Serviços Personalizados
Journal
Artigo
Indicadores
-
Citado por SciELO -
Acessos
Links relacionados
-
Similares em
SciELO
Compartilhar
Revista Chapingo serie ciencias forestales y del ambiente
versão On-line ISSN 2007-4018versão impressa ISSN 2007-3828
Rev. Chapingo ser. cienc. for. ambient vol.25 no.2 Chapingo Mai./Ago. 2019 Epub 19-Fev-2021
https://doi.org/10.5154/r.rchscfa.2018.11.086
Artículo científico
Análisis espacial de las variables fenotípicas en un huerto clonal de Pinus arizonica Engelm. en el norte de México
1Universidad Juárez del Estado de Durango, Facultad de Ciencias Forestales. Av. Papaloapan y bulevar Durango s/n. C. P. 34120. Durango, Durango., México.
2Colegio de Postgraduados, Campus Montecillo, Postgrado en Ciencias Forestales. km 36.5 carretera México-Texcoco. C. P. 56230. Montecillo, Texcoco, Estado de México, México.
Introducción:
Los huertos semilleros proporcionan germoplasma genéticamente adecuado para su uso en restauraciones forestales; conocer la distribución espacial de los atributos es crucial para su gestión.
Objetivo:
Modelar la producción de conos y las variables dasométricas en un huerto clonal de Pinus arizonica Engelm., desde una perspectiva geoespacial, para conocer su comportamiento y distribución.
Materiales y métodos:
El patrón espacial de las variables dasométricas y de la producción de conos de 126 rametos se determinó con un análisis geoespacial, utilizando el estadístico G de Getis-Ord. Mediante un análisis de correlación de Pearson (P ≤ 0.05) se determinaron las variables mejor asociadas con la producción de conos y se examinaron con una regresión stepwise. La mejor combinación, en términos de la producción de conos, se modeló a través de una regresión geográficamente ponderada.
Resultados y discusión:
Se encontraron valores de agrupación estadísticamente significativos (P < 0.01) en el huerto. El análisis de correlación mostró que todas las variables dasométricas, incluido el índice de humedad, están relacionadas estadísticamente con la producción de conos. La regresión stepwise identificó un modelo que incluía el diámetro de copa como la mejor variable para explicar la producción de conos. La regresión geográficamente ponderada mostró que el diámetro de la copa influyó moderadamente en la producción de conos.
Conclusión:
Las variables dasométricas y la producción de conos mostraron tendencia a la agrupación. El uso de una perspectiva geoespacial permitió comprender mejor la dinámica espacial de las variables dasométricas.
Palabras clave: producción de conos; variables dasométricas; distribución espacial; estadístico G; regresión geográficamente ponderada
Introduction:
Seed orchards provide germplasm genetically suitable for use in forest restoration. Knowledge of the spatial distribution of attributes is crucial for their management.
Objective:
To model cone production and tree size variables in a clonal orchard of Pinus arizonica Engelm. from a geospatial perspective in order to determine their behavior and distribution.
Materials and methods:
The spatial pattern of tree size variables and cone production of 126 ramets were determined through a geospatial analysis, using the Getis-Ord G statistic. A Pearson correlation analysis (P ≤ 0.05) determined the variables best associated with cone production and these were examined with stepwise regression. In terms of cone production, the best combination was modeled through a geographically weighted regression.
Results and discussion:
Statistically significant (P < 0.01) clustering values were found in the orchard. Correlation analysis showed that all tree size variables, including the moisture index, were statistically related to cone production. Stepwise regression identified a model that presented crown diameter as the variable that best explained cone production. Geographically weighted regression showed that crown diameter moderately influenced cone production.
Conclusion:
Tree size variables and cone production presented a tendency towards clustering. The use of a geospatial perspective allowed a better understanding of the spatial dynamics of tree size variables.
Keywords: cone production; tree size variables; spatial distribution; G statistic; geographically weighted regression
Introducción
Los ecosistemas forestales proporcionan bienes y servicios a la humanidad (Rendón, Martínez, & Pérez, 2014); sin embargo, los bosques están expuestos a trastornos y procesos antropogénicos que causan la degradación genética de muchas especies forestales (Guevara-Hernández et al., 2011). Por tanto, es necesario desarrollar estrategias que permitan la conservación de grupos de genes de especies forestales, la cual es especialmente importante para mantener un inventario de plantas de calidad para su uso en programas de restauración de bosques (Bustamante-García et al., 2012).
Los huertos semilleros son un medio útil y económico para producir germoplasma genéticamente mejorado en poco tiempo (Gutiérrez-Vázquez, Cornejo-Oviedo, Zermeño-González, Valencia-Manzo, & Mendoza-Villarreal, 2010). En las últimas décadas, las semillas producidas en estos huertos se han utilizado tanto para plantaciones forestales comerciales como para las reforestaciones (Muñoz-Gutiérrez et al., 2017). En países como Chile, Nueva Zelanda y Canadá, los huertos semilleros se utilizan con frecuencia para la producción de germoplasma para cubrir las necesidades estratégicas de plantaciones forestales (Mead, 2013). México cuenta con pocos huertos semilleros; de acuerdo con la Comisión Nacional Forestal (CONAFOR, 2014), solo tiene 11 de ellos ubicados en los estados de Veracruz, Chiapas, Durango, Oaxaca y Puebla.
