Serviços Personalizados
Journal
Artigo
Indicadores
-
Citado por SciELO -
Acessos
Links relacionados
-
Similares em
SciELO
Compartilhar
Revista Chapingo serie ciencias forestales y del ambiente
versão On-line ISSN 2007-4018versão impressa ISSN 2007-3828
Rev. Chapingo ser. cienc. for. ambient vol.26 no.1 Chapingo Jan./Abr. 2020 Epub 03-Mar-2021
https://doi.org/10.5154/r.rchscfa.2019.03.025
Artículo científico
Un modelo aproximado de crecimiento en altura e índice de sitio para Quercus sideroxyla Bonpl. en rodales mezclados de Durango, México
1Instituto Nacional de Investigaciones Forestales Agrícolas y Pecuarias (INIFAP), Campo Experimental Valle del Guadiana. Carretera Durango-Mezquital km 4.5. C. P. 34170. Durango, Durango, México.
2The University of Georgia, Warnell School of Forestry & Natural Resources. Georgia, 30606, USA.
3Colegio de Postgraduados, Postgrado en Ciencias Forestales. C. P. 56230. Montecillo, Texcoco, Estado de México, México.
4Universidad Juárez del Estado de Durango, Facultad de Ciencias Forestales. Río Papaloapan, Valle del Sur. C. P. 34120. Durango, Durango, México.
Introducción:
Las predicciones de altura dominante o codominante son un elemento importante en la planeación del manejo forestal con objetivos de producción.
Objetivo:
Desarrollar ecuaciones de crecimiento en altura dominante e índice de sitio (IS) para Quercus sideroxyla Bonpl.
Materiales y métodos:
El modelo de incremento corriente anual en altura se ajustó y la edad de las secciones se estimó a partir de una base de datos de 29 parcelas de remedición. También se utilizó una base de datos de análisis de ahusamiento de 37 árboles, para reconstruir trayectorias de crecimiento de altura dominante. Tres ecuaciones en diferencia algebraica (ADA; una anamórfica y dos polimórficas) y una generalizada (GADA) se utilizaron para modelar la altura dominante e IS de manera simultánea.
Resultados y discusión:
Las ecuaciones polimórficas ADA fueron estadísticamente mejores que la ecuación anamórfica, de acuerdo con el coeficiente de determinación ajustado, raíz del cuadrado medio del error, sesgo promedio, criterio de información de Akaike y logaritmo de la verosimilitud; sin embargo, la ecuación GADA fue mejor que las ecuaciones ADA. Las curvas de crecimiento fueron biológicamente realistas y mostraron las clases de IS a una edad base de 60 años.
Conclusiones:
Las ecuaciones desarrolladas pueden ser usadas para la toma de decisiones en el manejo forestal cuando Q. sideroxyla presente dominancia sobre las especies de Pinus y el objetivo principal sea la producción maderable.
Palabras clave: modelo de crecimiento; altura dominante; diferencia algebraica generalizada; incremento corriente anual; trayectorias de crecimiento
Introduction:
Predictions of dominant or co-dominant height are an important element in planning forest management with timber production objectives.
Objective:
To develop dominant height growth and site index (SI) equations for Quercus sideroxyla Bonpl.
Materials and methods:
The height current annual increment model was fitted, and the age of the sections was estimated from a database of 29 stem-mapped plots. A taper analysis data of 37 trees was also used to reconstruct dominant height growth trajectories. Three equations based on algebraic difference approach (ADA; one anamorphic and two polymorphic) and an equation based on generalized algebraic difference approach (GADA) were used to simultaneously model the dominant height and SI.
Results and discussion:
The ADA polymorphic equations were statistically better than the anamorphic equation, according to the adjusted coefficient of determination, root mean square error, mean bias, Akaike’s information criterion and log-likelihood; however, the GADA equation was better than the ADA equations. The growth curves were biologically realistic and showed SI classes at a base age of 60 years.
Conclusions:
The developed equations can be used for decision making in forest management when Q. sideroxyla shows dominance over Pinus species and the main objective is timber production.
Keywords: growth model; dominant height; generalized algebraic difference approach; current annual increment; height growth trajectories
Introducción
La planeación del manejo forestal se basa en sistemas de crecimiento y rendimiento para estimar y proyectar el desarrollo de especies forestales, la cual considera supuestos y restricciones en el suministro de madera a través de métodos de manejo forestal (Sharma & Reid, 2018). En México, el manejo forestal está inmerso en contextos ecológicos, socioculturales, políticos, económicos, tecnológicos y silviculturales que han propiciado el uso del bosque con varios propósitos y esquemas de administración y manejo. La diversidad de estos aspectos en los cuales las áreas forestales están inmersas ha dado lugar a estrategias y métodos para el manejo de los recursos forestales (Torres-Rojo, Moreno-Sánchez, & Mendoza-Briseño, 2016).
El manejo forestal se basa en dos métodos o sistemas principales: (1) manejo forestal de rotación (MFR) que se caracteriza por practicar tratamientos silvícolas estándar (tres o cuatro aclareos) y ciclos repetitivos de cortas de regeneración, seguido por regeneración natural o plantación; y (2) método de cubierta forestal continua (CFC) que incluye cortas de selección y regeneración natural (Pukkala & Gadow, 2011). En México, los métodos MFR y CFC son llamados método de desarrollo silvícola (MDS) y método mexicano de ordenación de bosques irregulares (MMOBI), respectivamente (Torres-Rojo et al., 2016).
