Introduction
Pinus (pine) and Quercus (oak) are 2 of the most ecologically and economically important genera in the mountainous regions of Mexico (Galicia et al., 2018). However, in Mexico, pine-oak forests experience constant anthropogenic activities that reduce and modify their populations (Galicia et al., 2015, 2018; Rzedowski, 2006), even in areas dedicated to conservation, such as natural reserves (Champo-Jiménez et al., 2012). Natural patterns of species distribution and diversity in mountainous areas are determined by environmental factors associated with altitudinal gradients (Callaway et al., 2002; Fontana et al., 2020; Rahbek, 2005; Whittaker, 1967). Therefore, analyzing the distribution patterns and diversity of pine-oak species along altitudinal gradients helps us understand the biotic (e.g., competition and predation) and abiotic (e.g., temperature and moisture) environmental factors associated with the altitudinal gradient that influence the processes that determine these patterns (McCain & Grytnes, 2010). This information is essential for the implementation of management strategies (e.g., restoration, forestry extraction) to ensure the long-term maintenance of these species (Martin et al., 2021; Ohdo & Takahashi, 2020).
In montane forests, where the pines and oaks are distributed, environmental conditions and resource availability vary across altitudinal gradients (Whittaker, 1956; Zhou et al., 2019). Temperature decreases and relative humidity increases at higher elevations (Barry, 2008). Slope orientation also influences these variables, as south-facing slopes receive more solar radiation in the Northern Hemisphere, making them relatively more xeric than north-facing slopes (González-Tagle et al., 2008). These different conditions determine the distribution of tree species and tree diversity across elevational gradients (Brambach et al., 2017; Martin et al., 2021; Toledo-Garibaldi & Williams-Linera, 2014; Whittaker, 1956).
In montane forests, elevation also affects alpha diversity (species richness at the local scale). Two contrasting patterns have been proposed. First, a hump-shaped pattern in which species diversity peaks in the middle parts of the elevation gradient, and second, a monotonic decline in which species diversity decreases with increasing elevation (Rahbek, 2005). In addition, the elevation gradient also influences patterns of beta diversity; these patterns include a change or substitution of species along the elevation gradient, and nesting, in which species are added or lost but not replaced (Baselga & Orme, 2012). In some Mountain environments, dissimilarity increases with elevation gradient, while in others it decreases with elevation (Fontana et al., 2020; Sabatini et al., 2017; Wang et al., 2002). However, alpha and beta diversity patterns along elevation gradients have been little evaluated in tropical montane forests dominated by pine and oak species in central Mexico.
Pine and oak forests are among the most vulnerable environments to the effects of global warming (Galicia et al., 2015). With increasing temperatures, the distribution and diversity of pines and oaks will be affected (Alfaro-Reyna et al., 2019), especially in montane areas. Therefore, it is essential to document the actual distribution patterns of species and their diversity, especially those with high ecological and economic relevance, such as pines and oaks (Galicia & Zarco-Arista, 2014). This information is essential for projecting the potential future distribution of species as global temperatures increase (Villers-Ruiz & Trejo-Vázquez, 1997). These data will also allow us to predict which species will be most vulnerable to such changes. Furthermore, this information is useful for improving management and conservation strategies at the local scale, especially in areas of high conservation importance where forest exploitation also occurs, as in the case of the Monarch Butterfly Biosphere Reserve (MBBR) located in the states of Mexico and Michoacán, Mexico.
The MBBR is an area of extreme importance for the conservation of the winter migration of Danaus plexippus L. (Monarch butterflies) from eastern Canada and the USA to Mexico. Conservation of this phenomenon is linked to the integrity of the tree community, particularly the Abies religiosa (Kunth) Schltdl. & Cham., trees on which these insects perch. The forests of the MBBR are also crucial for conservation due to the high biodiversity they contain, with approximately 694 plant species recorded in the core zone (Cornejo-Tenorio & Ibarra-Manríquez, 2017). Given that this Natural Protected Area has already been created, it should serve to preserve the pine and oak species present in the MBBR, as well as the environmental services they provide to the inhabitants of the region.
