SciELO - Scientific Electronic Library Online

 
vol.84 número333Reconociendo el carácter multifacético de la educación: los determinantes de los logros cognitivos y no cognitivos en la escuela media argentinaEl shock externo del Acuerdo Transatlántico para el Comercio y la Inversión para la manufactura mexicana. ¿Cómo afectaría a sus exportaciones hacia los Estados Unidos? índice de autoresíndice de assuntospesquisa de artigos
Home Pagelista alfabética de periódicos  

Serviços Personalizados

Journal

Artigo

Indicadores

Links relacionados

  • Não possue artigos similaresSimilares em SciELO

Compartilhar


El trimestre económico

versão On-line ISSN 2448-718Xversão impressa ISSN 0041-3011

El trimestre econ vol.84 no.333 Ciudad de México Jan./Mar. 2017

https://doi.org/10.20430/ete.v84i333.267 

Artículos

Cooperación y desigualdad*

Cooperation and Inequality

David Strauss* 

*CIDE, México (correo electrónico: david.strauss@cide.edu).


Resumen:

Antecedentes:

La desigualdad ha aumentado en los últimos años. Los avances recientes en las tecnologías de la información y la comunicación tienen un papel dominante entre las fuerzas explicativas. La razón es que tales avances facilitan ciertas formas de cooperación entre los agentes que cambian la división del excedente económico.

Métodos:

Para poder estudiar la manera en que diferentes formas de cooperación afectan la desigualdad se elaboró un modelo de cooperación entre agentes de talentos heterogéneos que permiten dos tipos de cooperación: entre tareas y dentro de tareas. La primera refleja la asignación de diferentes agentes para diferentes tareas. La segunda representa la reasignación de tareas en caso de que algún agente no cumpla. Los costos de esta forma de cooperación disminuyeron de manera sustancial debido a la difusión de Internet, el correo electrónico, los teléfonos celulares y la tecnología inalámbrica. La asignación del equilibrio es caracterizada, en particular la clasificación del equilibrio de agentes en cooperaciones y la concordancia entre agentes.

Resultados:

La cooperación lleva a una mayor desigualdad en la parte superior y a una menor desigualdad en la parte inferior de la distribución del talento en comparación con una situación hipotética sin ninguna división del trabajo. Además, se ha demostrado que la cooperación dentro de las tareas tiende a aumentar más la desigualdad que la cooperación entre las tareas. Por lo tanto, el modelo es capaz de generar el reciente incremento en la desigualdad de ingresos debido a la revolución de las TIC en los últimos años. Además, el modelo implica una correlación positiva entre los momentos más altos de la distribución del talento y la prima por cualificaciones que es coherente con la evidencia empírica y esclarece algunas evoluciones potenciales en la desigualdad debido a cambios en la distribución de la dificultad de las tareas a lo largo del tiempo.

Conclusiones:

Es probable que los recientes avances en las tecnologías de la información y la comunicación causen nuevos incrementos en la desigualdad. La sociedad debe estar consciente de esas tendencias para luchar contra la pobreza y la exclusión de sectores amplios de la sociedad cuando se trata de desarrollo económico.

Palabras clave: cooperación; desigualdad; elección ocupacional; diferenciales salariales; organización de la empresa

Abstract:

Background:

Inequality increased in recent years. Among the explanatory forces recent improvements in the information and communication technology play a dominant role. The reason is that those improvements facilitate certain forms of cooperation among agents which changes the division of the economic surplus.

Methods:

In order to study how different forms of cooperation affect inequality, I develop a model of cooperation among heterogeneously talented agents allowing for two types of cooperation: Between-task cooperation and within-task cooperation. The former reflects the assignment of different agents to different tasks. The latter represents the reassignment of tasks in case of non-compliance of some agent. The costs of this form of cooperation decreased substantially due to the spread of internet, e-mail, cellular phones, and wireless technology. The equilibrium allocation is characterized, particularly the equilibrium sorting of agents into cooperations and the matching between agents.

Results:

Cooperation leads to increasing inequality at the top and decreasing inequality at the bottom of the talent distribution in comparison to a hypothetical situation without any division of labor. Additionally, within-task cooperation is shown to be more inequality-enhancing than between-task cooperation. Thus, the model is able to generate the recent spike in income inequality due to the ICT revolution in recent years. Moreover, the model implies a positive correlation between higher moments of the talent distribution and the skill premium which is consistent with the empirical evidence and sheds some light on potential evolutions in inequality due to changes in the distribution of task difficulty over time.

Conclusions:

Recent improvements in the information and communication technology is likely to cause new spikes in inequality. The society has to be aware of those tendencies to fight poverty and the exclusion of large parts of the society when it comes to economic development.

Key words: cooperation; inequality; occupational choice; wage differentials; organization of the firm.

Clasificación JEL: D64, J24, J3, L2, M5, O15.

Introducción

La desigualdad ha recibido cada vez más atención en los últimos años -véanse, por ejemplo, Atkinson (1997) y Piketty (2014) -. La pobreza y el bienestar no pueden medirse exclusivamente con el nivel promedio de desarrollo de un país. También es necesario incluir en el análisis los momentos más altos de la distribución del ingreso (riqueza). Un ejemplo importante es el debate económico acerca del aumento que ha tenido la desigualdad salarial en las últimas décadas.1 Algunas de las explicaciones más prominentes de ese desarrollo son el cambio tecnológico sesgado en favor de los trabajadores calificados y la globalización.2

Una fuerza explicativa que recibió mucho menos atención en la literatura es el incremento en la cooperación. Para fines del presente artículo, se define la cooperación como la división del trabajo entre los agentes involucrados en la producción de algún bien o servicio. En este artículo, la principal fuente de cooperación son los límites cognitivos de los agentes.3 Esta elección está motivada por el hecho de que la capacidad cognitiva es la principal fuerza que explica los diferenciales salariales y, por consiguiente, la desigualdad.4 Por lo tanto, el estudio de los efectos de la cooperación sobre la desigualdad debería plantearse de manera natural en un marco donde las habilidades sean la razón central de la cooperación.

La división del trabajo entre los individuos siempre ha sido una característica distintiva del desarrollo.5 En las últimas décadas, los procesos de producción se han vuelto cada vez más complejos.6 La otra cara de esta evolución es que los agentes tienden a ser cada vez más especializados.7 Uno de los principales impulsores del reciente incremento en la cooperación es la revolución de las tecnologías de la información y la comunicación (TIC).8 Las TIC se asocian con cambios en la infraestructura organizacional y de habilidades de las empresas.9

Si bien se trata de una práctica eficiente a todas luces, las consecuencias del aumento en la división del trabajo sobre la desigualdad no están claras. En la literatura, los efectos teóricos que la cooperación entre agentes tiene sobre la desigualdad se han estudiado principalmente en literatura concerniente a ello y los resultados son, en general, no concluyentes.10 Empíricamente, Michaels, Natraj y Reenen (2014) hallan que las TIC llevan a una polarización de los mercados, lo que aumenta la demanda de agentes tanto poco calificados como altamente calificados, a costa de los que cuentan con un nivel de educación media.

No todos los avances tecnológicos producen los mismos beneficios para todos los tipos de cooperación. En particular, la reciente disponibilidad del internet y los mecanismos de búsqueda en línea han facilitado la tarea de encontrar expertos y mano de obra para cubrir contratos a corto plazo. A fin de analizar teóricamente los efectos de la reciente revolución de las TIC, desarrollé un modelo de cooperación que incorpora dos tipos de cooperación y que permite analizar tanto los efectos generales que tiene la cooperación sobre la desigualdad como las consecuencias de la reciente revolución de las TIC. Un tipo de cooperación representa una desagregación tradicional de las tareas hasta reducirlas a trabajo que meramente consume tiempo (de rutina) y tareas que requieren de habilidades específicas. El otro tipo de cooperación consiste en una división del trabajo moderna donde los especialistas ayudan a otros agentes que no pueden resolver sus tareas asignadas.11

Más específicamente, la economía se caracteriza por un flujo continuo de agentes heterogéneos que difieren en cuanto a sus talentos. Los proyectos terminados se venden a un precio exógeno p y constan de dos tareas específicas según el proyecto: A y B. Mientras que la primera es una tarea estándar que requiere de tiempo, mas no de conocimientos específicos, la resolución de la segunda requiere tanto de tiempo como de habilidad. Los agentes sufren la incertidumbre sobre el cumplimiento de la tarea B, ya que las habilidades requeridas para las tareas específicas del proyecto B no se conocen ex ante.12 Son posibles dos tipos de cooperación: la cooperación intertareas (un agente se especializa en la tarea A y el otro en la tarea B) y la cooperación intratareas (los agentes que no son capaces de terminar la tarea B les venden sus proyectos a agentes más calificados en un mercado spot ex post).13

Si bien estas dos formas de cooperación a considerar no son exhaustivas, existen motivos por los que me enfoco en estas formas de cooperación en particular. En primer lugar, ambos tipos de cooperación se caracterizan por la colaboración entre agentes altamente calificados y agentes poco calificados. Si ése no fuera el caso, las consecuencias de la cooperación sobre la desigualdad estarían claras.14 En segundo lugar, ambas formas son empíricamente relevantes. Como se documenta en David, Levy y Murnane (2003), el análisis del Diccionario de Ocupaciones (DOT, por sus siglas en inglés) muestra que existe una enorme variación entre los distintos empleos en términos de su contenido de habilidades. Los datos muestran una desagregación de tareas en algunas ocupaciones que se caracterizan principalmente por el trabajo rutinario y otras compuestas por una gran cantidad de tareas no rutinarias que requieren de habilidades para manejarlas, con lo cual, empíricamente se motiva la cooperación intertareas. La segunda forma de cooperación depende esencialmente de la posibilidad de encontrar expertos para problemas muy específicos. Esto se facilita en gran medida por la disminución de los costos de comunicación desde finales de la década de 1990 gracias a la difusión del correo electrónico, los teléfonos celulares y la tecnología inalámbrica.15 Por lo tanto, es esencial incluir dicha cooperación para analizar los efectos del aumento en la cooperación debido a las mejoras en las TIC.

Después de la configuración del modelo, describo el equilibrio con un enfoque específico en el patrón de emparejamiento entre los agentes y la clasificación del equilibrio en las distintas formas de cooperación. Con ello se encuentra que ambos tipos de cooperación llevan a una disminución en los ingresos marginales y, por lo tanto, a la desigualdad en la base de la distribución de talento, así como a un aumento simultáneo en los ingresos marginales y a la desigualdad en la cima de la distribución del ingreso. Tanto los agentes altamente calificados como los poco calificados ganan en comparación con aquellos que están medianamente calificados y, de este modo, el modelo ilustra el reciente debate sobre la polarización del ingreso y la desaparición de la clase media.16 Una comparación de ambos tipos de cooperación muestra que los incrementos en la cooperación intratareas conducen al aumento de la desigualdad, tanto en la cima como en la base de la distribución del ingreso con respecto a la cooperación intertareas. Mientras que la cooperación típica aumenta la desigualdad del ingreso alto y reduce la desigualdad del ingreso bajo, la cooperación intertareas fortalece el primer efecto y debilita el segundo. De este modo, el modelo puede explicar el reciente incremento de la desigualdad en el ingreso alto atribuida al aumento de las TIC.17

Acto seguido, considero la adquisición de talento endógeno que exacerba estos hallazgos y sugiere una mayor varianza en el logro educativo. Esto se debe a que la cantidad de talento adquirido depende positivamente de los ingresos marginales. Como se mencionó anteriormente, la cooperación lleva a una disminución (aumento) en los ingresos marginales de los agentes

poco calificados (altamente calificados). Por lo tanto, los resultados teóricos acerca de la polarización del ingreso debido a un aumento en la cooperación se ven exacerbados cuando se toma en cuenta la adquisición de talento endógeno. Finalmente, muestro que la cooperación puede ayudar a explicar la correlación positiva que se observa entre la varianza de la distribución de talento y la prima por habilidades. Devroye y Freeman (2002) encuentran que la diferencia en la prima por habilidades explica una parte sustancial de la dispersión del ingreso entre Europa y los Estados Unidos.18 Los incrementos en los momentos más altos de la distribución de talento (en particular en el segundo y tercer momento) causan un aumento en la prima por habilidades a medida que crece la oferta relativa de agentes poco calificados. Esos cambios se ven reflejados en las disminuciones en los momentos más altos de la distribución de la dificultad de las tareas inciertas. Más específicamente, una mejor información acerca de la distribución de las tareas o los problemas relativamente más difíciles también tiende a aumentar la prima por habilidades. Esto demuestra que la cooperación desempeña un papel primordial al intentar explicar los recientes aumentos en la prima por habilidades, ya que intensifica la dispersión del ingreso en comparación con el talento.

