Introducción
Si bien los organismos internacionales reconocen la importancia del rol y la participación de las mujeres en el desarrollo (UN WOMEN, 2018), y se han logrado avances significativos en igualdad de oportunidades entre ellas y los hombres en la toma de decisiones políticas y económicas, no se han liberado por completo de su subordinación doméstica. Debido a que mujeres y hombres juegan diferentes roles en la sociedad, ellos tienen diferentes necesidades (Moser, 1989).
En particular,, el papel de la mujer como ama de casa y madre implica necesidades de diseño de las viviendas que son, generalmente, obviadas. Las mujeres rara vez tienen control o participación en el proceso de diseño, incluso, representan una pequeña minoría de arquitectos y diseñadores. Por ejemplo, según datos de la Encuesta Nacional de Ocupación y Empleo 2022 (INEGI, 2022), en México solo el 31% de los profesionistas ocupados en arquitectura, urbanismo y diseño corresponde a mujeres. Como consecuencia predominan construcciones de bajo costo o con diseños inadecuados que hacen que el trabajo doméstico y el cuidado de los niños sean más difíciles.
Diversa literatura sobre mujer y vivienda ha documentado las consecuencias de un inadecuado diseño de las viviendas. Watson (1986) considera el diseño desde dos puntos de vista: el primero en cuanto la separación física con otras viviendas y con los servicios locales. La evidencia de su investigación sugiere que el aislamiento de la vivienda, la falta de una comunidad de vecinos y la separación física con los servicios, por ejemplo con los medios de transporte, agudiza la no participación de la mujer en la fuerza de trabajo remunerado cuando se encuentra en periodos de maternidad y crianza. Adicionalmente, la investigación muestra evidencia de que esta forma de vivienda puede provocar síntomas de depresión en las amas de casa, como resultado del aislamiento.
El segundo aspecto de Watson en el diseño de la vivienda es el diseño interior. La manera en la que se distribuyen y se conceptualizan los espacios en la vivienda refuerza las relaciones sociales de los habitantes; en específico, las áreas compartidas en las que los habitantes coinciden y pasan tiempo libre juntos, como la sala, delimitan el estilo de vida. Un caso especial es la cocina, que comúnmente usan las mujeres y que suele ser estrecha (sobre todo en casas de interés social) para permitir que el trabajo se comparta.
Si bien los dos aspectos, la ubicación y el diseño interior de las viviendas, están muy relacionados con características socioeconómicas, las necesidades del segundo son relativas, es decir, particulares a las personas que las habitan y están asociadas, así como también al tipo de hogar. El estudio de los problemas relacionados con el diseño interior ha sido de interés académico reciente, en especial en el contexto de la producción masiva de vivienda social. Por ejemplo, Matamoros Tuma (2016) estudia los niveles de satisfacción de la población referentes a los espacios interiores de la vivienda social en Cuba, donde se identifican tres principales problemas que originan la insatisfacción: a) en la vivienda de producción masiva se desconoce a los futuros habitantes, por lo que el diseño, determinado por el proyectista, no siempre capta la complejidad de la vida en el hogar, b) la vivienda habitada se diferencia de la vivienda proyectada porque los habitantes se apropian de los espacios de formas no siempre previstas y c) en la medida en que la vivienda es más pequeña debe estar mejor equipada para hacer más eficiente el aprovechamiento del espacio interior. Sin embargo, en la práctica el equipamiento que se asume no corresponde con el que realmente opera, lo que podría explicar el sentimiento de inconformidad respecto al tamaño y la conformación de las viviendas.
Satisfacer las necesidades de diseño y las condiciones de habitabilidad de la vivienda produce bienestar, lo que influye de manera fundamental en la dinámica familiar, la estabilidad, el equilibrio emocional, el estado de salud y capacidad de trabajo de sus habitantes. Como señala Gazmuri Núñez (2013: 33): “la vivienda es un espacio integrador de procesos sociales, necesario para la consolidación de la familia y el desarrollo de sus miembros”.
Al ser la vivienda un espacio integrador de diversos procesos sociales, se vuelve imprescindible considerar los problemas o requerimientos de diseño en un factor más general, el de la dimensión familiar o arreglo familiar, que delimita las necesidades habitacionales en un momento y contexto dado, por lo que las soluciones de diseño se deben centrar en los habitantes como un ente social y no solamente en el plano individual.