Within the MBBR, the highest number of oak species grow at elevations below 3,000 m, mainly in the buffer zone, where most legal and illegal human activities take place (Cornejo-Tenorio & Ibarra-Manríquez, 2017). These activities include logging and land use conversion to agriculture (Champo-Jiménez et al., 2012; Navarrete et al., 2011; Vidal et al., 2014). Recently, avocado plantations have been detected also at lower elevations (Sáenz-Ceja & Pérez-Salicrup, 2021). In the MBBR, most tree studies focus on Abies religiosa (Kunth) Schltdl. & Cham, the monarch butterfly host species, and Pinus pseudostrobus Lindl., the most economically important species in the zone (Gómez-Pineda et al., 2020; Sáenz-Ceja & Pérez-Salicrup, 2020). However, few studies have analyzed the distribution patterns and diversity of the remaining pine and oak species.
The main objective of this study was to document the distribution of pines and oaks in the MBBR along an elevation gradient from 2,250 to 3,300 m. In particular, we evaluated patterns of distribution, dominance, and alpha and beta diversity of pine and oak species. We expected to find alpha diversity patterns associated with elevation and a well-defined species turnover along the elevation gradient, with oaks dominating at lower elevations and pines at higher elevations.
Materials and methods
We conducted this study in the Monarch Butterfly Biosphere Reserve (MBBR), located between Estado de México and Michoacán, Mexico (19°44’27” and 19°18’32” N, 100°22’26” and 100°09’07” W). The MBBR covers 5.63 × 103 ha, divided into 3 core zones (with a total area of 1.36 × 103 ha) and 2 buffer zones (with a total area of 4.27 × 103 ha; Conanp, 2001; Fig. 1). Seventy-seven percent of the MBBR area consists of mountains and hills, while the rest consists of small valleys. Eighty percent of the area belongs to 59 ejidos (a form of communal land ownership) and 13 indigenous communities, while the rest belongs to the federal or state governments (Conanp, 2001).

Map by M.I. Ramírez.
Figure 1 The dotted grey line represents the most part of the Monarch Butterfly Biosphere Reserve (the Chincua-Campanario-Cerro Pelón block), excluding Cerro Altamirano. Polygons with dashed black lines represent the core zones of the MBBR. Black circular dots indicate the location of sampling points along the altitudinal gradient.
Elevations in the MBBR range from 2,030 to 3,640 m. Annual precipitation ranges from 800 to 1,500 m, while the mean annual temperature varies from 8 to 22 °C. It is a mountainous system where steep slopes, the altitudinal gradient, and the different slope orientations create microclimatic differences in humidity and precipitation (Carlón-Allende et al., 2015; Conanp, 2001; Giménez-de Azcárate et al., 2003).
Using satellite imagery from Google Earth, we identified the locations where 6 altitudinal transects of continuous forest cover could be established. These transects were located in the larger southern portion of the MBBR (Chincua-Campanario-Cerro Pelón corridor). We omitted Cerro Altamirano, a separate part of the MBBR, because it does not have a wide elevation gradient with continuous forest cover. Three transects were placed on north-facing slopes and 3 on south-facing slopes. Of these 6 transects, 2 were located in the southern area of the reserve, 2 in the central area, and 2 in the northern area, then, 32 circular points were established every 150 m within each transect, covering an elevation range from 2,250 to 3,300 m (Sáenz-Ceja & Pérez-Salicrup, 2019). At lower and higher elevations, the forest cover is very discontinuous, and not all transects reached the maximum or minimum elevation levels; therefore, the number of points in each transect ranges from 5 to 7.
At each point, a standardized sample of 25 trees of the dominant genera in the area (Pinus and Quercus) with diameter at breast height (DBH; 1.3 m) ≥ 10 cm located between 0 and 60 m from the central coordinate was selected. To estimate the area of each circular plot, we used the distance from the central coordinate to the furthest measured tree as the radius of the circle. These distances ranged from 12 to 60 m. In the field, we confirmed that the points were covered by natural pine and oak stands and were not forest plantations or agricultural fields. We identified all tree species in the field, except for some oak individuals for which we collected botanical samples. We then identified them in the laboratory of Ecología y Manejo de Recursos Forestales, UNAM, and with the help of experts in the vegetation of the MBBR.