El resto del artículo está organizado de la siguiente manera: después de analizar la literatura en la sección I, presento el modelo en la sección II; las decisiones de maximización de los agentes en la sección III; en la sección IV se define y describe el equilibrio competitivo; las propiedades centrales de este equilibrio se analizan en la sección V; en la sección VI se estudian las consecuencias de la cooperación sobre la desigualdad; la sección VII analiza la adquisición de conocimiento endógeno; la relación que existe entre la cooperación, la dispersión del talento y la prima por habilidades se estudian en la sección VII; al final se presentan las conclusiones. Todas las pruebas se encuentran en el apéndice.

I. Literatura relacionada

Este artículo se relaciona con distintas vertientes de la literatura. En primer lugar, se relaciona con el amplio acervo literario sobre los determinantes de la distribución del ingreso.19 Algunos de los primeros estudios relacionados con la distribución del ingreso y el talento mediante el efecto de escala de operaciones o de amplitud de control son los de Tuck (1954), Mayer (1960), Lucas Jr. (1978) y Rosen (1982). A diferencia de este trabajo, ellos no internalizan ninguna decisión de cooperación y no tienen ninguna función explícita de emparejamiento.

El presente artículo se relaciona con la literatura sobre la evolución de la desigualdad a lo largo del tiempo. Por ejemplo, Acemoǧlu (2003) analiza el impacto que tiene el comercio internacional sobre la desigualdad salarial en países y a lo largo del tiempo. La extensa literatura que existe acerca del impacto del cambio tecnológico sobre la distribución del equilibrio del ingreso también trata este tema, como en Galor y Tsiddon (1997), Acemoǧlu (1998), Galor y Moav (2000), Krusell et al. (2000), Mobius y Schoenle (1996) y Saint-Paul (2001).20 Estos autores consideran que el cambio tecnológico afecta directamente la productividad de los agentes, mientras que personalmente me enfoco en el canal de colaboración para explicar los cambios en la desigualdad del ingreso.

Otros trabajos relacionados hablan sobre las diferencias entre países en cuanto a las primas por habilidades y las diferencias salariales, así como sus determinantes. Krueger et al. (2010) presentan un análisis exhaustivo de la variación entre países en cuanto a las primas por habilidades. Devroye y Freeman (2002) y Leuven, Oosterbeek y Van Ophem (2004) abordan el tema de si las diferencias en la distribución de talento pueden explicar las diferencias del ingreso observadas. Por mi parte, se muestra cómo la cooperación desempeña un papel en la explicación de estas diferencias.

También hago referencia a la extensa literatura similar, comenzando con el trascendental artículo de Becker (1973). Otras aportaciones importantes que analizan el papel que desempeña la cooperación en las diferencias del ingreso en modelos semejantes son las de Kremer (1993), Kremer y Maskin (1996) y Legros y Newman (2002). El elemento distintivo en mi modelo es que la cooperación es una variable de elección. Otros ejemplos de la creciente literatura sobre modelos de agentes heterogéneos con asignación o emparejamiento son Grossman y Maggi (2000), Grossman (2004) y Ohnsorge y Trefler (2007).

Las consecuencias que tiene la cooperación entre países sobre la desigualdad se estudian en Costinot, Vogel y Wang (2013), quienes imponen una estructura de producción secuencial y estudian la manera en que la cooperación entre países afecta la desigualdad. En contraste con este trabajo, se enfocan exclusivamente en una forma de cooperación y en la interdependencia de las naciones, no de los individuos. Acemoǧlu, Ozdaglar y Tahbaz-Salehi (2010), Horvath (1998, 2000) y Jones (2011) estudian los vínculos que existen entre los sectores de la producción; imponen la función de producción y, de esta manera, no dejan que los agentes elijan si cooperan o no.

En su enfoque en la cooperación entre agentes, el artículo se relaciona con la literatura sobre la teoría de la empresa. Sin embargo, este tipo de literatura se enfoca más en la estructura de la cooperación (dentro de la empresa o por medio del mercado) y menos en si los agentes quieren o no cooperar.21 La literatura sobre la teoría organizacional se enfoca mayormente en los problemas de incentivos entre agentes en el contexto de la cooperación.22

Una rama menos extensa de la literatura se enfoca en los límites cognitivos de los agentes como el motivo de la cooperación. El presente análisis pertenece a esta faceta de la investigación.23 El trabajo que se relaciona más estrechamente con este aspecto es el de Garicano (2000) y Garicano y Rossi-Hansberg (2004, 2006).24 Ellos consideran una economía del conocimiento con una distribución de los problemas y del conocimiento entre los agentes, los cuales pueden extraer problemas de la distribución y tratar de resolverlos, o bien, pueden comprar problemas no resueltos de otros agentes y también tratar de resolverlos. En mi modelo, esta forma de cooperación se capta en la cooperación intratareas. A diferencia de mi trabajo, no existe la cooperación intertareas, ya que, en su configuración, todas las tareas son iguales ex ante.

II. Configuración

La economía consiste en un continuo de agentes de medida unitaria maximizadores del ingreso. La producción requiere tanto de conocimiento como de tiempo. Los agentes son heterogéneos en cuanto al conocimiento t, distribuido de acuerdo con algunas funciones de distribución acumulada continuas y estricta y monótonicamente crecientes Φ(t) con límite inferior t- y límite superior t-.25 La respectiva función de densidad de probabilidad se denota como ϕ(t). Los agentes pueden realizar un máximo de dos tareas.

1. Producción

Los agentes llevan a cabo proyectos que muestran rendimientos exitosamente en el valor p. Se componen de dos tareas específicas del proyecto, A y B, combinadas mediante la tecnología de Leontief. Ambas tareas requieren de tiempo y conocimiento para llevarse a cabo. La ejecución requiere del mismo tiempo, pero la dificultad de las tareas varía. Mientras que la tarea A puede ser realizada por todos los agentes, la tarea B se caracteriza por una extracción de dificultad idiosincrásica q distribuida de acuerdo con algunas funciones de distribución acumulada continuas, estricta y monótonicamente crecientes Ψ(q) -la respectiva función de densidad de probabilidad se denota como ψ (q)-. Únicamente agentes con tq tienen éxito en la producción de tareas. Por lo tanto, cada agente se enfrenta a una probabilidad ex ante de lograr la tarea B de Ψ(t) y los agentes pueden clasificarse por talentos, es decir, los agentes con t > t′ pueden llevar a cabo cada una de las tareas que un agente con talento t′ puede ejecutar. La dificultad de la tarea no es observable: los agentes son capaces o no de ejecutar una tarea, pero nunca notan la dificultad real de la tarea.26

2. Especificidad por proyecto

Es importante considerar que las tareas A y B son específicas por proyecto. No es posible emparejar tareas aleatorias A y B ejecutadas exitosamente, sino que, para poder terminar un proyecto dado, ambas tareas específicas del proyecto tienen que llevarse a cabo. Los agentes sólo se dan cuenta si son capaces de ejecutar una tarea B dada una vez que la intentan. Por lo tanto, independientemente del cumplimiento, cada agente puede intentar ejecutar un máximo de dos tareas.

3. Cooperación

Existen dos tipos posibles de cooperación. En primer lugar, al momento de ejercer un costo fijo ca los agentes pueden participar en la cooperación intertareas y asignar las distintas tareas entre ellos.27 Un agente se especializa en la producción de la tarea A y el otro en la tarea B. En lo sucesivo, llamaré a los agentes que se especializan en la tarea A trabajadores de producción (W) y a aquellos que se especializan en la tarea B, emprendedores de producción (E). Empíricamente, muchos trabajos no requieren de ningún conocimiento específico (más allá de la capacitación general para el trabajo).

En segundo lugar, los agentes pueden participar en el mercado spot ex post, donde se comercian los proyectos inconclusos. A este tipo de coope-ración lo llamo cooperación intratareas. Para pasar un proyecto inconcluso -incluyendo una tarea fallida B y una tarea terminada A- a otro agente es necesario un costo fijo cp . Para los compradores, la probabilidad de una ejecución exitosa es menor dado que alguien ya ha fracasado en ejecutarla exitosamente. Sin embargo, la tarea A específica del proyecto ya se ejecutó. A esos compradores los denomino consultores (C). Los agentes que están dispuestos a vender en el mercado spot se indican con el subíndice c. Supongo que una tarea inconclusa únicamente puede transferirse a otro agente una sola vez.28 Una diferencia que cabe destacar entre la cooperación intratareas y la cooperación intertareas es que la primera tiene como objetivo reducir la probabilidad de que haya proyectos inconclusos a costa de proyectos que se inician.

A los agentes que se abstienen de cualquier tipo de cooperación se les llama autárquicos (A). Obviamente, los agentes también pueden participar en ambos tipos de cooperación.29 Elimino todas las cuestiones que tengan que ver con pasivos financieros. Los costos fijos y los pagos de remuneraciones se cubren independientemente del éxito o el fracaso de los proyectos.

4. Tiempos

Los tiempos del proceso de producción son los siguientes:

  1. Se crean las formas de cooperación intertareas y se asignan las tareas.

  2. Se extrae la dificultad idiosincrásica q.

  3. Se intenta ejecutar todas las tareas asignadas (y se terminan, de ser posible).

  4. Se abre el mercado spot y se pueden comerciar los proyectos inconclusos.

  5. Se intenta ejecutar todas las tareas asignadas (y se terminan, de ser posible).

  6. Los proyectos finales se ensamblan y se venden.

III. El problema de la maximización de los agentes

El análisis se divide entre decidir con qué emprendedores y consultores cooperar y la decisión de la elección ocupacional de los agentes.30 La elección ocupacional se refiere a si un agente quiere ser parte de una forma de cooperación y a qué función desea ejercer dentro de la forma de cooperación en cuestión.

1. El problema de la maximización de los emprendedores

Los agentes de las formas de cooperación intertareas eligen con quién cooperar y cómo distribuir las tareas. Dado que cualquier agente puede ejecutar la tarea A, a los agentes menos talentosos de una cooperación se les asignan estas tareas a fin de aumentar la probabilidad de éxito. La cantidad de tareas A ejecutadas es igual a la de tareas B debido a la especificidad por proyecto de las tareas.

De este modo, los emprendedores eligen al trabajador con talento s para maximizar sus ganancias πEt, es decir:

(1)

Dado que cualquier trabajador es capaz de ejecutar la tarea A, los emprendedores eligen simplemente al trabajador que acepte el salario más bajo w(s). En equilibrio, prevalece siempre un salario fijo w.