Por otro lado, aunque Matamoros Tuma (2016) reconoce que el diseño de los espacios interiores de la vivienda se concreta con el uso particular que hacen sus habitantes de ésta, advierte también que el diseño interior de la vivienda social no es un problema aislado del diseño de la arquitectura, sino que esta determina la forma, tamaño y otras cualidades relacionadas con los espacios como las condiciones ambientales, el tipo y calidad de los materiales, el funcionamiento de los sistemas técnicos de electricidad, agua, etc., la protección y seguridad de los individuos y la aptitud de los espacios para soportar los cambios en el tiempo.
Desde otra perspectiva, las necesidades de la mujer en relación con el espacio habitable o la vivienda no se resumen en problemas de diseño. El arreglo familiar de los habitantes de la vivienda y el contexto cultural en el que interactúan ha promovido diferencias de género, entre otras, sobre el papel de la mujer en el hogar, el control de los recursos y las decisiones en el hogar. En este sentido, Watson (1986) señala que el arreglo familiar sirve para producir y reproducir relaciones patriarcales, lo que actúa para crear y reforzar el estatus económico dependiente y el rol doméstico de la mujer dentro del hogar y, de manera más amplia, su estatus inferior en el mercado de trabajo y en la sociedad. Asimismo, ya sea por cuestiones culturales o económicas –éstas últimas asociadas a la participación en el mercado de trabajo– es común que la tenencia de la vivienda en los hogares tradicionales esté dominada por los hombres. De acuerdo con Moser (1989), la tenencia de vivienda es una necesidad estratégica de género que asegura protección para ellas y sus hijos en situaciones inestables o de violencia doméstica. Las necesidades estratégicas de género son aquellas que resultan del análisis de la subordinación de las mujeres a los hombres y varían según el contexto cultural y sociopolítico dentro del cual se formulen. Ejemplos de estas necesidades incluyen la abolición de la división sexual del trabajo, disminuir la carga de trabajo doméstico y del cuidado de los hijos, el derecho a la propiedad de la tierra o el acceso al crédito, libertad de elección de la maternidad y el establecimiento de igualdad política.
A pesar de que la literatura sobre mujer y vivienda es vasta, gran parte se refiere principalmente a los roles y necesidades de grupos específicos de mujeres, sobre todo de las de bajos ingresos y de escasas habilidades o entrenamiento para el trabajo. Esto ocurre en cierta medida por el interés de las instituciones de atender a grupos vulnerables. Si bien muchos de los problemas asociados al diseño de las viviendas son propios de la vivienda social, el tema de tenencia de vivienda tiene componentes no sólo económicos, sino también culturales, por lo que no es una necesidad exclusiva de mujeres de bajos ingresos. Por otro lado, la literatura ha minimizado las necesidades y consecuencias en relación con la vivienda de mujeres de ingresos y escolaridad superiores, aunque su estudio pudiera dar evidencia de los beneficios obtenidos (o no) del avance económico y cultural.
Este artículo está dirigido a evaluar las características de las viviendas de mujeres docentes universitarias bajo la perspectiva de las propias entrevistadas tomando como eje central el arreglo familiar en el que cohabitan. En este sentido, la investigación no considera la clasificación de los hogares según el “jefe del hogar”, de manera que el interés no se centra en hogares “no tradicionales” encabezados por mujeres, por madres solteras o por mujeres que viven solas, por ejemplo, ni excluye los hogares nucleares “tradicionales” encabezados por hombres. Sin embargo, se indaga sobre la manera en la que las universitarias comparten la vivienda con otros habitantes con el objetivo de evaluar si estos arreglos determinan las necesidades de la vivienda (diseño, arquitectura y tamaño) percibidas por las entrevistadas.
Aunque la población objeto de estudio son mujeres docentes universitarias, la investigación no pretende exponer la interdependencia entre el rol de la mujer en el trabajo remunerado y su papel en el hogar, sino que busca evaluar su participación en torno a la construcción de las viviendas que habitan, el nivel de satisfacción en relación con la funcionalidad y comodidad, y sus necesidades percibidas.
