Pa es la productividad del agua por el cultivo, $ m-3, VP es el valor de la producción agrícola del cultivo, $, VolN es el volumen neto de agua aplicado al cultivo, m3.
Valor económico de la huella hídrica (HHvalor)
El HHvalor se calcula como el producto de la productividad del agua y la huella hídrica total, expresando el valor económico de la HH en función de la producción (Ecuación 2):
Donde: HHValor es el Valor Económico de la Huella Hídrica del cultivo, $ Mg-¹, Pa es la productividad del agua por cultivo, $ m-³, HHTotal es la huella hídrica total del cultivo, m³ Mg-¹.
Este indicador se aplicó a cada cultivo para los escenarios de Línea Base (LB) y Condición Real (CR), permitiendo evaluar el impacto económico del estrés hídrico.
Valor de la producción agrícola (Vp)
El Vp se calcula mediante el producto del precio medio rural y la producción agrícola, tal como indica la Ecuación 3:
Donde: VP es el Valor de la Producción Agrícola del cultivo, $, PMR es el precio medio rural del producto agrícola para un año base, $ Mg-¹, P es la producción del cultivo, en toneladas.
Eficacia del suministro del riego (ESRhh)
La ESRhh se calcula como la relación entre la suma de la huella hídrica verde y azul en Condición Real (CR) y la huella hídrica total en Línea Base (LB), multiplicada por 100 (Ecuación 4):
Donde: ESRhh es la Eficacia del Suministro del Riego en función de la huella hídrica de los cultivos, %, HHVerdeCR es la huella hídrica verde del cultivo en la Condición Real, m³ Mg-¹, HHAzulCR es la huella hídrica azul del cultivo en la Condición Real, m³ Mg-¹, HHTotalLB es la huella hídrica total del cultivo para la Línea Base, m³ Mg-¹.
Posteriormente, se calculó el valor de la producción agrícola (VPESR) utilizando la Ecuación 5, que ajusta y relaciona el valor de la producción agrícola del cultivo y la ESRHH.
Donde: VPESR es el valor de la producción agrícola del cultivo calculado en función de la Eficacia del Suministro del Riego, $, Vp es el valor de la producción agrícola del cultivo, $, ESRhh es la Eficacia del Suministro del Riego en función de la huella hídrica de los cultivos, %.
Escenarios de manejo de los cultivos (LB y CR)
Se plantearon dos escenarios de manejo de cultivos: Línea Base (LB): Representa un suministro ideal de agua; Condición Real (CR): Refleja el suministro real, considerando la disponibilidad y eficiencia del agua. Se utilizaron las ecuaciones de HHvalor, Vp y ESRhh para ambos escenarios, evaluando el impacto económico del estrés hídrico en la producción agrícola del Módulo III-4. La información climática para el LB se obtuvo con el generador climático del modelo SWAT (1979-2014), mientras que para el CR se usaron datos históricos del módulo (2016-2020).
No se utilizaron los datos meteorológicos de las estaciones automáticas de otros proveedores como Davis Instruments (Plataforma WeatherLinks), porque no tiene instalada ninguna estación agroclimática en la zona del Distrito de Riego 025 B.R.B; el Módulo III-4 si tiene una estación agroclimática instalada en sus lotes, pero su record histórico es muy reciente (2016-2020); la estación 28104, localizada en la Ciudad de Río Bravo, Tamaulipas, operada por el SMN dejó de operar en el año 2010; estas estaciones solo se utilizaron para comparar estadísticamente los datos que simuló el SWAT para el módulo de riego.
Resultados y Discusión
Estadísticas agrícolas del módulo III-4
El objetivo específico para este apartado fue calcular las estadísticas agrícolas del Módulo III-4, mediane el análisis y procesamiento de la información reportada en los formularios de Estadísticas Agrícolas (EAS), diseñados y normado por la Comisión Nacional del Agua (CONAGUA), para cada ciclo agrícola.
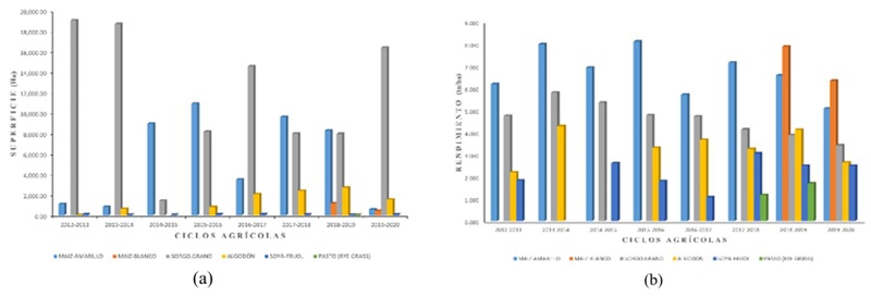
Superficies. El análisis de la superficie sembrada durante ocho ciclos agrícolas, utilizando una prueba ANOVA de una vía, arrojó un valor F de 11.35, superior al valor crítico de 2.71 para un nivel de significancia del 5%. Las estadísticas descriptivas indicaron que el sorgo grano presentó la mayor media de superficie sembrada (11 765.38 ha), seguido por el maíz amarillo (5 462.53 ha), mientras que la soya frijol mostró la media más baja (58.93 ha). Estos resultados reflejan una marcada variabilidad en la ocupación de la superficie agrícola dentro del módulo. Cuadro 1 y Figura 6a.