2. El problema de la maximización del consultor

Los consultores eligen a qué agente le compran tareas inconclusas para maximizar sus ingresos:

(2)

donde s indica el talento del vendedor. El precio que un agente con talento s recibe por vender su proyecto inconcluso se denota como r(s). Evidentemente, todos los agentes que fracasan en la ejecución de la tarea B están dispuestos a vender sus proyectos inconclusos al mejor postor siempre y cuando reciban un precio positivo. La probabilidad condicional de éxito se puede expresar como:

(2)

En equilibrio, los compradores en el mercado spot ex post son más talentosos que los respectivos compradores si de lo contrario la probabilidad de éxito fuera 0. Esto lleva a la siguiente condición de optimización:

(3)

donde ψ (s) es el incremento marginal de la probabilidad de éxito en el punto s. El precio marginal de un proyecto inconcluso es igual al retorno marginal que ofrece y depende tanto del talento del agente que vende el proyecto inconcluso como del talento del que lo compra.31 Dado que Ψ(t) tiene como límite superior 1, el precio r(s) disminuye a razón de s. Esto ilustra el hecho de que, ceteris paribus, los consultores prefieren comprar los proyectos de los peores agentes, ya que esto aumenta su probabilidad condicional de éxito. El problema de la maximización de los consultores es independiente de la ocupación del vendedor, ya que el pago y los costos fijos ocurren por proyecto.

3. Elección ocupacional

Un agente con talento t elige la ocupación que maximiza sus ingresos esperados, es decir,

(4)

Los agentes que participan en una forma de cooperación tienen también que elegir con quién cooperan, como se comentó anteriormente. En este punto, elimino esta dependencia para simplificar la notación. Los ingresos de las respectivas ocupaciones son los siguientes:

(5)

(6)

(7)

(8)

(9)

(10)

IV. El equilibrio del mercado y el equilibrio competitivo

En esta sección se procede a analizar las condiciones del establecimiento del equilibrio del mercado. La oferta de trabajadores tiene que ser igual a la demanda de emprendedores, y la oferta de proyectos inconclusos en el mercado spot ex post tiene que ser igual a su demanda en cada punto.

1. Establecimiento del equilibrio del mercado laboral

Dejemos que AW denote el conjunto de trabajadores y que AETAEAEC represente el conjunto de todos los emprendedores, independientemente de si participan en la cooperación intratarea o no. Empleo e(t) para denotar al emprendedor que se empareja con un trabajador de talento t. El mercado laboral se equilibra si por cada tAAC.

(11)

El lado izquierdo de la ecuación representa la oferta de trabajadores y el lado derecho, la demanda correspondiente por parte de los emprendedores. La notación anterior implica un emparejamiento selectivo positivo. Más adelante, en la subsección 1 de la sección V, demuestro que el emparejamiento entre trabajadores y emprendedores es indeterminado y, por lo tanto, ésta es una suposición sin pérdida de generalidad.

2. Establecimiento del equilibrio en el mercado de tareas

De manera similar, la oferta de proyectos inconclusos en el mercado spot ex post tiene que igualar la demanda en cada punto. Dejemos que AAC(AEC) indique el conjunto de agentes autárquicos (emprendedores) que participan en formas intratareas de cooperación. El conjunto de consultores que les compran proyectos inconclusos a los agentes autárquicos (emprendedores) se indica como: ACA(ACE). Asimismo, el consultor que se empareja con un agente autárquico (emprendedor) de talento t se denomina cA(t)(cEt).32 Para que los mercados de tareas B inconclusas se equilibren en cada punto, es necesario que por cada tAW haya

(12)

y que por cada tAEc haya

(13)

El lado izquierdo de las ecuaciones (12) y (13) es la oferta de tareas B inconclusas de los agentes y emprendedores autárquicos, respectivamente. Estos últimos tienen dos veces más probabilidades de fracasar, ya que se les asigna dos veces la tarea B. Por su parte, el lado derecho de las ecuaciones representa la demanda de los proyectos inconclusos entre los consultores, cada uno de los cuales demanda dos tareas inconclusas. Nuevamente, supongo de manera implícita un emparejamiento selectivo positivo. Más adelante, en la sección V, se comprueba que esto se mantiene en cualquier equilibrio.

3. El equilibrio competitivo

Ahora se puede definir la noción de equilibrio competitivo en esta economía como:

  1. Una colección de conjuntos ocupacionales, AW,AAC,AA,AEC,AE,ACA y ACE.

  2. Una función de ingresos, ωt:t_,t-R+.33

  3. Funciones de tareas, et:AWAE,cAt:AACACA y cEt:AEcACE.

Con ello, los agentes eligen las ocupaciones para maximizar sus ingresos -ecuación (4)-; los emprendedores y consultores eligen a sus colaboradores de manera que maximicen sus utilidades -ecuaciones (1) y (2)-, y se establece el equilibrio de los mercados laboral y de tareas -ecuaciones (11), (12) y (13)-.34

V. Propiedades del equilibrio

Ahora hay que enfocarse en algunas propiedades esenciales del equilibrio. Primero, se establece el patrón de emparejamiento entre los agentes junto con las funciones del precio de equilibrio w(t) y r(t). A continuación, se analiza el patrón de clasificación de los agentes por ocupación y se establece la existencia, singularidad y eficiencia de la asignación del equilibrio.

1. Emparejamiento

Recuérdese que hay un emparejamiento de 1:1 entre trabajadores y emprendedores en las formas de cooperación intertareas y que los trabajadores ejecutan exclusivamente la tarea A. No hay ninguna incertidumbre en el sentido de que en la tarea A a los trabajadores se les paga un salario fijo en equilibrio. Dado que los ingresos de los emprendedores no dependen del talento del trabajador, el patrón de emparejamiento explícito es indeterminado. Estos resultados se resumen en la siguiente proposición:

Proposición 1. Los trabajadores perciben un salario fijo w(t) = w > 0. El emparejamiento entre trabajadores y emprendedores es indeterminado.

En contraste, existe un claro patrón de emparejamiento entre los proyectos inconclusos y los consultores. Ceteris paribus, los consultores prefieren comprarles proyectos inconclusos a los peores agentes para aumentar su probabilidad condicional de éxito. Por lo tanto, el equilibrio del mercado implica que la función de precio r(t) se reduce monotónicamente.

Mientras que la probabilidad condicional de éxito se reduce respecto del talento del vendedor para todos los agentes, se reduce aún más para los peores consultores. Por lo tanto, el deseo de pagar por peores proyectos es mayor que el de pagar por mejores consultores. De este modo, todos los equilibrios exhiben un emparejamiento selectivo positivo. Los agentes más talentosos les pasan sus problemas no resueltos a los consultores más talentosos. Esto se resume en la siguiente proposición.

Proposición 2. Para cualquier precio positivo r(t) > 0 de proyectos inconclusos, se mantiene que ∂r (t)/∂t < 0. Toda asignación de equilibrio exhibe un emparejamiento selectivo positivo entre los conjuntos AAc y AcA (y también entre AEc y AcE.

Dado ese resultado, junto con el hecho de que hay un emparejamiento n(t) : 1 el mercado para proyectos inconclusos (con n(t) = 2/1− Ψ(t) para agentes autárquicos y n(t) = 1/1 − Ψ(t) para emprendedores) se obtiene directamente la función de asignación:

(14)

al derivar la condición del equilibrio del mercado de tareas. De manera similar,

(15)

Estas ecuaciones diferenciales, junto con los límites de los conjuntos ocupacionales, determinan la asignación del equilibrio. Se denota el límite entre los conjuntos Ai y Aj como tij ; por ejemplo, tAE denota el punto de separación entre agentes autárquicos y emprendedores.

2. Ingresos

Como se comentó anteriormente, un salario fijo w y una función de precio decreciente continua r(t) para los proyectos inconclusos prevalece en cualquier equilibrio. Aunado al hecho de que tanto la probabilidad de éxito Ψ(t) como la función de distribución acumulada Φ(t) aumentan continua y monotónicamente con el talento, esto implica que los ingresos aumentan igualmente.

Lema 1. En cualquier equilibrio, la función de ingresos ω (t) es continua y aumenta monotónicamente a razón de t.

3. Clasificación por ocupaciones

Un primer resultado relacionado con la clasificación del equilibrio es que algunos conjuntos ocupacionales tienen que estar vacíos en equilibrio. En particular, ya sea AA o AEc tienen que estar vacíos. Si algún emprendedor se enfrenta a un precio positivo r(t) en el mercado spot ex post, no pueden existir agentes autárquicos que se enfrenten a un precio no positivo en el mercado spot, y viceversa. Asimismo, dependiendo tanto de la distribución de talento como de la dificultad de la tarea, junto con los costos de cooperación, algunas formas de cooperación pueden no ocurrir en equilibrio.

Todo equilibrio exhibe una estratificación ocupacional, es decir, las ocupaciones forman conjuntos convexos. Según Kremer y Maskin (1996) y Legros y Newman (2002), es posible que debido a las complementariedades en la producción prevalezcan los conjuntos ocupacionales no convexos. Esto se descarta debido a la forma específica de complementariedad considerada en este modelo. Los conjuntos ocupacionales se pueden ordenar por talentos. La siguiente proposición resume esos resultados.

Proposición 3. Todo equilibrio se caracteriza por la estratificación ocupacional, es decir, los conjuntos ocupacionales son convexos. Los conjuntos ocupacionales pueden clasificarse en el orden AW,AAc,AA,AEc,AE,AcA y AcE. Los agentes menos talentosos se convierten en trabajadores, mientras que los más talentosos en consultores.

Por lo tanto, la asignación puede caracterizarse completamente por agentes de corte tij junto con las ecuaciones diferenciales derivadas de las condiciones del equilibrio del mercado antes mencionadas (véase la subsección 1 de la sección V).

4. Existencia, singularidad y optimización

Hasta ahora han sido descritas las propiedades de cualquier equilibrio potencial sin hacer referencia a si está o no garantizada la existencia y singularidad del equilibrio competitivo. En efecto, para cualquier conjunto de parámetros siempre existe una asignación del equilibrio única caracterizada por un conjunto de puntos de separación tWAc,tAcA,tAEc,tEcE,tECA y tcAcE. Si tij =tjk entonces el conjunto ocupacional Aj está vacío. Asimismo, se puede mostrar que el equilibrio es eficiente. La externalidad que ofrecen los agentes que venden sus proyectos inconclusos tiene precio, y por lo tanto, aplica el primer teorema del bienestar y el equilibrio competitivo es eficiente.

Proposición 4. Para cualquier conjunto de parámetros siempre existe una asignación del equilibrio competitivo única. El equilibrio competitivo es socialmente eficiente.

La prueba procede de la siguiente manera: al momento de dividir el espacio paramétrico, se muestra que para cada conjunto de parámetros únicamente existe un tipo de equilibrio posible, el cual se define como el grupo de conjuntos ocupacionales no vacíos. En la segunda parte de la prueba se demuestra que este posible equilibrio efectivamente existe y es, además, único. Finalmente, el equilibrio es eficiente.

Las distintas economías tienden a caracterizarse por diferentes tipos de equilibrio, dependiendo de la distribución de talento y la dificultad de la tarea, así como del valor de los proyectos y los costos de cooperación.

VI. Cooperación y desigualdad

El análisis de la interacción entre cooperación y desigualdad se divide en dos partes. En primer lugar, se consideran los efectos generales que tiene la cooperación sobre diferentes formas de desigualdad, para posteriormente enfocarme en la evolución de la cooperación y la desigualdad a lo largo del tiempo. Antes de continuar, es necesario definir distintos tipos de desigualdad.

Definición 1. La desigualdad en el grupo de bajos (altos) ingresos se mide según la proporción del ingreso entre los individuos que se ubican entre los percentiles 50 y 10% (90 y 50%) de la distribución del ingreso. El aumento en la desigualdad interna por grupo ocupacional se presenta cuando se observan ingresos marginales más altos de los agentes en un conjunto ocupacional, es decir, πi'(t) aumenta para todos los tAi .

