Serviços Personalizados
Journal
Artigo
Indicadores
-
Citado por SciELO -
Acessos
Links relacionados
-
Similares em
SciELO
Compartilhar
Revista Chapingo serie ciencias forestales y del ambiente
versão On-line ISSN 2007-4018versão impressa ISSN 2007-3828
Rev. Chapingo ser. cienc. for. ambient vol.25 no.3 Chapingo Set./Dez. 2019 Epub 19-Fev-2021
https://doi.org/10.5154/r.rchscfa.2018.12.093
Artículo científico
Diversidad arbórea y carbono almacenado en sistemas agroforestales de cacao (Theobroma cacao L.) en el Soconusco, Chiapas, México
1Universidad de Guantánamo (UG). Av. Che Guevara, km 1.5 carretera Jamaica. C. P. 95100. Guantánamo, Cuba.
2Instituto Nacional de Investigaciones Forestales Agrícolas y Pecuarias (INIFAP), Campo experimental Rosario Izapa. km 18 carretera Tapachula-Cacahoatán. C. P. 30870. Tuxtla Chico, Chiapas, México.
3Instituto Politécnico Nacional (IPN), Escuela Nacional de Ciencias Biológicas. Prolongación de Carpio y Plan de Ayala s/n, col. Santo Tomás. C. P. 11340. Miguel Hidalgo, Ciudad de México, México.
Introducción:
Los rendimientos de cacao (Theobroma cacao L.) en Chiapas, México, aún son bajos, pero pueden ser mejorados con diseños agroforestales que consideren la composición arbórea para garantizar la diversidad y captura de carbono.
Objetivo:
Determinar la diversidad arbórea y el carbono almacenado en tres niveles altitudinales de sistemas agroforestales con cacao en el Soconusco, Chiapas.
Materiales y métodos:
Se establecieron parcelas representativas de 50 x 20 m en tres niveles altitudinales (0 a 50 m, 51 a 100 m y ≥101 m). Las especies se contabilizaron y clasificaron taxonómicamente. Se estimaron el diámetro a la altura del pecho, la altura de cada especie, la diversidad y similitud entre pares de alturas, así como el almacenamiento de carbono.
Resultados y discusión:
La riqueza fue de 35 especies arbóreas seleccionadas por los productores para sombra del cultivo de cacao. Estas se agruparon en 32 géneros y 22 familias. La abundancia fue de 199 árboles; la abundancia por parcela y diversidad fueron mayores en la altura ≥101 m. La menor diversidad estuvo asociada a las alturas con menor equidad entre abundancia y riqueza. El carbono almacenado en la biomasa aérea varió de 224.9 a 362.1 Mg·ha-1; la cantidad fue superior a más baja altura (0 a 50 m).
Conclusiones:
Los sistemas agroforestales presentaron diversidad media a alta. La distribución de las especies, por nivel altitudinal, responde a los intereses de los productores y a la composición del bosque natural. La cantidad de carbono almacenado fue alta, debido a la abundancia, riqueza y dominancia de las especies.
Palabras clave: Nivel altitudinal; riqueza de especies; composición arbórea; captura de carbono; árboles de sombra
Introduction:
Cocoa (Theobroma cacao L.) yields in Chiapas, Mexico remain low, but can be improved with agroforestry designs that consider tree composition to ensure diversity and carbon sequestration.
Objective:
To determine tree diversity and stored carbon at three elevational levels of cocoa agroforestry systems in Soconusco, Chiapas.
Materials and methods:
Representative 50 x 20 m plots were established at three elevational levels (0 to 50 m, 51 to 100 m and ≥101 m). Species were counted and classified taxonomically. Diameter at breast height, height of each species, diversity, similarity between pairs of heights, and carbon storage were estimated.
Results and discussion:
Richness was 35 tree species selected by the producers to shade the cocoa crop. These were grouped into 32 genera and 22 families. Abundance was 199 trees, with abundance per plot and diversity being the highest at ≥101 m. Lower diversity was associated with heights with less equity between abundance and richness. Carbon stored in aerial biomass ranged from 224.9 to 362.1 Mg·ha-1; the amount was highest at lower elevations (0 to 50 m).
Conclusions:
Agroforestry systems had medium to high diversity. Species distribution, by elevational level, responds to the interests of the producers and to the composition of the natural forest. The amount of stored carbon was high, due to the abundance, richness and dominance of the species.
Keywords: Elevational level; species richness; tree composition; carbon sequestration; shade trees
Introducción
Los estados de Tabasco y Chiapas son los productores más importantes de cacao (Theobroma cacao L.) en México. En Chiapas, las principales regiones de producción son el Norte, Centro, Soconusco y Selva-Norte con rendimiento promedio que oscila entre 0.20 a 0.54 t·ha-1 (Servicio de Información Agroalimentaria y Pesquera [SIAP], 2018); algunos de los factores que intervienen en el rendimiento son el sanitario y el cambio climático.
El clima global está cambiando debido a un aumento progresivo de las concentraciones de gases efecto invernadero, como el dióxido de carbono (CO2), cuyas emisiones aumentan cada año y contribuyen a un incremento global de la temperatura (Intergovernmental Panel on Climate Change [IPCC], 2007). El cambio de uso de la tierra, la deforestación, el uso masivo de combustibles fósiles con fines industriales y el transporte son los principales factores que inducen dichas emisiones (Useros, 2013) y que afectan la salud humana, la seguridad alimentaria y los ecosistemas naturales (Comisión Económica para América Latina y el Caribe [CEPAL], 2009; Eguren, 2004; IPCC, 2007). El cambio climático podría mitigarse mediante el establecimiento de sistemas agroforestales (SAF) capaces de capturar el CO2 de la atmósfera y almacenarlo en la biomasa aérea y subterránea por largos periodos (Gayoso & Guerra, 2005). En este sentido, Shibu (2009), Schoeneberger (2009)), y Casanova, Caamal, Petit, Solorio, y Castillo (2010) fundamentan el hecho de que los SAF, incluso si no están diseñados principalmente para el secuestro de carbono, ofrecen una oportunidad para aumentar las reservas de carbono en la biosfera terrestre.
La mayor parte de las plantaciones de cacao en el mundo se encuentra establecida con especies de árboles de sombra, en algunos casos bajo un diseño de manejo agroforestal. En este contexto, algunos autores reconocen la necesidad de cultivar el cacao bajo sombra (Almeida & Valle, 2007; Silva, Orozco, Rayment, & Somarriba, 2013; Somarriba & Quesada, 2005). Por ello, es necesario lograr una composición arbórea para sombra dentro de los SAF de cacao, donde las especies forestales estén dispuestas de tal forma que permitan la entrada de luz según los requerimientos del cultivo y que influyan positivamente en el almacenamiento del carbono.