To evaluate the dominance of pine and oak species along the altitudinal gradient, we used abundance rank-curves, for which we estimated the percentage of proportional abundance of each species (Magurran, 2004). To assess whether altitudinal gradient and slope orientation influence oak and pine density and basal area, we performed second-order Generalized Linear Models (GLMs) with gamma distributions using the MASS package (Venables & Ripley, 2002) in the open-source R software 4.3.2 (R Core Team, 2023).
To conduct diversity analyses, we first ensured that the sampling effort at each point was adequate by estimating sample coverage with upper and lower 95% confidence intervals to validate the alpha diversity comparisons we made (Chao & Jost, 2012: Chao et al., 2020, 2023). With this standardized approach, it is possible to quantify, estimate, and compare richness between communities, even if the sampling points are of different sizes (Chao et al., 2020, 2023; Moreno, et al., 2011). We then estimated alpha diversity at points of elevation and slope orientation as a function of species abundance distribution. We used Hill’s numbers (Hsieh et al., 2016; MacArthur, 1972), which analyze 3 orders of diversity. The first order (q0) estimates species richness or the number of species per unit area; the second order (q1; equivalent to the exponential of Shannon’s diversity index) estimates the number of common species; the third order (q2; equivalent to the inverse of Simpson’s diversity index) counts the number of dominant species. To perform this analysis, we used the iNEXT package (Hsieh et al., 2016). We conducted an analysis to determine if the area of the sampling point influenced the species diversity recorded. We estimated alpha diversity per hectare and determined its correlation with altitudinal gradient and slope orientation. We also analyzed whether the altitudinal gradient explained the order of diversity (q0, q1, q2). For all these analyses, we used second-order generalized linear models (GLMs) with gamma distributions (Venables & Ripley, 2002) in the open- source R software 4.3.2 (R Core Team, 2023). Next, we computed the average dissimilitude, turnover, and nesting of species along the altitudinal gradient to estimate beta diversity using the Jaccard index for every sampling plot. The standardized number of individuals recorded across the elevation gradient allows us to compare sampling sites even if we have different areas. Finally, we evaluated whether the elevation influences the average species turnover and nesting through a first and second-order linear model. We used the open- source R software (version 4.3.2) program to perform all analyses.
Results
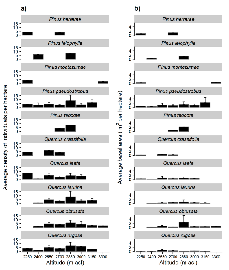
Pine and oak species abundance and distribution. We measured 749 individuals on 10.4 ha; 466 individuals belonged to the genus Pinus, 423 individuals (91%) were Pinus pseudostrobus and the rest of the pine species had only 9% of the individuals (Table 1). The remaining 283 individuals belonged to the genus Quercus; 155 were Quercus laurina Bonpl, the rest 128 were from the other 4 species (Table 1). The individuals belonged to 10 species, 5 in each genus. Pinus pseudostrobus and Quercus laurina had the largest distribution ranges, the highest number of individuals, and the largest basal area (Fig. 2a, b). We recorded P. pseudostrubus and Q. laurina at most points along the altitudinal gradient and on the northern and southern slopes. Q. laurina showed the highest density values at 2,850 m. Pinus herrerae Martínez and Pinus leiophylla Schiede ex Schltdl. & Cham showed disjunct ranges, being absent at most elevations of the altitudinal gradient. Similarly, Pinus montezumae Lamb. was recorded at the lowest (2,250) and highest (3,330) elevations, but not at the intermediate elevations (Fig. 2a). Two pine species, P. leiophylla, and P. montezumae, were recorded only on south-facing slopes (Table 1). We did not find clear patterns of pine and oak being associated with a particular elevation range.