La cooperación en este modelo se da principalmente entre los agentes con altos y bajos niveles de talento. Por consiguiente, la desigualdad en los grupos de altos o bajos ingresos capta la dispersión del ingreso entre los agentes que más se benefician de la cooperación y aquellos que se benefician menos.36 Las consecuencias que tiene la cooperación sobre la desigualdad entre la mano de obra altamente y poco calificada se analizan en la sección VII. En general, depende en gran medida de la distribución de talento qué agentes se benefician más de las distintas formas de cooperación. En particular, entre más sesgada (hacia la derecha) esté la distribución, mayor será la fracción de los ingresos que habrá de ir hacia los agentes más talentosos.

Cabe destacar que la asignación del equilibrio y los ingresos dependen exclusivamente de la distribución de talento “eficaz”, es decir, de la probabilidad de éxito Ψ(t) en la economía. La función de distribución acumuada puede escribirse como G(x) ≡ Φ (Ψ−1 (x)) para x ∈[0,1] y la respectiva función de densidad de probabilidad está dada por g(x) ≡ ∂G(x) /∂x = ϕ(x)/ψ(x).37

1. Consecuencias de la cooperación sobre la desigualdad

La clasificación del equilibrio implica que los agentes involucrados en la cooperación siempre forman conjuntos convexos, tanto en la base como en la cima de la distribución de talento. Sin embargo, la cooperación afecta de manera distinta a los agentes con poco o mucho talento. El talento de los agentes que se ubican en la cima de la distribución se utiliza para ejercer presión en todo el proceso de cooperación, por lo que los retornos marginales por talento aumentan en la cima. En contraste, el talento de los agentes poco calificados tiene menos importancia dentro de las distintas formas de cooperación y, por lo tanto, los retornos marginales por talento disminuyen en la base.38 Por lo tanto, las formas de cooperación reducen la desigualdad del ingreso entre los agentes menos talentosos y aumentan la desigualdad entre los individuos más talentosos.

La desigualdad siempre es mayor para los agentes involucrados en la cooperación intratareas que para aquellos que participan en la cooperación intertareas. La función del ingreso sigue una pendiente más inclinada en el caso de la cooperación intratareas tanto en la base como en la cima de la distribución. Estos resultados se resumen en la siguiente proposición:

Proposición 5. La cooperación reduce la desigualdad en el grupo de bajos ingresos y aumenta la desigualdad en el grupo de altos ingresos. Los retornos marginales al talento son mayores en las formas de cooperación intratareas que en las formas de cooperación intertareas.

Los resultados para una distribución logarítmica normal del “talento eficaz” se muestran en la Gráfica 1. Los agentes autárquicos siempre ganan su probabilidad de éxito esperada en la tarea B, Ψ(t), ya que el precio p se fija como 1. Las gráficas de cooperación se representan de manera que un tercio de los agentes permanecen autárquicos. Esos agentes son medianamente talentosos. No son lo suficientemente talentosos para contratar trabajadores o comprar proyectos inconclusos y, a su vez, son demasiado caros para contratarse como trabajadores y enfrentarse a un precio no positivo en el mercado spot ex post. Por consiguiente, tanto los agentes más talentosos como los menos talentosos ganan debido a la cooperación.

Gráfica 1 Cambio en los ingresos debido a la cooperación (distribución logarítmica normal del talento). 

Los ingresos marginales son mayores para los agentes altamente talentosos que participan en un esquema de cooperación, y aún más en el caso de la cooperación intratarea. En contraste, los ingresos marginales son menores bajo un esquema de cooperación para los agentes con poco talento, y aún más en el caso de la cooperación intertarea. De este modo, tanto entre los agentes altamente talentosos como entre los agentes con poco talento, la cooperación intratarea lleva a una mayor desigualdad que la cooperación intertarea.39

2. La evolución de la cooperación y la desigualdad

A la luz de las disminuciones en los costos de cooperación (especialmente en las tecnologías de la comunicación), me enfoco ahora en el efecto que tiene la reducción marginal en los costos de cooperación sobre la clasificación y la desigualdad cuando ya está presente alguna forma de cooperación. Todo cambio marginal en los costos de cooperación tiene algún efecto únicamente si ese tipo de cooperación ya existe. Por lo tanto, me enfocaré en el supuesto de que ya existen ambas formas de cooperación, dado que los resultados son claros cuando prevalece un solo tipo de cooperación. En ese caso, una reducción en los costos de cooperación lleva a un aumento de la desigualdad en el grupo de altos ingresos y a una reducción de la desigualdad en el grupo de bajos ingresos.40

En primer lugar, los ingresos de todos los agentes que cooperan se ven afectados por cualquier disminución en los costos de cooperación debido a los efectos del equilibrio general. Sin embargo, éstos cambian más en los conjuntos ocupacionales directamente afectados (e. g., AW y AE si ca desciende) que en aquellos que se ven afectados en virtud de los efectos del equilibrio general. Por lo tanto, la desigualdad entre los agentes altamente talentosos aumenta cuando cp cae, ya que los consultores ganan con respecto a los emprendedores, y viceversa cuando ca cae. De manera similar, los agentes que venden en el mercado spot ex post ganan con respecto a los trabajadores cuando cp cae. Sin embargo, los trabajadores siempre ganan por una caída en los costos de cooperación debido a la creciente demanda de agentes poco calificados. A su vez, una reducción en ca de hecho disminuye los ingresos de los agentes autárquicos que participan en mercados ex post, ya que los emprendedores demandan menos mano de obra poco calificada que los consultores.41

Ahora procederé a analizar la desigualdad interna por grupo ocupacional. Los ingresos marginales de trabajadores y emprendedores son independientes de su emparejamiento y, por lo tanto, la desigualdad dentro de los grupos ocupacionales para estos conjuntos no se ve afectada por los costos de cooperación. En contraste, los ingresos marginales de los agentes que participan en el mercado spot ex post dependen de con quién se emparejen. Los cambios en el patrón de emparejamiento afectan la desigualdad dentro de estos grupos ocupacionales. Más específicamente, la desigualdad dentro de un grupo ocupacional aumenta en AAc y AC si y solo si el talento de su respectivo par aumenta. Las reducciones de cp hacen que cada agente en AC(AAc) se empareje con un agente más (menos) talentoso. Por consiguiente, la desigualdad dentro del grupo aumenta para los consultores y disminuye para los agentes en AAc. A su vez, las reducciones de ca implican que cada consultor se empareja con un agente peor y, por lo tanto, disminuye la desigualdad dentro del grupo ocupacional entre los consultores.

Proposición 6. Si ambos tipos de cooperación están presentes, una reducción en cp lleva a un incremento en la desigualdad dentro del grupo ocupacional en AC y a una reducción en AAc. Lo contrario se mantiene cierto para una reducción en ca .

Estos hechos se ilustran en las Gráficas 2 y 3, que documentan una caída en ca y cp , respectivamente. En general, podemos concluir que las reducciones en los costos de la cooperación intratareas aumentan más la desigualdad que las reducciones en los costos de la cooperación intertareas, en particular en la cima de la distribución del ingreso.

Gráfica 2 Cambio en los costos de cooperación intertareas para una distribución logarítmica normal del talento. 

Gráfica 3 Cambio en los costos de cooperación intratareas para una distribución logarítmica normal del talento. 

VII. Adquisición de conocimiento endógeno

Analicemos ahora brevemente la adquisición del conocimiento endógeno. Hasta ahora, hemos supuesto que la distribución del talento es exógena, pero en realidad, la elección del nivel de logro educativo es endógena. Por lo tanto, a continuación se muestra la manera en que los resultados se mantienen una vez que se toma en cuenta la adquisición de conocimiento endógeno.

Supongamos que t es una variable de elección que depende de los costos del conocimiento y la habilidad innata, denominados ξ. Más específicamente, hay un costo de adquirir un cierto nivel de talento t que es igual a c(t, ξ). Bajo condiciones bastante regulares, los agentes dotados de mayores habilidades innatas adquirirán más conocimiento y se colocarán en mejores ocupaciones.42 Además, todo incremento en los ingresos marginales, ω′(t), ocasiona que los agentes que óptimamente eligen t (ξ) adquieran más conocimiento dado que c(t, ξ) es convexo en t.

Esto es suficiente para analizar los efectos de la cooperación sobre la adquisición de conocimiento endógeno. Todos los agentes que experimentan una disminución en los ingresos marginales en el nivel de talento elegido t(ξ) adquieren menos conocimiento debido a la cooperación, y lo opuesto se mantiene para los agentes cuyos ingresos marginales aumentan. Mientras que la cooperación lleva a una disminución en los ingresos marginales en la base de la distribución de talento acompañada de un aumento en la cima de la misma, la adquisición de conocimiento endógeno implica un aumento en la desigualdad.43 Por lo tanto, la inclusión de la adquisición de conocimiento endógeno exacerba el resultado de que la cooperación tiende a incrementar la desigualdad del ingreso.

VII. Momentos más altos de la distribución de talento, cooperación y prima por habilidades

Finalmente, aquí se analiza la interacción entre los momentos más altos de la distribución de talento y los ingresos debidos a la cooperación. Sin cooperación, la función de ingresos sería independiente de la distribución de talento, ya que los ingresos de los agentes autárquicos dependen únicamente de su talento. Esto cambia una vez que tiene lugar la cooperación. Los incrementos en la dispersión o la asimetría de la distribución de talento pueden aumentar la prima por habilidades, lo cual coincide con el hecho de que los Estados Unidos experimentan tanto una distribución de talento más dispersa como una prima por habilidades más alta que Europa.44

Antes de continuar, cabe hacer algunas observaciones relacionadas con la inherente relación que existe entre las distribuciones de talento y la dificultad de las tareas.45 Dado que sólo la distribución de “talento eficaz” (probabilidad de éxito) importa, cualquier par de distribuciones Φ y Ψ implica la misma asignación de equilibrio e ingresos que la de otro par Φ* y Ψ* si

Esto significa que un aumento en la varianza de la distribución de talento tiene el mismo efecto que una disminución en la varianza de la distribución de las dificultades de la tarea B, ya que ambas implican un incremento en la varianza de la distribución de la probabilidad de éxito. Por lo tanto, tener más información sobre la dificultad de la tarea (y, por consiguiente, una menor varianza) tiene las mismas consecuencias que una distribución de talento más dispersa.

De manera similar, una distribución de talento que esté más sesgada hacia la derecha tiene las mismas consecuencias sobre la distribución del ingreso que la distribución de la dificultad de una tarea que tiene más masa en los problemas difíciles. Se puede decir que la masa relativa en los problemas difíciles aumenta con el tiempo. Esto tiene los mismos efectos que una distribución de talento más sesgada.

Ahora analizaré los efectos que tiene un aumento en la asimetría y la varianza de la distribución de la probabilidad de éxito sobre los ingresos, con un enfoque en el supuesto de que ambos tipos de cooperación ocurran en equilibrio.

1. Mayor asimetría

Esta discusión comienza con el análisis de un incremento en la asimetría de la distribución de talento, dado que los resultados son más claros. Una mayor asimetría implica que en la economía hay una mayor masa de agentes poco talentosos a comparación de los agentes altamente talentosos. Por lo tanto, la demanda de mano de obra poco calificada entre emprendedores y consultores disminuye en relación con la oferta de mano de obra poco calificada de los trabajadores y las tareas inconclusas en el mercado spot ex post y, por consiguiente, la prima por habilidades aumenta. En consecuencia, un aumento en la masa de problemas bastante difíciles en relación con los problemas sencillos lleva a un aumento en la prima por habilidades.

2. Mayor varianza

El resultado de un aumento en la varianza depende también de sus efectos sobre la oferta y la demanda de agentes poco calificados. Para ser más precisos, si la oferta, ya sea en el mercado laboral o en el mercado de tareas, aumenta en relación con su demanda, la prima por habilidades tiende a aumentar. Los resultados dependen ahora, de manera crucial, del tercer momento dominante.

