INTRODUCTION
Aquaculture has been the fastest-growing food production system in the world. In particular, shrimp farming represents one of the most important aquaculture activities and has been established as an important socioeconomic promoter (Ahmed and Thompson 2019). Shrimp farming conditions promote the rapid growth of opportunistic bacteria, such as many Vibrio species, which naturally live in coastal and estuarine waters, in sediments, and as part of the microbiota of cultured organisms (in gills, intestines, hepatopancreas, and shrimp cuticle) (Jiravanichpaisal et al. 1994). These species generally do not represent a risk for shrimp production (Gómez-Jiménez et al. 2005). However, the intensification of production systems increases the stress of the organisms and leads to water eutrophication; this promotes the proliferation of these opportunistic bacteria, which can colonize the digestive system and cause diseases in cultured animals (Johnson 2013, Engle et al. 2017).
Due to their high incidence in shrimp aquaculture, the most important losses due to pathogenic bacteria are related to Vibrio species, whose infections are generally known as vibriosis (Flegel 2012, de Souza-Valente and Wan 2021). Initially, this infection can be limited to specific tissues; nevertheless, in organisms with compromised immune systems, it turns rapidly into a systemic disease that can cause death (Jiravanichpaisal et al. 1994, Gómez-Jiménez et al. 2005).
Vibrio parahaemolyticus is a pathogen that infects Penaeus vannamei cultures, causing mortality events by vibriosis (Hong et al. 2016, Raja et al. 2017) and the acute hepatopancreatic necrosis disease (AHPND) (Han et al. 2015). AHPND is an emergent disease characterized by a high mortality rate, which in some cases reaches 100% of the shrimp population in pond outbreaks during the first 30 days after its appearance (de Schryver et al. 2013). Identifying the disease signs in an early stage, which in some cases is asymptomatic, is crucial to be able to apply a timely treatment and counteract its progress. However, this can be complex under production conditions because certain signs may correspond not only to disease conditions but also to typical growth behaviors or stress (Egan and Gardiner 2016). Egan and Gardiner. (2016) proposed that many diseases in marine systems (natural and cultured populations) must be studied from the point of view of microbial dysbiosis (a microbial community shift that has a negative impact on the host), similar to what has been demonstrated in several chronic human diseases (Vijay and Valdes 2022). Stressors in the environment and the weakening of the host’s defense system can lead to the proliferation of opportunistic pathogens from the surrounding environment, which promote the development of the disease.
Currently, one of the most effective and precise tools to analyze microbial communities used in the aquaculture sector is the metagenomic analysis. Metagenomics is an emerging tool in aquaculture that helps to understand the relationship between the host, microbiota, and pathogens by monitoring the microbial diversity dynamics in production systems (Tello et al. 2019). Although AHPND is known to be caused by the pathogenic V. parahaemolyticus and other Vibrio species hosting the binary toxin gene PirAB, microbiome alterations in the digestive tract of P. vannamei during AHPND outbreaks only recently began to be studied (Chen et al. 2017, Cornejo-Granados et al. 2017). In particular, the analysis of the microbial structure in the digestive tract of shrimp could serve as a timely diagnosis of dysbiosis before the macroscopic signs of AHPND are observed; this would allow timely management actions to be implemented and preparations to be made to administer a subsequent treatment, if necessary. Therefore, the present study performed a metagenomic analysis on the microbial community structures of P. vannamei hepatopancreases after a challenge with a pathogenic strain of V. parahaemolyticus associated with AHPND under controlled conditions. The results showed an important change of the microbial community structure in P. vannamei hepatopancreases and constrictions in the hepatopancreatic tubules (a characteristic sign of the AHPND in early stages) before the visible manifestation of the disease.
MATERIALS AND METHODS
Ethics statement
The management of the organisms was carried out following the Official Mexican Standard NOM-030-PESC-2000 that establishes the requirements to determine the presence of viral diseases in live and dead aquatic crustaceans, their products or by-products in any presentation, and Artemia (Artemia spp.) for their introduction into the national territory and mobilization in it.