Table 1: Cultivated areas by crop in Module III-4 (ha).
| Ciclo agrícola | Maíz-Amarillo | Maíz-Blanco | Sorgo-Grano | Algodón | Soya-Frijol | Rye-Gras | Total |
| 2012-2013 | 1 097.76 | 19 033.00 | 10.00 | 85.50 | 20 226.26 | ||
| 2013-2014 | 824.87 | 18 685.48 | 609.80 | 19.50 | 20 139.65 | ||
| 2014-2015 | 8 934.60 | 1 420.87 | 51.00 | 10 406.47 | |||
| 2015-2016 | 10 908.62 | 8 148.97 | 793.55 | 77.00 | 19 928.14 | ||
| 2016-2017 | 3 486.78 | 14 547.00 | 2 065.22 | 88.50 | 20 187.50 | ||
| 2017-2018 | 9 612.52 | 7 991.85 | 2 372.50 | 65.00 | 20 041.87 | ||
| 2018-2019 | 8 260.70 | 1 163.66 | 7 945.39 | 2 693.35 | 20.00 | 5.00 | 20 088.10 |
| 2019-2020 | 574.39 | 422.26 | 16 350.48 | 1 529.59 | 64.90 | 18 941.62 | |
| Media | 5 462.53 | 792.96 | 11 765.38 | 1 439.14 | 58.93 | 5.00 | 18 744.95 |
| Desv. Est. | 4 393.57 | 524.25 | 6 306.30 | 999.28 | 27.03 | 3 394.86 | |
| Coef. Var. | 0.80 | 0.66 | 0.54 | 0.69 | 0.46 | 0.18 |
Rendimientos. Se evaluaron los rendimientos promedio de los cultivos en el Módulo III-4 durante ocho ciclos agrícolas mediante una prueba ANOVA de una vía. Las hipótesis establecidas fueron: Hipótesis Nula (H0): Los rendimientos promedio son iguales. Hipótesis Alternativa (H1): Los rendimientos promedio son diferentes. El valor F calculado (11.02) superó el valor crítico (2.49) al 5% de significancia, lo que llevó a rechazar la hipótesis nula y aceptar la hipótesis alternativa, confirmando diferencias significativas en los rendimientos entre cultivos.
Las estadísticas descriptivas mostraron que el maíz blanco tuvo el rendimiento promedio más alto (7.115 Mg ha-1), seguido por el maíz amarillo (6.719 Mg ha-1) y el sorgo grano (4.610 Mg ha-1). En contraste, la soya frijol registró el rendimiento más bajo (2.200 Mg ha-1), reflejando la variabilidad en la respuesta de los cultivos, influenciada por la disponibilidad de agua, manejo del riego y condiciones climáticas. Cuadro 2 y Figura 6b.
Table 2: Average yields of crops in Module III-4 (Mg ha-1).
| Ciclo agrícola | Maíz-Amarillo | Maíz-Blanco | Sorgo-Grano | Algodón | Soya-Frijol | Rye-Gras |
| 2012-2013 | 6.188 | 4.754 | 2.200 | 1.839 | ||
| 2013-2014 | 7.992 | 5.810 | 4.289 | |||
| 2014-2015 | 6.933 | 5.353 | 2.618 | |||
| 2015-2016 | 8.110 | 4.780 | 3.310 | 1.800 | ||
| 2016-2017 | 5.710 | 4.730 | 3.670 | 1.080 | ||
| 2017-2018 | 7.160 | 4.140 | 3.260 | 3.060 | 1.180 | |
| 2018-2019 | 6.580 | 7.890 | 3.890 | 4.130 | 2.500 | 1.700 |
| 2019-2020 | 5.080 | 6.340 | 3.420 | 2.650 | 2.500 | |
| Media | 6.719 | 7.115 | 4.610 | 3.358 | 2.200 | 1.440 |
| Desv. Estandar | 1.06 | 1.10 | 0.78 | 0.75 | 0.66 | 0.37 |
| Coef. Var. | 0.16 | 0.15 | 0.17 | 0.22 | 0.30 | 0.26 |
Los rendimientos promedios de los cultivos básicos en Tamaulipas son: maíz (4.39 Mg ha-1), sorgo (2.39 Mg ha-1), y soya (0.71 Mg ha-1) reportados por el SIAP, los cuales incluyen el riego y temporal, donde la falta de riego limita la producción. En contraste, el Módulo III-4, bajo riego complementario, logra rendimientos significativamente más altos, reflejando la efectividad de la irrigación para mejorar la productividad en la región (SIAP, 2020).
Volúmenes netos. Se analizó la aplicación de volúmenes netos de agua a los cultivos en el Módulo III-4 durante ocho ciclos agrícolas mediante una prueba ANOVA de una vía. Las hipótesis establecidas fueron: Hipótesis Nula (H0). Los volúmenes netos aplicados son iguales. Hipótesis Alternativa (H1): Los volúmenes netos aplicados son diferentes.
El valor F calculado (11.46) fue superior al valor crítico (2.49) al 5% de significancia, lo que llevó a rechazar la hipótesis nula y aceptar la hipótesis alternativa, indicando diferencias significativas en los volúmenes de agua aplicados entre los cultivos.
Las estadísticas descriptivas indicaron que el maíz blanco tuvo el mayor volumen promedio aplicado (2 680.14 m³ ha-1), seguido por el maíz amarillo (2 442.18 m³ ha-1) y la soya frijol (2 431.63 m³ ha-1). Por otro lado, el sorgo grano presentó el menor volumen promedio aplicado (1 757.94 m³ ha-1). Esta variabilidad refleja diferencias en las necesidades hídricas de cada cultivo y en las estrategias de manejo del riego en el módulo. Cuadro 3; Figura 7a.