A pesar de su importancia en la producción de semillas y el mejoramiento genético de las especies, la investigación sobre los huertos semilleros ha sido limitada. En 2005, se establecieron dos huertos en el estado de Chihuahua, México. El primero en un ejido (tierra comunalmente cultivada) llamado El Largo, cuya producción de semilla no ha sido reportada. El segundo fue un huerto clonal de Pinus arizonica Engelm. ubicado en el sur del estado, caracterizado por una producción prometedora de conos (Pérez, Pompa-García, Solís, & Chacón, 2014); no obstante, se carece de información dasométrica. El conocimiento de dichos datos puede ayudar a mejorar el potencial productivo del huerto.
Dado que los datos geográficos varían en tiempo y espacio, es necesario utilizar herramientas distintas de las estadísticas clásicas que suponen que los fenómenos ecológicos ocurren en circunstancias idénticas y que las observaciones son independientes. Como resultado, los análisis geoespaciales, que han seguido sofisticándose (Carroll et al., 2015), desempeñan un papel importante en la comprensión de las relaciones geográficas. Por ejemplo, el análisis espacial permite a los investigadores determinar si las variables ecológicas son aleatorias o tienden a agruparse (Getis & Ord, 1992), y ayuda a comprender las razones de esas distribuciones espaciales (Fotheringham, Crespo, & Yao, 2015). El uso de herramientas estadísticas como la regresión geográficamente ponderada (GWR) es una opción potencial que examina espacialmente fenómenos no estacionarios (Fotheringham, Brunsdon, & Charlton, 2004) y facilita la medición y visualización de patrones de variación en las relaciones entre variables dependientes e independientes (Brunsdon, Fotheringham, & Charlton, 1998). En este sentido, los análisis geoespaciales podrían proporcionar una mayor comprensión de la condición dasométrica de los huertos semilleros para un mejor monitoreo y manejo de estos.
En consecuencia, el objetivo de este estudio fue modelar, desde una perspectiva geoespacial, la producción de conos y las variables dasométricas del huerto clonal de Pinus arizonica Engelm. en el norte de México. Se hipotetiza que la distribución de la producción de conos y las variables dasométricas siguen un patrón espacial no aleatorio, y que la producción de conos está influenciada por variables tanto dasométricas como físicas.
Materiales y métodos
Área de estudio
El huerto clonal de P. arizonica fue establecido en 2005 por la corporación Silvicultores Unidos de Guachochi, S.C. (SUG) en el ejido Papajichi, al norte de la ciudad de Guachochi (27° 8' 57' 'N y 107° 6' 41 '' W; altitud de 2 400 m), Chihuahua, México (Figura 1). El huerto tiene una topografía casi plana con una pendiente de 5 % o menos. El clima es semihúmedo, semifrío con lluvia en verano, y semiseco, semicálido en verano. La precipitación promedio anual es de 540.4 mm y la temperatura promedio anual es 10.8 °C. Las temperaturas medias más bajas se producen en enero y diciembre (-6 a -4 °C) y las temperaturas medias más altas, en julio y agosto (16.5 a 17.5 °C). Los suelos dominantes son Regosoles y Leptosoles con texturas medianas en pendientes rotas, descritas en la base de referencia mundial de 2014 (Pérez et al., 2014). El uso del suelo que rodea al huerto es predominantemente forestal y ganadero (González-Cásares, Pompa-García, & Camarero, 2017).

Figura 1 Localización del área de estudio: huerto clonal de Pinus arizonica con 126 rametos en el ejido Papajichi, municipio de Guachochi, Chihuahua, México.
El huerto clonal tiene superficie de 1 ha. Para evitar la entrada de ganado, se colocó una cerca perimetral de 2 m de altura alrededor del huerto. Un tanque de agua de gran capacidad fue instalado en un área adyacente al huerto para regar los árboles durante la estación seca, aunque actualmente no es funcional. El huerto tiene 126 rametos supervivientes y cada uno tiene un código de identificación alfanumérico que sigue un orden ascendente.
Los injertos de P. arizonica se realizaron en 2005 mediante la técnica de fisura terminal (Muñoz-Flores, Prieto-Ruiz, Flores-García, Pineda-Ojeda, & Morales-Gonzáles, 2013) en el vivero forestal de Silvicultores Unidos de Guachochi. Los injertos procedieron del vértice de las ramas ubicadas en la parte superior de los árboles. El diseño del huerto es regular con una disposición de marco real o cuadrado, donde cada árbol ocupa el vértice del ángulo cuadrado, de modo que la distancia entre los árboles y entre las filas es siempre la misma; el espaciado es de 6 m entre rametos. Hay 16 líneas de clones en el huerto con 17 posiciones por línea al azar.