Bacterial strains
Zermeño-Cervantes et al. (2018) isolated the V. parahaemolyticus CVP2 strain (subsequently called CVP2) used in the present study from an AHPND outbreak in Sinaloa, Mexico, and previously reported on it. As a control treatment, Escherichia coli genotype DH5α (Thermo Fisher Scientific, Cleveland, OH, USA) was used as a halotolerant and non-pathogenic bacterium for P. vannamei. CVP2 was cultured in marine agar (5.000 g of peptone, 1.000 g of yeast extract, 0.002 g of Fe3SO4, and 17.000 g of agar per liter of seawater) at 35 °C for 24 h. The E. coli strain DH5α was cultured in Luria-Bertani (10.000 g of tryptone, 10.000 g of NaCl, and 5.000 g of yeast extract per liter of distilled water) at 37 °C for 24 h. The bacterial suspensions from both strains were prepared at OD585 of 1.0 (approximately 1.8 × 109 colony forming units [CFU·mL-1] in saline solution NaCl 2.5% [w/v]).
PirA toxin gene verification by single-step polymerase chain reaction
The presence of the encoding gene for the PirA toxin (AP3; associated with AHPND) was confirmed by polymerase chain reaction (PCR) amplification using genomic DNA isolated from the CVP2 strain. The AP3 method for DNA amplification was carried out as described by Sirikharin et al. (2015). The PCR amplification products were sequenced by Macrogen (Seoul, South Korea).
Organism management and maintenance
The organisms were obtained from a shrimp farm in La Paz, Baja California Sur, Mexico. To acclimate the organisms, shrimp were kept for 3 weeks in filtered and ultraviolet-treated seawater, with temperature and salinity of 28 °C and 35, respectively, and constant aeration. The organisms were fed twice per day (09:00 and 17:00 h) in a proportion of 5% of the total shrimp biomass weight per container with the commercial food formulated with >35% protein, 5% lipids, <12% humidity, and <4% ash. The average weight of the organisms was 2.5-2.9 g.
Challenge test for Penaeus vannamei
An experimental design consisting of 2 treatments (organisms challenged with CVP2 and E. coli) and one negative control (without treatment [NC]) was performed in triplicate. After organisms were acclimated, bioassays were performed in 4-L experimental units with seawater with salinity of 35 ppt, which had been previously filtered and sterilized, with 10 shrimp per experimental unit. The organisms were washed by immersion in sterile seawater to reduce surface bacteria, and then placed into the experimental units. Food was impregnated with 20 mL of bacterial suspensions (CVP2 or DH5α). The organisms were kept at a controlled temperature of 28 °C, with constant aeration, and with no water exchange for biosafety reasons (to prevent the release of the pathogen). On the fifth day of treatment, after 5 h of the first feeding, 4 organisms of each experimental unit were sacrificed to dissect the hepatopancreas and evaluate the load of V. parahaemolycticus. The survival rate and visual signs of the disease were recorded daily.
Dissection and tissue sample preparation
The organisms were sacrificed by thermal shock induced by freezing for 10 min and dissected in a sterile area. The exoskeleton was removed by a longitudinal cut from head to telson. Using a phase contrast microscope (Axio Scope.A1; Carl Zeiss, Oberkochen, Germany), hepatopancreas samples were obtained from a dorsal transversal cut and embedded in isotonic solution (0.85%) for fresh analysis, according to the methodology established by Cuéllar-Anjel (2014). For the bacterial load and metagenomic analyses, tissues were homogenized individually in 500 µL of sterile saline solution using a tissue disruptor DragonLab model D-160 (DLAB Scientific Inc., Riverside, CA, USA).
Bacterial load analyses
Samples from organisms challenged with the CVP2 strain and those from NC were plated on selective media to corroborate the increase of V. parahaemolyticus in the hepatopancreas after oral administration in contrast to NC without treatment. To discard the initial presence of Vibrio species, a preliminary determination of the bacterial load in the organisms and food was performed before the experimental procedure. To estimate the load of V. parahaemolyticus, 100 μL of each homogenized hepatopancreas was diluted to 1 × 10-4 in a sterile saline solution and spread on thiosulfate citrate bile salts sucrose (TCBS) agar plates in triplicate. The TCBS agar plates were incubated at 35 °C for 12 h, and green colonies were counted. The CFUs per hepatopancreas that resulted from the CVP2 treatment and NC were statistically analyzed using the total CFUs of all the dilutions with the t.test function of the R statistical programming language (https://www.r-project.org). The results were visualized in a bar plot with the package ‘ggplot2’ (Wickham 2011).