Dado que los trabajadores se encuentran en la base de la distribución de talento, a diferencia de los emprendedores (en caso de que ocurran ambos tipos de cooperación), un incremento en la varianza aumenta el primer con-junto en relación con el último y, por lo tanto, disminuye el salario w en relación con los ingresos de los emprendedores. En contraste, la demanda en el mercado spot ex post tiende a aumentar en relación con la oferta debido a una mayor varianza, ya que los consultores se ubican en la cima de la distribución, mientras que los vendedores en el mercado de tareas no están en la base, siempre y cuando la distribución inicial de talento no esté lo suficientemente sesgada.46 En ese caso, los consultores pierden. Sin embargo, si la distribución de talento está muy sesgada hacia la derecha, tanto la oferta en el mercado laboral como en el mercado de tareas aumenta relativamente y, por consiguiente, la prima por habilidades aumenta claramente.

Estos resultados pueden observarse en las Gráficas 4 y 5. La comparación entre la línea punteada y la línea continua en la Gráfica 4 indica que tanto el conjunto superior como el inferior (AW y AC ) pierden debido a un aumento en la varianza para una distribución normal. En contraste, ambos conjuntos ocupacionales AAc y AE ganan. La Gráfica 5 muestra los cambios en los ingresos debido a un incremento en la varianza para una distribución logarítmica normal. Nuevamente, la línea punteada representa la distribución con la misma media, pero con una varianza mayor que la de la línea continua. En ese caso, tanto los emprendedores como los consultores ganan, mientras que los trabajadores y los agentes autárquicos que participan en la cooperación intratareas, pierden. La caída en el salario de equilibrio w es sustancial y la prima por habilidades es mayor en la economía más dispersa. De este modo, una economía como la de los Estados Unidos, que tiene una distribución del talento más dispersa en comparación con la de Europa, presenta una varianza mayor en los ingresos debido tanto a mayores retornos por talento como a una distribución inherente de talento más dispersa.

Gráfica 4 Cambio en la varianza de una distribución normal de talento. 

Gráfica 5 Cambio en la varianza de una distribución logarítmica normal de talento. 

Conclusiones

En resumen, se desarrolló un modelo de cooperación de agentes heterogéneos que distingue dos formas de cooperación a fin de estudiar el efecto que tiene la cooperación sobre la desigualdad. En general, la cooperación lleva a un aumento de la desigualdad en el grupo de ingresos mayores y a una disminución de la desigualdad en el grupo de bajos ingresos a costa de la clase media. Esto contrasta con Kremer (1993), donde la desigualdad aumenta en cada nivel y depende crucialmente del hecho de que la cooperación ocurra entre agentes altamente talentosos y agentes poco talentosos. Compete a la investigación empírica observar si la cooperación ocurre principalmente entre agentes con habilidades similares, pero la firme estructura jerárquica apunta hacia la cooperación entre distintos niveles de talento.

La revolución de las TIC acontecida en los últimos años redujo el costo de la cooperación intratareas con respecto a la cooperación intertareas. Esto nos lleva a un aumento de la desigualdad en la cima de la distribución y de la desigualdad dentro de las ocupaciones entre consultores, lo que concuerda con las recientes tendencias de la desigualdad en los grupos de mayores ingresos.

Asimismo, se ha demostrado que la cooperación ayuda a explicar la correlación positiva que se observa entre la varianza de la distribución de talento y la prima por habilidades. Por una parte, en el caso de las distribuciones de talento suficientemente sesgadas, un incremento en la varianza aumenta la prima por habilidades a medida que aumenta la oferta relativa en los mercados de emparejamiento. Por otra parte, si con el tiempo mejora la información acerca de la dificultad de las tareas -o los problemas se vuelven mucho más difíciles- se espera que la prima por habilidades aumente a lo largo del tiempo. Finalmente, se analizó de manera breve el hecho de que la adquisición de talento endógeno exacerba los resultados centrales del artículo.

Las políticas del mercado laboral que reducen los costos de transacción generalmente se consideran beneficiosas.

Este artículo resalta la idea de que una evaluación empírica detallada sobre el tipo de cooperación que aporte más beneficios es crucial debido a las distintas consecuencias que tiene sobre la desigualdad del ingreso.

Referencias bibliográficas

Acemoǧlu, D. (1998), “Why Do New Technologies Complement Skills? Directed Technical Change and Wage Inequality”, The Quarterly Journal of Economics, vol. 113, núm. 4, pp. 1055-1089. [ Links ]

_____ (2003), “Patterns of Skill Premia”, The Review of Economics Studies, vol. 70, núm. 2, pp. 199-230. [ Links ]

Acemoǧlu, D., y D. Autor (2011), “Finance and Growth: Theory and evidence”, en D. Card y O. Ashenfelter (eds.), Handbook of Labor Economics, vol. 4, parte B, cap. 12, Elsevier, Ámsterdam, pp. 1043-1171. [ Links ]

_____, A. Ozdaglar y A. Tahbaz-Salehi (2010), “Cascades in Networks and Aggregate Volatility”, documento de trabajo de investigación del NBER núm. 16 516, NBER, Cambridge, Massachusetts. [ Links ]

Akçomak, I. S., L. Borghans y B Ter Weel (2011), “Measuring and Interpreting Trends in the Division of Labour in the Netherlands”, The Economist, vol. 159, núm. 4, pp. 435-482. [ Links ]

Askenazy, P., y C. Gianella (2001), “The Productivity Paradox: Organisational Changes Complement Computerisation”, Economie et Statistique, núm. 339-340, pp. 219-242. [ Links ]

Atkinson, A. B. (1997), “Bringing Income Distribution in from the Cold”, The Economic Journal, vol. 107, núm. 441, pp. 297-321. [ Links ]

Becker, G. S. (1973), “A Theory of Marriage: Part 1”, Journal of Political Economy, vol. 81, núm. 4, pp. 813-846. [ Links ]

Blakcburn, M. L., y D. Neumark (1991), “Omitted-ability Bias and the Increase in the Return to Schooling”, documento de trabajo del NBER núm. 3 693, NBER, Cambridge, Massachusetts. [ Links ]

Bloom, N., L. Garicano, R. Sadun y J. Van Reenen (2014), “The Distinct Effects of Information Technology and Communication Technology on Firm Organization”, Management Science, vol. 60, núm. 12, pp. 2859-2885. [ Links ]

Borghans, L., y B. Weel (2006), “The Division of Labour, Worker Organisation, and Technological Change”, The Economic Journal, vol. 116, núm. 509, pp. F45-F72. [ Links ]

Bresnahan, T. F., L. M. Hitt y E. Brynjolfsson (2002), “Information Technology, Work-place Organization, and the Demand for Skilled Labor: Firm-level Evidence”, Quarterly Journal of Economics, vol. 117, núm. 1, pp. 339-376. [ Links ]

Bronars, S. G., y G. S. Oettinger (2006), “Estimates of the Return to Schooling and Ability: Evidence from Sibling Data”, Labour Economics, vol. 13, núm. 1, pp. 19-34. [ Links ]

Calvo, G. A., y S. Wellisz (1978), “Supervision, Loss of Control, and the Optimum Size of the Firm”, Journal of Political Economy, vol. 86, núm. 5, pp. 943-952. [ Links ]

_____ , y S. Wellisz (1979), “Hierarchy, Ability, and Income Distribution”, The Journal of Political Economy, vol. 87, núm. 5, pp. 991-1 010. [ Links ]

Cameron, S. V., y J. J. Heckman (1991), “The Nonequivalence of High School Equivalents”, documento de trabajo del NBER núm. 3 804, NBER, Cambridge, Massachusetts. [ Links ]

Capelli, P. (1996), “Technology and Skill Requirements: Implications for Establishment Wage Structures”, New England Economic Review, número especial, pp. 139-156. [ Links ]

Caroli, E., y J. Van Reenen (2001), “Skill-biased Organizational Change? Evidence from a Panel of British and French Establishments”, Quarterly Journal of Economics, vol. 116, núm. 4, pp. 1 449-1 492. [ Links ]

Costinot, A., J. Vogel y S. Wang (2013), “An Elementary Theory of Global Supply Chains”, The Review of Economics Studies, vol. 80, núm. 1, pp. 109-144. [ Links ]

David, H., F. Levy y R. J. Murnane (2002), “The Skill Content of Recent Technological Change: An Empirical Exploration”, Quarterly Journal of Economics, vol. 118, núm. 4, pp. 1 279-1 333. [ Links ]

Devroye, D., y R. Freeman (2002), “Does Inequality in Skills Explain Inequality of Earnings Across Advanced Countries?”, documento de discusión del NBER núm. 8 140, NBER, Cambridge, Massachusetts. [ Links ]

Dorn, D., y D. Autor (2009), “Inequality and Specialization: The Growth of Low-skill Service Jobs in the United States”, serie de documentos de discusión del IZA núm. 4 290, IZA, Bonn. [ Links ]

Esteban, J., C. Gradín y D. Ray (2007), “An Extension of a Measure of Polarization, with an Application to the Income Distribution of Five OECD Countries”, The Journal of Economic Inequality, vol. 5, núm. 1, pp. 1-19. [ Links ]

Forman, C., A. Goldfarb y S. Greenstein (2012), “The Internet and Local Wages: A Puzzle”, The American Economic Review, vol. 102, núm. 1, pp. 556-575. [ Links ]

Foster, J. E., y M. C. Wolfson (2010), “Polarization and the Decline of the Middle Class: Canada and the U. S.”, The Journal of Economic Inequality, vol. 8, núm. 2, pp. 247-273. [ Links ]

Galor, O., y O. Moav (2000), “Ability-biased Technological Transition, Wage Inequality, and Economic Growth”, The Quarterly Journal of Economics , vol. 115, núm. 2, pp. 469-497. [ Links ]

_____, y D. Tsiddon (1997), “Technological Progress, Mobility, and Economic Growth”, The American Economic Review, vol. 87, núm. 3, pp. 363-382. [ Links ]

Garicano, L. (2000), “Hierarchies and the Organization of Knowledge in Production”, Journal of Political Economy, vol. 108, núm. 5, pp. 874-904. [ Links ]

_____, y A. Prat (2011), “Organizational Economics with Cognitive Costs”, documento de discusión de la CEPR núm. 8 372, CEPR, Londres. [ Links ]

_____, y E. Rossi-Hansberg (2004), “Inequality and the Organization of Knowledge”. The American Economic Review, vol. 94, núm. 2, pp. 197-202. [ Links ]

_____, y E. Rossi-Hansberg (2006), “Organization and Inequality in a Knowledge Economy”, The Quarterly of Economics, vol. 121, núm. 4, pp. 1 383-1 435. [ Links ]

Gibbons, R. (2005), “Four formal(izable) Theories of the Firm?”, Journal of Economic Behavior & Organization, vol. 58, núm. 2, pp. 200-245. [ Links ]

Grossman, G. M. (2004), “The Distribution of Talent and the Pattern and Conse-quences of International Trade”, Journal of Political Economy, vol. 112, núm. 1, pp. 209-239. [ Links ]

_____, y G. Maggi (2000), “Diversity and Trade”, The American Economic Review, vol. 90, núm. 5, pp. 1 255-1 275. [ Links ]

Horvat, M. (1998), “Cyclicality and Sectoral Linkages: Aggregate Fluctuations from Independent Sectoral Shocks”, Review of Economic Dynamics, vol. 1, núm. 4, pp. 781-808. [ Links ]

Horvat, M. (2000), “Sectoral Shocks and Aggregate Fluctuations”, Journal of Monetary Economic, vol. 45, núm. 1, pp. 69-106. [ Links ]

Jones, C. I. (2011), “Intermediate Goods and Weak Links in the Theory of Economic Development”, American Economic Journal: Macroeconomics, vol. 3, núm. 2, pp. 1-28. [ Links ]

Katz, L. F., y D. H. Autor (1999), “Change in the Wage Structure and Earnings Inequality”, en C. A. Orley y D. Card (eds.), Handbook of Labor Economic, vol. 3, parte A, cap. 26, Elsevier, Ámsterdam , pp. 1 463-1 555. [ Links ]