El crecimiento y rendimiento de rodales mezclados se ha convertido en un tema importante en la investigación forestal, debido a que proveen funciones y servicios a la sociedad. Un componente importante en la modelación del crecimiento y rendimiento es la evaluación del potencial de la calidad de sitio de bosques y rodales (Allen & Burkhart, 2015; del Río et al., 2016). La cuantificación y predicción de la productividad de rodales son aspectos clave en la investigación forestal, con implicaciones evidentes en el manejo y planeación. La productividad del sitio describe un rasgo genético altamente complejo con varios procesos fisiológicos y bioquímicos interconectados, que son modificados por aspectos naturales y tratamientos silvícolas (Sharma, Subedi, Ter-Mikaelian, & Parton, 2015; Yue, Kahle, von Wilpert, & Kohnle, 2016). Estos aspectos reflejan las características inherentes del sitio como el suelo y el clima que están directamente relacionados con la productividad forestal (Antón-Fernández, Mola-Yudego, Dalsgaard, & Astrup, 2016).
La estimación de la productividad forestal es relevante para el manejo forestal y estudios ecológicos en términos de evaluaciones precisas de las condiciones del sitio (Seki & Sakici, 2017), tal estimación es la línea base para la planeación de los tratamientos silvícolas (Sharma & Parton, 2018). Con el desarrollo de la tecnología, técnicas de cálculo numérico e incremento de la información sobre procesos de crecimiento en altura, la modelación del índice de sitio (IS) se ha convertido en un tema de interés en la investigación forestal (Seki & Sakici, 2017). Esta es una característica importante para el manejo forestal y la modelación del crecimiento, especialmente, con respecto a los cambios ambientales en curso (Yue, Mäkinen, Klädtke, & Kohnle, 2014). El IS es el valor de la altura dominante a una edad de referencia (Clutter, Fortson, Pienaar, Brister, & Bailey, 1983), puede incluir la altura promedio de árboles dominantes o codominantes a una edad base y es usado extensivamente para estimar la productividad de especies comerciales (Sharma & Reid, 2018). El IS es la medida más común de la productividad forestal y la más usada en la investigación forestal; además, es utilizada como la línea base para niveles de planeación forestal y la formulación de estrategias silviculturales (David et al., 2015; Watt, Dash, Bhandari, & Watt, 2015). Este método ha sido el más popular para evaluar la productividad en rodales mezclados de México (Quiñonez-Barraza et al., 2015; Vargas-Larreta et al., 2017). El IS, generalmente, se determina tomando mediciones de campo y, típicamente, se estima a partir de mediciones de altura dentro de la parcela o a nivel rodal (Watt et al., 2015). Las curvas de IS son desarrolladas a partir de una de las tres fuentes de datos siguientes: (1) parcelas permanentes de muestreo, (2) parcelas de medición temporal y (3) datos de análisis troncales. Allen y Burkhart (2015) consideran que las parcelas permanentes de muestreo son la mejor fuente de datos para modelar la relación altura-edad; sin embargo, debido a las restricciones de tiempo y costos, los datos provenientes de parcelas temporales de muestreo y de análisis troncales son adecuados para el ajuste de ecuaciones de crecimiento en altura dominante.
Los tratamientos silvícolas influyen en el crecimiento y desarrollo de rodales y bosques después de la cosecha, y los modelos de crecimiento en altura son necesarios para reflejar un rango de resultados potenciales para calidades de estación específicas (Costa, Calegario, Araújo, Pereira, & Garcia, 2018; Sharma & Parton, 2018). Los métodos comunes para modelar el crecimiento en altura dominante e IS se basan en el enfoque de diferencias algebraicas (ADA) y la versión generalizada (GADA). En el primer caso, un modelo de crecimiento puede ser ajustado para estimar los parámetros y después uno de estos se asume dependiente del IS para generar curvas de crecimiento anamórficas y polimórficas. Este tipo de ecuaciones tienen la capacidad de representar modelos invariantes de la edad base y del camino de simulación (Bailey & Clutter, 1974). Las ecuaciones GADA pueden ser usadas para derivar ecuaciones realmente invariantes de la edad base. Estas ecuaciones tienen la capacidad de describir polimorfismo y asíntotas variables concurrentemente, lo cual es una propiedad importante en las ecuaciones de IS que debe considerarse en la modelación de tendencias de crecimiento de árboles individuales (Cieszewski & Bailey, 2000).
La mayoría de los bosques en Durango, México, son dominados por rodales incoetáneos y mezclados con especies de los géneros Pinus, Quercus, Juniperus y Arbutus, pero el manejo forestal se enfoca principalmente en Pinus y Quercus (Quiñonez-Barraza, Zhao, De los Santos Posadas, & Corral-Rivas, 2018). Los principales estudios de productividad en rodales mezclados se han centrado en el género Pinus, debido a que sus especies son las más importantes en términos de producción maderable (Quiñonez-Barraza et al., 2015). Las especies de Quercus tienen un rol importante en la dinámica natural, ecológica y de producción maderable de bosques mezclados, por lo que el estudio de este género también es conveniente. Los objetivos del estudio fueron desarrollar modelos de incrementos medio anual y corriente anual para Quercus sideroxyla Bonpl.; construir trayectorias de crecimiento en altura a partir de una base de datos de ahusamiento con la edad estimada a alturas comerciales en cada árbol; y ajustar tres ecuaciones ADA y una GADA a las trayectorias de crecimiento en altura y generar curvas de índice de sitio.
Materiales y métodos
Área de estudio
Los datos se generaron en rodales mezclados del polígono denominado “Ejido San Diego de Tezains” (24° 48′ 16.98′′ - 25° 13′ 47.25′′ N y 105° 53′ 9.81′′ - 106° 12′ 52.58′′ W) en Durango, México (Figura 1). Los climas predominantes son templado, cálido húmedo y templado subhúmedo, con precipitación media anual de 840 mm. La temperatura media anual varía de 8 a 24 °C (García, 2004; Quiñonez-Barraza et al., 2019). El área total del polígono es de 62 802 ha, de las cuales 26 038 ha tienen objetivo de producción maderable. Los rodales mezclados están representados por especies de los géneros Pinus, Quercus, Juniperus, Cupressus, Pseudotsuga, Arbutus y Alnus (Quiñonez-Barraza et al., 2018). Este estudio se realizó en rodales mezclados donde Q. sideroxyla es dominante sobre las especies del género Pinus.