Datos
Los datos se obtuvieron en octubre de 2017. Todos los árboles se etiquetaron con papel de aluminio para facilitar la identificación posterior. En cada árbol se midió el diámetro en la base, diámetro a la altura del pecho a 1.30 m, altura de copa, altura total, y diámetros mayor, menor y medio de copa, incluido el azimut. Asimismo, se tomaron fotografías de cada árbol y se accedió a los datos de producción de cono del 2016. Cada una de estas variables se ingresaron en una base de datos geográficos. Además, se tomaron datos de profundidad de suelo en cuatro zonas del huerto.
Análisis espacial
Se hizo un análisis geoespacial utilizando el estadístico G descrito por Getis y Ord (1992). Esto permitió determinar el patrón espacial de las variables dasométricas y de la producción de conos. Para encontrar G se usó el software ArcGis 10.2 (Environmental Systems Research Institute [ESRI] 2011), donde G se define como:
donde:
G |
Estadístico de Getis-Ord |
x ij |
medición de atributos para las unidades i y j, respectivamente |
W ij (d) |
uno o cero en una matriz espacial simétrica utilizada para detectar la proximidad entre i y j |
d |
distancia |
Para determinar si el estadístico G era significativamente diferente de una distribución aleatoria, se resolvió una prueba de significancia estadística para Z en la agrupación G:
donde:
Z |
valor del estadístico de la agrupación |
G |
valor aleatorio de la prueba estadística G |
G E |
valor esperado de la prueba estadística G |
DesvStd |
desviación estándar de G(d) |
La prueba Z supone que no hay autocorrelación global, pero cuando existe autocorrelación tiene un impacto significativo en el valor esperado de G. Este impacto significativo verifica la validez y la precisión de la agrupación. El análisis permite determinar si la hipótesis de aleatoriedad espacial puede ser rechazada o no. Una puntuación Z alta asociada con un valor bajo de P indica una distribución espacial no aleatoria estadísticamente significativa (Gi_Bin). Se examinaron tres niveles de confiabilidad: 90 %, 95 % y 99 %.
Asociación entre la producción de conos y las variables dasométricas
Se hizo un análisis de correlación de Pearson (P ≤ 0.05) con el fin de determinar la asociación entre la producción de conos y las variables dasométricas. Esta correlación también consideró los valores del Índice de Agua de Diferencia Normalizada (NDWI, por sus siglas en inglés), comúnmente utilizado para monitorear la sequía (Gao, 1996). Este es un índice derivado del satélite que utiliza los canales de infrarrojo cercano (NIR) e infrarrojo de onda corta (SWIR). La reflectancia SWIR refleja los cambios en el contenido de agua de la vegetación y la estructura mesófila esponjosa en las marquesinas de vegetación, mientras que la reflectancia NIR se ve afectada por la estructura interna de la hoja y por su contenido de materia seca, pero no por el contenido de agua. El NDWI se calculó a partir de una imagen Landsat 8 (Ruta: 33, Fila: 41) utilizando la siguiente fórmula:
donde NIR corresponde a Landsat 8 banda 5, y SWIR, a Landsat 8 banda 6. Para eliminar los efectos que la atmósfera causa en la reflectancia de la superficie terrestre fue necesaria una corrección atmosférica de las bandas que componen la imagen, para ello se aplicó el método Apparent Reflectance at the Top of Atmosphere (TOA). Por medio de este método es posible convertir los niveles digitales de la imagen original en porcentajes de reflectancia. Este enfoque utiliza un único modelo de la variación de la reflectancia TOA con la posición del sol y del satélite, para ajustarse a una configuración angular estándar. Dicho modelo supone implícitamente una atmósfera constante y aplica la corrección de los efectos atmosféricos y los efectos Bidirectional Reflectance Distribution Function (BRDF) en una función única de configuración angular (Flood, 2014). Para mejorar la resolución de los pixeles del NDWI, se hizo un remuestreo en ArcGis, cuyo resultado fue una imagen de NDWI con resolución de 5 x 5 m.
Las variables que se correlacionaron mejor con la producción de conos y de mayor importancia estadística se examinaron mediante un análisis exploratorio de la regresión tipo stepwise. Esta herramienta evalúa las posibles combinaciones de variables explicativas para determinar qué modelos pasan todos los diagnósticos de un modelo de regresión y permite seleccionar el mejor modelo que cumpla con todos los parámetros de bondad de ajuste. Una vez que se identificó la mejor combinación en términos de la producción de conos, se modeló a través de un análisis local de regresión geográficamente ponderada (GWR) (Brunsdon, Fotheringham, & Charlton, 1996). Este método evalúa la heterogeneidad de los datos y estima los parámetros de cada ubicación (puntos muestreados), para ajustar cada modelo a cada punto de datos muestreados, brindando resultados más detallados y una mejor comprensión del proceso (Duarte-Cunha, Almeida, Cunha, & Souza-Santos, 2016; Pimentel, Lopes, Mexia, & Mumford, 2016).
El modelo GWR se describe de la siguiente manera:
Yi(u) = β0i(u) + β1i(u)x1i + β2i(u)x2i + … + βmi(u)xmi
donde,
Yi |
variable dependiente |
β0i y β1i |
parámetros que describen la relación alrededor de las coordenadas (u) del i-ésimo punto en el espacio (sitio específico) |
xmi |
m- ésima variable en el i-ésimo punto |
En este caso, la variable dependiente fue producción de conos y la variable independiente fue el diámetro de copa. El modelo GWR se procesó utilizando el software ArcGis 10.2.2; este análisis permite el mapeo de las estadísticas de los resultados y, por lo tanto, puede identificar el espacio geográfico específico donde la variable independiente tiene mayor influencia sobre la variable dependiente.