DNA extraction and metagenomic analysis
The composition of the microbiota associated with shrimp hepatopancreases was determined by a metagenomic analysis using 16S gene rDNA sequencing (V4 region). Total DNA, either from the NC, the V. parahaemolyticus treatment (CVP2, administered in the diet), or the E. coli treatment (Eco, administered in the diet), was directly obtained from the mash of hepatopancreases by using the Miniprep Fungal/Bacterial Quick-DNA kit (Zymo Research, CA, USA) and pooled according to each treatment. The total extracted DNA was sent to the Next Generation Sequencing Core at Argonne National Laboratory (Argonne, IL, USA) for amplicon sequencing. Briefly, the microbial 16S rDNA gene V4 regions were amplified using the primer set 515F and 806R following the method described by Kozich et al. (2013). We used the Illumina MiSeq 500-cycle kit (Illumina, San Diego, CA) and an Illumina MiSeq sequencer for the paired-end sequencing (150 × 150 bp) of 16S rDNA gene amplicons of the V4 regions. Primer trimmed pair-ended bacterial 16S rDNA gene sequences were merged using the Ribosomal Database Project (RDP) paired-end reads assembler. Assembled sequences with an expected maximum error adjusted Q score less than 25 (Q > 25) over the entire sequence were eliminated (Cole et al. 2014). VSEARCH (v2.4.3, 64 bit) was used to remove chimeras de novo, followed by removing chimeras by reference using the RDP 16S rDNA gene (Rognes et al. 2016). High quality and chimera-free sequences were then clustered at 97% sequence similarity using CD-HIT (v4.6.1) and the RDP Classifier with a confidence cutoff at 50%, which resulted in the identification of unique operational taxonomic units (OTU) and their abundance in each sample (Wang et al. 2007, Bonder et al. 2012, Fu et al. 2012, Chen et al. 2013). The resulting OTU table was then processed to be analyzed with R programming language using a variety of packages and custom scripts (https://www.r-project.org). The alpha biodiversity indices Chao1, Shannon, and Simpson were estimated with the vegan package (Oksanen et al. 2014). The distributions of the bacterial community structure were subsequently tested for significant differences between the different treatments using the Kruskal-Wallis test. To assess differences between the bacterial community structures from the hepatopancreas samples of the CVP2, Eco, and NC treatments, a principal component analysis (PCA) was performed using the prcomp function with the ggfortify package (Oksanen et al. 2014, Coleman-Derr et al. 2016, Castañeda and Barbosa 2017).
RESULTS
No death of any organism in any of the different experimental groups was recorded within 5 days of the bioassay, thus, the survival rate in this experiment was 100%. In addition, the organisms did not show swimming difficulties, lethargy, empty intestines, or pale hepatopancreases after the treatments. A direct fresh analysis from shrimp hepatopancreatic tubules challenged with strains of V. parahaemolyticus (CVP2) and E. coli (Eco) was performed to determine some presumptive morphological alterations related to AHPND. As expected, the NC showed no alterations of the hepatopancreatic tubules (Fig. 1a). The Eco treatment did not induce morphological alterations neither compromised the hepatopancreatic tubule integrity of P. vannamei (Fig. 1b). However, the CVP2 treatment group showed a hepatopancreatic tubular constriction, which is a presumptive characteristic of the acute stage of AHPND (Fig. 1c).

Figure 1 Fresh preparation of hepatopancreatic tubules from Penaeus vannamei. Hepatopancreatic tubules from (a) organisms without treatment (NC) and (b) organisms challenged with Escherichia coli DH5α strain (Eco). (c) Hepatopancreatic tubule constriction (highlighted with arrows) from organisms challenged with the Vibrio parahaemolyticus CVP2 strain (CVP2). 100× magnification.
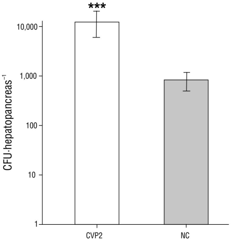
As a first approach to assess the CVP2 strain load in shrimp hepatopancreases after the bacterial challenge, the CFUs from this organ were estimated using a selective media (TCBS) for the Vibrio genus. The results showed a significant (P = 0.0004438) increase in CVP2 load of more than one order of magnitude (>10-fold) compared to the NC (Fig. 2).