Descripción los datos
La base de datos para ajustar el modelo aproximado de altura dominante e IS consideró dos fuentes de información. La primera se basó en 29 parcelas de muestreo de medición establecidas en 2008 con una retícula simétrica de 3 km × 3 km que fueron remedidas en el 2013 (Figura 1). Cada parcela rectangular de 50 m × 50 m se dividió en cuatro cuadrantes de 25 m × 25 m. En la medición y remedición se consideraron las alturas de todos los árboles de Q. sideroxyla. La segunda fuente de información incluyó el análisis de ahusamiento de 37 árboles (Figura 1). En el análisis de ahusamiento, cada árbol se cortó y se tomaron cuatro mediciones antes de la sección del diámetro normal a 1.3 m. Posteriormente, las alturas y diámetros se midieron cada 2 m, y la última medición se hizo antes de la altura total de cada árbol (Quiñonez-Barraza et al., 2019), para estimar la edad de la relación altura-diámetro comercial. Las variables para las dos fuentes de información se resumen en el Cuadro 1.
Cuadro 1 Estadísticas descriptivas de las bases de datos usadas en el ajuste de las ecuaciones de incremento y crecimiento en altura de Quercus sideroxyla.
| Base | Variable | n | Estadísticos | |||
|---|---|---|---|---|---|---|
| Mínimo | Máximo | Promedio | DE | |||
| 1 | dbh1 (cm) | 425 | 5.41 | 71.50 | 18.12 | 12.92 |
| dbh2 (cm) | 425 | 7.40 | 73.30 | 19.64 | 13.17 | |
| H1 (m) | 425 | 1.35 | 21.80 | 7.94 | 3.87 | |
| H2 (m) | 425 | 2.40 | 25.70 | 9.81 | 4.03 | |
| dbhInc5 (cm) | 425 | 0.40 | 5.50 | 1.52 | 0.81 | |
| HInc5 (m) | 425 | 1.00 | 4.00 | 1.87 | 0.72 | |
| 2 | H (m) | 37 | 6.60 | 23.00 | 12.39 | 4.30 |
| dbh (cm) | 37 | 12.00 | 52.00 | 28.05 | 11.07 | |
| d (cm) | 485 | 0.00 | 67.00 | 21.39 | 12.66 | |
| h (m) | 485 | 0.07 | 23.00 | 5.87 | 4.93 | |
| EA (años) | 485 | 1.00 | 88.00 | 25.49 | 18.18 | |
dbh1 = diámetro normal medido en 2008; dbh2 = diámetro normal remedido en 2013; H1 = altura total medida en 2008; H2 = altura total remedida en 2013; dbhInc5 = incremento en diámetro normal en cinco años; HInc5 = incremento en altura en cinco años; H = altura total; d = diámetro a la altura comercial h; h = altura comercial al diámetro d; EA = edad estimada para una altura comercial específica en la base de datos de análisis de ahusamiento; n = número de observaciones; DE = desviación estándar de la media.
Derivación del modelo
La edad de los árboles es un factor crítico en estudios de ecología y silvicultura (Fraver, Bradford, & Palik, 2011). La estimación precisa de la edad es una restricción metodológica en la dinámica de poblaciones de plantas y es difícil de medir en ausencia de secciones o virutas de crecimiento (Rozas, 2003). Debido a esta condición, en el análisis de ahusamiento de Q. sideroxyla, la base de datos no consideró el número de anillos de crecimiento en cada sección de corte, debido a que son difíciles de diferenciar en esta especie. Por lo anterior, el número de anillos o la edad en la sección transversal del diámetro normal (1.3 m) se estimó para las alturas comerciales en los datos de análisis de ahusamiento. Un modelo de incremento promedio basado en la medición (2008) y remedición (2013) de las 29 parcelas de muestreo fue desarrollado para evaluar el incremento anual en altura. El modelo consideró el incremento medio anual (IMA) de cinco años y la fórmula matemática fue propuesta para ajustar el incremento corriente anual (ICA) en altura (ecuación 1).
donde,
ICA hij o IMA/5 |
incremento corriente anual en altura (m·año−1) del j th árbol en la i th parcela |
h ij(t+a) |
altura (m) remedida del j th árbol en la i th parcela en el tiempo (t + a); en este caso a = 5 años |
h ij(t) |
altura (m) medida en el j th árbol de la i th parcela en el tiempo t |
ε ij |
error del j th árbol en la i th parcela |
ß 0 y ß 1 |
parámetros a ser estimados. |
El número de años entre dos pares de alturas comerciales a diámetros variables en la base de análisis de ahusamiento se estimó con la ecuación siguiente:
donde,
NA jk |
número de anillos o años de la k th medición de altura en el j th árbol |
h jk(t) |
medida de la k th altura variable en el j th árbol, en el tiempo t (t es desconocido) |
h jk(t-1) |
medida de la k th altura variable en el j th árbol al tiempo anterior t ( |
Las trayectorias de crecimiento en los datos de ahusamiento se construyeron con la edad estimada para cada altura variable de cada árbol. La edad parcial o total se estimó por la acumulación de NA y fue determinada con la ecuación 3, donde EE jk es la edad estimada para la k th altura variable en el j th árbol.