Resultados
El Cuadro 1 indica que hubo variación en las variables dasométricas de los 126 rametos examinados. En el huerto hay 125 rametos vivos, lo que representa una tasa de supervivencia de 45.95 % desde 2005; un rameto con bajo vigor y signos de mortandad fue incluido en el análisis. Los conos se produjeron en 35 % de los rametos (44 individuos), variando de 1 a 587 conos por árbol.
Cuadro 1 Estadísticas descriptivas de 126 rametos del huerto clonal de Pinus arizonica en el ejido Papajichi, municipio de Guachochi, Chihuahua, México.
| Medida descriptiva | DB (cm) | DAP (cm) | AC (m) | AT (m) | DMC (m) | DmC (m) |
|---|---|---|---|---|---|---|
| Media | 19 | 11 | 3.87 | 4.35 | 3.42 | 3.09 |
| Moda | 24 | 11 | 3.50 | 5.00 | 3.60 | 2.60 |
| DE | 6 | 5 | 1.44 | 1.47 | 1.34 | 1.24 |
| Máximo | 36 | 24 | 7.40 | 8.00 | 6.50 | 6.10 |
| Mínimo | 6 | 2 | 0.50 | 1.10 | 0.70 | 0.60 |
DB: diámetro a la base, DAP: diámetro altura de pecho, AC: altura de copa, AT: altura total, DMC: diámetro mayor de copa, DmC: diámetro menor de copa, DE: desviación estándar de la media.
Tendencias espaciales de las variables dasométricas
Las variables dasométricas de los árboles siguieron una distribución no aleatoria, lo cual indica que los atributos se agrupan. De acuerdo con la Figura 2, aproximadamente 25 % de los árboles, ubicados en la sección sureste del huerto, mostraron agrupación estadísticamente significativa (P < 0.01).

Figura 2 Puntos calientes o hotspots de las variables dasométricas de Pinus arizonica: diámetro a la base (a), diámetro a la altura de pecho (b), altura de copa (c), altura total (d), diámetro mayor de copa (e) y diámetro menor de copa (f).
En la Figura 3 se observa que la producción de conos también mostró una distribución espacial no aleatoria estadísticamente significativa (P ≤ 0.01) con agrupación. Los árboles individuales con producción de conos agrupados (20.66 %) se distribuyeron en la sección sureste del huerto, coincidiendo solo parcialmente con la misma sección donde las variables dasométricas se agruparon.
Asociación entre la producción de conos y las variables dasométricas
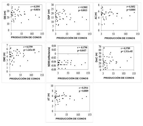
El análisis de correlación de Pearson indicó que todas las variables dasométricas y el NDWI mostraron correlación estadísticamente significativa (P ≤ 0.05) con la producción de conos (Figura 4). El NDWI reveló diferencias en la humedad en algunas zonas del huerto, específicamente en las zonas norte y sur con valores de 0.13 a -013. El NDWI no tiene dimensiones y varía de -1 a 1, dependiendo del contenido de agua de la hoja, pero también del tipo y cobertura de la vegetación. En la Figura 5, los valores altos de NDWI corresponden a un contenido alto de agua de vegetación, y los valores bajos indican el bajo contenido de agua de vegetación. En periodos de estrés hídrico, el NDWI disminuirá.

Figura 4 Matriz de la gráfica de dispersión entre la producción de conos y las variables dasométricas de Pinus arizonica (DB: diámetro a la base, DAP: diámetro altura de pecho, AC: altura de copa, DMC: diámetro mayor de copa, NDWI: Índice de agua de diferencia normalizada, DmC: diámetro menor de copa y AT: altura total).

Figura 5 Índice de agua de diferencia normalizada (NDWI) del huerto clonal de Pinus arizonica y profundidad de las muestras de suelo del ejido Papajichi, municipio de Guachochi, Chihuahua, México.
El análisis de regresión exploratorio identificó el modelo que cumplía mejor con la bondad del ajuste de regresión como el que solo integraba la variable diámetro de la copa. Esta variable se modeló a través de GWR y reveló una influencia moderada en la producción de conos. Las estadísticas del modelo fueron mapeadas en la Figura 6.
Discusión
En este estudio se reporta el patrón espacial de las variables dasométricas, la producción de conos y las variables causales de un huerto clonal de P. arizonica en Guachochi, Chihuahua. Algunos estudios han modelado variables dasométricas utilizando análisis espaciales (Bozali, Sivrikaya, & Akay, 2015; Corral-Rivas, Wehenkel, Castellanos-Bocaz, Vargas-Larreta, & Diéguez-Aranda, 2010; Elobaid, Shitan, Ibrahim, Ghani, & Daud, 2009; Rubio-Camacho et al., 2017;Silva-Flores, Pérez-Verdín, & Wehenkel, 2014), pero hasta ahora solo se han hecho en bosques manejados. Nuestro estudio es uno de los primeros en utilizar un enfoque geoespacial para comprender mejor un huerto clonal.