El documento está organizado como sigue: en la primera sección se especifica el modo como la información y se describen los datos utilizados; la segunda sección explica los modelos propuestos para el análisis de la información; la sección tres presenta los resultados y la última sección discute las implicaciones de los hallazgos y propone posibles escenarios de investigación futura.
1. Descripción de los datos
La población objeto de estudio está conformada por 120 académicas universitarias de tiempo completo, a quienes se les envió invitación para responder de manera voluntaria un cuestionario en línea, de donde se obtuvo participación de 62 profesoras. El cuestionario fue respondido durante el mes de junio de 2018. Las principales variables consideradas fueron a) tipo de arreglo en el que cohabitan, b) posesión y propiedad de la vivienda y c) percepción de comodidad de las encuestadas sobre los espacios de sus viviendas. El cuadro 1 muestra el porcentaje de vivienda propia y de escritura a su nombre según el arreglo en el que cohabitan las entrevistadas.
Cuadro 1 Distribución de las universitarias según tipo de arreglo en el hogar y posesión de la vivienda
| Tipo de arreglo | Medición | Vivienda propia | Escritura a su nombre | Total del arreglo |
| Sola | Frecuencia | 8 | 8 | 9 |
| % | 88.9 | 88.9 | 14.5 | |
| Pareja con hijos | Frecuencia | 29 | 25 | 39 |
| % | 74.4 | 64.1 | 62.9 | |
| Sola con hijos | Frecuencia | 7 | 3 | 7 |
| % | 100.0 | 42.9 | 11.3 | |
| Otros | Frecuencia | 6 | 1 | 7 |
| % | 85.7 | 14.3 | 11.3 | |
| Total | Frecuencia | 50 | 37 | 62 |
| % | 80.6 | 59.7 | 100.0 | |
Nota:los porcentajes en las columnas “Vivienda propia” y “Escritura a su nombre” se calculan respecto al total del arreglo. Los porcentajes en la columna “Total del arreglo” se calculan respecto al total de observaciones.
Fuente: elaboración propia.
En general, de acuerdo con la información se pueden hacer las siguientes observaciones:
-
Tipo de arreglo familiar
Las formas de hogar nuclear (pareja con hijos o sola con hijos) representan el principal modo de relaciones dentro de los hogares (74.2%).
Las mujeres viviendo solas sin hijos constituyen el segundo grupo de acuerdo con su importancia relativa (14.5%).
Mujeres viviendo en otros arreglos familiares o no familiares, sin pareja e hijos, conforman el grupo más pequeño (11.3%).
-
Posesión vs. propiedad
En todos los arreglos familiares la principal forma de posesión es la de vivienda propia; se observa, además, que la proporción es mayor en los arreglos en los que las mujeres no cohabitan con una pareja. Sin embargo, la posesión no corresponde precisamente con la propiedad (escritura a su nombre) para las mujeres que no viven solas. Por ejemplo, al preguntar sobre el tipo de posesión de la vivienda, 74.4% de las mujeres que viven en pareja respondió “vivienda propia”, pero al validar esta información solamente 64.1% confirmó que la escritura de la casa sí está a su nombre. Esta diferencia es considerablemente más amplia cuando se trata de mujeres que viven solas con sus hijos y en hogares extendidos.
-
Otros arreglos
Otros tipos de arreglos en los que una proporción considerable de las mujeres está involucrada son aquellos en los que se comparte la vivienda con otros familiares (padres, tíos, etc.) o con personas sin ningún parentesco. El tema de vivienda compartida es importante para esta investigación en el mismo sentido que con los otros tipos de relaciones: evaluar si bajo este tipo de arreglo hay necesidades particulares de la vivienda percibidas por las mujeres.