_____ , y K. M. Murphy (1992), “Changes in Relative Wages, 1963-1987: Supply and Demand Factors”, The Quarterly Journal of Economics, vol. 107, núm. 1, pp. 35-78. [ Links ]

Kremer, M. (1993), “The O-ring Theory of Economic Development”, The Quarterly Journal Economics, vol. 108, núm. 3, pp. 551-575. [ Links ]

_____ , y E. Maskin (1996), “Wage Inequality and Segregation by Skill”, documento de trabajo del NBER núm. 5 718, NBER, Cambridge, Massachusetts. [ Links ]

Krueger, D., F. Perri, L. Pistaferri y G. L. Violante (2010), “Cross Sectional Facts for Macroeconomists”, Review of Economic Dynamics, vol. 13, núm. 1, pp. 1-14. [ Links ]

Krussel, P., L. E. Ohanian, J. V. Ríos-Rull y G. L. Violante (2000), “Capital-skill Complementary and Inequality: A Macroeconomic Analysis”, Econometrica, vol. 68, núm. 5, pp. 1 029-1 053. [ Links ]

Legros, P., y A. F. Newman (2002), “Monotone Matching in Perfect and Imperfect Worlds”, Review of Economic Studies, vol. 69, núm. 4, pp. 925-942. [ Links ]

Leuven, E., H. Oosterbeek y H. Van Ophem (2004), “Explaining International Differ-ences in Male Wage Differentials by Differences in Demand and Supply of Skill”, The Economic Journal, vol. 114, núm. 495, pp. 466-486. [ Links ]

Levine, D. K. (2012), “Production Chains”, Review of Economic Dynamics, vol. 15, núm. 3, pp. 271-282. [ Links ]

Lucas Jr., R. E. (1978), “On the Size Distribution of Business Firms”, Bell Journal of Economics, vol. 9, núm. 2, pp. 508-523. [ Links ]

Mayer, T. (1960), “The Distribution of Ability and Earnings”, The Review of Economics and Statistics, vol. 42, núm. 2, pp. 189-195. [ Links ]

McCall, L., y C. Percheski (2010), “Income Inequality: New Trends and Research Directions”, Annual Review of Sociology, vol. 36, pp. 329-347. [ Links ]

Michaels, G. (2007), “The Division of Labour, Coordination, and the Demand for Information Processing”, documento de discusión del Centro para la Investigación Política Económica, Centro para la Investigación Política Económica, Escuela de Ciencias Económicas y Políticas de Londres, Londres. [ Links ]

_____, A. Natraj y J. V. Reenen (2014), “Has ICT Polarized Skill Demand? Evidence from Eleven Countries over 25 Years”, Review of Economics and Statistics, vol.96, núm. 1, pp. 60-77. [ Links ]

Mobius, M., y R. Schoenle (2000), “The Evolution of Work”, documento de trabajo del NBER núm. 12 694, NBER, Cambridge, Massachusetts . [ Links ]

Neal, D., y S. Rosen (2000), “Theories of the Distribution of Earnings”, en A. Arkinson y F. Bourguignon (eds.), Handbook of Income Distribution, vol.1, cap. 7, Elsevier, Ámsterdam , pp. 379-427. [ Links ]

Ohnsorge, F., y D. Trefler (2007), “Sorting it out: International Trade with Heterogeneous Workers”, Journal of Political Economy, vol. 115, núm. 5, pp. 868-892. [ Links ]

Piketty, T. (2014), Capital in the Twenty-First Century, The Belknap Press of Harvard University Press, Cambridge, Massachusetts. [ Links ]

Poschke, M. (2014), “The firm Size Distribution Across Countries and Skill-biased Change in Entrepreneurial Technology”, documento de discusión de IZA núm. 7 991, IZA, Bonn. [ Links ]

Rosen, S. (1982), “Authority, Control, and the Distribution of Earnings”, Bell Journal of Economics, vol. 13, núm. 2, pp. 311-323. [ Links ]

Saint-Paul, G. (2001), “On the Distribution of Income and Worker Assignment under Intrafirm Spillovers, with Application to Ideas and Networks”, Journal of Political Economy, vol. 109, núm, 1, pp. 1-37. [ Links ]

_____ (2007), “Knowledge Hierarchies in the Labor Market”, Journal of Economic Theory, vol. 137, núm. 1, pp. 104-126. [ Links ]

Sattinger, M. (1993), “Assigment Models of the Distribution of Earnings”, Journal of Economic Literature, vol. 31, núm. 2, pp. 831-880. [ Links ]

Smith, A. (1845), An Inquiry into the Nature and Causes of the Wealth of Nations, editado por Thomas Nelson, Stevenson & Co., Edinburgo, Escocia. [ Links ]

Tuck, R. (1954), An Essay on the Economic Theory of Rank, Basil Blackweel, Oxford, Londres. [ Links ]

Violante, G. L. (2008), “Skill-biased Technical Change”, en S. N. Durlauf y L. E. Blume (eds.), The New Palgrave Dictionary of Economics, Palgrave Macmillan, Basingstoke, Londres. [ Links ]

Williamson, O. E. (1967), “Hierarchical Control and Optimum Firm Size”, Journal of Political Economy, vol. 75, núm. 2, pp. 123-138. [ Links ]

1Este hecho se documenta ampliamente en la literatura sobre economía del trabajo —véanse, por ejemplo, Katz y Murphy (1992), Katz y Autor (1999)—.

2Para consultar un largo debate sobre las diferentes fuerzas que están en juego, véanse Katz y Autor (1999) y McCall y Percheski (2010).

3Esta vertiente de la economía organizacional se ha explorado menos y en ella se han adentrado Garicano y Prat (2011).

5A finales del siglo XVIII la producción de un solo alfiler estaba dividida en dieciocho operaciones distintas Smith, (1845). En la actualidad, la fabricación de un Boeing 747 requiere de más de 6 000 000 de partes, cada una de las cuales requiere de otra serie de operaciones (Levine, 2012).

6Véase Michaels (2007). El incremento en la cooperación coincide con el hecho de que el tamaño promedio de una empresa aumenta con el tiempo. Véase Poschke (2014) para consultar un resumen de la evidencia empírica del aumento del tamaño promedio de las empresas al paso del tiempo. Este autor, ofrece pruebas de que el número de emprendedores y trabajadores autónomos disminuye con el tiempo, lo que coincide con mi modelo.

7Véanse Dorn y Autor (2009) y Borghans y Weel (2006), quienes argumentan que el aumento en la especialización de los agentes puede atribuirse a mejoras en las posibilidades de comunicación. El hecho de que en los últimos años las tareas se hayan desagregado se documenta con más detalle en Akçomak, Borghans y Ter Weel (2011).

8 Bloom et al. (2014) documentan el reciente incremento en las TIC.

10Por ejemplo, en Kremer (1993) la cooperación lleva claramente a un incremento en la desigualdad. Kremer y Maskin (1996) tienen un modelo más general donde los efectos de la cooperación sobre la desigualdad del ingreso (bajo) son ambiguos.

11En particular, amplío una versión del modelo utilizado en una serie de artículos escritos por Garicano (2000) y Garicano y Rossi-Hansberg (2004, 2006) para incorporar ambos tipos de cooperación. En efecto, la segunda forma de cooperación mencionada está modelada como un mercado spot ex post donde los agentes que no son capaces de terminar sus tareas les venden sus proyectos a agentes más calificados. Garicano y Rossi-Hansberg (2006) muestran que la noción de un mercado de referidos, un mercado interno de expertos y un mercado de consultores externos es congruente con esa formulación analítica.

12En efecto, las habilidades requeridas para la tarea B siempre se desconocen. La única información que un agente recibe después de intentar realizar la tarea es si fue o no capaz de ejecutarla.

13El segundo tipo de cooperación es esencialmente el que analizan Garicano (2000) y Garicano y Rossi-Hansberg (2004, 2006).

14 Kremer (1993) ofrece un modelo de cooperación entre agentes dotados de las mismas habilidades. En ese caso, la desigualdad aumenta claramente en cada punto de la distribución de talento debido a la cooperación dado que, para que surja ese patrón de emparejamiento del equilibrio en particular, la ganancia de los agentes altamente calificados tiene que ser mayor que la de los agentes poco calificados.

15Este hecho se documenta en Forman, Goldfarb y Greenstein (2012), quienes también demuestran que, si bien el internet se ha difundido ampliamente, no sucede lo mismo con los beneficios de esta tecnología, lo cual coincide con nuestros resultados.

16Este hecho se documenta en Foster y Wolfson (2010) y Esteban, Gradín y Ray (2007), por ejemplo.

18Véanse también Grossman y Maggi (2000) y Leuven, Oosterbeek y Van Ophem (2004) estos segundos exploran otros intentos en la literatura por explicar la mayor dispersión en la distribución del ingreso en los Estados Unidos.

19Para conocer opiniones sobre las teorías alternativas que explican las diferencias salariales observadas, véanse Sattinger (1993) y Neal y Rosen (2000).

20Para consultar un panorama general de la literatura sobre el cambio tecnológico sesgado en favor de los trabajadores calificados véase Violante (2008).

21Véase el análisis de algunas de las teorías centrales de la empresa en Gibbons (2005).

22Por ejemplo, Calvo y Wellisz (1978, 1979) y Williamson (1967) desarrollan teorías jerárquicas de la empresa con base en incentivos.

23Véase el análisis de esta línea de investigación en Garicano y Prat (2011).

24Otro artículo sobre esta misma línea es el de Saint-Paul (2007).

25Los términos talento, habilidad y conocimiento se utilizan de manera intercambiable en todo el artículo.

26De lo contrario, buscarían específicamente agentes que posean un talento marginalmente por encima de la dificultad de la tarea en el mercado spot ex post.

27Estos costos fijos incluyen los costos de búsqueda y emparejamiento, así como otros costos de transacción específicos de la cooperación, como costos de contratación o costos judiciales potenciales.

28Esto simplifica el análisis. Garicano y Rossi-Hansberg (2004 y 2006) muestran que los resultados cualitativos no cambian cuando se permite que las tareas inconclusas se traspasen varias veces.

29Otras posibles denominaciones alternativas son cooperación ex ante y ex post, para resaltar el hecho de que algunas formas de cooperación se forjan antes de que se revele cualquier información sobre la dificultad de la tarea y otras después. Esas denominaciones también denotan la relación de bastante largo plazo de las formas de cooperación intertareas.

30La suposición de que los emprendedores y consultores eligen se hace sin pérdida de generalidad, es decir, tanto el patrón de emparejamiento como el de compensación son iguales si los trabajadores y agentes que venden proyectos inconclusos toman la decisión. Esto proviene de la singularidad del equilibrio competitivo (véase la proposición 4).

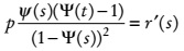
31Asimismo, la función del precio de equilibrio r(s) depende de toda la distribución de talento. Cuando no causa ninguna confusión, elimino la dependencia para simplificar la notación.

32Para completar, AA denota el conjunto de agentes autárquicos y AC el conjunto aglomerado de consultores.

33La función de ingresos depende de las dos funciones de precio, w(t) y r(t). Por lo tanto, podríamos reemplazar la función de ingresos con las funciones incrustadas en ella.

34Cabe destacar que algunos conjuntos ocupacionales pueden estar vacíos en equilibrio, dependiendo de los parámetros exógenos. En ese caso, los mercados laboral o de tareas pueden no existir.

35Asimismo, necesitamos que los conjuntos ocupacionales sean convexos para que estas ecuaciones se mantengan para cada t. Esto se comprueba más adelante en la subsección 3.

36Si la cooperación ocurriera entre agentes similares, como en Kremer (1993), la desigualdad aumentaría en general debido a que los agentes más talentosos cooperan entre sí únicamente si el incremento en sus ingresos es mayor que cuando cooperan con agentes menos talentosos.