El modelado espacial de variables dasométricas se ha realizado principalmente mediante modelos globales de autocorrelación (Aguirre, Hui, von Gadow, & Jiménez, 2003; Elobaid et al., 2009); no obstante, el estadístico G también se puede usar para el análisis espacial local, ya que permite la identificación de áreas específicas donde las variables ecológicas se distribuyen de forma no aleatoria (Rodrigues & de la Riva, 2014). El estadístico G se ha utilizado en varios campos de investigación, incluidos los estudios de incendios forestales (Pompa-García & Hernández-González, 2012; Zúñiga-Vásquez, Cisneros-González, Pompa-García, Rodríguez-Trejo, & Pérez-Verdín, 2017), economometría (Moreno-Serrano & Vayá-Valcarce, 2002), evaluaciones de calidad de vida (Pérez-Valbuena, 2017) y análisis de turismo (Lado-Sestayo & Vivel-Búa, 2016).
En este trabajo se demostró la capacidad del estadístico G para ayudar a comprender la distribución espacial de las variables dasométricas. El uso del estadístico G permitió concluir que tanto las variables dasométricas como la producción de conos se distribuyeron de forma no aleatoria con una tendencia a la agrupación, por lo cual se debe poner énfasis especial a las tasas altas de agrupamiento o hotspots (categorías 1, 2 y 3 con porcentajes de confiabilidad de 90, 95 y 99 %, respectivamente). El patrón espacial de dichas variables está influenciado por una o más variables físicoambientales e incluso antropogénicas; por lo tanto, la identificación del patrón de agrupamiento es estratégica para la toma de decisiones y análisis consecuentes, con el fin de determinar las variables causativas de la tendencia espacial. La agrupación ilustra la variación en las características dasométricas de árboles individuales dentro del huerto.
El modelo local de regresión geográficamente ponderada permitió la identificación de las causas de agrupación, específicamente en la producción de cono. Cabe señalar que, bajo este modelo, solo se analizaron las variables dasométricas y un índice de humedad (NDWI), aunque, según Viveros-Viveros, Camarillo-Luna, Sáenz-Romero, y Aparicio-Rentería (2013), la agrupación de las variables dasométricas se atribuyen a factores genéticos o ambientales. En el presente estudio, el uso de datos de profundidad de suelo fue un indicador de las causas de agrupamiento en el huerto; coincidentemente, el agrupamiento se presentó en suelos con profundidad ≥0.90 m y se careció de agrupamiento en zonas donde el suelo tuvo profundidad ≤0.55 m. De manera similar, Rodríguez-Laguna, Razo-Zárate, Juárez-Muñoz, Capulín-Grande, y Soto-Gutiérrez (2012) argumentan que el tipo de suelo, en una zona particular, influye en la agrupación de árboles con las mejores características fenotípicas y la mayor producción de conos y semillas.
Desde el injerto de clones en 2005, ciertas áreas del huerto mostraron mortalidad alta o la ausencia de árboles individuales. Si bien las causas de dicho fenómeno están fuera del alcance de este estudio, la mortalidad podría atribuirse a la acumulación de agua y la presencia de roedores. Estas evidencias hacen imperativo el manejo.
Aunque los valores del NDWI no contribuyeron de forma significativa al modelo de regresión, la relación entre esta variable y la producción de conos fue negativa (Figura 4). Los valores altos de humedad se encontraron principalmente donde no hubo agrupación de variables dasométricas (incluida la mortalidad de los árboles) y coincidieron espacialmente con lugares que tienen menor profundidad del suelo y, por consiguiente, menor capacidad de drenaje. Por otra parte, los valores bajos de humedad se encontraron en la zona del agrupamiento de las variables dasométricas y la producción de conos, donde el suelo era más profundo y, por lo tanto, presentaba mejor drenaje; es decir, el exceso de humedad parece afectar la producción de conos y el desarrollo de los árboles. Esto podría explicarse por el estrés hídrico en los árboles a través de un exceso de humedad. Nakai y Kisanuki (2007) afirman que la mortalidad de algunos árboles y la inhibición del crecimiento están fuertemente influenciadas por el exceso de agua, específicamente por la falta de oxígeno. Esta falta de oxígeno está relacionada con las tasas bajas de elongación de la raíz, la reducción de masa seca y la disminución de la capacidad fotosintética.
En el modelo del presente estudio, el diámetro de copa explicó moderadamente la producción de cono. La producción también mostró agrupación, pero no exactamente en la misma área donde las variables dasométricas se agruparon. Esto sugiere que la producción de conos no necesariamente coincide con los árboles que tienen las mejores características fenotípicas. Por otra parte, los resultados de González-Ávalos et al. (2006) indican que el aumento en el número promedio de conos por árbol es causado probablemente por un aumento en el tamaño de la copa. Esto ocurre porque a medida que el tamaño de la copa aumenta, hay un número mayor de ramas y unidades de crecimiento (sitios de alargamiento de yemas) en el árbol. Dichos autores indican que, debido a que el diámetro de copa tiene mayor influencia en la producción de conos, la variable resulta estratégica y exige darle manejo a través de podas e injertos para mejorar la producción de conos en el huerto. En otro estudio, Ávila-Flores y Pompa-García (2008) sostienen que los clones con mejores características fenotípicas deben usarse para los programas de mejoramiento, debido a que la longevidad del portador del injerto ayuda a controlar el desarrollo de material vegetativo propagado.