Table 3: Net volumes applied to crops in Module III-4 (m3 ha-1).
| Ciclo agrícola | Maíz-Amarillo | Maíz-Blanco | Sorgo-Grano | Algodón | Soya-Frijol | Rye-Gras |
| 2012-2013 | 2 069.690 | 1 725.480 | 2 401.750 | 1 242.370 | ||
| 2013-2014 | 2 468.140 | 1 558.550 | 2 374.890 | |||
| 2014-2015 | 1 313.130 | 1 246.080 | 1 242.390 | |||
| 2015-2016 | 2 203.990 | 1 309.470 | 893.200 | 1 171.860 | ||
| 2016-2017 | 3 630.100 | 2 755.900 | 3 524.970 | 3 085.920 | ||
| 2017-2018 | 2 692.700 | 1 986.290 | 3 444.360 | 4 064.150 | 1 391.000 | |
| 2018-2019 | 2 886.000 | 2 886.000 | 2 101.470 | 3 142.830 | 3 684.850 | 6 347.900 |
| 2019-2020 | 2 273.720 | 2 474.280 | 1 380.250 | 992.980 | 2 529.890 | |
| Media | 2 442.184 | 2 680.140 | 1 757.936 | 2 396.426 | 2 431.633 | 3 869.450 |
| Desv. Estandar | 672.970 | 291.130 | 508.870 | 1 092.300 | 1 230.790 | 3 505.060 |
| Coef. Var. | 0.280 | 0.110 | 0.290 | 0.460 | 0.510 | 0.910 |
Volúmenes brutos. Se evaluaron los volúmenes brutos de agua aplicados a los cultivos en el Módulo III-4 durante ocho ciclos agrícolas mediante una prueba ANOVA de una vía. Las hipótesis establecidas fueron: Hipótesis Nula (H0): Los volúmenes brutos aplicados son iguales. Hipótesis Alternativa (H1): Los volúmenes brutos aplicados son diferentes.
El valor F calculado (11.47) superó el valor crítico (2.49) al 5% de significancia, lo que llevó a rechazar la hipótesis nula y aceptar la hipótesis alternativa, indicando diferencias significativas en los volúmenes brutos aplicados entre los cultivos.
Las estadísticas descriptivas mostraron que el maíz blanco tuvo el mayor volumen bruto promedio aplicado (4 123.29 m³ ha-1), seguido por el maíz amarillo (3 757.21 m³ ha-1) y la soya frijol (3 740.97 m³ ha-1). Por otro lado, el sorgo grano presentó el menor volumen bruto promedio aplicado (2 704.52 m³ ha-1). Esta variabilidad refleja diferencias en las necesidades hídricas específicas de cada cultivo y en las estrategias de manejo del riego en el módulo. Cuadro 4 y Figura 7B.
Table 4: Gross volumes applied to crops in Module III-4 (m3 ha-1).
| Ciclo agrícola | Maíz-Amarillo | Maíz-Blanco | Sorgo-Grano | Algodón | Soya-Frijol | Rye-Gras |
| 2012-2013 | 3 184.138 | 2 654.585 | 3 695.000 | 1 911.338 | 0.000 | |
| 2013-2014 | 3 797.138 | 2 397.769 | 3 653.677 | 0.000 | 0.000 | |
| 2014-2015 | 2 020.200 | 1 917.046 | 0.000 | 1 911.369 | 0.000 | |
| 2015-2016 | 3 390.754 | 2 014.569 | 1 374.154 | 1 802.862 | 0.000 | |
| 2016-2017 | 5 584.769 | 4 239.846 | 5 423.031 | 4 747.569 | 0.000 | |
| 2017-2018 | 4 142.615 | 3 055.831 | 5 299.015 | 6 252.538 | 2 140.000 | |
| 2018-2019 | 4 440.000 | 4 440.000 | 3 233.031 | 4 835.123 | 5 669.000 | 9 766.000 |
| 2019-2020 | 3 498.031 | 3 806.585 | 2 123.462 | 1 527.662 | 3 892.138 | 0.000 |
| Media | 3 757.206 | 4 123.292 | 2 704.517 | 3 686.809 | 3 740.974 | 5 953.000 |
| Desv. Est. | 1 035.332 | 447.892 | 782.882 | 1 680.464 | 1 893.525 | 5 392.396 |
| Coef. Var. | 0.276 | 0.109 | 0.289 | 0.456 | 0.506 | 0.906 |
Los resultados sobre las diferencias significativas en superficies sembradas, rendimientos y volúmenes netos y brutos aplicados en el Módulo III-4 resaltan la necesidad de ajustar la gestión agrícola y de riego según la demanda hídrica de cada cultivo. Aunque hay variabilidad en estos factores, la superficie sembrada promedio se mantiene en 20 000 ha, lo que limita la efectividad de cualquier ajuste. Para mejorar la gestión hídrica, se recomienda una redistribución estratégica del agua, priorizando cultivos más rentables y con menor demanda de agua en condiciones de escasez. Los planes de riego deben adaptarse por ciclo, considerando tanto la demanda hídrica como el rendimiento, y ajustando la superficie sembrada al agua disponible, lo que optimizaría el uso del recurso y mitigaría el impacto económico del estrés hídrico.
Estadísticas hidrométricas del módulo III-4
El objetivo de este apartado es calcular las estadísticas hidrométricas del Módulo III-4 mediante el análisis y procesamiento de la información reportada en los formularios de Estadísticas Agrícolas (EAS), también normadas por la CONAGUA, para cada ciclo y subciclo agrícola.
Volúmenes netos y brutos. Se utilizó una prueba ANOVA para evaluar los volúmenes netos y brutos utilizados y requeridos. El análisis de volúmenes netos mostró un valor F de 609.67 (mayor que el crítico de 3.18), indicando diferencias significativas entre los volúmenes netos requeridos (134 225.73 miles de m³) y utilizados (43 777.01 miles de m³).
De igual forma, el análisis de volúmenes brutos arrojó un valor F de 703.57, confirmando una discrepancia significativa entre el volumen bruto requerido (206 501.13 miles de m³) y el utilizado (68 197.14 miles de m³). Esto revela una insuficiencia de agua para cubrir la demanda hídrica del módulo. Se sugiere diseñar planes de riego diferenciados, priorizando cultivos de menor demanda hídrica y ajustando la superficie sembrada a la disponibilidad real de agua, lo que mejoraría la sostenibilidad y reduciría los impactos económicos del estrés hídrico en el módulo. Cuadro 5.