En México se han desarrollado algunos trabajos sobre la composición arbórea en los SAF del Soconusco, Chiapas (Roa-Romero, Salgado-Mora, & Álvarez-Herrera, 2009; Salgado-Mora, Ibarra, Macías-Sámano, & López-Báez, 2007) y en Tabasco (Ramírez, García, Obrador, Ruiz, & Camacho, 2013); sin embargo, tales investigaciones no hacen alusión a la influencia de esa composición arbórea en el almacenamiento de carbono. Por ello, el objetivo de esta investigación fue determinar la diversidad arbórea y el carbono almacenado de tres niveles altitudinales en SAF con cacao en el Soconusco, Chiapas, México. La información generada permitirá a los productores adoptar alternativas en el manejo de la sombra en las plantaciones, para mejorar la sostenibilidad de estos agroecosistemas.
Materiales y métodos
Descripción del área de estudio
La investigación se desarrolló durante el primer semestre del año 2018 en tres zonas altitudinales que agruparon a 13 de los 15 municipios de la región Soconusco. Esta región se encuentra ubicada en el sur del estado de Chiapas, México, entre las coordenadas 15° 19' LN y 92° 44' LW cubriendo 4 605.4 km2 que representan 6.28 % de la superficie estatal.
Los climas en la región son cálidos y semicálidos; predomina el clima cálido subhúmedo con lluvias de verano, seguido por el clima cálido húmedo con lluvias abundantes de verano. Por tanto, de acuerdo con la clasificación de Köppen modificada por García (1973), el clima predominante es del tipo Aw2(w)Ig con humedad relativa media de 79.4 % y temperatura media anual de 26.8 °C (Comisión Nacional del Agua [CONAGUA], 2015). La región del Soconusco y su planicie costera presenta ocho tipos de suelo: Litosol, Acrisol, Regosol, Solonchak, Andosol, Luvisol, Nitosol y Cambisol (Comisión Nacional para el Conocimiento y Uso de la Biodiversidad [CONABIO], 2015). No obstante, en las zonas de producción de cacao, por lo general, los suelos predominantes son el Andosol, Cambisol y Luvisol.
Muestreo
Se realizó un recorrido exploratorio y se hicieron entrevistas a los actores directos de la producción en 90 % de las plantaciones de cacao en cada municipio de la región del Soconusco, para determinar las zonas de muestreo. A partir de este recorrido se definieron los rangos altitudinales a estudiar, los criterios para la selección de los municipios objeto de intervención, y las entidades productivas (fincas) a evaluar.
Los criterios de selección de los municipios se eligieron en función de la representatividad a nivel estatal: 1) superficie plantada con el cultivo de cacao; 2) cantidad de productores; 3) aporte a la producción (%); y 4) representatividad geográfica por niveles de altitud (desde 0 hasta 500 m).
El recorrido permitió identificar que la mayor superficie de las plantaciones de cacao se encuentra en alturas por debajo de los 150 m, lo que garantizó representatividad al seleccionar la mayor cantidad de fincas a bajas alturas; por lo tanto, se definieron los siguientes niveles altitudinales: 0 a 50 m, 51 a 100 m y ≥101 m, compuestas por siete, tres y tres fincas, respectivamente (Cuadro 1).
Cuadro 1 Localidades y alturas evaluadas en el sistema agroforestal con cacao en la región Soconusco, Chiapas.
| Municipios | Localidades | Coordenadas X | Coordenadas Y | Altitud (m) |
|---|---|---|---|---|
| Altura 1 (0-50 m) | ||||
| Huehuetán | Rancho Esquipulas | 559941 | 1657255 | 17 |
| Suchiate | Manuel Ávila Camacho | 582086 | 1618980 | 19 |
| Huixtla | El Arenal | 554524 | 1666228 | 19 |
| Mapastepec | La Fronterita | 514271 | 1700423 | 29 |
| Tuzantán | Tercer Cantón | 558966 | 1669483 | 33 |
| Acapetahua | Rancho San Antonio | 530773 | 1692492 | 34 |
| Escuintla | El Triunfo | 544935 | 1697062 | 36 |
| Altura 2 (51-100 m) | ||||
| Tapachula | Raymundo Enríquez | 571924 | 1643444 | 60 |
| Frontera Hidalgo | La Primavera | 587577 | 1635447 | 83 |
| Metapa | Los Cacahuatales | 586045 | 1637418 | 91 |
| Altura 3 (≥ 101 m) | ||||
| Acacoyagua | Los Cacaos | 536672 | 1701221 | 398 |
| Tuxtla Chico | C. E. Rosario Izapa | 590658 | 1655363 | 433 |
| Cacahoatán | Santa Martha | 586167 | 1658130 | 500 |
Variables de respuesta
Composición arbórea
Se realizó un muestreo en 13 parcelas de 20 m x 50 m (1 000 m2) correspondiendo a una parcela por municipio, que representa un área total de muestreo de 1.3 ha. En cada parcela se realizó un inventario de las especies de sombra presentes y se registró el nombre común de cada árbol para su identificación taxonómica a nivel de familia, género y especie, con base en el manual de árboles de Centroamérica (Barrance et al., 2003) y árboles tropicales de México (Pennington & Sarukhán, 2005). El área basal de cada árbol se obtuvo a partir del diámetro medido a la altura del pecho (DAP: 1.3 m sobre el nivel del suelo) medido con una cinta diamétrica de 5 m y de la altura obtenida con un clinómetro (marca SSUNTO).
La composición arbórea y la estructura de las parcelas se evaluaron en las tres alturas, mediante el índice de valor de importancia (IVI) según Curtis y McIntosh (1951), a partir de la densidad relativa por unidad de área, del área basal relativa y de la frecuencia relativa de especies, con el uso de la ecuación IVI = densidad relativa + dominancia relativa + frecuencia relativa. Para garantizar la homogeneidad de la información, los cálculos de abundancia y riqueza se calcularon por parcela en cada nivel altitudinal.