Con las mediciones reconstruidas de la edad en los datos de ahusamiento, se desarrollaron ecuaciones aproximadas de crecimiento en altura dominante e IS. Tres ecuaciones ADA (Bailey & Clutter, 1974) basadas en la función de crecimiento de Chapman-Richards (Richards, 1959) y la ecuación GADA (Cieszewski & Bailey, 2000) reportada por Quiñonez-Barraza et al. (2015) se usaron para ajustar el crecimiento en altura dominante e IS. La primera ecuación ADA asume potencialidad máxima variable con tasas de crecimiento constantes (forma anamórfica) y las otras dos ecuaciones ADA suponen tasas de crecimiento variables y asíntota común (forma polimórfica), mientras que la ecuación GADA asume polimorfismo complejo. Todas las ecuaciones se basaron en la ecuación 4; las ecuaciones ADA y GADA son representadas por las ecuaciones 5 a 8.
donde,
H jk |
k th altura en el j th árbol |
t jk |
k th edad estimada en el j th árbol |
α 1 |
parámetro de la asíntota superior |
α2 |
parámetro de la tasa de crecimiento |
α3 |
parámetro de la tasa de cambio. |
donde,
|
altura dominante de la k th medición en el j th árbol en el estado 2 |
|
altura dominante de la k th medición en el j th árbol en el estado 1 |
EE jk2 y EE jk1 |
edad estimada de la k th medición de la altura superior en el j th árbol en los estados 1 y 2 en una base de datos traslapada |
ß i (i = 1, 2, 3) |
parámetros a ser estimados, los cuales fueron reformulados del modelo base para cada ecuación |
Las modelos aproximados de IS para cada ADA (ecuaciones 5 a 7) y la ecuación GADA (ecuación 8) representan el cambio de
Ajuste y evaluación de las ecuaciones
La técnica de mínimos cuadrados no lineales (NLS) y mínimos cuadrados no lineales generalizados (GNLS) del paquete de modelos de efectos mixtos no lineales (NLME) (Pinheiro, Bates, DebRoy, & Sarkar, 2015) del software R (R Development Core Team, 2017) se usaron para ajustar la ecuación de ICA en altura y las ecuaciones ADA y GADA, respectivamente. La ecuación de ICA en altura se ajustó para todos los árboles de Q. sideroxyla y para cada condición de clase de copa. En este caso, el procedimiento de posición de copas propuesto por Bechtold (2003) con las categorías superposición, sobreposición y subposición fue compatibilizado con el procedimiento de tamaño de copas propuesto por Meadows, Burkhardt, Johnson, y Hodges (2001) con las categorías dominante, intermedio y suprimido. Las ecuaciones ADA y GADA se ajustaron mediante una base de datos traslapada de altura comercial y edad estimada para cada árbol. Además, la varianza se modeló con una función exponencial de covariables de la edad estimada (VarExp) para corregir la heterocedasticidad, mientras que una estructura de correlación autorregresiva de media móvil (corARMA 1, 1) se usó para modelar la dependencia de los errores dentro de cada árbol (Pinheiro & Bates, 2000). Con los valores de los residuales se calcularon seis estadísticos que permitieron evaluar la precisión de las ecuaciones ajustadas: raíz del cuadrado medio del error (RMSE), coeficiente de determinación ajustado (R2), logaritmo de la verosimilitud (LogLik), prueba de Durbin-Watson (DW), criterio de información de Akaike (AIC) y sesgo promedio (E).
Resultados y discusión
El Cuadro 2 muestra los parámetros estimados y los estadísticos de ajuste del modelo de ICA en altura para todos los árboles de Q. sideroxyla (ecuación 1) y para cada clase de posición de copa (dominante, intermedia y suprimida). Los estadísticos de ajuste mostraron la capacidad del modelo para predecir el ICA en altura. Las ecuaciones de ICA en altura, el número de años entre dos mediciones de altura comercial (ecuación 2) y la ecuación de edad estimada (ecuación 3) permitieron construir las trayectorias de crecimiento en la base de datos de ahusamiento. Las ecuaciones desarrolladas de ICA en altura, con datos de parcelas de remedición, mostraron bondad de ajuste adecuada por clase de la posición de copas de los árboles propuesta por Bechtold (2003) y para todas las posiciones de copas de los árboles. Esto debido a que las clases de copas basadas en la posición del árbol en el dosel son difíciles de clasificar en los rodales mezclados y en las especies de maderas duras como Q. sideroxyla. El valor más alto de R2 se observó para la clase de copas de árboles suprimido y el más bajo para la clase de copas intermedia, con valores de 0.9705 y 0.9620, respectivamente. En adición, el menor valor de RMSE se obtuvo para la clase suprimido y el valor más alto para la clase dominante. Cuando la ecuación de ICA en altura se ajustó para el conjunto de las tres clases de copas, los estadísticos mostraron una precisión estadística adecuada con todos los grados de libertad de la base de datos de parcelas de remedición. Por tanto, este último procedimiento se utilizó para estimar la edad de la relación altura-diámetro de la base de datos de ahusamiento.
Cuadro 2 Parámetros estimados y estadísticos de ajuste para las ecuaciones de incremento corriente anual (ICA) en altura de Quercus sideroxyla.
| Ecuación | Parámetro | Estimador | EE | n | RMSE (m·año⁻1) | R2 | AIC | LogLik | E (m·año⁻1) |
|---|---|---|---|---|---|---|---|---|---|
| 1-D | ß0 | 0.1927 | 0.0054 | 80 | 0.0297 | 0.9661 | −331 | 168 | 3.2 x 10−11 |
| ß1 | 0.0445 | 0.0009 | |||||||
| 1-I | ß0 | 0.1934 | 0.0045 | 95 | 0.0272 | 0.9620 | −411 | 208 | −5.8 x 10−11 |
| ß1 | 0.0451 | 0.0009 | |||||||
| 1-S | ß0 | 0.2017 | 0.0024 | 250 | 0.0242 | 0.9705 | −1147 | 576 | −5.5 x 10−11 |
| ß1 | 0.0429 | 0.0005 | |||||||
| 1 | ß0 | 0.1984 | 0.0020 | 425 | 0.0261 | 0.9676 | −1890 | 984 | −5.0 x 10−7 |
| ß1 | 0.0437 | 0.0004 |
1-D, 1-I y 1-S = modelos de ICA en altura para las clases de copas dominante, intermedio y suprimido, respectivamente; EE = error estándar; n = número de observaciones; RMSE = raíz del cuadrado medio del error; R2 = coeficiente de determinación; AIC = criterio de información de Akaike; LogLik = logaritmo de la verosimilitud; E = sesgo promedio.