Table 5: Average annual water availability for irrigation in Module III-4 (Thousands of m3).
| Ciclo agrícola | Sup. Semb. | VNU | VBU | VNR | VBR |
| 2002-2003 | 20 647.690 | 21 056.200 | 38 284.750 | 127 336.550 | 195 902.390 |
| 2003-2004 | 20 647.690 | 9 702.330 | 20 548.000 | 129 839.550 | 199 753.160 |
| 2004-2005 | 20 720.950 | 58 162.400 | 89 480.580 | 136 295.350 | 209 685.150 |
| 2005-2006 | 20 720.950 | 51 647.460 | 81 980.090 | 134 705.570 | 207 239.350 |
| 2006-2007 | 20 646.240 | 45 607.800 | 70 165.920 | 133 151.200 | 204 847.990 |
| 2007-2008 | 20 646.240 | 71 409.900 | 102 014.100 | 130 457.740 | 200 704.220 |
| 2008-2009 | 20 708.540 | 54 440.270 | 86 413.130 | 129 444.460 | 199 145.330 |
| 2009-2010 | 20 744.260 | 28 334.470 | 50 597.280 | 134 900.620 | 207 539.410 |
| 2010-2011 | 20 755.000 | 77 600.750 | 117 576.900 | 133 584.430 | 205 514.510 |
| 2011-2012 | 20 654.390 | 65 454.400 | 97 693.200 | 132 064.370 | 203 175.950 |
| 2012-2013 | 20 733.640 | 37 101.400 | 55 375.200 | 128 261.330 | 197 325.130 |
| 2013-2014 | 20 750.080 | 33 447.440 | 50 200.200 | 130 052.880 | 200 081.360 |
| 2014-2015 | 20 771.250 | 12 074.860 | 20 871.000 | 138 428.950 | 212 967.610 |
| 2015-2016 | 20 790.650 | 34 986.910 | 54 631.810 | 140 045.870 | 215 455.190 |
| 2016-2017 | 20 790.650 | 61 571.140 | 92 769.870 | 137 381.760 | 211 356.550 |
| 2017-2018 | 20 790.650 | 48 152.720 | 77 265.700 | 143 860.120 | 221 323.260 |
| 2018-2019 | 20 790.650 | 51 125.390 | 80 716.680 | 144 726.950 | 222 656.840 |
| 2019-2020 | 20 481.380 | 26 110.380 | 40 964.040 | 131 525.480 | 202 346.900 |
| Media | 20 710.610 | 43 777.010 | 68 197.140 | 134 225.730 | 206 501.130 |
| Desv. Est. | 79.200 | 19 725.630 | 28 077.700 | 5 086.550 | 7 825.460 |
| Coef. Var. | 0.000 | 0.450 | 0.410 | 0.040 | 0.040 |
Sup. Semb. = superficie sembrada; VNU = volumen neto utilizado; VBU = volumen bruto utilizado; VNR = volumen neto requerido; VBR = volumen bruto requerido.
Sup. Semb. = cultivated area; VNU = net volume used; VBU = gross volume used; VNR = net volume required; VBR = gross volume required.
Valor económico de la huella hídrica (HHvalor)
El objetivo de esta sección fue evaluar el impacto económico del estrés hídrico sobre la producción agrícola del Módulo III-4 mediante el HHvalor, calculado para la Línea Base (LB) y la Condición Real (CR). En la LB, el HHvalor es de $ 1 578 368 023.84 (Cuadro 6), mientras que en la CR desciende a $ 780 257 376.20 (Cuadro 7), reflejando una reducción del 50.57% debido a la menor disponibilidad de agua y la reducción de rendimientos. La prueba ANOVA de una vía mostró un valor F calculado de 2.75, mientras que el valor crítico de F al 5% de significancia fue de 3.68, lo que indica que no hay diferencias estadísticamente significativas entre ambos escenarios. Sin embargo, el análisis sí evidencia una disminución considerable en el valor económico total de la huella hídrica en la CR. El análisis sugiere que la rentabilidad se ve afectada por el estrés hídrico, y para mejorar la eficiencia del agua, se recomienda priorizar cultivos con mayor valor económico por unidad de agua en escenarios de escasez.
Table 6: Economic impact of water stress calculated using the HHvalor indicator for LB.
| Cultivo | Sup. Semb. | Y | HHT | Pa | HHValor | HHValorHa | HHValorModulo |
| ha | Mg ha-1 | m3 Mg-1 | $ m-3 | $ Mg-1 | $ ha-1 | $ | |
| Maíz amarillo | 5 000.00 | 8.00 | 1 186.36 | 7.67 | 9 099.38 | 72 795.05 | 363 975 248.00 |
| Maíz blanco | 200.00 | 8.00 | 1 217.06 | 8.94 | 10 880.52 | 87 044.13 | 17 408 826.24 |
| Sorgo | 12 000.00 | 6.00 | 1 317.80 | 7.79 | 10 265.66 | 61 593.97 | 739 127 664.00 |
| Algodón | 1 260.00 | 5.00 | 2 430.80 | 29.67 | 72 121.84 | 360 609.18 | 454 367 566.80 |
| Soya | 60.00 | 2.50 | 3 309.04 | 7.02 | 23 229.46 | 58 073.65 | 3 484 419.12 |
| Rye-grass | 1.00 | 2.00 | 3 643.80 | 0.59 | 2 149.84 | 4 299.68 | 4 299.68 |
| Total | 18 521.00 | 13 104.86 | 127 746.70 | 644 415.67 | 1 578 368 023.84 | ||
| Media | 3 086.83 | 5.25 | 2 184.14 | 10.28 | 21 291.12 | 107 402.61 | 263 061 337.31 |
| Desv. Est. | 4 763.61 | 2.60 | 1 107.99 | 9.95 | 25 816.61 | 127 190.97 | 306 706 757.64 |
| Coef. Var. | 1.54 | 0.50 | 0.51 | 0.97 | 1.21 | 1.18 | 1.17 |
Sup. Semb = Superficie sembrada; Y= rendimiento del cultivo; HHT = es la huella hídrica total del cultivo; Pa = es la productividad del agua por cultivo; HHValor = es el valor económico de la huella hídrica total del cultivo; HHValorHa = es el valor económico de la huella hídrica total del cultivo por hectárea; HHValorModulo = es el valor total de la huella hídrica del total de la superficie sembrada del cultivo en el módulo de riego.