Table 1 Number of individuals of each pine and oak species recorded on the north and south slopes of the MBBR.
| Species | Northern slope | Southern slope | Total |
|---|---|---|---|
| Pinus pseudostrobus Lindl. | 176 | 247 | 423 |
| Pinus montezumae Lamb. | 0 | 19 | 19 |
| Pinus herrerae Martínez | 11 | 1 | 12 |
| Pinus leiophylla Schiede | 0 | 5 | 5 |
| ex Schltdl. & Cham. | |||
| Pinus teocote Schied. ex Schltdl. & Cham. | 1 | 6 | 7 |
| Quercus laurina Bonpl. | 70 | 85 | 155 |
| Quercus obtusata Bonpl. | 32 | 13 | 45 |
| Quercus crassifolia Bonpl. | 18 | 14 | 32 |
| Quercus laeta Liebm. | 8 | 23 | 31 |
| Quercus rugosa Née | 12 | 8 | 20 |
| Total | 328 | 421 | 749 |

Figure 2 Abundance and distribution of pine and oak species in the MBBR: a, mean density of pine and oak species at different elevation points; b, mean basal area/ha of pine and oak species across the elevation gradient. No error bars are shown for species recorded in only one plot.
No single species was present across the entire elevation gradient, but 4 oak species had few individuals at almost all elevation points (Fig. 3). Pinus pseudostrobus was the dominant species (with the highest mean relative abundance), across most of the altitudinal gradient, except at the extremes, followed by Quercus laurina. The lowest altitudinal points (2,250 m) were dominated by the genus Quercus and the highest (3,300 m) by P. montezumae. Although Pinus dominated along the gradient, we found more oak species than pine species at most elevations (Fig. 3). The density of individuals was not associated with the elevation gradient (F2, 29 = 2.4, p > 0.05), nor with the orientation of the slopes (F1, 30 = 0.29, p > 0.05). Basal area was associated with the altitudinal gradient, showing a lower basal area at the extremes of the altitudinal gradient (2,250 and 3,300 m; F2, 31 = 3.95, p = 0.03).

Figure 3 Rank-abundance curves based on the percentage of mean relative abundance of pine and oak across the altitudinal gradient in the MBBR, Mexico. P. pse = Pinus pseudostrobus, P. teo = Pinus teocote, P. mon = Pinus montezumae, P. lei = Pinus leiophylla, Q. lau = Quercus laurina, Q. lae = Quercus laeta, Q. obt = Quercus obtusata, Q. rug = Quercus rugosa, Q. cra = Quercus crassifolia.
Alpha diversity. According to the sample coverage analysis, the samples in the plots were equally complete, with values above 90% (Appendix). The species richness per ha did not differ significantly between the northern and southern slopes (F1, 30 = 0.25, p > 0.05). On the other hand, none of the diversity orders analyzed (q0, q1, q2) showed a defined distribution pattern, either hump-shaped or with a monotonic decrease (Fig. 4a, b). Diversity orders q0 (F1, 29 = 0. 46, p > 0.05) and q1 (F1, 29 = 0.16, p > 0.05) were not explained by altitudinal gradient. However, order q2, which focuses on dominant species, was associated with the altitudinal gradient (F1, 29 = 0.56, p = 0.001), showing higher dominance at higher and lower altitudinal points (Fig. 4a). The area of the sampled point did not influence the diversity patterns found (F1, 28 = 0.02, p > 0.05).

Figure 4 a, Species diversity at different altitudinal positions in the MBBR; b, species diversity at the different points and in the north- and south-facing slopes. q0 corresponds to the total number of species, q1 to the number of common species, and q2 to the number of dominant species. The sampling coverage was acceptable in the 32 points studied.
Beta diversity. Pine and oak species did not show a pattern of increasing or decreasing species turnover across the elevation gradient. The pattern found was more similar to an inverted hump. The average floristic dissimilarity between sites was moderate 0.50 ± 0.27 (x̅ ± SE), and the model showed a quadratic effect of elevation explaining 65% of the residual variance (F5.2 = 7.77, p = 0.02; Fig. 5a). On average, the dissimilarity between sites due to species turnover was 0.32 (se = 0.1), and the elevation gradient explained 62% of this variance (F5.2 = 13, p = 0.01; Fig. 5b). The highest mean values of turnover occurred at the lowest elevation point, 2,250 m (0.56), and at the highest elevation zone, 3,300 m (0.76), with the lowest mean values at the 3,000 m point (0.33). Beta diversity associated with nesting was 0.18 (se = 0.1), and elevation explained 50% of the residual variance (F5. 2 = 7.88, p = 0.03; Fig. 5c).