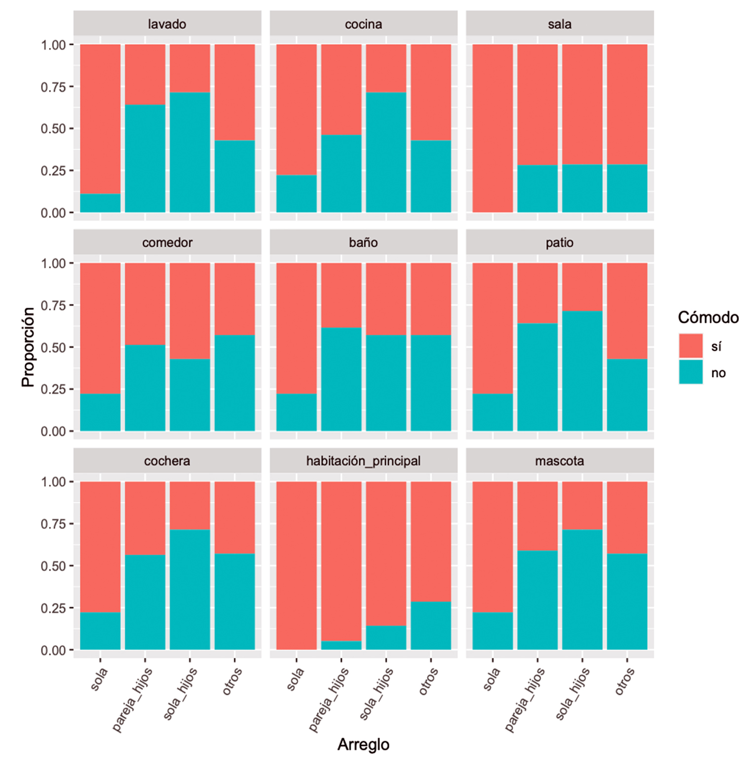
1. 1. Percepción de comodidad en los espacios de la vivienda
De manera explícita, se preguntó a las encuestadas qué espacios en la vivienda las hacen sentir cómodas (según sus necesidades percibidas en aspectos de diseño, funcionalidad y tamaño). La gráfica 1 muestra la proporción que perciben cómoda de cada uno de los espacios en la vivienda. Se observa diferencia al considerar el arreglo en el que se habita dentro del hogar. De manera particular, las mujeres que viven solas sin hijos perciben en todos los espacios de su vivienda mayor comodidad que el resto de los arreglos. En específico, el hogar con hijos (con o sin pareja) tiene un efecto negativo en la percepción de comodidad de los espacios compartidos de la vivienda. Una característica semejante (aunque menos marcada) se observa en la categoría “otros”.
2. El modelo
En esta sección se especifican dos modelos de regresión logística exacta en los que las variables por explicar son a) la percepción de comodidad de los espacios de la vivienda, una variable binaria que indica si el espacio es percibido como cómodo en relación con el diseño, funcionalidad y tamaño y b) la tenencia de vivienda, una variable binaria que especifica si es o no propietaria de la vivienda. Los dos modelos tienen en común el arreglo familiar como variable predictora para explicar la variabilidad. Es decir, los modelos exploran el efecto del arreglo familiar en el que cohabitan las mujeres académicas universitarias sobre las dos variables señaladas.
En general, la regresión logística es un modelo estadístico que usa la función logística para modelar, en el caso más simple, una variable dependiente binaria, pero existen extensiones del modelo para variables dependientes categóricas multinivel y ordinales, datos estratificados, entre otras. El procedimiento de estimación habitual es el método de máxima verosimilitud; sin embargo, las propiedades asintóticas en las cuales se basa el método requieren de un tamaño de muestra suficientemente grande para que los resultados sean confiables. [1] En casos donde el tamaño de la muestra es demasiado pequeño, o cuando se tienen celdas sin observaciones, la regresión logística exacta ofrece una alternativa. Las estimaciones dadas por regresión logística exacta no son asintóticas, sino que se basan en la distribución condicional de estadísticos suficientes de los parámetros (Cox y Snell, 1989). Ejemplos de algoritmos computacionales eficientes para generar las distribuciones condicionales se pueden revisar en Mehta y Patel (1995), Mehta et al. (2000), Corcoran et al. (2001) y Wilson y Lorenz (2015).