Figure 2 Vibrio parahaemolyticus load estimation expressed as colony forming units (CFU) per hepatopancreas from organisms challenged with V. parahaemolyticus CVP2 strain and from non-challenged organisms (negative control [NC]). The results are represented as mean ± standard deviation. Statistical significance was determined using a Student unpaired, 2-tailed t test (***, P < 0.001).
To infer whether the structure of the bacterial community in the hepatopancreas was affected by the treatments, a next-generation sequencing (NGS) coupled with 16S rDNA metagenomic exploratory analysis was performed. The bacterial community in hepatopancreases with the CVP2 and Eco treatments showed a marked and characteristic structure that was dominated by a particular genus (Fig. 3a). The samples of hepatopancreases with the CVP2 treatment were dominated by the Vibrio genus. Hepatopancreases in the Eco treatment group were dominated by Acinetobacter and ‘Candidatus Pelagibacter’ genera. Compared to the diversity observed in the samples from hepatopancreases with CVP2 and Eco treatments, the diversity in hepatopancreases in the NC was richer and higher: Roseibacillus, Lewinella, Pseudoalteromonas, Vibrio, Algoriphagus, and Formosa were among the most abundant genera with no obvious dominance for any particular genus (Fig. 3a). To support our observations, alpha-diversity estimations were performed for CVP2, Eco, and NC samples. The richness estimation (Shannon index) showed that the NC sample had the highest bacterial richness and the CVP2 sample the lowest; this was associated with the dominance of the Vibrio genus in the CVP2 sample (Table 1, Fig. 3a). Interestingly, the alpha-diversity indices showed a narrow range for the OTUs observed and even high similarity between CVP2 and NC samples (Chao1 index; Table 1). The Simpson index showed that all the samples were uniform and composed mainly of bacterial organisms; the Good’s coverage index showed that sequence coverage for all samples was properly conducted (>99%; Table 1). The Kruskal-Wallis test showed that the treatments exerted a significant effect (P = 0.0002927) on the distribution of the bacterial community structure. Furthermore, the PCA analysis showed no clustering among all the samples; these were located in a different quadrant in the PCA plot (Fig. 3b). The PCA was consistent with the bacterial community structures determined (Fig. 3a), the alpha-diversity estimations (Table 1), and the Kruskal-Wallis test results.
Table 1 Alpha diversity estimations. Organisms challenged with the CVP2 strain (CVP2). Organisms challenged with the Escherichia coli strain (Eco). Organisms without treatment (NC).
| Sample | Treatment | Observed OTU | Chao1 index | Shannon index | Simpson index | Good’s coverage |
| CVP2 | Vibrio parahaemolyticus | 157 | 185.0000000 | 2.886180166 | 0.996649153 | 99.57% |
| Eco | Escherichia coli | 191 | 215.8965517 | 3.909714410 | 0.934122365 | 99.77% |
| NC | Negative Control | 172 | 184.2500000 | 5.686276534 | 0.996264740 | 99.84% |

Figure 3 Metagenomic analysis through 16S rDNA gene sequencing (V4 region) from shrimp hepatopancreases challenged with the Vibrio parahaemolyticus CVP2 strain. (a) Shrimp hepatopancreas bacterial community structures compared between treatments (CVP2, Eco, and NC) at genus taxonomic level; (b) Principal components analysis of the bacterial community structures between treatments: V. parahaemolyticus (CVP2), Escherichia coli (Eco), and organisms without treatment (NC).
DISCUSSION
In healthy shrimp, bacteria have been shown to reside in different internal organs, even in the circulatory system, for a few minutes or hours. Therefore, bacteria are commonly found in abundances of up to 1 × 103 CFU·mL-1 in the hemolymph of healthy organisms (Gomez-Gil et al. 2016). In Asia and America, several bacterial species are associated with white shrimp diseases. Nevertheless, the role of Vibrio has not been demonstrated as a primary agent and is considered a secondary or opportunistic pathogen (Flores-Miranda et al. 2012). Vibrio species are considered a component of normal microbiota in farmed organisms. However, under stress conditions or deficient management in production systems, Vibrio species have caused critical problems related to the appearance of related diseases (Peña-Navarro and Varela-Mejías 2015, de Souza-Valente and Wan 2021).