Sup. Semb = cultivated area; Y = crop yield; HHT = total water footprint of the crop; Pa = water productivity per crop; HHValor = economic value of the total water footprint of the crop; HHValorHa = economic value of the total water footprint of the crop per hectare; HHValorModulo = total economic value of the water footprint for the entire cultivated area of the crop in the irrigation module.
Table 7: Economic impact of water stress calculated using the HHvalor indicator for RC.
| Cultivo | Sup. Semb. | Y | HHT | Pa | HHValor | HHValor | HHValorModulo |
| ha | Mg ha-1 | m3 Mg-1 | $ m-3 | $ Mg-1 | $ ha-1 | $ | |
| Maíz amarillo | 5 462.53 | 6.72 | 729.18 | 7.67 | 5 592.82 | 37 583.77 | 205 302 454.75 |
| Maíz blanco | 792.96 | 7.12 | 766.59 | 8.94 | 6 853.29 | 48 795.41 | 38 692 811.49 |
| Sorgo | 11 765.38 | 4.71 | 789.15 | 7.79 | 6 147.48 | 28 954.65 | 340 662 471.78 |
| Algodón | 1 259.25 | 3.36 | 1 543.57 | 29.67 | 45 797.76 | 153 880.49 | 193 774 004.51 |
| Soya | 58.93 | 2.20 | 1 995.73 | 7.02 | 14 010.01 | 30 822.01 | 1 816 341.17 |
| Rye-grass | 5.00 | 1.40 | 2 250.00 | 0.59 | 1 327.50 | 1 858.50 | 9 292.50 |
| Total | 19 344.05 | 8 074.22 | 13 288.14 | 780 257 376.20 | |||
| Media | 3 224.01 | 4.25 | 1 345.70 | 10.28 | 6 500.39 | 50 315.81 | 130 042 896.03 |
| Desv. Est. | 4 650.08 | 2.35 | 678.92 | 9.95 | 1.24 | 53 055.59 | 138 406 565.18 |
| Coef. Var. | 1.44 | 0.55 | 0.50 | 0.97 | 1.05 | 1.06 |
Valor de la producción agrícola (Vp)
El objetivo de esta sección es evaluar el impacto económico del estrés hídrico sobre la producción agrícola del Módulo III-4 utilizando el Vp comparando la LB con la CR. En la LB, el total del Vp es de $ 439 779 200.00, con un promedio de $ 73 296 533.33 (Cuadro 8), mientras que en la CR desciende a un total de $ 367 437 210.68 (Cuadro 9), con un promedio de $ 61 239 535.11, lo que representa una reducción del 16.45% debido a la escasez de agua.
La prueba ANOVA mostró un valor F calculado de 2.0219, por debajo del valor crítico de 3.6823, lo que indica que no hay diferencias estadísticamente significativas entre ambos escenarios. Aunque el coeficiente de variación es más bajo en la CR (1.1818 frente a 1.2588 en la LB), reflejando una mayor estabilidad relativa, la reducción en la disponibilidad de agua impacta de manera más uniforme el valor de la producción. Los cultivos más afectados incluyen el sorgo, maíz amarillo y algodón, que representan la mayor superficie sembrada en el módulo.
Table 8: Economic impact of water stress calculated using the Vp indicator for the LB.
| Cultivo | Sup. Semb. | Sup. Cos. | Y | P | PMR | VP |
| - - - - - - ha - - - - - - | Mg ha-1 | Mg | $ Mg-1 | ($ del año 2020) | ||
| Maíz amarillo | 5 000.00 | 5 000.00 | 8.00 | 40 000.00 | 3 430.00 | 137 200 000.00 |
| Maíz blanco | 200.00 | 200.00 | 8.00 | 1 600.00 | 3 488.00 | 5 580 800.00 |
| Sorgo | 12 000.00 | 12 000.00 | 6.00 | 72 000.00 | 3 138.00 | 225 936 000.00 |
| Algodón | 1 260.00 | 1 260.00 | 5.00 | 6 300.00 | 11 110.00 | 69 993 000.00 |
| Soya | 60.00 | 60.00 | 2.50 | 150.00 | 7 100.00 | 1 065 000.00 |
| Rye-grass | 1.00 | 1.00 | 2.00 | 2.00 | 2 200.00 | 4 400.00 |
| Total | 18 521.00 | 18 521.00 | 120 052.00 | 439 779 200.00 | ||
| Media | 3 086.83 | 3 086.83 | 5.25 | 20 008.67 | 5 077.67 | 73 296 533.33 |
| Desv. Est. | 4 763.61 | 4 763.61 | 2.60 | 29 746.23 | 3 398.94 | 92 269 090.09 |
| Coef. Var. | 1.54 | 1.54 | 0.50 | 1.49 | 0.67 | 1.26 |
Sup. Semb. = es la superficie sembrada de cada cultivo; Sup. Cos. = es la superficie cosechada de cada cultivo; Y = es el rendimiento potencial del cultivo sin estrés hídrico; P = es la producción total de cada cultivo; PMR = es el precio medio rural por tonelada de producto año base 2020; Vp = es el valor económico de la producción agrícola de los cultivos.
Sup. Semb. = cultivated area of each crop; Sup. Cos. = harvested area of each crop; Y = potential yield of the crop without water stress; P = total production of each crop; PMR = average rural price per ton of product (base year 2020); Vp = economic value of the agricultural production of the crops.