Los parámetros estimados para las ecuaciones ADA y GADA y los estadísticos de ajuste se presentan en el Cuadro 3. Todos los parámetros fueron significativamente diferentes de cero a un nivel de significancia del 1 %. La ecuación polimórfica I (ecuación 6) generó un valor mayor del parámetro de la asíntota (53.09 m) que la ecuación polimórfica II (44.23 m). Las tres ecuaciones ADA mostraron resultados confiables, pero la ecuación polimórfica II (ecuación 7) presentó los mejores resultados de acuerdo con los estadísticos de ajuste (valores menores de la RMSE, E y AIC y valores mayores de R2 y LogLik). No obstante, la ecuación GADA fue mejor que la ecuación polimórfica II, debido a que ofreció estadísticos de ajuste más deseables en la RMSE, AIC, LogLik y E. De manera paralela, los parámetros estimados de la función de varianza (varExp) y la estructura de autocorrelación (corARMA 1, 1) son mostrados en el Cuadro 3. Esta estructura permitió corregir los supuestos de heterocedasticidad y autocorrelación con datos de series de tiempo usadas en el ajuste de las ecuaciones, a través de mínimos cuadrados no lineales generalizados (Pinheiro & Bates, 2000; Pinheiro et al., 2015). Algunas funciones similares para corregir estos supuestos de regresión fueron utilizadas por Quiñonez-Barraza, García-Espinoza, y Aguirre-Calderón (2018), Sharma y Parton (2018), Quiñonez-Barraza et al. (2015) y Rodríguez-Carrillo, Cruz-Cobos, Vargas-Larreta, y Hernández (2015) en ecuaciones dinámicas ADA y GADA para Pinus teocote Schiede ex Schltdl. & Cham., especies de Pinus y Picea, especies de Pinus y especies de Juniperus, respectivamente.
Cuadro 3 Parámetros estimados y estadísticos de ajuste de las ecuaciones de crecimiento de Quercus sideroxyla.
| Ecuación | Parámetro | Estimador | EE | RMSE (m) | R2 | DW | AIC | LogLik | E (m) |
|---|---|---|---|---|---|---|---|---|---|
| ADA1 |
|
0.0062 | 0.0022 | 0.4372 | 0.9918 | 1.75 | 409.21 | −198 | −0.0210 |
|
|
1.2762 | 0.0286 | |||||||
|
|
0.1797 | 0.1355 | |||||||
|
|
0.7204 | 0.8568 | |||||||
|
|
0.0778 | 0.0078 | |||||||
| ADA2 |
|
53.0939 | 12.3286 | 0.4295 | 0.9921 | 1.82 | 400.85 | −194 | −0.0076 |
|
|
1.3106 | 0.0299 | |||||||
|
|
0.2049 | 0.1379 | |||||||
|
|
0.5221 | 0.5175 | |||||||
|
|
0.0756 | 0.0077 | |||||||
| ADA3 |
|
44.2324 | 8.2474 | 0.4256 | 0.9923 | 1.64 | 370.82 | −179 | −0.0015 |
|
|
0.0111 | 0.0022 | |||||||
|
|
0.2176 | 0.1020 | |||||||
|
|
0.9998 | 1.0176 | |||||||
|
|
0.0857 | 0.0082 | |||||||
| GADA |
|
4.8076 | 0.5614 | 0.4255 | 0.9923 | 1.74 | 369.55 | −178 | −0.0008 |
|
|
−0.7348 | 0.1941 | |||||||
|
|
0.0121 | 0.0022 | |||||||
|
|
0.1753 | 0.0451 | |||||||
|
|
0.8196 | 0.0460 | |||||||
|
|
0.0196 | 0.0033 |
EE = error estándar del parámetro; RMSE = raíz del cuadrado medio del error;
La Figura 2 muestra que las curvas de crecimiento para cada clase de IS a una edad base de 60 años siguieron las trayectorias de crecimiento de Q. sideroxyla. La ecuación polimórfica II modeló mejor la altura dominante e IS que las otras dos ecuaciones ADA, pero la ecuación GADA mostró mejor las curvas de IS sobre las trayectorias de crecimiento en altura. En el caso de las ecuaciones polimórficas ADA, las curvas de crecimiento presentaron tasas diferentes entre cada curva de IS y asíntotas comunes, mientras que la ecuación anamórfica ADA presentó tasas de crecimiento similares entre las curvas de IS con asíntotas variables. Por otro lado, la ecuación GADA mostró curvas de IS con polimorfismo complejo.

Figura 2 Curvas de índice de sitio con las ecuaciones ADA (anamórfica y polimórfica I y II) y GADA (polimorfismo complejo) para Quercus sideroxyla a la edad base de 60 años.