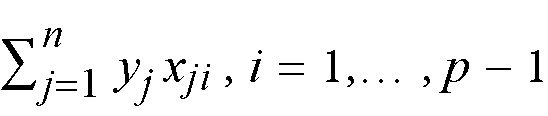
El modelo de regresión logística asume una relación lineal entre las variables explicativas y el logaritmo de la razón de probabilidades, conocido como logit, logaritmo de la razón de momios o logaritmo de los odds ratio a favor del evento de interés. Para ser más específicos, considere un conjunto de variables aleatorias binarias independientes: Y 1, Y 2,… ,yn . Para cada variable aleatoria Yj hay un vector xj = (xj 1, xj 2,… , xjp )ʹ de tamaño (p × 1) de variables explicativas (o covariables). Sea πj la probabilidad de que Yj = 1. La regresión logística modela la dependencia de πj en xj a través de la relación
donde γ y β = (β 1, β 2,… , βp )ʹ son parámetros desconocidos. La función de verosimilitud, o probabilidad de un conjunto de valores observados, y 1, y 2,… , yn , es
La manera usual de hacer inferencia sobre β y γ es maximizar la función (2) respecto a estos coeficientes de regresión.
Suponga ahora que se tiene interés en hacer inferencia sobre β y se considera como un parámetro de ruido. Entonces, en lugar de estimar de la función de verosimilitud no condicional (2), se puede eliminar este parámetro condicionando sobre el valor observado de su estadística suficiente
. Note que m es el número total de éxitos. Esto produce la función de verosimilitud condicional,
donde la suma exterior en el denominador de (3) es sobre el conjunto
Se puede abordar la inferencia sobre β de dos maneras: asintótica y exacta. El enfoque asintótico maximiza la función de verosimilitud condicional (3). La inferencia exacta sobre β se basa en la distribución permutacional de sus estadísticas suficientes. Se puede observar en la función (3) que el vector de estadísticas suficientes de tamaño (p × 1) para β es
donde |S(t)| denota el número de elementos distintos en el conjunto S, y la suma en el denominador es sobre todo u para el cual c(u) ≥ 1. Es decir, c(t) es el conteo del número de secuencias binarias de la forma (y 1, y 2,… , yn ) tal que ∑ jyj = m y ∑ jyj xji = ti para i = 1, 2,… , p. Inferencia exacta sobre β requiere el cálculo de coeficientes como c(t) en los que algunas de las estadísticas suficientes se fijan sobre sus valores observados mientras que otras varían sobre sus rangos permisibles.
Sin pérdida de generalidad, suponga que la inferencia se centra en βp
del modelo (2). Para eliminar los otros parámetros, se condiciona sobre sus estadísticas suficientes m y
.
Por lo que se obtiene la distribución de verosimilitud condicional
Ésta depende solo de βp . Para hacer inferencia sobre βp se usa la distribución condicional de su estadística suficiente, Tp = ∑ jyj xjp , dadas las otras. Sea c(m, t 1 ,… , tp - 1, tp ) el número de vectores de datos en S(m, t 1,… , tp - 1 ) para los cuales Tp = tp . Si f(tp |βp ) denota la probabilidad condicional Pr(Tp = tp |m; Ti = ti , i = 1,… , p - 1) , entonces
donde la suma del denominador en (6) se refiere a los posibles valores u de Tp . Implementar la inferencia requiere que se calcule {c(m, t 1,… ,tp - 1, u)}. Excepto para los casos más simples, los cálculos son intensivos y necesitan de software especializado. Diversos paquetes computacionales tienen implementados procedimientos para realizar estos métodos. En este trabajo se usa el paquete “elrm” (Zamar et al., 2007) implementado en R (R Core Team, 2021) para estimar la regresión logística. El algoritmo que usa el paquete es una extensión de la formulación de Forster et al. (2003) para generar propuestas dirigidas al vector de respuestas binomial, tal como se describe en Zamar et al. (2007).
Debido a que la ecuación (6) no involucra parámetros de ruido, se puede usar para hacer inferencia sobre βp . Para probar H 0: βp = 0 “vs.” Ha : βp ≠ 0,, el valor p bilateral se obtiene sumando las estimaciones de las probabilidades (6) sobre una región crítica especificada E (Mehta y Patel, 1995): p = ∑ v∈ E f(v|βp = 0).