Figure 5 Beta diversity of pines and oaks across the elevation gradient in the MBBR: a, species dissimilarity including species turnover and nesting; b) dissimilarity associated with species turnover only across the elevation gradient; c) dissimilarity associated with species nesting only across the elevation gradient.
Discussion
Distribution patterns and alpha diversity of pines and oaks in the MBBR were not associated with the elevation gradient. The results suggest that the distribution and diversity of most of these species in the study area were not determined by environmental factors related to the elevation gradient (e.g., relative humidity and temperature). In other studies, conducted with pines and oaks in Michoacán and in Oaxaca, Mexico (Martin et al., 2021; Maza-Villalobos et al., 2014), pine and oak species diversity showed a clear pattern of distribution and alpha diversity associated with the altitudinal gradient. We consider that it is necessary to carry out more research in the MBBR to determine if the lack of association between the distribution patterns and diversity of pine and oak species with the environmental factors associated with the altitudinal gradient is related to anthropogenic disturbances (Champo-Jiménez et al., 2012; Navarrete et al., 2011).
Pines and oak dominance and distribution. In the MBBR, the most dominant (abundant) species along the altitudinal gradient and between the northern and southern slopes was P. pseudostrobus. It should be taken into account that this species is the most commonly used in reforestation programs (Vicente, 2020), which could also favor its current high dominance. For example, between 2001 and 2012, the MBBR experienced an episode of massive illegal logging that affected approximately 2179 hectares of forest. Through intensive reforestation, a large part of the affected tree cover in the area has been restored (Ramírez et al., 2019; Vidal et al., 2014). These reforestations have used the most economically relevant species in the area and the species where the monarch butterfly roosts A. religiosa and P. pseudostrobus (Conanp, 2001; Vicente, 2020). These biases may have influenced the reduction of populations of less common pine species.
In contrast to P. pseudostrobus, we found that the less abundant pine species (subdominant), P. montezumae, P. herrerae, P. leiophylla, and P. teocote, have restricted distributions with few individuals. These species are widely distributed at the national level (Herrera-Hernández & Escobar, 2021), and large populations of P. herrerae have been recorded in regions surrounding the MBBR (Cornejo-Oviedo et al., 2004). There is also evidence that P. montezuame has very similar distributional niches to P. pseudostrobus in the Neovolcanic system of central Mexico, where the MBBR is located (Manzanilla-Quiñones et al., 2018). However, based on our results, populations of these subdominant less abundant pine species may be at risk of local extinction.
Although oak species richness was higher than pine species richness, oak species had fewer individuals at most points along the altitudinal gradient. The most dominant oak species was Quercus laurina , which has a wide altitudinal and distributional range in Mexico (Valencia, 2004). This higher diversity of oak species along the altitudinal gradient may be associated with the fact that oak wood is not as commercialized as pine wood in the MBBR and in Mexico (Semarnat, 2018), and in turn, may not be as heavily harvested as species of the genus Pinus. Most oak species in the MBBR, and Mexico, are used for firewood or charcoal, but they have several other non-timber-associated usages, which may promote their conservation (Luna-José et al., 2003).
We did not find an association between the density of individuals and the orientation of the slope, but we found 2 pine species distributed only on south-facing slopes, P. leiophylla and P. montezumae. This slope receives more solar radiation (González-Tagle et al., 2008). Due to the low number of individuals that we recorded for both species, we cannot conclude that both are naturally distributed only on slopes with southern orientation. It could be that their populations have been eliminated from the northern slopes by anthropogenic activities.
Pine and oak alpha diversity. Patterns of alpha diversity were not associated with the altitudinal gradient. We expected to find either one of the most commonly reported patterns, i.e., monotonic decreasing or hump-shaped (McCain & Grytnes, 2010; Rahbek, 2005). Therefore, in the area, variables associated with elevation (e.g., temperature and moisture) do not determine species alpha diversity patterns. Again, past human disturbances may be shaping these tree communities.