Aunque el crecimiento en altura se asumió constante entre cada dos mediciones en la base de datos de ahusamiento, las ecuaciones ADA representaron las curvas de IS anamórficas y polimórficas para las mediciones a diferentes alturas en el fuste de análisis de ahusamiento. Las curvas de IS son invariantes de la edad de referencia; si la edad base es modificada, las curvas son equivalentes y las formas polimórficas (curvas de IS no proporcionales con tasas de crecimiento relativas diferentes) muestran tasas diferentes de crecimiento a la edad base de 60 años (Bailey & Clutter, 1974). Las ecuaciones ADA son fáciles de aplicar, son capaces de predecir el crecimiento en altura y generar curvas de IS con la misma formulación, y sus parámetros estimados son dinámicos (Sharma & Parton, 2018). De acuerdo con los estadísticos de ajuste, la ecuación polimórfica II (ecuación 7) fue superior a las otras dos ecuaciones ADA (Cuadro 3). Esta ecuación ADA presentó el mayor valor en los estadísticos R2 y LogLik y menor valor en los estadísticos RMSE, AIC y E; pero en las curvas de IS, las clases de 22 m a 26 m sobrestimaron las trayectorias del crecimiento en altura (Figuras 2 y 4). En las ecuaciones ADA, la ecuación polimórfica I (ecuación 6) fue más realista para modelar las trayectorias de crecimiento de altura dominante. Alternativamente, la ecuación GADA superó en ajuste a las ecuaciones ADA, ya que mostró valores más grandes en el estadístico LogLik y valores menores en el AIC (Cuadro 3). La ecuación GADA (ecuación 8) representa la habilidad concurrente de expresar variables asíntotas y polimorfismo en las curvas de IS (Cieszewski & Bailey, 2000); esta ecuación consideró los parámetros de la asíntota superior y la tasa de cambio como específicos del sitio (Quiñonez-Barraza et al., 2015).
En este estudio, las clases de IS fueron similares a las curvas de crecimiento en altura dominante propuestas por Quiñonez-Barraza et al. (2015) para Pinus arizonica Engelmn., P. durangensis Martínez, P. teocote Schltdl. & Cham., P. leiophylla Schiede ex Schltdl. & Cham. y P. ayacahuite Ehrenb. ex Schltdl. en los mismos rodales mezclados y a la misma edad de referencia (60 años). Las ecuaciones dinámicas desarrolladas y las curvas de IS son biológicamente realistas debido a que las especies de Pinus y Quercus comparten el espacio de crecimiento y existe una competencia intensiva entre especies (Quiñonez-Barraza et al., 2018). Aunque la interpretación de las ecuaciones de IS en condiciones de multiespecies y rodales incoetáneos puede ser compleja bajo las definiciones tradicionales, el IS calculado para la relación altura-edad continúa siendo la implementación más común (Westfall, Hatfield, Sowers, & O'Connell, 2017).
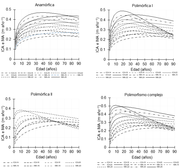
Las curvas de ICA e IMA para cada clase de IS se ilustran en la Figura 3. Con las ecuaciones anamórficas ADA, las curvas de ICA e IMA mostraron incrementos en altura constantes y el crecimiento óptimo en altura fue representado a los 76 años para todas las clases de IS a una edad de referencia de 60 años. En la ecuación polimórfica II, las clases de IS de 22 a 26 m no mostraron buen ajuste a los datos y se colapsaron, lo cual se asumió debido a la sobrestimación en las trayectorias de crecimiento para estas clases de IS. Las curvas de ICA e IMA fueron mejores con la ecuación polimórfica I que con la ecuación polimórfica II; sin embargo, la ecuación GADA mostró mejor las curvas de incremento que las ecuaciones ADA, y el crecimiento óptimo en altura para cada clase de IS fue más realista.

Figura 3 Curvas de ICA (incremento corriente anual) e IMA (incremento medio anual) para las clases de índice de sitio con las ecuaciones ADA (anamórfica y polimórfica I y II) y GADA (polimorfismo complejo) para Quercus sideroxyla a la edad base de 60 años.
Los valores residuales frente a los valores predichos mostraron las tendencias de las desviaciones para cada ecuación ADA y GADA (Figura 4). Una sobrestimación pequeña se observó en las gráficas de residuales para la mayoría de los casos de las clases de altura promedio.

Figura 4 Valores residuales contra predichos de altura con las ecuaciones ADA anamórfica y polimórfica I y II) y GADA (polimorfismo complejo) para Quercus sideroxyla.
Las ecuaciones de crecimiento en altura desarrolladas tienen la capacidad de predecir y proyectar el crecimiento a edades mayores que la edad base utilizada, debido a que la edad estimada máxima fue de 88 años y es compatible con los turnos de corta. Esta característica es importante en los sistemas de manejo de turno de corta (Pukkala & Gadow, 2011; Quiñonez-Barraza et al., 2018) de los árboles dominantes y codominantes seleccionados para llevar a cabo este estudio, lo cual coincide con el punto precisado por Allen y Burkhart (2015). Además, las ecuaciones consideran estimaciones más realistas de la capacidad productiva local y, por consiguiente, estimaciones confiables del IS para rodales mezclados. Las ecuaciones de crecimiento en altura dominante e IS desarrolladas con la metodología GADA son preferibles en situaciones de manejo y planeación forestal (Kahriman, Sönmez, & Gadow, 2018).
Las ventajas computacionales y la flexibilidad de las ecuaciones ADA y GADA permiten su uso y aplicación en el manejo forestal (García, 2011). Los manejadores forestales pueden utilizar las ecuaciones ADA y GADA ajustadas en este estudio para definir los regímenes más adecuados de Q. sideroxyla bajo diferentes objetivos de manejo forestal; asimismo, deben considerar la capacidad productiva como el IS en los modelos de diagnóstico del crecimiento y producción forestal como variable de entrada (Costa et al., 2018; Westfall et al., 2017). Para estimar la edad y después el IS a una edad base, se recomienda hacer al menos cinco mediciones de altura de fuste; la aplicación de las mejores ecuaciones ADA y GADA (ecuaciones 6 y 8, respectivamente) dependerá de la edad estimada para cada árbol objetivo.
