Introducción
La raíz en las plantas provee estabilidad (Bontpart et al. 2020), absorbe y almacena reservas para sobrevivir en situaciones adversas (Giehl y von-Wiren 2014, Kita et al. 2018). Pero los estudios de raíz se han limitado por que no existen técnicas de medición que se adapten a las diferentes formas, longitudes y espesor (Pokhrel y Albrecht 2024); por la dificultad para muestrear los resultados suelen ser poco precisos. Algunas investigaciones indican que el diámetro del sistema radical se relaciona con la copa de los árboles; pero otras, mencionan ausencia de esta relación (Elsysy y Einhorn 2022). En suelos bien aireados el desarrollo normal de las raíces es de hasta un metro mayor al perímetro de la copa; a la vez, la producción de raíces es afectada por factores como la densidad de siembra, portainjerto, sistema de riego, tipo de suelo, condiciones edafo-climáticas, fertilización y competencia con otras plantas (Luo et al. 2020, Ötvös et al. 2021).
La arquitectura de raíz es la disposición espacial del conjunto de raíces o la expansión geométrica de múltiples ejes, sin incluir estructuras finas como pelos radicales, pero sí al conjunto complejo de raíces de una planta (Reubens et al. 2007, Bontpart et al. 2020). Cuando las semillas se siembran en contenedor y se dejan largo tiempo, las plantas presentan altas densidades de raíces, que tienden a doblarse; aspecto que se asocia con menor capacidad para producir raíces laterales en campo, con arquitectura diferente a la que presentan las plantas generadas en semillero en suelo ó a las que germinan y desarrollan en el mismo lugar, esto algunas veces, provoca baja estabilidad estructural en el crecimiento del árbol (Pokhrel y Albrecht 2024). Por ello, en plantas producidas en contenedor al momento del trasplante se realizan podas, lo que genera que se produzcan nuevas y vigorosas raíces adventicias, que modifican la arquitectura natural (Montagnoli et al. 2022).
El uso de contenedores en semilleros tiene ventajas ilimitadas, que ayudan a controlar el desarrollo de las plántulas, siendo el volumen del contenedor un factor determinante para la supervivencia y crecimiento postrasplante. Las plantas desarrolladas en contenedor en invernadero pueden ser acondicionadas con óptimos requerimientos (temperatura, nutrición, riego, fotoperiodo y sanidad), y así asegurar calidad al trasplantarse en campo (Barrera-Ramírez et al. 2021, López et al. 2023). Cuando una planta germina y desarrolla en el mismo lugar, genera muchas raíces a distintas profundidades; mientras que, aquellas que son trasplantadas a raíz desnuda, tardan en recuperarse y en la mayoría de los casos presentan menor biomasa radicular (Elsysy y Einhorn 2022). Se sabe que el tipo de envase influye en el desarrollo de raíces (Castro-Garibay et al. 2018); por ejemplo, envases circulares sin estructuras espiraladas, aumentan la formación de raíces que crecen en espiral, esto afecta de forma negativa el desarrollo de raíces, debido a que no se forma raíz pivotante, lo que ocasiona inestabilidad de la planta en campo (Pokhrel y Albrecht 2024), contenedores cuadrados, entubados y cónicos, con costillas longitudinales generan menor formación de raíces retorcidas, siendo en estos casos frecuente el crecimiento de raíces pegadas a las paredes, concentrándose en la base el mayor crecimiento de ellas (Allen et al. 2017), y poda natural al llegar a los orificios basales, lo que mejora la supervivencia en campo (Grossnickle y El-Kassaby 2015, Budiarto et al. 2019).
En cítricos existe relación entre raíz y parte aérea, la raíz optimiza el uso de compuestos para el desarrollo aéreo, y su crecimiento define el volumen de suelo explorado por la planta (Pokhrel y Albrecht 2024); además, entre mayor cantidad de raíces finas desarrollen existe mayor exploración de área y de los recursos disponibles (Lynch et al. 2021). Para la producción de plantas injertadas de cítricos, los portainjertos se obtienen de semillas, que germinan en semilleros o tubetes y posteriormente son trasplantados a contendores de 4 a 5 L donde se injertan, todo el proceso debe hacerse en condiciones protegidas (Vashisth 2020). Este manejo modifica la arquitectura y morfología de la raíz, pero en portainjertos de cítricos hay pocos estudios donde se evalúe el efecto del sustrato y contendor en la arquitectura de la raíz (Pokhrel y Albrecht 2024), al igual que en forestales (Hildebrant 2017, Barrera-Ramírez et al. 2021). De tal manera que a pesar de la importancia que tiene el sistema radical en el desarrollo de las plantas es poco conocida y estudiada; en plantas jóvenes de portainjertos cítricos, se encuentran algunos trabajos sobre malformación de raíz (Budiarto et al. 2019), pero de arquitectura no hay estudios. Por lo anterior, el objetivo de la presente investigación fue evaluar la arquitectura de la raíz de cuatro portainjertos cítricos, influenciados por el contenedor y diferentes sustratos.