El método que usa el paquete “elrm” para especificar E es la prueba de probabilidades condicionales; en esta prueba la región crítica, denotada por Ecp , contiene todos los valores del estadístico de prueba que producen una probabilidad condicional no mayor que la probabilidad condicional en el valor observado de tp :
La función “plot” implementada en el paquete “elrm” se usa como una herramienta de diagnóstico para verificar si la cadena de Markov converge. La función genera una gráfica de los valores muestreados de la estadística suficiente con respecto a cada iteración (trace plot) y el correspondiente histograma para cada parámetro de interés. Si la cadena de Markov converge, la gráfica de los valores en cada iteración varía alrededor de la moda de la distribución. Un signo de no convergencia es cuando se observa una tendencia en esta gráfica. El histograma muestra un resumen del rango y la frecuencia de los valores muestreados. La falta de convergencia también puede reflejarse en una multimodalidad severa (Zamar et al., 2007).
3. Resultados
3. 1. Modelo 1. Percepción de comodidad
La percepción de comodidad en cada espacio de la vivienda: área de lavado, cocina, sala, comedor, baño, patio, cochera, habitación principal y área para mascota es modelada en función del tipo de arreglo familiar usando la ecuación (1) con el objetivo de tener apoyo estadístico para afirmar si las diferencias observadas en la gráfica 1 son significativas o no. Es decir, se desea conocer si hay un efecto significativo del tipo de arreglo familiar sobre la percepción de comodidad del espacio que habitan.
El cuadro 2 muestra las estimaciones del modelo logit descrito en la sección anterior para cada espacio de la vivienda, usando el paquete “elrm” (Zamar et al., 2007); los valores en paréntesis en la columna de “Estimación” refieren el intervalo de confianza al 95% para cada parámetro. Los resultados se obtuvieron después de 1 millón de iteraciones con un burning de 20 000. Para cada bloque de la columna “Espacio”, el P valor (bilateral) de la fila “conjunta” es el valor p estimado para probar conjuntamente que los parámetros de interés son iguales a 0 y, por tanto, no se muestra una estimación; para el resto de las filas, se trata de los valores p condicionales completos para probar por separado cada parámetro igual a 0. Los valores de la columna “Tamaño de la cadena” se refieren a las longitudes de las cadenas de Markov extraídas que se utilizaron en la prueba de cada parámetro. La muestra requerida se extrae de la cadena de Markov original generada para la prueba de hipótesis conjunta. En consecuencia, la muestra extraída para hacer inferencia sobre cada parámetro es mucho más pequeña que la longitud de la cadena original (Zamar et al., 2007).
La convergencia de los valores muestreados de la estadística suficiente se verificó de manera gráfica como se describe en la sección anterior. Las estimaciones por intervalo con límites infinitos coinciden con las categorías que no tienen observaciones como se constata en la gráfica 1.
En todos los casos, la categoría base o de referencia usada en el modelo es el tipo de arreglo “sola”. De los resultados se pueden señalar las siguientes observaciones:
Existen diferencias significativas en la percepción de comodidad entre las mujeres que viven solas y aquellas que cohabitan con una pareja e hijos en los espacios compartidos de área de lavado, cocina, baño, cochera y área de mascota. En todos los casos señalados la razón de momios es menor a la unidad, lo que significa que cambiar del arreglo “sola” a “pareja con hijos” reduce la razón de probabilidades a favor de percibir o sentirse cómoda con las características de esos espacios de la vivienda.
Cambiar del arreglo “sola” a “sola con hijos” disminuye significativamente la razón de probabilidades a favor de percibir o sentirse cómoda en los espacios de área de lavado y cocina.
gnificativas al 90%, los valores de la columna P valor son moderados, en especial en el caso de la sala, lo que puede sugerir diferencias entre el arreglo “sola” con el resto de arreglos en la vivienda.
La habitación principal es un espacio en el que no se observan diferencias significativas entre los arreglos. Es importante notar que este espacio por lo general no se comparte con otros habitantes en la vivienda.