Análisis de la diversidad y similitud
La diversidad de especies, géneros y familias de plantas, asociada al SAF de cacao en las tres alturas seleccionadas, se analizó mediante el cálculo de los índices Shannon y Simpson. Para el primero se utilizó la siguiente ecuación:
H'= -∑pi(lnpi)
pi = ni/n
donde,
H' |
índice de Shannon |
ni |
número de árboles de la i-ésima especie |
n |
número total de árboles de todas las especies |
∑pi |
abundancia proporcional de la i-ésima especie |
Para el índice de Simpson (D) se utilizó la siguiente ecuación:
D = ∑pi 2
Para convertir esta probabilidad a una medida de diversidad, se usó el complemento de la medida original de Simpson:
1 - D = 1 - ∑pi 2
La similitud entre pares de alturas se analizó con el coeficiente de Jaccard y el método de Czekanowski-Sørensen, métodos cualitativos explicados por Polo (2008). El coeficiente de Jaccard (Cj) se basa en la relación de presencia-ausencia entre el número de especies en cada sistema y el número total de especies (Stiling, 1999), dado por la siguiente ecuación:
donde,
A |
número de especies encontradas en el sistema A |
B |
número de especies encontradas en el sistema B |
C |
número de especies comunes a ambos sistemas |
Por otra parte, el método de Czekanowski-Sørensen se basa también en la relación presencia-ausencia entre el número de especies compartidas o no en cada sistema y el número total de especie de los dos sitios en comparación. Para ello se utilizó la siguiente ecuación:
donde,
C |
número de especies compartidas entre los dos sitios |
S1 |
número de especies en el sitio 1 |
S2 |
número de especies en el sitio 2. |
La similitud se evaluó con el método cuantitativo de Morisita-Horn, que considera los valores de las especies compartidas o no entre los dos sitios en comparación, y significa la similitud de dos sitios en estructura tanto en composición como en abundancia relativa. Para ello se utilizó la siguiente ecuación:
donde,
nia |
número de árboles de la especie i en el sitio a |
nib |
número de árboles de la especie i en el sitio b |
Na |
número de árboles en el sitio a |
Nb |
número de árboles en el sitio b |
Para el sitio a:
Para el sitio b:
Carbono almacenado
El carbono almacenado (Mg·ha-1) se determinó con la metodología de estimación rápida propuesta por Segura y Andrade (2008). Para ello, se consideraron solo las especies registradas con DAP1.3 m ≥ 10 cm en cada una de las alturas estudiadas. Las especies se clasificaron por tipos de DAP cada 5 cm y se compararon con los valores tabulados de almacenamiento que se propone en dicha metodología para las condiciones de los SAF con cacao. Los valores de carbono almacenado por tipo de DAP fueron sumados con una constante de uso del suelo para el cacao (17.2). Los valores finales de almacenamiento de carbono se clasificaron por niveles bajo, medio y alto, según la clasificación de Somarriba, Andrade, Segura, y Villalobos (2008), expresados en la propia metodología.
Análisis estadístico
Los datos del registro de las especies se sistematizaron en una base de datos creada con el paquete de Excel versión 9.1, donde se calculó la frecuencia y promedio de especies. Con la información originada del número de árboles por especie y la abundancia para determinar los índices de diversidad, se hizo un análisis con las mínimas diferencias significativas entre las medias de Fisher (LSD) para un nivel de P ≤ 0.05. Las medias se compararon por contraste múltiple de rangos con el paquete estadístico STATGRAPHICS plus versión 5.1 (Batanero & Díaz, 2008).
Resultados
Composición arbórea
El Cuadro 2 muestra las 35 especies arbóreas seleccionadas por los productores para sombra en las plantaciones agroforestales de cacao en el Soconusco, Chiapas. Las especies se agruparon en 32 géneros y 22 familias. Los géneros más representados fueron Citrus (8.5 %) y Tabebuia (5.71 %), que en conjunto concentraron 25.12 % de los árboles (199 en total). Las familias más representadas fueron Fabaceae, Moraceae y Rutaceae con cuatro, tres y tres especies, respectivamente; seguidas de Apocynaceae, Bignoniaceae, Euphorbiaceae, Malvaceae, Meliaceae y Sapotaceae con dos especies cada una. Estas familias agruparon 54.1 % de las especies inventariadas.
Cuadro 2 Especies utilizadas como sombra en el cultivo del cacao en 13 municipios muestreados del Soconusco, Chiapas.
| Familia | Especie | Nombre común | Usos |
|---|---|---|---|
| Anacardiaceae | Mangifera indica L. | Mango | Frutal |
| Apocynaceae | Aspisperma megalocarpon Müll. Arg | Chiche | Maderable |
| Apocynaceae | Stemmadenia donnell-smithii (Rose) Woodson | Chapón | Maderable |
| Bignoniaceae | Tabebuia donnell-smithii Rose | Primavera | Maderable |
| Bignoniaceae | Tabebuia rosea (Bertol.) DC. | Roble | Maderable |
| Boraginaceae | Cordia alliodora (Ruiz & Pav.) Oken | Laurel | Maderable |
| Bombacaceae | Ceiba pentandra (L.) Gaertn. | Ceiba | Maderable |
| Burseraceae | Bursera simaruba (L.) Sarg. | Jiote | Maderable |
| Cecropiaceae | Cecropia obtusifolia Bertol. | Guarumo | Otros usos |
| Chrysobalanaceae | Couepia polyandra (Kunth) Rose | Carnero | Maderable |
| Combretaceae | Terminalia amazonia (J. F. Gmel.) Exell | Guayabo volador | Maderable |
| Clusiaceae | Garcinia humilis (Vahl) C. D. Adams | Achachayrú | Frutal |
| Euphorbiaceae | Sapium macrocarpum Müll. Arg | Chonte | Maderable |
| Euphorbiaceae | Hippomane mancinella L. | Manzanillo | Maderable |
| Fabaceae | Inga micheliana Harms | Chalum | Maderable |
| Fabaceae | Schizolobium parahyba (Vell.) S. F. Blake | Zope | Maderable |
| Fabaceae | Poeppigia procera C. Presl | Tepemistle | Maderable |
| Fabaceae | Erythrina fusca Lour | Pito | Otros usos |
| Lauraceae | Persea americana Mill. | Aguacate | Frutal |
| Malvaceae | Chiranthodendron pentadactylon Larreat | Canaque | Maderable |
| Malvaceae | Theobroma bicolor Humb. & Bonpl | Pataste | Frutal |
| Meliaceae | Cedrela odorata L. | Cedro | Maderable |
| Meliaceae | Guarea glabra Vahl. | Cedrillo | Maderable |
| Moraceae | Castilla elastica Sesse | Hule | Maderable |
| Moraceae | Ficus sp. L. | Mata palo | Otros usos |
| Moraceae | Maclura tinctoria (L.) Steud | Mora blanco | Maderable |
| Muntingiaceae | Muntingia calabura L. | Capulín | Otros usos |
| Rutaceae | Citrus nobilis Lour | Mandarina | Frutal |
| Rutaceae | Citrus sinensis L. | Naranja | Frutal |
| Rutaceae | Citrus aurantifolia Swingle | Limón | Frutal |
| Sapindaceae | Nephelium lappaceum L. | Rambután | Frutal |
| Sapotaceae | Manilkara zapota (L.) van Royen | Chicozapote | Frutal |
| Sapotaceae | Pouteria sapota (Jacq.) H. E. Moore & Stearn | Zapote | Frutal |
| Sterculiaceae | Sterculia apelata (Jacq.) Karst | Castaño | Maderable |
| Tiliaceae | Apeiba tibourbou Aubl. | Peine de Mico | Maderable |
Se determinó una riqueza de 35 especies en las tres altitudes. La mayor riqueza se encontró en la altitud ≥101 m con un registro total de 21 especies que significó, en promedio, siete especies por parcela, representadas por las familias Boraginaceae y Apocynaceae, seguido por la altitud entre 0 y 50 m con 26 especies (en promedio 3.72 especies por parcela) representadas principalmente por las familias Boraginaceae, Sapotaceae y Meliaceae; la menor riqueza se registró en altitudes entre 51 y 100 m con seis especies en total con promedio de dos especies por parcela, representadas con cuatro familias, entre ellas Boraginaceae.