Materiales y métodos
La investigación se realizó en un vivero comercial, en Cazones Veracruz, México, ubicado a 20° 42´ LN. 97°18´ LO, a 10 m de altitud, con temperatura promedio anual de 25°C y el clima es trópico húmedo (INEGI 2023). El experimento se estableció en un invernadero, protegido con plástico de polietileno blanco lechoso. Se utilizaron 100 semillas certificadas de los portainjertos naranjo agrio (Citrus aurantium L.), citrange C-35 (Citrus sinensis X Poncirus trifoliata cv C-35), lima rangpur (Citrus Limonia Osbeck) y limón volkameriano (Citrus volkameriana Ten & Pasq.), provenientes del mismo vivero. Cada portainjerto se sembró por separado en charolas de plástico (40 x 60 x 15 cm), que contenían una mezcla de turba-agrolita-vermiculita (3:2:1 v/v/v), las semillas se colocaron manualmente, con el ápice hacia abajo a 2 cm de profundad y se aplicaron riegos constantes para mantener la humedad, durante esta fase de germinación no se presentaron plagas ni enfermedades.
Cuando las plántulas presentaron de 10 a 12 cm, con dos pares de hojas, se trasplantaron en tubetes cilíndricos de 1 L de capacidad (20 x 10 x 8 cm), cada contenedor tenía ocho aristas verticales en la pared interior. Como sustratos se utilizaron las siguientes mezclas: turba-agrolita (4:1, v/v), tierra vega-tepojal (3:1 v/v) y arena sola, las mezclas utilizadas se homogeneizaron, y a los tres materiales se les adicionó 40 g de fertilizante Osmocote® (NPK 14-14-14) por cada 80 L de sustrato o suelo, luego se humedecieron a capacidad de campo y los tubetes se llenaron manualmente, se sembró una planta por contenedor y se colocaron en estructuras metálicas a 70 cm de altura, según los tratamientos, respectivamente. Los riegos se realizaron diariamente, al principio se utilizaron 50 mL, posteriormente 80 y hasta 150 mL de agua, por tubete.
El diseño experimental fue un factorial en arreglo de bloques completos al azar (BCA), los factores estudiados fueron 4 portainjertos y 3 sustratos (4*3), de esta combinación resultaron 12 tratamientos, cada uno con 4 repeticiones, en total se sembraron 80 plántulas de cada portainjerto. A los seis meses después del trasplante se realizó un análisis destructivo; para ello, al azar se seleccionaron tres repeticiones de cuatro plantas por tratamiento, cada tubete con su respectiva planta, se etiquetó, se colocó dentro de una bolsa de plástico, se pusieron en cajas y se trasladaron al Colegio de Postgraduados, Campus Montecillo; donde, las variables respuesta evaluadas fueron: altura de planta (cm), arquitectura de la raíz, se contó el número de raíces de acuerdo a los diferentes órdenes, con regla metálica se midió la longitud (cm) de raíces y con vernier (vernier Truper Stainless® Steel) el diámetro de cuello (mm), se utilizó una balanza electro-analítica (Scientech ZSA120) para la determinación del peso (g) de materia fresca y seca de la raíz.
Las imágenes de las raíces se obtuvieron con el uso de un Scaner HP Deskjet Ink Advantage 5525. Los datos se analizaron mediante el paquete estadístico SAS® 9.2, (SAS 2009), realizando un análisis de varianza (ANOVA) factorial y prueba de comparación de medias de Tukey (p ≤ 0.05) para factores principales e interacciones. La variable número de raíces de acuerdo al orden de desarrollo, por portainjerto, por sustrato y la interacción portainjerto-sustrato, fueron sometida a un análisis de regresión polinomial.