Table 9: Economic impact of water stress calculated using the Vp indicator for the RC.
| Cultivo | Sup. Semb. | Sup. Cos. | Y | P | PMR | VP |
| - - - - - - - - - ha - - - - - - - - - | Mg ha-1 | Mg | $ Mg-1 | $ del año 2020 | ||
| Maíz amarillo | 5 462.53 | 5 462.53 | 6.720 | 36 708.20 | 3 430.00 | 125 909 131.49 |
| Maíz blanco | 792.96 | 792.96 | 7.120 | 5 645.88 | 3 488.00 | 19 692 812.70 |
| Sorgo | 11 765.38 | 11 765.38 | 4.710 | 55 414.94 | 3 138.00 | 173 892 081.09 |
| Algodón | 1 259.25 | 1 259.25 | 3.360 | 4 231.08 | 11 110.00 | 47 007 298.80 |
| Soya | 58.93 | 58.93 | 2.200 | 129.65 | 7 100.00 | 920 486.60 |
| Rye-grass | 5.00 | 5.00 | 1.400 | 7.00 | 2 200.00 | 15 400.00 |
| Total | 19 344.05 | 19 344.05 | 102 136.74 | 367 437 210.68 | ||
| Media | 3 224.01 | 3 224.01 | 4.25 | 17 022.79 | 5 077.67 | 61 239 535.11 |
| Desv. Est. | 4 650.08 | 4 650.08 | 2.35 | 23 364.29 | 3 398.94 | 72 371 571.54 |
| Coef. Var. | 1.44 | 1.44 | 0.55 | 1.37 | 0.67 | 1.18 |
El análisis sugiere priorizar cultivos más rentables y de menor demanda hídrica en escenarios de escasez, fomentando una gestión hídrica más eficiente y sostenible para mitigar las pérdidas económicas.
Eficacia del suministro del riego (ESRhh)
El objetivo de esta sección es evaluar el impacto económico del estrés hídrico sobre la producción agrícola del Módulo III-4 mediante ESRhh, calculada para la LB y para la CR. En la LB, el ESRhh alcanza el 100%, asegurando rendimientos sin restricciones de agua y un valor de producción total de $ 439 779 200.00 (Cuadro 10), con un promedio de $ 73 296 533.33. En la CR, la eficacia se reduce al 61.66% (Cuadro 12), con un valor total de $ 224 368 393.75 (Cuadro 11) y un promedio de $ 37 394 732.29, lo que representa una disminución del 48.98% en el valor económico del riego debido al estrés hídrico. La prueba ANOVA arrojó un valor F calculado de 2.3224, menor que el valor crítico de 3.6823, lo que indica que no hay diferencias estadísticamente significativas entre ambos escenarios.
Table 10: Economic impact of water stress calculated using the ESRhh indicator for the LB.
| Cultivo | Sup. Cos. | Y | P | PMR | Vp | ESRhh | VPESR |
| ha | Mg ha-1 | Mg | $ Mg-1 | $ año 2020 | % | $ año 2020 | |
| Maíz amarillo | 5 000.00 | 8.00 | 40 000.00 | 3 430.00 | 137 200 000.00 | 100.00 | 137 200 000.00 |
| Maíz blanco | 200.00 | 8.00 | 1 600.00 | 3 488.00 | 5 580 800.00 | 100.00 | 5 580 800.00 |
| Sorgo | 12 000.00 | 6.00 | 72 000.00 | 3 138.00 | 225 936 000.00 | 100.00 | 225 936 000.00 |
| Algodón | 1 260.00 | 5.00 | 6 300.00 | 11 110.00 | 69 993 000.00 | 100.00 | 69 993 000.00 |
| Soya | 60.00 | 2.50 | 150.00 | 7 100.00 | 1 065 000.00 | 100.00 | 1 065 000.00 |
| Rye-grass | 1.00 | 2.00 | 2.00 | 2 200.00 | 4 400.00 | 100.00 | 4 400.00 |
| TOTAL | 18 521.00 | 120 052.00 | 439 779 200.00 | 439 779 200.00 | |||
| Media | 3 086.83 | 5.25 | 20 008.67 | 5 077.67 | 73 296 533.33 | 100.00 | 73 296 533.33 |
| Desv. Est. | 4 763.61 | 2.60 | 29 746.23 | 3 398.94 | 92 269 090.09 | 0.00 | 92 269 090.09 |
| Coef. Var. | 1.54 | 0.50 | 1.49 | 0.67 | 1.26 | 0.00 | 1.26 |
ESRHH = eficacia del suministro del riego en función de la huella hídrica de los cultivos; VPESR = valor de la producción en función de la eficacia del suministro del riego.
ESRHH = irrigation supply efficiency based on the water footprint of the crops; VPESR = production value based on the irrigation supply efficiency.
Table 11: Economic impact of water stress calculated using the ESRhh indicator for the RC.
| Cultivo | Sup. Cos. | Y | P | PMR | Vp | ESRhh | VPESR |
| ha | Mg ha-1 | Mg | $ Mg-1 | $ año 2020 | % | $ año 2020 | |
| Maíz amarillo | 5 462.53 | 6.72 | 36 708.20 | 3 430.00 | 125 909 131.49 | 61.47 | 77 396 343.13 |
| Maíz blanco | 792.96 | 7.12 | 5 645.88 | 3 488.00 | 19 692 812.70 | 63.03 | 12 412 379.84 |
| Sorgo | 11 765.38 | 4.71 | 55 414.94 | 3 138.00 | 173 892 081.09 | 59.88 | 104 126 578.16 |
| Algodón | 1 259.25 | 3.36 | 4 231.08 | 11 110.00 | 47 007 298.80 | 63.54 | 29 868 437.66 |
| Soya | 58.93 | 2.20 | 129.65 | 7 100.00 | 920 486.60 | 60.31 | 555 145.47 |
| Rye-grass | 5.00 | 1.40 | 7.00 | 2 200.00 | 15 400.00 | 61.75 | 9 509.50 |
| TOTAL: | 19 344.05 | 102 136.74 | 367 437 210.68 | 224 368 393.75 | |||
| Media | 3 224.01 | 4.25 | 17 022.79 | 5 077.67 | 61 239 535.11 | 61.66 | 37 394 732.29 |
| Desv. Est. | 4 650.08 | 2.35 | 23 364.29 | 3 398.94 | 72 371 571.54 | 1.45 | 43 563 381.89 |
| Coef. Var. | 1.44 | 0.55 | 1.37 | 0.67 | 1.18 | 0.02 | 1.16 |
Table 12: Irrigation Supply Efficiency (ESRhh) for (LB) and (RC).