Conclusiones
El índice de sitio para calificar la productividad de rodales mezclados con dominancia de Quercus sideroxyla puede estimarse con las ecuaciones desarrolladas en este estudio; la aplicación depende del uso de un modelo de incremento corriente anual en altura. Para ello, es necesario estimar al menos cinco medidas de altura entre el suelo y la altura total y después estimar la edad total con las ecuaciones de incremento medio en altura. La ecuación GADA representó mejor las trayectorias de crecimiento en las clases de índice de sitio y las curvas de incremento; por esta razón es recomendable para estimar el crecimiento en altura e índice de sitio de Q. sideroxyla en rodales mezclados. Las ecuaciones desarrolladas de crecimiento en altura e índice de sitio pueden ser empleadas en la toma de decisiones informada del manejo forestal de rodales mezclados, con el fin de favorecer el equilibrio de la diversidad arbórea, la resistencia y la resiliencia de estos ecosistemas al cambio climático.
Agradecimientos
El autor principal agradece al Consejo Nacional de Ciencia y Tecnología (CONACYT) por el financiamiento con la beca postdoctoral 247171, al Instituto Nacional de Investigaciones Forestales Agrícolas y Pecuarias (INIFAP) y a Daniel B. Warnell School of Forestry & Natural Resources, The University of Georgia (UGA) por recibirme como becario postdoctoral.
REFERENCIAS
Allen, M. G., & Burkhart, H. E. (2015). A comparison of alternative data sources for modeling site index in loblolly pine plantations. Canadian Journal of Forest Research, 45(8), 1026-1033. doi: 10.1139/cjfr-2014-0346 [ Links ]
Antón-Fernández, C., Mola-Yudego, B., Dalsgaard, L., & Astrup, R. (2016). Climate-sensitive site index models for Norway. Canadian Journal of Forest Research, 46(6), 794-803. doi: 10.1139/cjfr-2015-0155 [ Links ]
Bailey, R. L., & Clutter, J. L. (1974). Base-age invariant polymorphic site curves. Forest Science, 20(2), 155-159. doi: 10.1093/forestscience/20.2.155 [ Links ]
Bechtold, W. A. (2003). Crown position and light exposure classification-An alternative to field-assigned crown class. North Journal of Applied Forest, 20(4), 154-160. doi: 10.1093/njaf/20.4.154 [ Links ]
Cieszewski, C. J., & Bailey, R. L. (2000). Generalized algebraic difference approach: theory based derivation of dynamic site equations with polymorphism and variable asymptotes. Forest Science, 46(1), 116-126. doi: 10.1093/forestscience/46.1.116 [ Links ]
Clutter, J. L., Fortson, J. C., Pienaar, L. V., Brister, G. H., & Bailey, R. L. (1983). Timber management: a quantitative approach. New York, NY, USA: John Wiley & Sons, Inc. [ Links ]
Costa, G. C., Calegario, N., Araújo, A., Pereira, J., & Garcia, H. (2018). Site index curves in thinned and non-thinned eucalyptus stands. Forest Ecology and Management, 408, 36-44. doi: 10.1016/j.foreco.2017.10.036 [ Links ]
David, H. C., Péllico, N. S., Arce, J. E., Dalla, C. A. P., Marinheski, F. A., & Behling, A. (2015). Updating of dominant height growth modeling and site index of Pinus taeda L. in southern Brazil. Australian Journal of Basic and Applied Sciences, 9(2), 115-125. Retrieved from https://pdfs.semanticscholar.org/6147/356417bf9e6a5f5387206569837f623825c1.pdf?_ga=2.73391632.2018131849.1569520467-1724316666.1569520467 [ Links ]
del Río, M., Pretzsch, H., Alberdi, I., Bielak, K., Bravo, F., Brunner, A., . . . von Lüpke, N. (2016). Characterization of the structure, dynamics, and productivity of mixed-species stands: review and perspectives. European Journal of Forest Research, 135(1), 23-49. doi: 10.1007/s10342-015-0927-6 [ Links ]
Fraver, S., Bradford, J. B., & Palik, B. J. (2011). Improving tree age estimates derived from increment cores: A case study of red pine. Forest Science, 57(2), 164-170. doi: 10.1093/forestscience/57.2.164 [ Links ]
García, E. (2004). Modificaciones al sistema de clasificación climática de Kóppen (5.a ed.). México: UNAM. [ Links ]
García, O. (2011). Dynamical implications of the variability representation in site-index modelling. European Journal of Forest Research, 130(4), 671-675. doi: 10.1007/s10342-010-0458-0 [ Links ]
Kahriman, A., Sönmez, T., & Gadow, K. v. (2018). Site index models for Calabrian pine in the central Mediterranean region of Turkey. Journal of Sustainable Forest, 37(5), 459-474. doi: 10.1080/10549811.2017.1421086 [ Links ]
Meadows, J. S., Burkhardt, E., Johnson, R. L., & Hodges, J. D. (2001). A numerical rating system for crown classes of southern hardwoods. Southern Journal of Applied Forestry, 25(4), 154-158. Retrieved from https://www.srs.fs.usda.gov/pubs/ja/ja_meadows_009.pdf [ Links ]
Pinheiro, J., & Bates, D. (2000). Mixed-effects models in S and S-PLUS. Statistics and computing. New York, NK, USA: Springer. [ Links ]
Pinheiro, J., Bates, D., DebRoy, S., & Sarkar, D. (2015). nlme: Linear and nonlinear mixed effects models. R package version 3.1-120 Retrieved from https://cran.r-project.org/web/packages/nlme/index.html [ Links ]
Pukkala, T., & Gadow, K. (2011). Continuous cover forestry (vol. 23). New York, NY, USA: Springer Science & Business Media. [ Links ]