Resultados
Los cítricos presentan raíz pivotante, considerando que la raíz principal se une al cuello del tallo, y de ésta se generan las de segundo orden. En los portainjertos cítricos, el uso de contenedores cilíndricos de 1 L afectó el desarrollo de la parte aérea y longitud total de raíces, que mostraron diferencias estadísticas entre portainjertos. El portainjerto C-35 fue mejor en altura de planta a los demás portainjertos (p ≤ 0.05), superando por más del doble al naranjo agrio; esta diferencia pudo deberse a las características propias de cada uno (Tabla 1).
Tabla 1 Características morfológicas de cuatro portainjertos cítricos desarrollados en contendor.
| Portainjertos | Altura de planta (cm) | Diámetro de cuello (mm) | Longitud de raíz primaria (cm) | Longitud total de raíces (cm) | Peso de raíz (g) | |
|---|---|---|---|---|---|---|
| Fresco | Seco | |||||
| Naranjo Agrio | 31.71d | 3.15a | 16.69a | 1,359b | 7.22c | 1.66b |
| C-35 | 66.67a | 3.79a | 17.16a | 2,141.1a | 8.19bc | 1.89b |
| Lima Rangpur | 45.27c | 3.43a | 16.83a | 1,868.7ab | 8.7b | 1.94b |
| Limón Volkameriano | 50.19b | 5.57a | 16.59a | 2,333.2a | 11.51a | 2.29a |
| CV | 11.38 | 94.99 | 7.06 | 28.15 | 22.25 | 23.34 |
| DMS | 6.01 | 2.3 | 1.3 | 595.78 | 1.21 | 0.28 |
CV = Coeficiente de Variación; DMS = Diferencia Mínima Significativa. Medias con letras diferentes son estadísticamente diferentes (p ≤ 0.05).
En portainjertos de cítricos es común el injerto de yema, ello requiere de tallos con grosor superior al tamaño de ésta; para la variable diámetro de cuello, los cuatro portainjertos estadisticamente fueron iguales, pero numéricamente el limón volkameriano superó a naranjo agrio, C-35 y lima rangpur. La raíz primaria estuvo influenciada por el contenedor, en la base terminó su crecimiento; caso diferente a lo sucedido con la longitud total de raíces, las plantas de limón volkameriano se mostraron más vigorosas, comparado con el portainjerto naranjo agrio, se encontró una diferencia de 9.74 m, en longitud total de raíces, respectivamente. El peso fresco de raíz se relacionó con su longitud total, donde limón volkameriano fue estadísticamente mayor a los demás portainjertos y perdió 9.22 g de agua al deshidratarse.
Al analizar el efecto de la interacción sustrato-portainjerto se encontraron diferencias estadísticas (p ≤ 0.05) (Tabla 2). El portainjerto C-35 fue el que presentó mayor porte en los tres sustratos, superando a todos los tratamientos; sin embargo, al desarrollar en tierra vega-tepojal alcanzó su máxima altura, donde creció 20.46 cm más que cuando se desarrolló en turba-agrolita. El Naranjo agrio fue el de menor desarrollo aéreo, lo que indica que es un portainjerto de menor vigor, su crecimiento en tierra vega-tepojal fue mejor que en arena y turba-agrolita; mientras que, en todos los sustratos, el limón volkameriano y lima rangpur presentaron alturas promedio, comparado con los demás portainjertos, respectivamente.
Tabla 2 Interacción las características morfológicas de portainjertos cítricos sembrados en tubetes con diferentes sustratos.