Los resultados establecen una base para futuras exploraciones de otras variables causales que determinan los patrones espaciales encontrados. Esta investigación permitirá diseñar mejores estrategias de manejo y puede ser una referencia para estudiar otros huertos semilleros. Además, el estudio muestra claramente que el monitoreo de los huertos de semillas no solo debe centrarse en el material genético, sino también en la dinámica de las variables dasométricas y ambientales del huerto; por ejemplo, las características y condiciones del huerto clonal estudiado pueden compararse con aquél del ejido El Largo, donde hasta ahora no se ha documentado la producción de cono.
Conclusiones
Las variables dasométricas de Pinus arizonica, así como la producción de conos, mostraron una tendencia a agruparse, lo que permite rechazar la hipótesis de aleatoriedad. Se encontró que el diámetro de copa influye en la producción de conos, aunque en el futuro se deben modelar algunas variables genotípicas y ambientales. El uso de una perspectiva geoespacial permitió comprender la dinámica espacial de las variables dasométricas de un huerto clonal de P. arizonica. Los análisis geoespaciales presentan una alternativa importante para generar conocimiento subsecuente en el manejo de huertos clonales en México. Aunque dichas prescripciones especializadas escapan de los objetivos del presente trabajo, es impostergable buscar estrategias de manejo con expertos en el tema.
Agradecimientos
Los autores agradecen el apoyo brindado por Alberto Pérez Luna y Lizbeth Guadalupe Bustillos Hermosillo en la obtención de datos de campo. Al Consejo Nacional de Ciencia y Tecnología (CONACYT), y al Consejo de Ciencia y Tecnología del Estado de Durango (COCYTED) por apoyar los estudios del primer autor. Se agradece el apoyo y consejos a los colegas de https://dendrored.ujed.mx/ para realizar este estudio, y a los árbitros y editores cuya revisión mejoró el manuscrito.
REFERENCIAS
Aguirre, O., Hui, G., von Gadow, K., & Jiménez, J. (2003). An analysis of spatial forest structure using neighbourhood-based variables. Forest Ecology and Management, 183(1-3), 137-145. doi: 10.1016/S0378-1127(03)00102-6 [ Links ]
Ávila-Flores, D., & Pompa-García, M. (2008). Caracterización de la reproducción clonal del género Pinus en Silvicultores Unidos de Guachochi, Chihuahua. Universale Forestum, 7(2), 12-15. Retrieved from https://www.ujed.mx/doc/publicaciones/universale-forestum/universale-forestum-7-2.pdf [ Links ]
Bozali, N., Sivrikaya, F., & Akay, A. E. (2015). Use of spatial pattern analysis to assess forest cover changes in the Mediterranean region of Turkey. Journal of Forest Research, 20(4), 365-374. doi: 10.1007/s10310-015-0493-2 [ Links ]
Bustamante-García, V., Prieto-Ruíz, J. Á., Merlín-Bermudes, E., Álvarez-Zagoya, R., Carrillo-Parra, A., & Hernández-Díaz, J. C. (2012). Potencial y eficiencia de producción de semilla de Pinus engelmannii Carr., en tres rodales semilleros del estado de Durango, México. Madera y Bosques, 18(3), 7-21. doi: 10.21829/myb.2012.183355 [ Links ]
Brunsdon, C., Fotheringham, S., & Charlton, M. (1998). Geographically weighted regression. Journal of the Royal Statistical Society: Series D (The Statistician), 47(3), 431-443. doi: 10.1111/1467-9884.00145 [ Links ]
Brunsdon, C., Fotheringham, A. S., & Charlton, M. E. (1996). Geographically weighted regression: a method for exploring spatial nonstationarity. Geographical Analysis, 28(4), 281-298. doi: 10.1111/j.1538-4632.1996.tb00936.x [ Links ]
Carroll, M. W., Matthews, D. A., Hiscox, J. A., Elmore, M. J., Pollakis, G., Rambaut, A., & Abdellati, S. (2015). Temporal and spatial analysis of the 2014-2015 Ebola virus outbreak in West Africa. Nature, 524(7563), 97-101. doi: 10.1038/nature14594 [ Links ]
Comisión Nacional Forestal (CONAFOR). (2014). Huertos semilleros. Retrieved November 11, 2018, from http://www.conafor.gob.mx/innovacion_forestal/?p=1005 [ Links ]
Corral-Rivas, J. J., Wehenkel, C., Castellanos-Bocaz, H. A., Vargas-Larreta, B., & Diéguez-Aranda, U. (2010). A permutation test of spatial randomness: Application to nearest neighbour indices in forest stands. Journal of Forest Research, 15(4), 218-225. doi: 10.1007/s10310-010-0181-1 [ Links ]