Respecto a la abundancia de especies, se determinó un total de 199 árboles en las tres altitudes; 101 árboles se registraron en las altitudes de 0 a 50 m, lo que representó 14.42 árboles por parcela; en el nivel altitudinal entre 51 a 100 m se registraron 47 árboles que representaron 15.66 árboles por parcela, y en alturas mayores de 101 m se registraron 51 árboles con promedio de 17 árboles por parcela. De acuerdo con la Figura 1, el laurel (Cordia alliodora [Ruiz & Pav.] Oken), roble (Tabebuia rosea [Bertol.] DC.) y zapote (Pouteria sapota [Jacq.] H. E. Moore & Stearn.) fueron las especies más abundantes con 29, 26 y 23 árboles, respectivamente. De las especies registradas, 13 presentaron poca abundancia con tan solo un árbol; de estas, ocho se encontraron mayormente localizados en el menor nivel altitudinal (0 a 50 m). No obstante, las especies de mayor abundancia se registraron en las tres alturas.

Figura 1 Patrón de distribución de la abundancia de especies en sistemas agroforestales de cacao en el Soconusco, Chiapas.
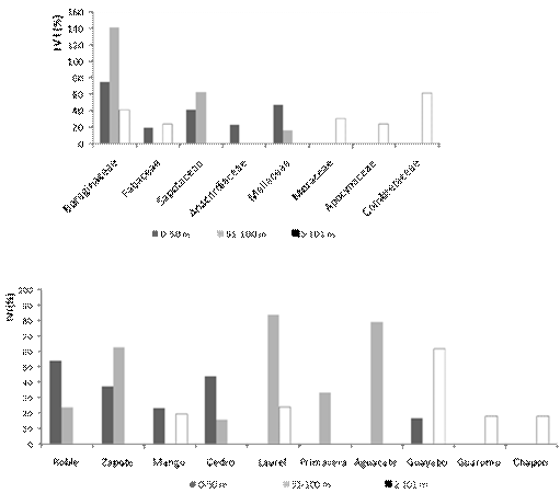
En cuanto al IVI, las familias Boraginaceae, Fabaceae, Sapotaceae y Meliaceae se encontraron entre las cinco más importantes, la cuales estuvieron representadas por especies localizadas en al menos dos de las alturas estudiadas. La familia Boraginaceae fue representada por especies de alto valor de importancia en los tres niveles altitudinales, lo que sugiere que se trata de taxones exitosos con especies capaces de desarrollarse en distintos ambientes y alturas (Figura 2). En contraste, la familia Fabaceae no estuvo representada con alguna especie de mayor IVI, pero si tuvo especies con menor IVI, tales como el zope (Schizolobium parahyba [Vell.] S. F. Blake) y chalum (Inga micheliana Harms), en dos niveles altitudinales.

Figura 2 Familias y especies más importantes en tres niveles altitudinales del Soconusco, Chiapas. IVI: índice de valor de importancia.
A diferencia del análisis realizado en las familias, no se registraron especies importantes desarrolladas al mismo tiempo en los tres niveles de altura, solo en dos de estos (Figura 2). No obstante, algunas especies se encontraron en las tres alturas, pero con menor o mayor importancia en una u otra; tal es el caso del laurel, primavera, zapote, cedro (Cedrela odorata L.) y aguacate (Persea americana Mill.).
Diversidad
El Cuadro 3 muestra que la diversidad de especies y familias, estimada por medio del índice de Shannon, fue diferente significativamente (P ≤ 0.05) entre niveles altitudinales; los valores más altos de diversidad se encontraron en las alturas de 51 a 100 m y mayores de 101 m. Por otro lado, en la diversidad estimada a través del índice de Simpson no se encontraron diferencias significativas (P > 0.05) entre las tres altitudes.
Cuadro 3 Índices de diversidad por especies y familias del sistema agroforestal cacao en las alturas estudiadas del Soconusco, Chiapas.
| Altura (m) | Estadígrafos | Especies | Familias | ||
|---|---|---|---|---|---|
| Índice de Shannon | Índice de Simpson | Índice de Shannon | Índice de Simpson | ||
| 0-50 | Promedio | 1.340 ab | 0.670 a | 1.330 a | 0.660 a |
| Desviación típica | 0.472 | 0.210 | 0.510 | 0.198 | |
| Error estándar | 0.197 | 0.082 | 0.190 | 0.083 | |
| Límite inferior | 0.032 | 0.542 | 0.031 | 0.536 | |
| Límite superior | 0.647 | 0.801 | 1.631 | 0.797 | |
| 51-100 | Promedio | 0.650 b | 0.690 a | 0.410 b | 0.630 a |
| Desviación típica | 0.701 | 0.285 | 0.426 | 0.324 | |
| Error estándar | 0.323 | 0.125 | 0.291 | 0.127 | |
| Límite inferior | 0.147 | 0.514 | 0.041 | 0.429 | |
| Límite superior | 1.153 | 0.909 | 0.875 | 0.830 | |
| ≥101 | Promedio | 1.790 a | 0.800 a | 1.660 a | 0.680 a |
| Desviación típica | 0.669 | 0.148 | 0.552 | 0.134 | |
| Error estándar | 0.323 | 0.125 | 0.291 | 0.127 | |
| Límite inferior | 0.290 | 0.598 | 2.118 | 0.486 | |
| Límite superior | 2.296 | 0.993 | 2.156 | 0.887 | |
Valores medios del índice de Shannon e índice de Simpson con la misma letra no presentan diferencias estadísticas significativas a nivel altitudinal, de acuerdo con la prueba de rangos múltiples (contraste múltiple de rangos) o diferencias significativas de Fisher (DMS) (P > 0.05).