| Sustratos | Portainjertos | Altura de planta | Diámetro de cuello (mm) | Longitud de raíz primaria | Longitud total de raíces (cm) | Peso de raíces (g) | |
|---|---|---|---|---|---|---|---|
| Fresco | Seco | ||||||
| Arena | naranjo agrio | 33.55cd | 3.35bc | 16.92a | 1492.4cd | 6.22ef | 1.68cde |
| C35 | 62.78b | 3.32bc | 17.53a | 2010bcd | 7.15def | 1.59cde | |
| lima rangpur | 39.85cd | 3.44bc | 17.38a | 2051bcd | 7.56cdef | 1.76cde | |
| limón volkameriano | 51.63bc | 4.55a | 16.57a | 1879.4cd | 10.55bcd | 2.06bcd | |
| turba+agrolita | naranjo agrio | 24.92e | 2.68c | 16.79a | 926.9d | 5.65f | 0.99e |
| C35 | 58.38b | 3.4bc | 17.39a | 1297.7cd | 6.21ef | 1.24e | |
| lima rangpur | 36.59de | 2.95c | 16.25a | 1340.5cd | 6.08f | 1.28de | |
| limón volkameriano | 40.71cd | 3.39bc | 16.28a | 1679.5cd | 8.89bcdef | 1.44de | |
| tierra vega+tepojal | naranjo agrio | 36.66de | 3.43bc | 16.36a | 1655.6cd | 9.78bcde | 2.31bc |
| C35 | 78.84a | 4.65a | 16.57a | 3115.5ab | 11.2bc | 2.81ab | |
| lima rangpur | 56.87b | 3.92ab | 16.88a | 2214.4bc | 12.46ab | 2.76ab | |
| limón volkameriano | 58.22b | 4.54a | 16.90a | 3440.7a | 15.06a | 3.38a | |
| CV | 10.95 | 10.51 | 7.33 | 25.27 | 16.68 | 16.89 | |
| DMS | 13.04 | 0.94 | 3.05 | 1200.6 | 3.66 | 0.81 | |
CV = Coeficiente de Variación; DMS = Diferencia Mínima Significativa. Medias con letras diferentes entre columnas son estadísticamente diferentes (p ≤ 0.05).
Con relación al diámetro de cuello del tallo, los portainjertos C-35, limón volkameriano y lima rangpur, desarrollados en tierra vega-tepojal, fueron igual entre sí, pero superiores a los portainjertos desarrollados en arena y turba-agrolita, evidenciando el efecto del sustrato en esta variable, que es usada como referencia para injertar. La raíz primaria se desarrolló hasta la base del contenedor; y, las de los diferentes órdenes se expandieron en todo el espacio del tubete, el limón volkameriano desarrollado en tierra vega-tepojal alcanzó 34.4 m de longitud total en un tubete de 1L, superando a C-35 con 3.25 m y estadísticamente fueron iguales; de la misma manera, la longitud total de raíz en limón volkameriano establecido en turba-agrolita presentó 17.61 m, menor que cuando desarrolló en tierra vega-tepojal, confirmando el efecto del sustrato en el desarrollo de las plantas, además de que existe relación entre el desarrollo de la parte aérea con las raíces. El limón volkameriano desarrollado en los tres sustratos obtuvo mayor biomasa de raíz, comparado con los demás portainjertos; sin embargo, la calidad radical de este portainjerto aumentó cuando desarrolló en tierra vega-tepojal.
En cítricos, las raíces secundarias se caracterizan por emerger de la raíz principal o pivotante, conforme van desarrollando se disponen en forma de espiral, las más largas se ubican próximas al cuello; pero cada portainjerto se comportó de diferente manera, siendo lima rangpur y limón volkameriano los que mostraron mayor cantidad de raíces y cuando se sembraron en tierra vega-tepojal presentaron mejor respuesta (Figura 1).

Figura 1 Naranjo agrio (a), lima rangpur (b), citrange C-35 (c) y limón volkameriano (d), desarrollados en arena.
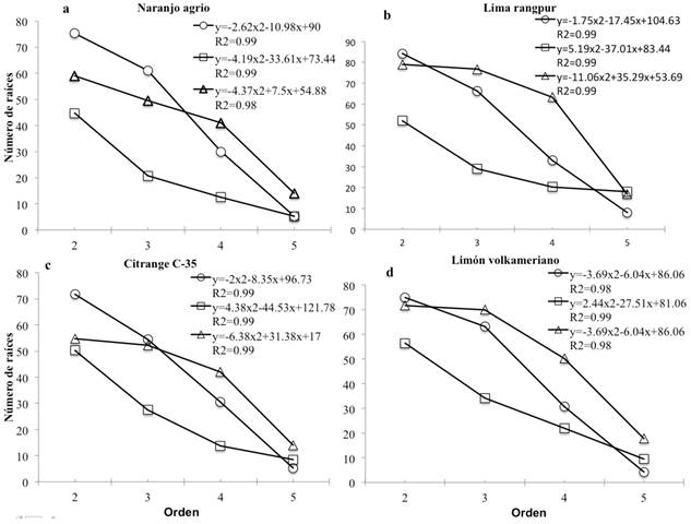
El número de raíces en los portainjertos disminuyó del segundo al quinto orden y la respuesta se ajusta a una ecuación polinomial, con R2 = 0.99 (Figura 2). Lima rangpur fue el portainjerto que produjo más raíces de segundo orden y C-35 el menor.