Duarte-Cunha, M., Almeida, A. S. D., Cunha, G. M. D., & Souza-Santos, R. (2016). Geographic weighted regression: applicability to epidemiological studies of leprosy. Revista da Sociedade Brasileira de Medicina Tropical, 49(1), 74-82. doi: 10.1590/0037-8682-0307-2015 [ Links ]
Elobaid, R. M., Shitan, M., Ibrahim, N. A., Ghani, A. N., & Daud, I. (2009). Evolution of spatial correlation of mean diameter: A case study of trees in natural dipterocarp forest. Journal of Mathematics and Statistics, 5(4), 267-269. doi: 10.3844/jmssp.2009.267.269 [ Links ]
Environmental Systems Research Institute (ESRI). (2011). ArcGIS Desktop: Release 10.2. Redlands, CA, USA: Author. [ Links ]
Fotheringham, A. S., Brunsdon, C., & Charlton, M. E. (2004). Geographically weighted regression: The analysis of spatially varying relationship. American Journal of Agricultural Economics, 86(2), 554-556. doi: 10.1111/j.0002-9092.2004.600_2.x [ Links ]
Fotheringham, A. S., Crespo, R., & Yao, J. (2015). Geographical and temporal weighted regression (GTWR). Geographical Analysis, 47(4), 431-452. doi: 10.1111/gean.12071 [ Links ]
Flood, N. (2014). Continuity of reflectance data between Landsat-7 ETM+ and Landsat-8 OLI, for both top-of-atmosphere and surface reflectance: A study in the Australian ladscape. Remote Sensing, 6(9), 7952-7970. doi: 10.3390/rs6097952 [ Links ]
Gao, B. C. (1996). NDWI-A normalized difference water index for remote sensing of vegetation liquid water from space. Remote Sensing of Environment, 58(3), 257-266. doi: 10.1016/S0034-4257(96)00067-3 [ Links ]
Getis, A., & Ord, J. K. (1992). The analysis of spatial association by use of distance statistics. Geographical Analysis, 24(3), 189-206. doi: 10.1111/j.1538-4632.1992.tb00261.x [ Links ]
González-Ávalos, J., García-Moya, E., Vargas-Hernández, J. J., Trinidad-Santos, A., Romero-Manzanares, A., & Cetina-Alcalá, V. M. (2006). Evaluación de la producción y análisis de conos y semillas de Pinus cembroides Zucc. Revista Chapingo Serie Ciencias Forestales y del Ambiente, 12(2), 133-138. Retrieved from https://www.chapingo.mx/revistas/forestales/contenido.php?seccion=numero&id_revista_numero=34 [ Links ]
González-Cásares, M., Pompa-García, M., & Camarero, J. J. (2017). Differences in climate-growth relationship indicate diverse drought tolerances among five pine species coexisting in Northwestern Mexico. Trees, 31(2), 531-544. doi: 10.1007/s00468-016-1488-0 [ Links ]
Guevara-Hernández, F., Pinto, R., Rodríguez, L. A., Gómez, H., Ortiz, R., Ibrahim, M., & Cruz, G. (2011). Percepciones locales de la degradación de potreros en una comunidad ganadera de Chiapas, México. Revista Cubana de Ciencia Agrícola, 45(3), 311-319. doi: 10.3923/rjbsci.2010.499.507 [ Links ]
Gutiérrez-Vázquez, B. N., Cornejo-Oviedo, E. H., Zermeño-González, A., Valencia-Manzo, S., & Mendoza-Villarreal, R. (2010). Conversión de un ensayo de progenies de Pinus greggii var. greggii a huerto semillero mediante eigen-análisis. Bosque, 31(1), 45-52. doi: 10.4067/S0717-92002010000100006 [ Links ]
Lado-Sestayo, R., & Vivel-Búa, M. (2016). Emprendimiento en el ámbito turístico: dinámica y geografía en la industria hotelera. Revista Turydes: Turismo y Desarrollo, 20, 433-444. Retrieved from http://www.eumed.net/rev/turydes/20/hotel.html [ Links ]
Mead, D. J. (2013).Sustainable management of Pinus radiata plantations. Roma: Food and Agriculture Organization of the United Nations. Retrieved from http://www.fao.org/3/a-i3274e.pdf [ Links ]
Moreno-Serrano, R., & Vayá-Valcarce, E. (2002). Econometría espacial: nuevas técnicas para el análisis regional. Una aplicación a las regiones europeas. Investigaciones Regionales, 1, 83-106. Retrieved from http://www.redalyc.org/articulo.oa?id=28900104 [ Links ]
Muñoz-Flores, H. J., Prieto-Ruiz, J. Á., Flores-García, A., Pineda-Ojeda, T., & Morales-González, E. (2013). Técnicas de injertado "enchapado lateral" y "fisura terminal" en Pinus pseudostrobus Lindl. Durango, Dgo.: Instituto Nacional de Investigaciones, Agrícolas y Pecuarias. Retrieved from http://biblioteca.inifap.gob.mx:8080/jspui/bitstream/handle/123456789/3977/CIRNOC_010208142000054177ok.pdf?sequence=1 [ Links ]