Cuadro 2 Estimación de la probabilidad a favor de la percepción de comodidad en cada espacio de la vivienda según tipo de arreglo familiar
| Espacio | Tipo de arreglo | Estimación | P valor | Tamaño de la cadena | Razón de momios |
| Área de lavado | conjunta | NA | 0.02094** | 980000 | NA |
| pareja_hijos | -2.6396 (-6.5463, -0.4442) | 0.00751*** | 57288 | 0.0714 | |
| sola_hijos | -2.6616 (-6.7521, -0.0290) | 0.03472** | 12702 | 0.0698 | |
| otros | -1.5097 (-5.5344, 1.2357) | 0.26987 | 1560 | 0.2210 | |
| Cocina | conjunta | NA | 0.11101 | 980000 | NA |
| pareja_hijos | -1.8808 (-4.2862, -0.0800) | 0.06765* | 37049 | 0.1525 | |
| sola_hijos | -2.8364 (-6.3269, -0.2038) | 0.03674** | 72515 | 0.0586 | |
| otros | -1.6091 (-5.1344, 1.3382) | 0.27045 | 15986 | 0.2001 | |
| Sala | conjunta | NA | 0.33049 | 980000 | NA |
| pareja_hijos | -1.4687 (-Inf, 0.4725) | 0.10086 | 107755 | 0.2302 | |
| sola_hijos | -1.2308 (-Inf, 1.3887) | 0.17780 | 47430 | 0.2920 | |
| otros | -1.1824 (-Inf, 1.4790) | 0.19166 | 43999 | 0.3066 | |
| Comedor | conjunta | NA | 0.39971 | 980000 | NA |
| pareja_hijos | -1.2410 (-3.6115, 0.5332) | 0.15598 | 79978 | 0.2891 | |
| sola_hijos | -0.8900 (-3.6777, 1.6246) | 0.60122 | 25678 | 0.4106 | |
| otros | -1.4770 (-4.3564, 1.0497) | 0.28424 | 45159 | 0.2283 | |
| Baño | conjunta | NA | 0.22914 | 980000 | NA |
| pareja_hijos | -1.6449 (-4.0503, 0.1559) | 0.06550* | 97873 | 0.1930 | |
| sola_hijos | -1.39008 (-4.1711, 1.0109) | 0.31203 | 21729 | 0.2491 | |
| otros | -1.39219 (-4.2332, 1.0955) | 0.30175 | 19728 | 0.2485 | |
| Patio | conjunta | NA | 0.10639 | 980000 | NA |
| pareja_hijos | -1.7429 (-4.1397, 0.0516) | 0.03219** | 58410 | 0.1750 | |
| sola_hijos | -1.9526 (-4.9542, 0.4796) | 0.13626 | 21767 | 0.1419 | |
| otros | -0.8190 (-3.6918, 1.7357) | 0.61242 | 4799 | 0.4409 | |
| Cochera | conjunta | NA | 0.23906 | 980000 | NA |
| pareja_hijos | -1.45154 (-3.8388, 0.3433) | 0.08261* | 59984 | 0.2342 | |
| sola_hijos | -1.90611 (-4.6931, 0.4799) | 0.13186 | 51268 | 0.1487 | |
| otros | -1.43267 (-4.4235, 1.1052) | 0.30114 | 20014 | 0.2387 | |
| Habitación principal | conjunta | NA | 0.09932 | 980000 | NA |
| pareja_hijos | 0.49709 (-Inf, 3.1165) | 1.00000 | 23672 | 1.6439 | |
| sola_hijos | -0.28487 (-Inf, 3.3787) | 0.42926 | 35039 | 0.7521 | |
| otros | -1.37747 (-Inf, 1.2903) | 0.15477 | 97184 | 0.2522 | |
| Área de mascota | conjunta | NA | 0.19845 | 980000 | NA |
| pareja_hijos | -1.5486 (-3.9359, 0.2403) | 0.06854* | 66958 | 0.2125 | |
| sola_hijos | -1.9635 (-4.9504, 0.4655) | 0.12996 | 44545 | 0.1404 | |
| otros | -1.4550 (-4.4205, 1.0820) | 0.29988 | 17287 | 0.2334 | |
Nota:*significativo al 10%; **significativo al 5%; ***significativo al 1%.
Fuente: elaboración propia.