Al analizar el efecto del medio de enraizamiento en número de raíces por orden (Figura 3), cada sustrato mostró tendencia diferente (R2 = 0.99). El sustrato turba-agrolita fue el que presentó menor desarrollo de raíces de segundo, tercero y cuarto orden, se observó que las raíces de segundo orden superaron a casi el doble a las de tercero; en arena este suceso se encontró en las raíces de tercero, cuarto y quinto orden, y en tierra vega-tepojal hubo disminución entre las de cuarto y quinto orden.
En la interacción sustrato/portainjerto (Figura 4), el número de raíces desarrolladas en arena, de acuerdo a los diferentes órdenes, mostró similar tendencia para los portainjertos naranjo agrio, limar rangpur y limón volkameriano (Figura 4 a , b y d); y para C-35, el gráfico mostró una tendencia lineal con disminuciones semejantes para cada orden (Figura 4 c ). En turba-agrolita, el naranjo agrio y limón volkameriano (Figura 4 a y d), lima rangpur y C-35 mostraron tendencia similar (R2 = 0.99), pero cada portainjerto con diferente número de raíces, de acuerdo al orden establecido.

Figura 4 Dinámica del desarrollo de raíces de portainjertos cítricos, sembrados en arena (
), turba-agrolita (
) y tierra vega-tepojal (
).
En lima rangpur (R2 = 0.99), C-35 (R2 = 0.99) y limón volkameriano (R2 = 0.98) el desarrollo de raíces en tierra vega-tepojal mostraron una tendencia polinomial (Figura 4 b , c y d), similar en los diferentes órdenes; además, de que hubo poca disminución entre las raíces de segundo y tercer orden; y el naranjo agrio (Figura 4 a , con R2 = 0.98) presentó reducción constante entre las raíces de segundo, tercero y cuarto orden, además de que la disminución de raíces de cuarto a quinto orden fue similar en los cuatro portainjertos (Figura 1).
Las diferencias observadas entre portainjertos en función del sustrato, muestran importancia en el desarrollo de las plantas en contenedor y puede estar asociado a la disponibilidad del oxígeno, porque el aporte de agua y nutrimentos fue igual en todos los tratamientos.
Discusión
Considerando el material utilizado como sostén de las raíces, para el desarrollo de los cuatro portainjertos, tierra vega-tepojal es la mezcla indicada para el establecimiento de todas las especies evaluadas, en este sustrato las plantas mostraron mayor altura, seguida por la altura que originaron la arena y la turba-agrolita; de tal manera qué, estas diferencias observadas mostraron el efecto del portainjerto en el medio establecido (Pokhrel y Albreht 2024). El contenedor utilizado (tubetes cilíndricos de 1 L) permitió el desarrollo de raíces hasta que hicieron contacto con la pared; donde las aristas verticales presentes en el interior del tubete de 20 cm de largo, dirigieron el crecimiento hacia la base, luego hubo poda natural al estar en contacto con el ambiente, las diferencias en número y grosor son atributos del portainjerto y su edad (Budiarto et al. 2019), situación que coincidió con Rune (2003) , quien menciona que en Pinus silvestris L. los contenedores con paredes rígidas influyen en el desarrollo de raíces, lo que indica la importancia de la forma y tamaño del contenedor en la arquitectura de la raíz de las plantas (Allen et al. 2017, Castro-Garibay et al. 2018).
Las raíces secundarias después de 5 cm estaban dobladas hacia abajo lo que estimuló el desarrollo de raíces de tercero, cuarto y quinto orden, tal como lo indicaron Cruz et al. (2019), quienes señalan que las plantas producidas en contenedor tienen mayor cantidad de raíces de diferentes órdenes, lo que facilita el establecimiento en campo, lo anterior muestra que el tamaño y forma del contenedor influyen en la arquitectura de la raíz; además, del sustrato utilizado aunado a factores edafoclimáticos, por lo que es importante realizar más trabajos de este tipo en frutales para definir el tamaño del contenedor en el desarrollo de las plantas (Budiarto 2019).