37Utilizaré los términos “talento eficaz” y “talento” de manera indistinta cuando no cause ninguna confusión.

38En efecto, en la cooperación intertareas los retornos marginales por talento de los trabajadores se reducen a 0.

39Excluyo el supuesto en el que ambas formas de cooperación prevalecen, a fin de tener una mejor visibilidad en las gráficas. Más adelante analizaré ese caso en detalle.

40Se presenta un caso especial cuando todos los agentes participan en la cooperación intratareas. En este caso, una reducción posterior en los costos de cooperación no altera la asignación, y la reducción en cp se distribuye equitativamente entre todos los agentes. Esto implica que, en ese caso en particular, disminuyen tanto la desigualdad en el grupo de bajos ingresos como en el de altos ingresos.

41En particular, cada emprendedor demanda un trabajador, mientras que los consultores demandan, según la expectativa n (t) = 2/(1− Ψ(c −1(t))), mano de obra poco calificada.

42Un ejemplo de dicha función sería c (t, ξ) = (1 + t)1+1/ ξ .

43En efecto, los trabajadores aprovechan para adquirir conocimiento, ya que el retorno marginal al talento es 0 para esa ocupación.

44Véase Krueger et al. (2010) para consultar un análisis exhaustivo de las diferencias que existen entre países en cuanto a las primas por habilidades y la distribución del ingreso.

45Esto relaciona mi artículo con la investigación exhaustiva sobre la carrera educativa entre la demanda y la oferta de mano de obra altamente calificada. Para conocer un panorama general de esta literatura, véase Acemoǧlu y Autor (2011).

46Cabe destacar que, en contraste con el mercado laboral, los resultados en el mercado de tareas dependen de la demanda relativa en cada punto de la distribución de los consultores.

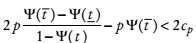
47Si tACA=tAcA la primera condición de indiferencia debe ser reemplazada por la condición relevante para tAcCA,

pΨtAcCA+1-ΨtAcCArtAcCA=2pΨtAcCA-Ψ(t_)1-Ψ(t_)-2cp-2r0

Apéndice

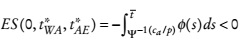
1. Prueba de la proposición 1

La prueba es por contradicción. Supongamos que un trabajador i gana un salario más alto que otro trabajador j, es decir, w(ti) > w(tj). La maximización del ingreso implica que todos los emprendedores prefieren contratar al agente j y que no existe demanda para el trabajador i, lo que contradice el equilibrio del mercado laboral. Los trabajadores pueden permanecer autárquicos, por lo que wpΨ(t) para todos los tAW.

Debido al salario fijo, ambos trabajadores y emprendedores son indiferentes en cuanto a con quién se emparejan. Por lo tanto, el patrón de emparejamiento es indeterminado.

2. Prueba de la proposición 2

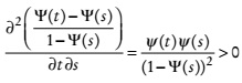
Primero, supongamos que el precio r(t) de los proyectos inconclusos es positivo y no decreciente en algún punto t′, es decir, r(t′) ≤ r(t′ + ϵ) para algunos ϵ > 0. Entonces, una masa estrictamente positiva de consultores desea contratar los proyectos inconclusos del agente con talento t′, lo que contradice el equilibrio del mercado de tareas. Por lo tanto, la función del precio r(t) tiene que disminuir en cada punto tAAc(AEc).

En segundo lugar, para probar el emparejamiento selectivo positivo, se consideran dos consultores con talento t1 > t2, y dos proyectos inconclusos ejecutados por dos agentes con talento t3 > t4. Como prevalece la estratificación ocupacional (lo cual se probará más adelante, en la sección 4), t2 > t3. Hacia una contradicción, supongamos que el emparejamiento selectivo negativo, es decir, el consultor con t1 (t2) compra el proyecto del agente con t4 (t3). La maximización del ingreso de los consultores implica que

y

Combinar estas dos desigualdades y manipular el lado izquierdo de la ecuación nos lleva a la siguiente condición necesaria:

lo cual simplifica la contradicción Ψ (t2) ≥ Ψ(t1), ya que t1 > t2.

Dicho de otra manera, la probabilidad de éxito condicional es supermodular en el talento del consultor y el agente que vende el proyecto inconcluso,

y de este modo, prevalece el emparejamiento selectivo positivo.

3. Prueba del lemas 1

Supóngase que los ingresos no son continuos en algún punto t', es decir, limϵ0ω(t'-ϵ)limϵ0ω(t'+ϵ). Sin pérdida de generalidad, supongamos que limϵ0ωt'-ϵ<limϵ0t'+ϵ.

Si ambos agentes con talento ω (t′ − ϵ) y ω (t′ + ϵ), desempeñan diferentes ocupaciones, el agente con talento t′ − ϵ podría ganar más en la otra ocupación, lo que contradice la maximización del ingreso. Si tienen la misma ocupación, el agente con talento t′ − ϵ puede ganar más emparejando al colaborador del agente con talento ω (t′+ ϵ), lo que nuevamente contradice la maximización del ingreso. Por lo tanto, la función del ingreso es continua. De manera similar, si no incrementara, el agente con más talento podría aumentar sus ingresos al cambiarse a la ocupación del agente menos talentoso y contratar a su colaborador, con lo que se contradice así la conducta que maximiza el ingreso.

4. Prueba de la proposición 3

Comienzo a mostrar el orden entre los conjuntos ocupacionales (potenciales). Por lo tanto, comparo por pares los conjuntos ocupacionales según el orden. La transitividad garantiza el resultado general. Los argumentos también se mantienen si algunos de los conjuntos están vacíos en equilibrio.

a) AW en contraste conAAc. Los trabajadores ganan un salario fijo, por lo tanto πWtt=0. Los ingresos marginales de un agente autárquico que participa en formas de cooperación ex post son:

al derivar (6) con respecto a t. El último término es claramente positivo, y el primer término es positivo si:

Esto se mantiene, de manera que para que el agente con talento cA(t) se convierta en consultor, es necesario que

Por lo tanto,

Hacia una contradicción, supongamos que t'>t'':t'AWt''AAc. La maximización del ingreso implica que el agente con t′ gana más como trabajador que en cualquier otra ocupación. En particular, πWt'=w>πAc(t'), pero esto contradice directamente la maximización del ingreso del agente con t′′ ya que dπAct/dt>0 y, por lo tanto, πAct'>πAc(t''). Por lo tanto, en equilibrio, t'>t'':t'AWt''AAc.

b) AAcen contraste con AA. Una comparación de las ecuaciones (6) y (7) implica que todos los agentes autárquicos eligen participar en la cooperación intratareas siempre y cuando r(t) > 0. La proposición 2 establece que r′(t) < 0 en equilibrio para todos los r(t) > 0. Esto implica directamente que si para cualquier agente πA(t)πAc(t), para todo agente con t'>t:πAt'>πAc(t'). De este modo, en equilibrio, t'>t'':t'AAct''AA.

c) AAcen contraste con AEc. La condición de indiferencia entre ser un emprendedor involucrado en un esquema de cooperación intratareas y un agente autárquico que participa en un esquema de cooperación intratareas está dada por

Dado que el lado izquierdo de la ecuación está aumentando estrictamente a razón de t, como se muestra arriba, todos los agentes con t>tAcEC estrictamente prefieren ser emprendedores que participen en un esquema de cooperación intratareas que un agente autárquico que participen en dicha cooperación. De este modo, t'>t'':t'AAct''AEc[/p]

d)AA en contraste con AE . Los ingresos marginales de un agente autárquico están dados por

mientras que los de un emprendedor son iguales a:

Los ingresos marginales son mayores para los emprendedores que para los agentes autárquicos para cada t, dado que ψ (t) > 0. La prueba, entonces, procede como en la comparación de AW con AAc. De este modo, en equilibrio ∃t′ > t′′ : t′ ∈ AA t′′ ∈ AE .

e)AEC en contraste con AE . El argumento es análogo a la comparación entre los conjuntos ocupacionales AAc y AA . Los emprendedores eligen participar en la cooperación intratareas siempre y cuando r(t) > 0. Dado que r′(t) < 0, si para cualquier agente πEtπEct, es decir, r(t) ≤ 0, por cada agente con t'>t:πEt'>πEc(t'). De este modo, en equilibrio t'>t'':t'AEct''AE.

f)AE en contraste con AC . Se comparan los conjuntos ocupacionales de emprendedores y cualquier tipo de consultor (ya sea agentes autárquicos o emprendedores). Este último conjunto se denota como AC .

Los ingresos marginales de un emprendedor están dados por:

mientras que los de un consultor son iguales a:

por el teorema de la envolvente. Dado que 1 − Ψ(c −1(t)) < 1, los ingresos marginales de los consultores son necesariamente más altos que aquellos de los emprendedores para cualquier t. Nuevamente, la prueba procede como en la comparación de AW con AAc. De este modo, t'>t'':t'AEt''AC en equilibrio.

g)ACA en contraste con ACE. Este resultado proviene directamente de la proposición 2. El emparejamiento selectivo positivo prevalece entre los consultores y el talento de aquellos agentes que venden proyectos inconclusos y los emprendedores son más talentosos que los agentes autárquicos que participan en un esquema de cooperación intratareas. Por lo tanto, en equilibrio. Esto completa la prueba del orden de los conjuntos ocupacionales. La estratificación ocupacional sigue directamente por transitividad.

No se compararon AA y AEC porque estos dos conjuntos ocupacionales son mutuamente excluyentes. Supongamos primero que t'>t'':t'AEct''AA. La optimalidad de la elección ocupacional del agente con talento t′ implica que r(t′) > 0. Pero esto implica directamente que r(t′′) > 0 dado que r′(t) < 0 para todos los t. Esto contradice la optimalidad de la elección ocupacional del agente con talento t′′. De este modo, en equilibrio t'>t'':t'AEct''AA.

Supongamos ahora que t'>t'':t'AAt''AEc. La elección ocupacional que maximiza el ingreso del agente con talento t ′′ implica que πEct''>πAc(t''), o, de igual modo,

Asimismo, arriba se demostró que el lado izquierdo de esta ecuación aumenta estrictamente en razón del talento t. Por lo tanto, en mayor medida,

Esto contradice directamente la optimalidad de la elección ocupacional del agente con talento t′, ya que, a fin de elegir la autarquía en lugar del emprendimiento

Por lo tanto, concluyo que en equilibrio t'>t'':t'AAt''AEc y, por lo tanto, uno de los dos conjuntos ocupacionales, AA o AEc, tiene que estar vacío.

El hecho de que no todos los conjuntos tengan que existir en equilibrio se justifica fácilmente debido a la exogeneidad de los costos de cooperación, ca y cp . Si ambos tienden al infinito, solamente los agentes autárquicos permanecen activos en equilibrio. Si las diferencias en los costos relativos son demasiado altas, una forma de cooperación domina la otra.

5. Prueba de la proposición 4

La prueba se divide en varias partes. Primero se divide el espacio paramétrico en subespacios en los que solo puede prevalecer un tipo de equilibrio, ya que todos los demás contradicen la conducta de maximización del ingreso de los agentes. A continuación, se demuestra que un equilibrio de este tipo en particular siempre existe y que también es único.

Primera parte. Todos los agentes elegirán trabajar, ya que no hay desutilidad del trabajo y todos los agentes poseen una probabilidad de éxito no negativa en la tarea B. Las siguientes dos condiciones impiden que cualquier agente participe en un esquema de cooperación. Cabe destacar que todos los agentes prefieren permanecer autárquicos si el agente más talentoso opta por hacerlo.

Dado que un emprendedor tiene que pagar la opción externa de un agente para inducirlo a que se una al esquema de cooperación, las respectivas condiciones de preferir la autarquía sobre el emprendimiento se dan como sigue:

(A1)

La opción externa del agente menos talentoso es pΨt_. Dado que las ganancias aumentan con el talento, el agente más talentoso sería el primero en entrar al emprendimiento.