Under the experimental conditions used in the present study, we were able to demonstrate the presumptive signs of AHPND with the distinctive morphological alterations in shrimp hepatopancreases directly associated with this disease (Fig. 1c), as reported previously by Peña-Navarro and Varela-Mejías (2015). To determine the impact of challenging P. vannamei hepatopancreases with the CVP2 strain, V. parahaemolyticus load (CFU·hepatopancreas-1) were estimated using TCBS. These results, together with the metagenomic analysis, showed the same trend for both CFUs per hepatopancreas and Vibrio genus reads per sample with a difference of more than one order of magnitude (>10-fold) for the CVP2 treatment compared to the NC (Figs. 2, 3a). However, it is worth noting that, through the metagenomic analysis, we determined that Vibrio-related species were not present in the Eco treatment. On the other hand, Escherichia-related species were present in hepatopancreases with extremely low read counts (only 4 reads). The approach to use a selective media, such as TCBS, and estimate CFUs per hepatopancreas is restricted for Vibrio species detection and allowed us to determine if indeed an increase in the V. parahaemolyticus content (green colonies) had taken place with respect to the negative control (NC). However, more information is needed for determining a dysbiosis, since the data on the proportion of Vibrio-related species in the microbiota are null.
The effect of challenging P. vannamei with the CVP2 strain on the hepatopancreas microbial community structure was assessed through a metagenomic exploratory analysis approach. The bacterial community structure of the hepatopancreas underwent a drastic change in all the organisms supplemented with a specific bacterium (CVP2 or Eco) in the diet. The hepatopancreas samples from the CVP2-challenged organisms were dominated by the Vibrio genus. The Eco sample was dominated by Acinetobacter and “Candidatus Pelagibacter” genera; this shows the impact exerted by E. coli, which was fed into the hepatopancreas microbiota and stimulated the proliferation of other genera.
In shrimps (P. vannamei, Penaeus monodon, and Litopenaeus stylirostris), bacterial community structures in several organs are in a delicate balance that shifts with the development and health status of the organism (Rungrassamee et al. 2013, Cardona et al. 2016, Chen et al. 2017, Cornejo-Granados et al. 2017). The characterization of microbiota in an organism is crucial to understand the interactions and relationships between the host and its colonizing microorganisms (Gao et al. 2019).
Altogether, the data in the present study displayed an altered microbiota structure in the hepatopancreases of white shrimp (P. vannamei) inoculated by feeding with the V. parahaemolyticus strain CVP2, which is associated with AHPND. These results, obtained under controlled conditions, are consistent with field studies during AHPND outbreaks which report an enrichment in the digestive tract of species of the order Vibrionales that leads to changes in the relative abundance in the bacterial community, specifically, a simplification of microbial diversity (reduction in the Shannon index) (Chen et al. 2017, Dong et al. 2021).
On the other hand, although no signs of disease were observed at the macroscopic level or mortality during the evaluation period, at a microscopic level (Fig. 1), hepatopancreatic tubule morphology changed in the challenged organisms. This change is a characteristic sign observed in the organisms infected with AHPND-associated strains (Carrillo-Méndez et al. 2019).
The present research study provides insight into the imbalance of microbiota in the hepatopancreas of P. vannamei following a challenge with an AHPND-associated V. parahaemolyticus strain under experimental conditions. The results show dysbiosis of the hepatopancreas microbiota and alterations in this organ before the visible manifestation of the disease. More studies are needed to establish the baseline of what would be a healthy microbial structure of shrimp digestive tracts under culture conditions to discriminate what magnitude of change in microbial structures would be a dysbiosis indicator.
Data accessibility
All raw and processed sequencing data that support the findings of this study have been submitted and are openly available in the NCBI BioProject database under accession number PRJNA560228 at https://dataview.ncbi.nlm.nih.gov/object/PRJNA560228?reviewer=q3b4291uru02vheavlshiflmpt










texto em 