Similitud
Acorde con el Cuadro 4, los índices cualitativos de Jaccard y Sørensen indican que la mayor similitud se encontró entre las composiciones arbóreas de 0 a 50 m y ≥101 m; del total de especies registradas, 12 fueron comunes en los tres rangos altitudinales. No obstante, según el método cuantitativo de Morisita-Horn, la similitud entre las alturas fue mayor en los SAF ubicados en los niveles altitudinales mayores de 51 m.
Cuadro 4 Índices de similitud de las especies del sistema agroforestal cacao por pares de alturas estudiadas en el Soconusco Chiapas.
| Pares de alturas (m) | Métodos cualitativos | Método cuantitativo | |
|---|---|---|---|
| Jacard | Sørensen | Morisita-Horn | |
| 0-50 y 51-100 | 0.2307 | 0.3750 | 0.4074 |
| 0-50 y ≥101 | 0.3428 | 0.5100 | 0.4325 |
| 51-100 y ≥101 | 0.2272 | 0.3700 | 0.4965 |
Carbono almacenado
El uso de las tierras por los SAF de cacao, en los tres rangos altitudinales estudiados del Soconusco, almacenan niveles altos de carbono con especies que acumulan entre 3.11 Mg·ha-1 y 205 Mg·ha-1. Con base en la información del Cuadro 5, las especies desarrolladas en alturas bajas y altas almacenaron 39.5 % y 36 % del total, respectivamente, mientras que en la altura media (51-100 m) se almacena solo 24.5 %.
Cuadro 5 Estimación del carbono almacenado en la biomasa de las especies del sistema agroforestal cacao en las alturas estudiadas del Soconusco, Chiapas.
| Altura (m) | Cantidad de árboles (DAP ≥ 10 cm) | Carbono almacenado (Mg·ha-1) | Clasificación |
|---|---|---|---|
| 0-50 | 89 | 362.1 | Alto |
| 51-100 | 39 | 224.9 | Alto |
| ≥ 101 | 49 | 329.4 | Alto |
DAP: diámetro a la altura del pecho
Discusión
Composición arbórea
La mayor abundancia por parcela se encontró en el rango altitudinal ≥101 m, debido principalmente a la cantidad de especies registradas en los municipios de Tuxtla Chico y Acapetagua, con dominancia del guarumo (Cecropia obtusifolia Bertol.), chapón (Stemmadenia donnell-smithii [Rose] Woodson) y laurel. La composición arbórea de los tres rangos altitudinales presentó especies típicas de los agroecosistemas donde se cultiva el cacao, cuyo registro fue similar al señalado en esta misma región por Salgado et al. (2007) y Roa-Romero et al. (2009).
La familia Fabaceae, como una de las más representadas, agrupó especies propias de los SAF con cacao, tal es el caso del chalum (I. micheliana) en los municipios de Tuxtla Chico, Acacoyagua y Suchiate. Esta especie se encuentra comúnmente como árbol de sombra en cultivos perennes, debido a la arquitectura de la copa en forma de sombrilla que permite la entrada homogénea de la iluminación en las plantaciones. Como árbol de servicio proporciona nitrógeno debido a su capacidad fijadora, y fertilidad a través de los residuos de las podas que son utilizados en forma de cobertura muerta (Barrance et al., 2013).
Al examinar la regularidad de los valores de abundancia de especies cuando se ordenaron de forma decreciente, se observó que el patrón de distribución correspondió con los modelos matemáticos explicados por Magurran (1989), Margalef (1995) y Krebs (1999), cuya curva permitió interpretar la información de abundancia. Este patrón comenzó con una progresión similar a una serie geométrica donde pocas especies (13) son dominantes y prácticamente raras; es decir, se asumió una proporcionalidad constante entre las abundancias y las especies, de manera que la serie se observó como una línea recta en escala logarítmica. Posteriormente, se observó un ajuste a una serie con distribución normal logarítmica, donde existió un número pequeño de especies abundantes y una gran proporción de especies poco abundantes, lo que determinó que la curva que describe tenga forma de jota invertida. Esta distribución expresa, con mayor claridad, la relación de árboles por especie y dónde se registraron especies con abundancia intermedia, respecto al total, y que llegaron a ser más frecuentes. Finalmente, la curva del patrón de distribución mostró las condiciones del modelo palo quebrado (broken stick model) en el que las especies son igualmente abundantes y se pueden organizar en clases de abundancia.
Seis de las 10 especies con mayor IVI, en uno o más niveles de altitud del Soconusco, se encontraron en el nivel altitudinal de 51 a 100 m; esto se debe a la abundancia, frecuencia y dominancia del diámetro basal. De entre las especies con mayor nivel de importancia en los tres niveles altitudinales se encontró el zapote, coincidiendo con los registros de Roa-Romero et al. (2009). Lo anterior obedece a que el zapote es un frutal de gran aceptación por los aportes a los ingresos económicos del productor. Comúnmente, el árbol se encuentra formando parte de la estructura arbórea de las plantaciones de café y cacao, establecidas o regeneradas naturalmente ya sea con o sin diseño agroforestal. La localización del zapote es aleatoria, tal como se registró en las parcelas de Tapachula, Huehuetán y Acapetagua. Por otro lado, el mango (Mangifera indica L.), con mayor presencia en la altura de 0 a 50 m, fue una de las especies con menor valor de importancia dentro de las 10 especies más importantes; sin embargo, este frutal también es de importancia trascendental para los productores por los ingresos que aporta ante los precios bajos del cultivo principal. El mango se encontró en plantaciones de cacao en cuatro municipios, situación similar a la registrada por Ramírez et al. (2013) en SAF de cacao de 30 años en Tabasco.
Dentro de las especies maderables que se registraron comúnmente, a diferentes alturas y con alto índice de importancia, se encuentra el laurel. Su popularidad radica en el valor de la madera para uso local; puede ser combinada con cultivos anuales y perennes en SAF y, además, se usa como planta medicinal (Barrance et al., 2003). La presencia del laurel en los SAF con cacao es una alternativa como fuente de ingresos para el productor. Sánchez, Pérez-Flores, Obrador, Sol, y Ruiz-Rosado (2016) también identificaron esta y una gran cantidad de especies maderables que potencialmente pueden ser sustentables en los SAF con cacao.