According to the list of tree species recorded in Michoacán by Cué-Bär et al. (2006), the MBBR harbors considerable oak species richness, with 12 species reported, representing about one third of the 35 oak species recorded for the entire state of Michoacán. In our study, we recorded only 5 of these 12 oak species. The lack of representation of the remaining 7 oak species could be because we did not sample in Cerro Altamirano, a detached part of the reserve located 27.4 km north of the main part of the reserve. We also did not sample at Cerro Pelón, located to the south of the MBBR, because the vegetation elevation gradient at this last site did not meet the sampling criteria for this study due to the lack of contiguous forest cover. The missing species include Q. candicans, Q. castanea, Q. crassipes, Q. desertícola, Q. glabrescens, Q. greggii, and Q. martinezii. The lack of representation of these oak species in our sample may indicate that they are located within sites with special conditions or that their current densities are very low.
Similarly, 7 pine species have been reported in the MBBR (Cornejo-Tenorio & Ibarra-Manríquez 2017; Marlès et al., 2015). Of the 5 pine species we recorded, P. teocote, P. montezumae, and P. herrerae had not been documented in the MBBR in previous studies (Cornejo-Tenorio & Ibarra-Manríquez, 2017). This may be because we sampled in the buffer zone of the reserve, where we recorded P. teocote and P. herrerae, and not only in the core zone where Cornejo-Tenorio & Ibarra-Manríquez (2017) conducted their study. We did not record 2 pine species previously reported in the MBBR, Pinus hartwegii (Cornejo-Tenorio & Ibarra-Manríquez, 2017) and P. devoniana (Marlès et al., 2015). The former species is distributed at elevations above 3000 m and was collected at Cerro Pelón, where we did not sample. The latter is distributed at elevations below 2,400 m, so its abundance may be very low at the elevations included in this study. Nevertheless, half of the pine species recorded in the state of Michoacán (15 spp.; Cué-Bär et al., 2006) have been reported to occur in the MBBR. As we suggested for the oak species not present in our sample, it is possible that these pine species are found in low-density sites of the MBBR under specific microsite conditions. It is important to note that current forest management strategies focus on reforestation and protection of economically important species (e.g., Pinus pseudostrobus), which could affect the distribution of the remaining species.
The richness of pine and oak species in this study was comparable to other studies that have evaluated the distribution and diversity of these genera in mountainous areas of Mexico. For example, we recorded species richness similar to that reported by Zavala et al. (2007) for a temperate forest in the Chiapas highlands of southern Mexico. The authors recorded 6 pine and 6 oak species along an altitudinal gradient of 1,100 m (1,500 to 2,600 m). However, they considered lower elevations than those we analyzed (< 2,250 m). In another study conducted in the Cuitzeo Lake basin in Michoacán, Mexico, closer to the MBBR, Aguilar-Romero et al. (2016) recorded 9 oak species in an altitudinal gradient from 1,768 to 3,428 m. The higher diversity of oaks in the Cuitzeo Lake basin compared to the MBBR could be explained by the fact that the former study covered a larger area (402,600 ha) and a wider altitudinal range than our study, including plots at lower elevations where oaks are dominant. Similarly, in a study conducted in Oaxaca, Mexico by Martin et al. (2021) on a 900 m gradient (2,300-3,200 m) in a managed area of 9,554 ha, the authors recorded 10 oak and 8 pine species. Although the MBBR is subject to constant anthropogenic disturbance, the area still supports a high diversity of pine and oak species.
Pine and oak beta diversity. Although we found that species dissimilarity was associated with the altitudinal gradient, it did not present an increasing or decreasing pattern along the altitudinal gradient as found in other studies (Nanda et al., 2021; Fontana et al., 2020; Sabatini et al., 2017; Wang et al., 2002). The most significant dissimilarity between sites was caused by the different species present at the lowest and highest points of the altitudinal gradient, with less dissimilarity at intermediate elevations, forming an inverted hump. This pattern of dissimilarity may be due to the high dominance of Pinus pseudostrobus and Quercus laurina at intermediate points and their low density at the extremes of the elevational gradient.