| Cultivo | Eficacia del Suministro del Riego (ESRHH) | |
| (LB) | (CR) | |
| Maíz amarillo | 100.00 | 61.47 |
| Maíz blanco | 100.00 | 63.03 |
| Sorgo | 100.00 | 59.88 |
| Algodón | 100.00 | 63.54 |
| Soya | 100.00 | 60.31 |
| Rye-grass | 100.00 | 61.75 |
| Media | 100.00 | 61.66 |
| Desv. Est. | 0 | 1.44 |
| Coef. Var. | 0 | 0.02 |
Comparación de resultados de los indicadores HHvalor, Vp y ESRhh
El objetivo para esta sección es realizar un análisis comparativo de los impactos económicos del estrés hídrico en los cultivos del Módulo III-4 utilizando los índices HHvalor, Vp y ESRhh, evaluados para la LB y la CR. Los resultados son los siguientes: En la LB, el HHvalor asciende a $ 1 578 368 023.84 (Cuadro 13), mientras que en la CR disminuye a $ 780 257 376.20 (Cuadro 14), generando un impacto económico de $ 798 110 647.64 (Figura 8a, Cuadro 15), equivalente a una reducción del 50.57%. El Vp muestra una reducción del 16.45%, pasando de $ 439 779 200.00 en la LB a $ 367 437 210.68 en la CR. La ESRhh cae del 100% en la LB al 61.66% en la CR, con un impacto económico de $ 215 410 806.25 (Figura 8a, Cuadro 15). La prueba ANOVA entre los tres indicadores muestra un valor F de 2.715, por debajo del crítico (3.098), indicando que no hay diferencias significativas entre los escenarios de LB y CR. Sin embargo, los indicadores revelan pérdidas económicas significativas, siendo mayores para HHvalor (50.57%) y ESRhh (48.98%), en comparación con Vp (16.45%).
Table 13: Indices of economic impact for LB.
| Cultivo | HHvalor | Vp | ESRhh |
| $ | $ del 2020 | $ del 2020 | |
| Maíz amarillo | 363 975 248.00 | 137 200 000.00 | 137 200 000.00 |
| Maíz blanco | 17 408 826.24 | 5 580 800.00 | 5 580 800.00 |
| Sorgo | 739 127 664.00 | 225 936 000.00 | 225 936 000.00 |
| Algodón | 454 367 566.80 | 69 993 000.00 | 69 993 000.00 |
| Soya | 3 484 419.12 | 1 065 000.00 | 1 065 000.00 |
| Rye-grass | 4 299.68 | 4 400.00 | 4 400.00 |
| TOTAL | 1 578 368 023.84 | 439 779 200.00 | 439 779 200.00 |
| Media | 263 061 337.31 | 73 296 533.33 | 73 296 533.33 |
| Desv. Est. | 306 706 757.64 | 92 269 090.09 | 92 269 090.09 |
| Coef. Var. | 1.17 | 1.26 | 1.26 |
Table 14: Indices of economic impacts for RC.
| Cultivo | HHvalor | Vp | ESRhh |
| $ | $ del 2020 | $ del 2020 | |
| Maíz amarillo | 205 302 454.75 | 125 909 131.49 | 77 396 343.13 |
| Maíz blanco | 38 692 811.49 | 19 692 812.70 | 12 412 379.84 |
| Sorgo | 340 662 471.78 | 173 892 081.09 | 104 126 578.16 |
| Algodón | 193 774 004.51 | 47 007 298.80 | 29 868 437.66 |
| Soya | 1 816 341.17 | 920 486.60 | 555 145.47 |
| Rye-grass | 9 292.50 | 15 400.00 | 9 509.50 |
| TOTAL: | 780 257 376.20 | 367 437 210.68 | 224 368 393.75 |
| Media | 130 042 896.03 | 61 239 535.11 | 37 394 732.29 |
| Mediana | 116 233 408.00 | 33 350 055.75 | 21 140 408.75 |
| Desv. Est. | 138 406 565.18 | 72 371 571.54 | 43 563 381.89 |
| Coef. Var. | 1.06 | 1.18 | 1.16 |
Table 15: Economic impacts of water stress for crops cultivated in Module III-4.
| Cultivo | HHvalor | Vp | ESRhh | PROMEDIO |
| $ | $ del 2020 | $ del 2020 | $ | |
| Maíz amarillo | 158 672 793.25 | 11 290 868.51 | 59 803 656.87 | 76 589 106.21 |
| Maíz blanco | -21 283 985.25 | -14 112 012.70 | -6 831 579.84 | -14 075 859.26 |
| Sorgo | 398 465 192.22 | 52 043 918.91 | 121 809 421.84 | 190 772 844.32 |
| Algodón | 260 593 562.29 | 22 985 701.20 | 40 124 562.34 | 107 901 275.28 |
| Soya | 1 668 077.95 | 144 513.40 | 509 854.53 | 774 148.63 |
| Rye-grass | -4 992.82 | -11 000.00 | -5 109.50 | -7 034.11 |
| TOTAL | 798 110 647.64 | 72 341 989.32 | 215 410 806.25 | 361 223 350.95 |
| Media | 133 018 441.27 | 12 056 998.22 | 35 901 801.04 | 60 325 746.85 |
| Desv. Est. | 170 969 544.45 | 23 200 596.28 | 49 673 509.40 | 80 332 331.39 |
| Coef. Var. | 1.29 | 1.92 | 1.38 | 1.33 |
El HHvalor ofrece una evaluación más integral del uso del agua, la ESRhh destaca la baja eficiencia del riego en la CR, y el Vp refleja pérdidas económicas directas en la producción. El estudio de Chapagain y Hoekstra (2004) estima la huella hídrica azul de varios cultivos en climas áridos y semiáridos. Para el maíz es de 1220 m³ Mg-1, para el sorgo 1440 m³ Mg-1, para el algodón 3400 m³ Mg-1, y para la soya 2000 m³ Mg-1. La investigación destaca la cantidad de agua utilizada, diferenciando entre agua azul y verde, pero no asigna un valor económico, como lo hace el presente estudio.