De manera similar, para que el agente más talentoso prefiera la autarquía a la consultoría, es suficiente que

(A2)

El lado izquierdo de la ecuación representa los proyectos adicionales vendidos según la expectativa cuando se consulta con los agentes menos talentosos en lugar de permanecer en la autarquía; el lado derecho de la ecuación representa los costos adicionales. Cabe destacar que en este caso los únicos costos son los costos fijos 2 cp, ya que los agentes están dispuestos a vender sus proyectos inconclusos a cualquier precio positivo r(t).

Si se cumplen ambas condiciones, todos los conjuntos ocupacionales, salvo por la autarquía, deben estar vacíos. La existencia y singularidad del equilibrio competitivo se deriva directamente del hecho de que la función de probabilidad de éxito Ψ(q) está bien definida.

Segunda parte. Considérese ahora el caso en el que una de las dos condiciones, la ecuación (16) o (17), se cumple, mientras que la otra no. Esto implica que necesariamente sólo un tipo de cooperación ocurre en equilibrio.

i)Si (16) se satisface y (17) no, sólo tiene lugar la cooperación intratareas. Por lo tanto, los únicos tipos de equilibrio factibles son AAc,AA,ACA y AAc,ACA. Lo que queda por demostrar es que uno y sólo uno de estos dos tipos de equilibrio existe y que es único. Para hacerlo, fijo un precio r 0 para el agente menos talentoso, rt_, y utilizo las condiciones de indiferencia para calcular tACA y tAcA ya que:

y

con47

Cabe destacar que tanto tACA como tAcA aumentan continua y monotónicamente a razón de r0 (estrictamente para r0 de manera que t_<tACA<t¯, lo cual se cumple debido a que algunos agentes quieren convertirse en consultores en equilibrio). Dado que tACA aumenta estrictamente a razón de r0, c(t) aumenta monotónicamente para todos los tAAc al igual que r′(t). Por consiguiente, r(t) aumenta monotónicamente para todos los tAAc y, por lo tanto, tAcA también. Para concluir, tanto tACA como tAcA aumentan continua y monotónicamente a razón de r0.

La función de exceso de oferta en el mercado de tareas se define como:

Dado que ES(r0,tAcA,tACA) aumenta continua y monotónicamente tanto en tAcA como en tACA (estrictamente para t_tAcAtACA<t¯), aumenta de la misma manera en razón de r 0.

Asimismo, cabe destacar que

Y

Donde

Por consiguiente, según el teorema del valor medio, r0* existe, donde r0* es tal que

y también es único, dado que ESr0,tAcA,tACA=0 maumenta estricta y monotónicamente en el rango de r0 indicado por el algoritmo.

ii) Por el contrario, si (17) se satisface y (16) no, solamente la cooperación intertareas permanece en equilibrio. En este caso, siempre y cuando ca > 0, el equilibrio consta de los conjuntos ocupacionales {AW, AA, AE} con el salario w > 0 determinado por la condición de equilibrio del mercado laboral. Algunos agentes permanecerán en la autarquía para algunos costos de cooperación positivos.

Establecer un salario fijo w ≥ 0 y los umbrales tWA < tAE nos permite calcular los ingresos de todos los agentes utilizando las ecuaciones (7) y (9). En este caso las condiciones de equilibrio (4) y (11) no necesariamente se satisfacen. Ahora se construirá un equilibrio que también satisfaga estas condiciones. Primero, fijo w y calculo tWA y tAE como

y

utilizando ambas condiciones de indiferencia. El exceso de oferta de mano de obra se define como

con tWA*=mint¯,maxt_,tWA y tAE*=mint¯,maxt_,tAE. Cabe destacar que tanto tWA como tAE aumentan continua y monotónicamente en razón de w, ya que Ψ es una función estricta y monotónicamente creciente. Por lo tanto, la demanda (oferta) de mano de obra disminuye (aumenta) ligeramente a razón de w (de forma estricta si tAEt_,t¯, tWAt_,t¯ respectivamente). Por lo tanto, a fin de demostrar tanto la existencia como la singularidad, es suficiente mostrar que el exceso de oferta de mano de obra es negativo (positivo) para un salario w bajo (alto). Cabe destacar que:

el cual es negativo ya que Ψ-1(ca/p)<t¯ debido al tipo de equilibrio fijado por el algoritmo. Asimismo,

dado que Ψ-1pΨt¯-ca/p>t_ por el algoritmo. Según el teorema del valor medio, el equilibrio existe y también es unívoco, ya que el exceso de oferta de mano de obra aumenta continua, estricta y monotónicamente para cualquier w de tal forma que el tipo de equilibrio determinado por el algoritmo es {W , A, E}.

Tercera parte. Finalmente, considérese el supuesto de que ambas condiciones, (16) y (17), no se cumplen. Esto no necesariamente significa que todos los conjuntos ocupacionales estén activos. Para determinar qué forma(s) de cooperación prevalece(n) en equilibrio, hay que proceder de la siguiente manera:

i) Primero, se construye el equilibrio candidato {AW, AA, AE} de arriba mientras se determina el salario w de equilibrio del mercado y los ingresos en caso de que sólo prevalezca la cooperación intertareas. Éste es el equilibrio único si y sólo si el agente más talentoso no prefiere convertirse en consultor, es decir, si

(A3)

donde tWA es el agente de corte que es indiferente entre los conjuntos ocupacionales AW y AA según se calculó para el equilibrio candidato {AW , AA , AE }, y es el agente que constituye la mejor pareja si t¯ se convierte en consultor. Asimismo, w denota el salario de equilibrio del mercado laboral para ese equilibrio. Si (18) se satisface, el equilibrio es el mismo que si (17) se satisficiera y la existencia y singularidad estuvieran garantizadas.

ii) Si (18) no se satisface, se construye el equilibrio candidato AAc,AA,ACA de arriba cuando la condición (16) se cumplió, pero (17) no. Ningún agente quiere participar en un esquema de cooperación intertareas si el consultor menos talentoso (que se denota como tCA_) no prefiere convertirse en emprendedor, es decir, si

(A4)

entonces el consultor menos talentoso es el primero que preferirá convertirse en emprendedor. En este caso, emplearía al agente menos talentoso y le pagaría la opción externa ω(t_).Cabe destacar que r0 es el precio de equilibrio del mercado de tareas proveniente de arriba. Si el agente con talento tCA_ no prefiere convertirse en emprendedor, ningún agente lo hará y el equilibrio será el mismo que si se satisficiera (A1) y se garantizaran la existencia y singularidad.

iii) Por último, si (18) y (19) no se satisfacen, ambos tipos de cooperación permanecen en equilibrio.

La prueba de existencia y singularidad cuando ambos tipos de cooperación están presentes es una combinación de los dos casos anteriores. Primero, se fijan algunos w. Luego, se fijan algunos r0 y se calculan tWAc,tAcA, y tECA de manera similar a lo anterior, utilizando las condiciones de indiferencia pertinentes. La función de exceso de oferta en el mercado de tareas se ve ahora como

Es fácil comprobar que para niveles bajos (altos) de r0 existe un exceso de demanda (oferta). Cabe destacar que tECA aumenta estricta y monotónicamente en razón de r0. Por lo tanto r'(t) aumenta estricta y monotónicamente para los tAAc. Dado que la función de distribución acumulada Φ(t) aumenta continua y monotónicamente, esto implica que r(t) aumenta para todos los tAAc y en particular para r(tAcA). Por consiguiente, la función del exceso de oferta aumenta continua y monotónicamente en razón de r0. Por lo tanto, existe un único r0*(w,tWAc,tAcA,tACA) que equilibra el mercado de tareas.

Claramente, esto no significa que el mercado laboral se equilibre junto con el mercado de tareas. Por lo tanto, ahora se necesita demostrar que r0*(w,tWAc,tA*cA,tACA) cambia continua y monotónicamente en razón de w y hay un exceso de demanda de mano de obra para los niveles bajos de w y un exceso de oferta de mano de obra para los niveles altos de w. Lo anterior se deriva del hecho de que todo aumento en w provoca que tECA disminuya continua y monotónicamente y que tWAc aumente de igual manera. Por lo tanto, todo agente con tAAc se empareja con un consultor menos calificado, y de este modo r′(t) disminuye. Por consiguiente, la función de exceso de oferta disminuye de manera inequívoca y por lo tanto el equilibrio del mercado de tareas r0*(w,tWAc,tA*cA,tACA) tiene que aumentar continua y monotónicamente. Esto último se desprende directamente del hecho de que para w = 0, hay un exceso de demanda de mano de obra y para w=pΨt¯-ca, hay un exceso de oferta de mano de obra (dado que, en equilibrio, ambas formas de cooperación prevalecen). Se concluye, por tanto, que siempre existe un equilibrio único.

La eficiencia está garantizada por el primer teorema del bienestar. Considése un equilibrio competitivo con precios w y r(t). Supongamos que existe una asignación alternativa factible donde algunos agentes se emparejan con otros colaboradores y el superávit total es mayor. Esto constituye una contradicción de la definición del equilibrio competitivo, ya que los agentes maximizan el ingreso sujeto a w y r(t). Efectivamente existen complementariedades en la producción (de ahí el patrón de emparejamiento selectivo positivo), pero esas complementariedades se incorporan en la lista de precios de equilibrio r(t) y, por lo tanto, el equilibrio competitivo es socialmente eficiente.

6. Prueba de la proposición 5

Dado que se supone que el agente mediano permanece en la autarquía, sus ingresos no se ven afectados por los costos de cooperación. En contraste, todo agente que forma parte de un esquema de cooperación experimenta un aumento en los ingresos si los costos de cooperación disminuyen. Dado que tanto el percentil 10% y el percentil 90% de la distribución de talento participan en la cooperación, las primeras dos partes de la proposición siguen inmediatamente.

Los ingresos marginales de los trabajadores son 0; los de los agentes que venden en el mercado spot ex post, si fracasan, son positivos. Los ingresos marginales de los emprendedores son 2p mientras que los de los consultores son π'Ct=2pψt/1-Ψ(c-1(t)) por el teorema de la envolvente. Por lo tanto, tanto los agentes que se ubican en la cima como los que están en la base de la distribución perciben ingresos marginales más altos debido a la cooperación intratareas.

7. Prueba de la proposición 6

Si cp disminuye, más agentes participan en la cooperación intratareas. Dado que todos los consultores demandan más trabajo que los emprendedores, en particular el talento de la pareja del consultor más talentoso, c-1t¯tAcA, aumenta. Por lo tanto, el ingreso marginal del consultor más talentoso, π'Ct¯=2pψt/1-Ψ(tAcA) aumenta. Por continuidad, las parejas de cada consultor aumentan y lo mismo ocurre con la desigualdad del grupo ocupacional entre consultores. Esto significa, además, que la pareja de cada agente en AAc tiene que deteriorarse, al igual que los ingresos marginales dentro de ese conjunto ocupacional.

Lo opuesto es válido en el caso de una reducción en ca . Más agentes participarán en la cooperación intertareas y esto reduce la demanda laboral de agentes poco calificados. Por lo tanto, el talento de la pareja del consultor más talentoso, c-1t¯tAcA, disminuye al igual que la desigualdad en el grupo ocupacional entre los consultores por continuidad. Por lo tanto, el emparejamiento de cada agente en AAc mejora, al igual que los ingresos marginales dentro de ese conjunto ocupacional.

Recibido: 10 de Septiembre de 2015; Aprobado: 11 de Diciembre de 2015

Los errores remanentes son responsabilidad de los autores. [Traducción del inglés de Beatriz Meza Cuervo y Karina Azanza.]

Creative Commons License Este es un artículo publicado en acceso abierto bajo una licencia Creative Commons