La distribución de raíces en el sustrato fue en turba-tepojal, los portainjertos a excepción de C-35, presentaron mayor cantidad de raíces en el primer tercio de la raíz principal, cerca del cuello, este comportamiento contrasta con lo que indican Ryan et al. (2016), quienes señalan que la mayor cantidad de raíces se encuentran en la base; mientras que, en arena y en tierra vega-tepojal, las raíces de los cuatro portainjertos se distribuyeron en todo el sustrato; además, es importante señalar que en tierra vega-tepojal, se desarrollaron más raíces que en arena, mostrando el efecto del medio en la arquitectura de los cuatro portainjertos cítricos, y que a la vez presentan diferencias entre ellos, por lo que cada uno se desarrolla de forma única en cada sustrato, asociado al tiempo que requiere cada portainjerto en las diversas etapas de vivero, tal como se ha observado en forestales (Mariotti et al. 2015) y frutales (Elsysy y Einhorn 2022, Pokhrel y Albreht 2024).
La disminución de la cantidad de raíces fue consecutiva, por la generación constante de nuevas raíces cercanas a la raíz principal, pero al alcanzar la pared del contenedor y doblarse hacia abajo hubo disminución; y también al tamaño del contenedor (10 cm de diámetro en la parte superior y 8 cm en la base) tal como se observa en la Figura 1, este hecho confirma el efecto del contenedor en la arquitectura de la raíz (Cruz et al. 2019). En estudios realizados en plántulas de Quercus ilex en contenedor y semillero en suelo, se reporta que las plántulas en contenedor presentan sistema radical más extenso y mayor número de raíces de segundo y tercer orden (Souad y Amraoui 2020), como se observó en este estudio.
La cantidad de raíces mejoran la absorción y transporte de agua y nutrimentos, promoviendo el crecimiento y distribución en el contenedor (Pokhrel y Albrecht 2024), el sustrato y tubete intervienen en el desarrollo de la longitud total de la raíz, coincidiendo con lo realizado por Cruz et al. (2019), quienes mencionan que el desarrollo de raíces en tubetes largos mejoran la absorción y longitud de raíz; demostrando el efecto en la arquitectura de la raíz, situación que ha sido poco estudiada en frutales y forestales (Meneses et al. 2020, Souad y Amraoui 2020). En trabajos previos con plantas de roble (Quercus rubra L.) Hankin y Watson (2020) encontraron altas cantidades de raíces de segundo orden y un sistema de raíz fibroso, indicando que ello mejora la sobrevivencia y desarrollo inicial al ser trasplantadas en campo (Watson y Hewitt 2020), situación similar en raíces de este orden se encontró en esta investigación, dando a los cítricos amplias posibilidades de desarrollo al ser trasplantados en campo.
La diferencia entre la menor y mayor longitud de raíces fue de 25.14 m, lo que indica que el sustrato interviene de forma significativa en el desarrollo de las raíces de los portainjertos e influye de forma en las características de la raíz (Meneses et al. 2020). En las raíces de los cuatro portainjertos, hubo disminución desde el segundo al quinto orden; naranjo agrio y lima rangpur obtuvieron 42.5 y 39.31% en promedio; mientras que, en las de tercer orden variaron entre 31.39 y 33.14%, las de cuarto entre 19.90 y 21.33% y las de quinto orden de 5.84 a 7.82%, respectivamente.
Conclusiones
El sustrato Tierra vega-tepojal dió calidad al desarrollo aéreo y radical; sin embargo, el tubete modificó la arquitectura de raíz de los portainjertos. El Limón volkameriano mostró mayor longitud total de raíces, y en todos los portainjertos se encontraron raíces de segundo, tercero, cuarto y quinto orden, pero en número hubo disminución continua; raíces cercanas a la principal se encontraron en mayor cantidad y las de segundo orden se originaron dispuestas en forma de espiral a la superficie de la raíz primaria. La arquitectura de la raíz se relaciona con el sustrato y sus propiedades, contenedor y condiciones edafoclimáticas; situación que pudo encontrarse aquí, pero que requiere de mayor investigación para conocer este órgano, ya que de éste depende la calidad aérea.










nueva página del texto (beta)