Muñoz-Gutiérrez, L., Vargas-Hernández, J. J., López-Upton, J., Ramírez-Herrera, C., Jímenez-Casas, M., Aldrete, A., & Díaz-Ruíz, R. (2017). Variación espacial y temporal en la dispersión de polen en un huerto semillero y en rodales naturales cercanos de Pinus patula. Bosque, 38(1), 169-181. doi: 10.4067/S0717-92002017000100017 [ Links ]
Nakai, A., & Kisanuki, H. (2007). Effect of inundation duration on Salix gracilistyla density and size on a gravel bar. Journal of Forest Research, 12(5), 365-370. doi: 10.1007/s10310-007-0027-7 [ Links ]
Pérez, A., Pompa-García, M., Solís, R., & Chacón, J. (2014). Dinámica dasométrica del huerto clonal de Pinus arizonica en los bosques del sur de Chihuahua. In M. Ramos, & V. Aguilera (Eds.), Ciencias Agropecuarias Handbook T-II (pp. 104-112). México: ECORFAN. Retrieved from https://dialnet.unirioja.es/servlet/articulo?codigo=4866119 [ Links ]
Pérez-Valbuena, G. J. (2017). Dimensión espacial de la pobreza en Colombia. In J. A. Bonet-Morón (Ed.), Geografía económica y análisis espacial en Colombia (pp. 175-222). Colombia: Banco de la República de Colombia. Retrieved from https://econpapers.repec.org/bookchap/bdrbdrlib/2008-01.htm [ Links ]
Pompa-García, M., & Hernández-González, P. (2012). Determinación de la tendencia espacial de los puntos de calor como estrategia para monitorear los incendios forestales en Durango, México. Bosque, 33(1), 63-68. doi: 10.4067/S0717-9200201200010000 [ Links ]
Pimentel, R., Lopes, D. J. H., Mexia, A. M. M., & Mumford, J. D. (2016). Validation of a geographic weighted regression analysis as a tool for area-wide integrated pest management programs for Ceratitis capitata Wiedemann (Diptera: Tephritidae) on Terceira Island, Azores. International Journal of Pest Management, 63(2), 172-184. doi: 10.1080/09670874.2016.1256512 [ Links ]
Rendón, C. H., Martínez, Y. A., & Pérez, S. D. (2014). Los bosques, sus bienes y servicios: los retos del manejo forestal sustentable. Ciencias, 111-112, 29-35. Retrieved from http://www.revistaciencias.unam.mx/es/161-revistas/revista-ciencias-111-112/1397-los-bosques,-sus-bienes-y-servicios-los-retos-del-manejo-forestal-sustentable.html [ Links ]
Rodrigues, M., & de la Riva, J. (2014). Assessing the effect on fire risk modelling of the uncertainty in the location and cause of forest fire. Coimbra, PT: Coimbra University Press. Retrieved from http://hdl.handle.net/10316.2/34305 [ Links ]
Rodríguez-Laguna, R., Razo-Zárate, R., Juárez-Muñoz, J., Capulín-Grande, J., & Soto-Gutiérrez, R. (2012). Tamaño de cono y semilla en procedencias de Pinus greggii Engelm. var. greggii establecidas en diferentes suelos. Revista Fitotecnia Mexicana, 35(4), 289-298. Retrieved from http://www.scielo.org.mx/scielo.php?pid=S0187-73802012000400005&script=sci_arttext [ Links ]
Rubio-Camacho, E. A., González-Tagle, M. A., Himmelsbach, W., Ávila-Flores, D. Y., Alanís-Rodríguez, E., & Jiménez-Pérez, J. (2017). Patrones de distribución espacial del arbolado en un bosque mixto de pino-encino del noreste de México. Revista Mexicana de Biodiversidad, 88(1), 113-121. doi: 10.1016/j.rmb.2017.01.015 [ Links ]
Silva-Flores, R., Pérez-Verdín, G., & Wehenkel, C. (2014). Patterns of tree species diversity in relation to climatic factors on the Sierra Madre Occidental, Mexico. PloS ONE, 9(8), e105034. doi: 10.1371/journal.pone.0105034 [ Links ]
Viveros-Viveros, H., Camarillo-Luna, A. R., Sáenz-Romero, C., & Aparicio-Rentería, A. (2013). Variación altitudinal en caracteres morfológicos de Pinus patula en el estado de Oaxaca (México) y su uso en la zonificación. Bosque, 34(2), 173-179. doi: 10.4067/S0717-92002013000200006 [ Links ]
Zúñiga-Vásquez J. M., Cisneros-González D., Pompa-García M., Rodríguez-Trejo D. A., Pérez-Verdín G. (2017). Spatial modelling of forest fires in Mexico: an integration of two date sources. Bosque, 38(3), 563-574. doi: 10.4067/S0717-92002017000300014 [ Links ]
Recibido: 03 de Diciembre de 2018; Aprobado: 20 de Febrero de 2019




![Modelado espacial histórico y actual del oyamel (Abies religiosa [Kunth] Schltdl. & Cham.) en la Faja Volcánica Transmexicana](/img/pt/next.gif)





texto em 