Diversidad y similitud
Se asumió que existe baja diversidad de especies y familias en la región del Soconusco, tomando en cuenta que, por lo general, los valores del índice de Shannon oscilan entre 1.5 a 3.5 (Zak & Willig, 2004) y que los valores superiores a 3 significan alta diversidad. Los valores más bajos se calcularon a niveles entre 51 y 100 m, pudiendo influir la parcela del municipio Tapachula, cuya diversidad fue nula, ya que tuvo una sola especie (zapote) con ocho árboles. No obstante, según el índice calculado de Simpson y considerando que el rango de valores va de 0 (baja diversidad) a 1 (alta diversidad), los SAF con cacao presentaron diversidad media con tendencia a una alta diversidad, ya que los valores son superiores a 0.50; los índices más altos se encontraron en alturas mayores de 100 m, lo cual se relaciona con la mayor riqueza de especies. En este contexto, se puede deducir que la diversidad está influenciada por un mayor rango de altura (>100 m), ya que la superficie muestreada fue la misma que en el nivel altitudinal de 51 a 100 m, donde hubo menor diversidad y riqueza de especies. Estos resultados pueden deberse a que en las alturas mayores de 100 m aún quedan muchos restos de la selva original, cuya diversidad de especies se ha mantenido con el tiempo a pesar de la aplicación de técnicas de manejo de la sombra para el desarrollo del cultivo. También influyó la existencia de plantaciones en municipios que presentan mayor equidad (relación entre riqueza y abundancia relativa de cada especie) y diversidad, como Tuxtla Chico. En este municipio, los recorridos exploratorios constataron que los productores han mantenido una diversidad adecuada de especies como sombra, con el objetivo de obtener ingresos adicionales, y que forman parte del manejo tradicional; estos resultados son similares a los obtenidos por Roa-Romero et al. (2009). El índice de Simpson es una medida de probabilidad de que dos árboles tomados aleatoriamente pertenezcan a la misma especie, y está fuertemente relacionado con las especies más abundantes de la muestra, las que son menos sensibles a la riqueza de especies. Por tanto, cuanto más se acerque el índice a la unidad, existe mayor probabilidad de dominancia de una especie (Polo, 2008).
En la región del Soconusco, la baja diversidad en los SAF de cacao en alturas entre 51 y 100 m se debe a una menor equidad entre la abundancia y la riqueza, donde se calculó una relación individuo-especie de 5.7; no así en las alturas mayores de 100 m, donde se registró una composición arbórea equivalente a 1.52 árboles por especie, seguido de la composición registrada en la menor altura estudiada (0 a 50 m) que fue de 2.51. Por tanto, existe más equidad en los SAF de cacao que están ubicados en alturas mayores de 100 m, debido a que la relación entre riqueza y abundancia relativa de cada especie es mayor.
Con respecto a la importancia de la diversidad de especies como sombra, los resultados indicaron alta variabilidad de la iluminación en las plantaciones de cacao en todos los niveles altitudinales, dado fundamentalmente por el número y tipo de especies por parcelas, la dimensión del dosel de cada especie y el manejo deficiente de la diversidad de los árboles. Según Silva et al. (2013), si esta diversidad es manejada adecuadamente se pueden lograr importantes beneficios para el cultivo.
Por otra parte, desde el punto de vista cualitativo, la similitud de la diversidad en la composición arbórea entre la menor y mayor altura estudiada, se debe a la presencia de gran número de especies compartidas y con mayor diversidad. No obstante, desde el punto de vista cuantitativo, los resultados de mayor similitud entre las alturas más altas pueden estar relacionados con una menor diferencia entre la cantidad de árboles registrados, además de mayor similitud de las condiciones edafoclimáticas con precipitaciones entre 1 600 y 4 000 mm·año-1, temperatura media mensual entre 22 y 24 °C y tipos se suelos Andosol y Acrisol.
Los resultados de diversidad y similitud demostraron que los agroecosistemas donde se desarrollan los SAF de cacao presentan indicios de niveles bajos de perturbación, a pesar de la intervención antrópica en estos medios naturales; la abundancia, riqueza y diversidad de especies en los tres niveles de altura han influido directamente en los beneficios que aportan a los productores, independientemente de los ingresos originados por la explotación del cultivo principal (cacao). En tal sentido, los productores de la región del Soconusco cuentan con una diversidad de especies para usos madereros, energéticos, medicinales y de alimentos que hacen posible la existencia de plantaciones de cacao con potencialidades económicas, ecológicas y sociales. Estas medidas de similitud ya han sido reportadas en otros ambientes agroforestales de cacao por Hervé y Vidal (2008) y Zapfack et al. (2002) en Camerún, quienes indican que el tipo de gestión es un factor que determina un menor porcentaje de similitud, situación inherente a cada región cacaotera.
De acuerdo con los resultados, el establecimiento de especies frutales y maderables, según los intereses del productor por los beneficios económicos que aportan, influyeron en la composición arbórea, diversidad y similitud de los agroecosistemas cacaoteros por niveles altitudinales. Lo anterior estuvo relacionado con la cultura tradicional y la selección intencionada de los productores en busca de mayores servicios de conjunto con el cultivo principal. Por otro lado, también influyó la composición del bosque natural, ya que muchas especies originadas del bosque primario se han desarrollado con determinada dominancia y aceptación por parte de los productores. Asimismo, como consecuencia de la variación del clima y los suelos con respecto a la altura, la diversidad de la vegetación se ha modificado. En orden ascendente se observó selva mediana, selva alta, y bosques de encinos, niebla y pinos, que son vegetaciones naturales de la Sierra Madre.
Almacenamiento del carbono
Se determinó una relación directa entre el almacenamiento del carbono de la biomasa aérea y la abundancia de especies. La mayor cantidad de carbono almacenado y estimado en la biomasa de las especies se encontró a más baja altura (0 a 50 m), debido al mayor registro de árboles por superficie total, entre ellos especies muy abundantes como el roble, zapote y cedro. En este mismo nivel altitudinal (0 a 50 m) se registraron especies dominantes con DAP total de 473 m2·ha-1, mientras que en la altitud 51 a 100 m se registró la menor abundancia y especies con menor DAP, lo que pudo haber influido en los resultados. Cerda, Espin, y Cifuentes (2013) determinaron que la capacidad de almacenamiento de carbono se correlaciona con el área basal de los árboles maderables y frutales. Lo anterior significa que el grosor y tamaño de los árboles es tan importante como la abundancia de árboles y riqueza de especies.