According to Socolar et al. (2016), when dissimilarity occurs due to species turnover, diversity can be conserved by maintaining landscape heterogeneity and conserving as much area as possible. In the case of the MBBR, dissimilarity is produced by both species turnover and nesting, so in order to preserve the biodiversity of the area, it is essential to conserve both the most diverse sites and the most distant sites where the greatest floristic turnover occurs.
Considering the conservation importance of the MBBR and the fact that most of the pine and oak species have restricted distributions with few individuals, it is necessary to re-direct the management and conservation strategies applied in the area. MBBR management plans do not consider the distribution and diversity patterns of plant species in the area because there is little information on these patterns. Without adequate planning, activities carried out in the biosphere reserve could affect the diversity and distribution of pine and oak species, resulting in the local extinction of less abundant (subdominant) species.
To protect and maintain the biodiversity found in the MBBR, it is essential that reforestation and management strategies not only focus on tree species that host the monarch butterfly (A. religiosa) or the most economically important pine species, such as P. pseudostrobus. It is also essential to consider sensitive species and other species that are also of high ecological, economic, and cultural importance. In particular, management strategies must assess the vulnerability of populations of subdominant pine and oak species in the area and design their management strategies on this basis. Maintaining the integrity of ecosystems is essential to sustain all the processes and ecosystem services they provide. For example, inventories of species and their abundance must be made to protect those with limited distribution and low densities. Forest plantations with different species are also needed to reduce the pressure of logging in natural forests (Ghazoul et al., 2019). These strategies must focus on sustainable development, seeking to ensure a stable economy and the well-being of the inhabitants of the MBBR, as well as protecting the biodiversity of ecosystems and the ecosystem services they provide.
Furthermore, it is necessary to determine the disturbance regimes occurring in the area, their dynamics, and their influence on the recruitment and regeneration processes of the different pine and oak species. For example, to preserve the natural dynamics of these ecosystems, anthropogenic disturbances should ideally simulate natural disturbances (North & Keeton, 2008). Finally, the lack of a well-defined distribution pattern and the alpha and beta diversity associated with elevation make it difficult to predict how species will respond to altered disturbance regimes in the future due to climate change.
Limitations and suggestions. Our study focused on 2 dominant genera in the vegetation of the MBBR, excluding other species, including A. religiosa. The distribution of that species has been evaluated in other recent studies (see Sáenz-Ceja & Pérez-Salicrup, 2020). The analysis was carried out at a local scale, which makes it difficult to determine whether the distribution and diversity patterns observed are inherent to subtropical montane forests or are exclusive to the MBBR, related to the forest management strategies implemented there. The lack of available information on the distribution patterns of pine and oak in Mexico has made it difficult for us to compare our results with other studies and, therefore, to draw solid conclusions about our findings. We believe it is essential to study the distribution patterns of pine and oak at the local and regional levels in other areas of the country to better understand their distribution in mountainous areas. Likewise, it is imperative to analyze the recruitment patterns of the subdominant species of the MBBR to assess their conservation status in the area.
In the MBBR, the distribution patterns and alpha diversity of pines and oaks did not show a well-defined pattern associated with the altitudinal gradient. These results suggest that variables associated with elevation (e.g., humidity and temperature) do not determine the distribution patterns and alpha diversity of the communities of these genera along the altitudinal gradient in the area. Anthropogenic factors, such as deforestation and inadequate reforestation strategies, must be evaluated in future studies because they are overriding the effect of evolutionary and biogeographic processes on the distribution of these species. In the area, P. pseudostrobus and Q. laurina were the dominant and most abundant species. The remaining pine and oak species showed restricted distributions with poorly defined patterns of species turnover. Activities such as logging, agricultural activities, and poor forest management may also influence the high dominance of P. pseudostrobus and the low density and restricted distribution patterns of the subdominant pine species.
Floristic dissimilarity is mainly due to species turnover, and although it is associated with the elevational gradient, it did not show an increase or decrease pattern as we expected, but rather a pattern in the form of an inverted hump, with more floristic dissimilarity at the extremes of the elevational gradient. The lack of well-defined species shifts along the elevational gradient makes it difficult for future studies to predict how species turnover will occur under the effects of climate change.










nueva página del texto (beta)