Evapotranspiración del cultivo de referencia (ETo) para tres sitios
El objetivo de este tema es evaluar la ETo para tres sitios localizados en el Módulo III-4 mediante el uso de la metodología FAO Penman-Monteith y las variables del clima. La ETo media fue de 5.54 mm día-1 (SMN), 5.93 mm día-1 (SWAT) y 5.94 mm día-1 (EstAut), con baja variación, lo que refleja consistencia en las mediciones. La correlación polinómica mostró un coeficiente de determinación (R²) de 0.7855, indicando una correlación moderadamente fuerte entre las fuentes de datos. La ANOVA reveló un valor F de 0.355, menor al crítico (2.816), y una probabilidad de 0.785 (P > 0.05), aceptando la hipótesis nula de no diferencias significativas en las medias de la ETo entre los tres sitios. La ETo mostró tendencias similares, con máximos en verano (junio-agosto) y mínimos en invierno (enero, noviembre, diciembre), validando la consistencia de las mediciones. Estos resultados resaltan la necesidad de ajustar el riego durante periodos de alta ETo para mitigar el estrés hídrico y reducir pérdidas económicas en la producción (Figura 8b).
El International Water Management Institute (IWMI, 1998) reportó una ETo promedio para el DR. 025 de 1756 mm año-1; la cual es ligeramente menor que la promedio calculada para los tres sitios del estudio (1 844 mm año-1).
Limitaciones del estudio. Este análisis del estrés hídrico en el Módulo III-4 mediante los indicadores HHvalor, Vp y ESRHH presenta algunas limitaciones: (a) la falta de mediciones directas y en tiempo real de variables agroclimáticas, lo que afecta la precisión de las estimaciones de la ETo; (b) la dependencia de la base de datos climática generada por WXGEN del modelo SWAT, que aunque cubre un amplio rango histórico, puede no captar las variaciones climáticas más recientes; y (c) la exclusión de la huella hídrica gris, lo que limita la evaluación integral del uso del agua en términos de calidad y contaminación. Estas limitaciones sugieren áreas para futuras investigaciones que aborden estas variables y mejoren la precisión de los modelos.
Implicaciones del estudio. Los hallazgos de este estudio proporcionan una comprensión más profunda del impacto económico del estrés hídrico y su aplicación en la gestión del riego en México. El enfoque con los tres indicadores (HHvalor, Vp y ESRhh) permite evaluar la rentabilidad, eficiencia y sostenibilidad del uso del agua, siendo relevante para más de 400 módulos distribuidos en 86 Distritos de Riego que abarcan 8 millones de hectáreas en México. Agencias como CONAGUA, SADER e instituciones de investigación pueden utilizar esta metodología para mejorar la gestión hídrica y optimizar la producción agrícola.
Recomendaciones para investigaciones futuras. Se sugiere incluir la evaluación de la huella hídrica gris para analizar la calidad del agua en la sostenibilidad hídrica de la agricultura de riego. Además, se recomienda investigar los coeficientes de cultivo (Kc) específicos de los principales cultivos del Módulo III-4 para mejorar la precisión de la demanda hídrica. Finalmente, se propone implementar redes de estaciones agrometeorológicas automatizadas para obtener datos agroclimáticos más precisos y en tiempo real, beneficiando a investigadores y usuarios.
Posibles sesgos y soluciones. El estudio reconoce algunos sesgos relacionados con la heterogeneidad de los datos meteorológicos y agrícolas, así como con la dependencia de métodos analíticos consistentes. Para mitigar estos sesgos, se aplicó una metodología estadística rigurosa, incluyendo ANOVA y análisis de correlación para validar la coherencia de los resultados. La elección del generador climático WXGEN del modelo SWAT permitió hacer frente a las limitaciones mencionadas, proporcionando cobertura temporal más amplia y consistente. La inclusión de los tres indicadores (HHvalor, Vp y ESRhh) permitió una evaluación más robusta del impacto económico del estrés hídrico desde distintas perspectivas.
Conclusiones
Este estudio demostró suficiente evidencia empírica y estadística, con lo cual se demostró fehacientemente que el impacto económico del estrés hídrico en el Módulo III-4 puede evaluarse de manera integral mediante los indicadores HHvalor, Vp y ESRhh, mostrando variaciones significativas según la métrica. El HHvalor registró la mayor disminución (50.57%), seguido por la ESRhh (48.98%), mientras que el Vp reflejó una caída del 16.45%, lo que indica pérdidas económicas directas debido a la escasez de agua. La comparación entre los escenarios de LB y CR permitió cuantificar un impacto económico promedio de $ 361 223 351.00 entre los tres indicadores, ofreciendo una herramienta robusta para la toma de decisiones en la gestión de recursos hídricos en módulos de riego en México. Este enfoque es relevante en un contexto de escasez de agua y cambio climático, aportando información estratégica para mejorar la planificación del riego, la asignación de recursos y la formulación de políticas agrícolas. El HHvalor se destaca como un indicador multidimensional, integrando el valor económico y el uso eficiente del agua, resaltando la necesidad de políticas de riego más efectivas para mejorar la sostenibilidad hídrica y la resiliencia agrícola en el Distrito de Riego 025.










nova página do texto(beta)