En la presente investigación, el almacenamiento de carbono fue mayor que el determinado por Segura y Andrade (2008) en un SAF con cacao en Talamanca, Costa Rica, donde registraron 122 ± 24 Mg C·ha-1; la diferencia puede deberse a la composición arbórea de cada territorio. En este contexto, Somarriba et al. (2008) afirmaron que un nivel medio de carbono total entre 80 y 120 Mg·ha-1 sería el más adecuado para no perjudicar la producción de cacao; cantidades por encima de este valor se consideran niveles altos. Ortiz, Riascos, y Somarriba (2008) determinaron que los sistemas compuestos por cacao-laurel lograron fijar entre 43 y 62 Mg C·ha-1 en 25 años y que en un año fijaron entre 1.7 y 2.5 Mg C·ha-1, lo cual corresponde a niveles bajos de almacenamiento. Estos mismos autores refieren investigaciones desarrolladas por el CATIE (Centro Agronómico Tropical de Investigación y Enseñanza) en Talamanca en el 2005, donde reportan tasas de acumulación en plantaciones de cacao de 25 años entre 2.1 y 2.8 Mg C·ha-1·año-1, cuyas densidades oscilaron entre 100 y 150 árboles·ha-1. En la presente investigación, los volúmenes altos de carbono acumulado en la biomasa de los árboles corresponden con densidades entre 127 a 163 árboles·ha-1.
La capacidad de los ecosistemas agroforestales para almacenar carbono en forma de biomasa aérea varía en función de la edad de los árboles, y diámetro y altura de los componentes de sombra. Andrade e Ibrahim (2003) expresaron que los SAF pueden fijar y almacenar entre 12 y 228 Mg·ha-1, incluyendo el carbono orgánico del suelo, lo cual representa entre 20 y 46 % del carbono secuestrado en los bosques primarios.
A partir del conocimiento de la composición arbórea y diversidad de especies por niveles altitudinales en los SAF con cacao del Soconusco, los productores y tomadores de decisiones podrán evaluar las alternativas de manejo de sombra en las plantaciones, para diseñar sistemas eficientes en cada condición edafoclimática y fisiográfica. En estas alternativas se podrán considerar especies de importancia para los productores según sus tradiciones y necesidades socioeconómicas, con base en los usos del potencial forestal diverso en la región. Asimismo, se podrán adoptar estrategias con enfoque ecológico y agronómico, con el objetivo de preservar la diversidad de especies existentes y aplicar una tecnología de manejo integral que beneficie tanto al cultivo del cacao como a las especies forestales, para mejorar la sostenibilidad de estos agroecosistemas.
Conclusiones
Los sistemas agroforestales de cacao en el Soconusco, Chiapas, presentaron composición y diversidad arbórea de media a alta, cuya distribución por niveles altitudinales responde a los intereses de los productores y a la composición del bosque natural en cada condición edafoclimática. La cantidad de carbono almacenado en la biomasa aérea en los agroecosistemas de cacao fue alta, debido fundamentalmente a la abundancia, riqueza y dominancia de las especies seleccionadas por el productor.
References
Almeida, A., & Valle, R. (2007). Ecophysiology of the cocoa tree. Brazilian Journal of Plant Physiology, 19(4), 425-448. doi: 10.1590/S1677-04202007000400011 [ Links ]
Andrade, H., & Ibrahim, M. (2003). ¿Cómo monitorear carbono en sistemas silvopastoriles? Agroforestería en las Américas, 10, 109-116. Retrieved from http://www.fao.org/tempref/docrep/nonfao/lead/x6378s/x6378s00.pdf [ Links ]
Barrance, A., Beer, J., Boshier, O. H., Chamberlain, J., Cordero, J., Detlefsen, G., ...Stewart, J. (2003). Árboles de Centroamérica. Un manual para extensionistas. Costa Rica: OFI/CATIE. Retrieved from https://www.arbolesdecentroamerica.info [ Links ]
Batanero, C. & Díaz, M. C. (2008). Análisis de datos con Statgraphics. Granada: Universidad de Granada. Retrieved from https://www.ugr.es/~batanero/pages/ARTICULOS/anadatos.pdf [ Links ]
Casanova, L. F., Caamal, M. J. A., Petit, A. J. C., Solorio, S. F. J., & Castillo, C. J. B. (2010). Acumulación de carbono en la biomasa de Leucaena leucocephala y Guazuma ulmifolia asociadas y en monocultivo. Revista Forestal Venezolana, 54(1), 45-50. Retrieved from http://www.saber.ula.ve/bitstream/handle/123456789/31644/articulo4.pdf;jsessionid=6F015D28B656479526937EC3CF352132?sequence=1 [ Links ]
Cerda, R., Espin, T., & Cifuentes, M. (2013). Carbono en sistemas agroforestales de cacao de la Reserva Indígena Bribri de Talamanca, Costa Rica. Agroforestería de las Américas, 49, 33-41 Retrieved from http://infocafes.com/portal/wp-content/uploads/2017/01/345.pdf [ Links ]
Comisión Económica para América Latina y el Caribe (CEPAL). (2009). Cambio climático y desarrollo en América Latina y el Caribe: una reseña. Retrieved from https://www.cepal.org/es/publicaciones/3640-cambio-climatico-desarrollo-america-latina-caribe-resena [ Links ]
Comisión Nacional del Agua (CONAGUA). (2015). Actualización de la disponibilidad media anual de agua en el acuífero Soconusco (0710) estado de Chiapas. Retrieved from http://www.gob.mx/cms/uploads/attachment/file/102911/DR_0710.pdf [ Links ]
Comisión Nacional para el Conocimiento y Uso de la Biodiversidad (CONABIO). (2015). Región del Soconusco. Retrieved November 22, 2018 from http://www.conabio.gob.mx/conocimiento/regionalizacion/doctos/rhp_032.html [ Links ]
Curtis, J. T., & McIntosh, R. P. (1951). An upland forest continuum in the prairie-forest border region of Wisconsin. Ecology, 32(3), 476-496. doi: 10.2307/1931725 [ Links ]
Eguren, L. (2004). El mercado de carbono en América Latina y el Caribe: balance y perspectivas. Santiago, Chile: CEPAL. Retrieved from https://repositorio.cepal.org/bitstream/handle/11362/5620/1/S043136_es.pdf [ Links ]