Quiñonez-Barraza, G., De los Santos-Posadas, H. M., Cruz-Cobos, F., Velázquez-Martínez, A., Ángeles-Pérez, G., & Ramírez-Valverde, G. (2015). Site index with complex polymorphism of forest stands in Durango, Mexico. Agrociencia, 49(4), 439-454. Retrieved from http://www.scielo.org.mx/scielo.php?script=sci_arttext&pid=S1405-31952015000400007 [ Links ]
Quiñonez-Barraza, G., García-Espinoza, G. G., & Aguirre-Calderón, O. A. (2018). How to correct the heteroscedasticity and autocorrelation of residuals in taper and height growth models? Revista Mexicana de Ciencias Forestales, 9(49), 28-59. doi: 10.29298/rmcf.v9i49.151 [ Links ]
Quiñonez-Barraza, G., Zhao, D., de los Santos-Posadas, H. M., Santiago-García, W., Tamarit-Urias, J. C., & Nájera-Luna, J. A. (2019). Compatible taper, volume, green weight, biomass and carbon concentration system for Quercus sideroxyla Bonpl. Revista Chapingo Serie Ciencias Forestales y del Ambiente, 25(1), 49-69. doi: 10.5154/r.rchscfa.2018.06.050 [ Links ]
Quiñonez-Barraza, G., Tamarit-Urias, J. C., Martínez-Salvador, M., García-Cuevas, X., de los Santos-Posadas, H. M., & Santiago-García, W. (2018). Maximum density and density management diagram for mixed-species forests in Durango, Mexico. Revista Chapingo Serie Ciencias Forestales y del Ambiente, 24(1), 73-90. doi: 10.5154/r.rchscfa.2017.09.056 [ Links ]
Quiñonez-Barraza, G., Zhao, D., De Los Santos Posadas, H. M., & Corral-Rivas, J. J. (2018). Considering neighborhood effects improves individual DBH growth models for natural mixed-species forests in Mexico. Annals of Forest Science, 75(3), 1-11. doi: 10.1007/s13595-018-0762-2 [ Links ]
R Development Core Team. (2017). R: A language and environment for statistical computing. Vienna, Austria: R Foundation for Statistical Computing. [ Links ]
Richards, F. (1959). A flexible growth function for empirical use. Journal of Experimental Botany, 10(2), 290-301. Retrieved from https://www.jstor.org/stable/23686557 [ Links ]
Rodríguez-Carrillo, A., Cruz-Cobos, F., Vargas-Larreta, B., & Hernández, F. J. (2015). Compatible dominant height-site index model for juniper (Juniperus deppeana Steud.). Revista Chapingo Serie Ciencias Forestales y del Ambiente, 21(1), 97-108. doi: 10.5154/r.rchscfa.2014.09.041 [ Links ]
Rozas, V. (2003). Tree age estimates in Fagus sylvatica and Quercus robur: testing previous and improved methods. Plant Ecology, 167(2), 193-212. doi: 10.1023/A:1023969822044 [ Links ]
Seki, M., & Sakici, O. E. (2017). Dominant height growth and dynamic site index models for Crimean pine in Kastamonu-Taşköprü region of Turkey. Canadian Journal of Forest Research, 47(11), 1441-1449. doi: 10.1139/cjfr-2017-0131 [ Links ]
Sharma, M., & Parton, J. (2018). Climatic effects on site productivity of red pine plantations. Forest Science, 64(5), 544-554. doi: 10.1093/forsci/fxy013 [ Links ]
Sharma, M., & Reid, D. E. B. (2018). Stand height/site index equations for jack pine and black spruce trees grown in natural stands. Forest Science, 64(1), 33-40. doi: 10.5849/FS-2016-133 [ Links ]
Sharma, M., Subedi, N., Ter-Mikaelian, M., & Parton, J. (2015). Modeling climatic effects on stand height/site index of plantation-grown jack pine and black spruce trees. Forest Science, 61(1), 25-34. doi: 10.5849/forsci.13-190 [ Links ]
Torres-Rojo, J. M., Moreno-Sánchez, R., & Mendoza-Briseño, M. A. (2016). Sustainable forest management in Mexico. Current Forestry Reports, 2(2), 93-105. doi: 10.1007/s40725-016-0033-0 [ Links ]
Vargas-Larreta, B., Corral-Rivas, J. J., Aguirre-Calderón, O. A., López-Martínez, J. O., de los Santos-Posadas, H. M., Zamudio-Sánchez, F. J., . . . Aguirre-Calderón, C. G. (2017). SiBiFor: Forest Biometric System for forest management in Mexico. Revista Chapingo Serie Ciencias Forestales y del Ambiente, 23(3), 437-455. doi: 10.5154/r.rchscfa.2017.06.040 [ Links ]
Watt, M. S., Dash, J. P., Bhandari, S., & Watt, P. (2015). Comparing parametric and non-parametric methods of predicting Site Index for radiata pine using combinations of data derived from environmental surfaces, satellite imagery and airborne laser scanning. Forest Ecology and Management, 357, 1-9. doi: 10.1016/j.foreco.2015.08.001 [ Links ]
Westfall, J. A., Hatfield, M. A., Sowers, P. A., & O'Connell, B. M. (2017). Site index models for tree species in the Northeastern United States. Forest Science, 63(3), 283-290. doi: 10.5849/FS-2016-090 [ Links ]
Yue, C., Kahle, H-P., von Wilpert, K., & Kohnle, U. (2016). A dynamic environment-sensitive site index model for the prediction of site productivity potential under climate change. Ecological Modelling, 337, 48-62. doi: 10.1016/j.ecolmodel.2016.06.005 [ Links ]
Yue, C., Mäkinen, H., Klädtke, J., & Kohnle, U. (2014). An approach to assessing site index changes of Norway spruce based on spatially and temporally disjunct measurement series. Forest Ecology and Management, 323, 10-19. doi: 10.1016/j.foreco.2014.03.031 [ Links ]
Recibido: 15 de Marzo de 2019; Aprobado: 01 de Octubre de 2019










texto em 