3. 1. 1. Curva de ROC (Receiver Operating Characteristic)
Con el objetivo de evaluar el desempeño del modelo para predecir la percepción de comodidad en cada espacio de la vivienda, se calculó la razón de verdaderos positivos y la razón de falsos positivos y se tomó 0.5 como umbral de discriminación (valor a partir del cual una observación se clasifica como positiva); es decir, la probabilidad estimada de cada observación se comparó con el valor del umbral clasificándola en el grupo de percepción cómoda si tal probabilidad supera el umbral. La gráfica 2 muestra las razones para cada espacio de la vivienda. El eje Y de la gráfica corresponde a la razón de verdaderos positivos estimados frente a todas las observaciones que realmente manifestaron sentirse cómodas con sus espacios de vivienda; el eje X corresponde a la proporción de falsos positivos sobre el total de observaciones que no se sienten cómodas con el espacio de la vivienda en cuestión. La línea punteada roja es la línea de no discriminación, que describe un modelo incapaz de discriminar percepciones cómodas vs. no cómodas de un espacio de la vivienda debido a que cada punto de corte que la compone determina la misma proporción de verdaderos positivos y de falsos positivos. Los valores por encima de esta línea representan buenos resultados de clasificación (mejores que el azar), mientras que por debajo de la línea son predicciones pobres (peores que el azar).
3. 2. Modelo 2. Tenencia de vivienda
Valores de la razón de momios menores a la unidad indican que cuando la variable predictora cambia (aumenta) de la categoría base, la razón de probabilidades a favor de poseer una vivienda disminuye. Para tener una idea más clara de la magnitud del cambio se puede calcular el inverso de la razón de momios. Con base en los valores, se observa que para una mujer que vive sola la razón de probabilidades a favor de poseer una casa es 1/0.3898 = 2.57 veces más grande que para una mujer que vive en pareja con hijos y 1/0.2103 = 4.76 veces mayor que quienes viven solas con hijos. Esta diferencia es aún mayor con el tipo de arreglo “otros”, siendo 1/0.0308 = 32.47 veces más grande la probabilidad a favor de poseer una casa para una mujer que vive sola que para quien pertenece a esta categoría.
Cuadro 3 Estimación de la probabilidad a favor de ser propietaria de la vivienda según tipo de arreglo familiar
| Tipo de arreglo | Estimación | P value | mc_size | Razón de momios |
| conjunta | NA | 0.01227 | 980000 | NA |
| pareja_hijos | -0.9420 | 0.65805 | 1509 | 0.3898 |
| sola_hijos | -1.5592 | 0.50248 | 1612 | 0.2103 |
| otros | -3.4810 | 0.00921*** | 45837 | 0.0308 |
Nota:*** significativo al 1%.
Fuente: elaboración propia.
Prospectiva
Se proponen dos escenarios de investigación futura: ampliar la población objeto de estudio a mujeres con grado académico superior y posgrado en contextos fuera del ámbito académico para observar si los resultados aquí encontrados se generalizan, así como evaluar el efecto de la escolaridad y la ocupación en la tenencia de la vivienda y la percepción de comodidad, lo que implica considerar como objeto de estudio a mujeres con distinto grado de escolaridad y ocupación.
Conclusiones o resultados
La tenencia de una vivienda es una necesidad estratégica de género que, al menos en las mujeres académicas, se cubre cada vez más, incluso si el arreglo familiar es con pareja e hijos. Sin embargo, el diseño interior de las viviendas, particularmente de las áreas compartidas, no toma en cuenta las necesidades de las mujeres cuando la dinámica del hogar se comparte con otros habitantes.
Los resultados encontrados muestran que la tenencia de la vivienda a favor de las mujeres (universitarias) se efectúa con independencia (o a pesar) de la dinámica de relaciones personales en el hogar, excepto en arreglos con familiares que no incluyen pareja e hijos o en convivencia con personas no familiares; por otro lado, la dinámica familiar explica la percepción de comodidad en los espacios compartidos de la vivienda como el área de lavado, la cocina, el baño, el patio, la cochera y el área de mascota. Estos espacios no son percibidos cómodos por las mujeres cuando cohabitan en arreglos familiares que incluyen a la pareja e hijos.










nueva página del texto (beta)