García, E. (1973). Modificaciones del sistema de clasificación climática de Köppen para adaptarlo a las condiciones de la república mexicana (2.a ed.). México: Instituto de Geografía, Universidad Nacional Autónoma de México (UNAM). Retrieved from http://www.igeograf.unam.mx/sigg/utilidades/docs/pdfs/publicaciones/geo_siglo21/serie_lib/modific_al_sis.pdf [ Links ]
Gayoso, J., & Guerra, J. (2005). Contenido de carbono en la biomasa aérea de bosques nativos en Chile. Bosque, 26(2), 33-38. doi: 10.4067/S0717-92002005000200005 [ Links ]
Hervé, B. D., & Vidal, S. (2008). Plant biodiversity and vegetation structure in traditional cocoa forest gardens in southern Cameroon under different management. Biodiversity and Conservation, 17(8), 1821-1835. doi: 10.1007/s10531-007-9276-1 [ Links ]
Intergovernmental Panel on Climate Change (IPCC). (2007). Synthesis report: Climate change 2007. Switzerland: Author. [ Links ]
Krebs, J. (1999). Ecological methodology. USA: Edic. Addison Wesley Longman. [ Links ]
Magurran, A. E. (1989). Diversidad ecológica y su medición. Barcelona, España: Ed. Vedra. Retrieved from https://dialnet.unirioja.es/servlet/libro?codigo=150880 [ Links ]
Margalef, R. (1995). Ecología. Barcelona, España: Ed. Omega. Retrieved from http://www.ediciones-omega.es/ecologia/47-ecologia-978-84-282-0405-7.html [ Links ]
Ortiz, A., Riascos, L., & Somarriba, E. (2008). Almacenamiento y tasas de fijación de biomasa y carbono en sistemas agroforestales de cacao (Theobroma cacao L.) y laurel (Cordia alliodora). Agroforestería de las Américas, 46, 26-29. Retrieved from http://repositorio.bibliotecaorton.catie.ac.cr/bitstream/handle/11554/5764/Almacenamiento_y_tasas_de_fijacion_de_biomasa.pdf?sequence=1&isAllowed=y [ Links ]
Pennington, T. D., & Sarukhán, K. (2005). Árboles tropicales de México: manual para la identificación de las principales especies. México: UNAM. [ Links ]
Polo, C. S. (2008). Índices más comunes en biología. Segunda parte, similaridad y riqueza beta y gamma. Revista Facultad de Ciencias Básicas, 4(1), 135-142. doi: 10.18359/rfcb.2239 [ Links ]
Ramírez, A., García, E., Obrador, J. J., Ruiz, O., & Camacho, W. (2013). Diversidad florística en plantaciones agroforestales de cacao en Cárdenas, Tabasco, México. Universidad y Ciencia, 29(3), 215-230. Retrieved from http://www.scielo.org.mx/scielo.php?script=sci_arttext&pid=S0186-29792013000300001 [ Links ]
Roa-Romero, H. A., Salgado-Mora, M. G., & Álvarez-Herrera, J. (2009). Análisis de la estructura arbórea del sistema agroforestal de cacao (Theobroma cacao L.) en el Soconusco, Chiapas - México. Acta Biológica Colombiana, 14(3), 97-110. doi: 10.15446/abc [ Links ]
Salgado-Mora, M. G., Ibarra, G., Macías-Sámano, J. E., & López-Báez, O. (2007). Diversidad arbórea en cacaotales del Soconusco, Chiapas, México. Interciencia, 3(11), 763-768. Retrieved from http://www.redalyc.org/pdf/339/33901107.pdf [ Links ]
Sánchez, F., Pérez-Flores, J., Obrador, J. J., Sol, A., & Ruiz-Rosado, O. (2016). Árboles maderables en el sistema agroforestal de cacao en Cárdenas, Tabasco, México. Revista Mexicana de Ciencias Agrícolas, 14, 2711-2723. doi: 10.29312/remexca.v0i14.440 [ Links ]
Schoeneberger, M. (2009). Agroforestry: working trees for sequestering carbon on agricultural lands. Agroforestry Systems, 75, 27-37. doi: 10.1007/s10457-008-9123-8 [ Links ]
Shibu, J. (2009). Agroforestry for ecosystem services and environmental benefits: an overview. Agroforestry Systems, 76, 1-10. doi: 10.1007/s10457-009-9229-7 [ Links ]
Segura, M., & Andrade, H. (2008). ¿Cómo estimar rápidamente el carbono almacenado en la biomasa aérea de los sistemas agroforestales indígenas de Talamanca, Costa Rica? Revista Agroforestería de las Américas, 46, 97-103. Retrieved from http://www.worldcocoafoundation.org/wp-content/uploads/files_mf/segura2008b.pdf [ Links ]
Servicio de Información Agroalimentaria y Pesquera (SIAP). (2018). Intención de cosecha por estados de México en ciclos perennes. Retrieved from http://infosiap.siap.gob.mx/opt/agricultura/intension/Intencion_cosechaPerenne_estado2018.pdf [ Links ]
Silva, C., Orozco, L., Rayment, M., & Somarriba, E. (2013). Conocimiento local sobre los atributos deseables de los árboles y el manejo del dosel de sombra en los cacaotales de Waslala, Nicaragua. Revista Agroforestería de las Américas, 49, 51-60. Retrieved from http://repositorio.bibliotecaorton.catie.ac.cr/bitstream/handle/11554/7050/RAFA_49_Completa.pdf;sequence=3 [ Links ]
Somarriba, E., Andrade, H., Segura, M., & Villalobos, M. (2008) ¿Cómo fijar carbono atmosférico, certificarlo y venderlo para complementarlos ingresos de productores indígenas de Costa Rica? Revista Agroforestería en las Américas, 46, 81-88. Retrieved from http://orton.catie.ac.cr/repdoc/A3126e/A3126e.pdf [ Links ]
Somarriba, E., & Quesada, F. (2005). El diseño y manejo de la sombra en el cacaotal. Costa Rica: CATIE. Retrieved from http://www.aprocacaho.com/wp-content/uploads/2013/07/SOMBRA-DEL-CACAO-CATIE.pdf [ Links ]
Stiling, P. D. (1999). Ecology: Theories and applications. USA: Ed. Prentice Hall. [ Links ]
Useros, J. L. (2013). El cambio climático: Sus causas y efectos medioambientales. Anales de la Real Academia de Medicina y Cirugía de Valladolid, 50, 71-98. Retrieved from https://dialnet.unirioja.es/descarga/articulo/4817473.pdf [ Links ]
Zak, J. C., & Willig, M. R. (2004). Fungal biodiversity patterns. In G. M. Mueller, G. Bills, & M. S. Foster (Eds.), Biodiversity of fungi: Inventory and monitoring methods (pp. 59-75). Amsterdam: Elsevier, Academic Press. [ Links ]
Zapfack, L., Engwald, S. S., Achoundong, G., & Madong, B. (2002). The impact of land conversion on plant biodiversity in the forest zone of Cameroon. Biodiversity and Conservation, 11(11), 2047-2061. doi: 10.1023/A:1020861925294 [ Links ]
Recibido: 15 de Diciembre de 2018; Aprobado: 30 de Mayo de 2019










texto em 


