Introducción
La interrupción voluntaria de uniones constituye uno de los cambios más notorios que ha experimentado la familia en las últimas décadas a nivel global. Concluida la primera transición demográfica (PTD), los patrones de formación familiar y reproducción adoptaron rumbos inesperados. La fecundidad cayó por debajo del nivel de reproducción, las uniones y la llegada de hijos ocurren a edades más tardías, y el matrimonio perdió su rol central dando paso a la cohabitación (Esteve, Castro y Castro, 2022),1 como una nueva forma de establecerse en pareja (Castro-Martin, 2002). La inestabilidad conyugal y familiar se intensificó en Europa Occidental, Estados Unidos, Canadá y Australia desde los años sesenta, convirtiéndose en uno de los elementos centrales de la teoría de la segunda transición demográfica (STD) (van de Kaa, 1987; Lesthaeghe, 1995).
Con algunas variantes, estas tendencias también han llegado a América Latina y México. Desde mediados de la década de los sesenta comenzó el descenso de la fecundidad, y alrededor de veinte años después, en los años ochenta y noventa, se aceleró el proceso de desinstitucionalización del matrimonio, seguido de un aumento de las interrupciones de las uniones (Esteve, Castro y Castro, 2022). Aunque el modelo de nupcialidad en la región se asemeja al europeo occidental debido a la influencia del matrimonio católico desde la época colonial, la histórica presencia de uniones informales (uniones libres, convivencias) marca la diferencia con dicho modelo en varios países de la región.
A este respecto puede afirmarse que, hasta fines del siglo pasado, los países del Cono Sur de América se inscribían dentro del modelo de matrimonio institucionalizado que enmarcaba la actividad sexual y reproductiva. En el resto de los países, incluidos aquellos de América Central y el Caribe, han estado presentes las uniones institucionalizadas e informales en distintas proporciones (Arretx, 1971; Camisa, 1978; Quilodrán, 1999; Esteve y Lesthaeghe, 2016). Esta dicotomía se desdibujó a fines del siglo pasado (1970 a 2000) con el incremento generalizado tanto de las uniones libres como de los divorcios y separaciones (Quilodrán, 2011). De esta manera concluiría la vigencia del modelo de nupcialidad institucionalizado y estable que predominó durante el siglo XX.
Este trabajo analiza las diferencias en los riesgos de disolución de las uniones en México, según el tipo de unión de origen: matrimonio o unión libre. El objetivo central radica en el estudio de la evolución por cohortes de la disolución de las primeras uniones en los últimos treinta años. Se revisa el tipo de disolución por divorcio y por separación según el tipo de la primera unión, diferenciando entre las separaciones de matrimonio, los matrimonios con convivencia previa y las uniones libres. Se busca constatar la relación entre la formalidad del vínculo conyugal y los niveles de disolución de uniones. Lo novedoso de esta investigación radica en la posibilidad de explorar estas diferencias desagregando las interrupciones de uniones según el tipo de disolución (separaciones de matrimonio, separaciones de uniones libres, o divorcios y separaciones de matrimonios con convivencia previa). Finalmente, se emplean modelos de sobrevivencia para identificar los factores que mejor explican los resultados encontrados, y sustentar eventualmente los hallazgos de la revisión de la literatura.
Antecedentes
Fuera del contexto latinoamericano, gran parte de la literatura se refiere a la disolución por divorcio, dada la predominancia, hasta hace poco, del matrimonio. El surgimiento de la “separación de hecho”, como manera informal de terminar un matrimonio, es relativamente nueva y está ligada al surgimiento de la “cohabitación” (uniones libres) en los países con nupcialidad inminentemente legal. En cambio, la informalidad en la formación y disolución de las uniones conyugales forman parte de la realidad tanto actual como histórica de gran parte de los países de América Latina.
La disolución de uniones: algunas explicaciones a nivel global
En un artículo consagrado a la revisión de la literatura posterior a 1990 sobre los factores que inciden en la disolución de las uniones en los países desarrollados,2 Lyngstad y Jalovaara (2010) los agrupan en: demográficos, socioeconómicos y relativos a las legislaciones nacionales. Entre los factores demográficos, el efecto neto de la cohorte es el que domina el discurso una vez controladas las variables de orden macrosocial, mientras que el efecto periodo no es tan relevante. También se constata que cuanto más temprana es la edad de la unión, mayor es la probabilidad de la disolución. La base de esta afirmación radica en factores de orden psicológico, como es la falta de madurez para elegir el cónyuge, los bajos niveles educacionales y el tener padres divorciados.
En cuanto al “efecto reductor” que ejercerían los hijos en los niveles de disolución de las uniones, todo apunta que es el primer hijo quien, durante sus primeros años de vida, juega un rol estabilizador; dicho papel se acentúa cuando se trata de hijos que nacieron en el seno de parejas casadas. Se argumenta que existe un “efecto selección” que estaría operando desde antes de la adopción de uno u otro tipo de vínculo conyugal.
Otro de los factores que se resalta es que el divorcio es más frecuente cuando los padres de uno o de ambos esposos están divorciados (Raymo, 2003; Raymo y Ono, 2007; Yu y Kuo, 2016; Wei-Hsin et al., 2019). Esta situación es conocida como transmisión intergeneracional de la disolución de uniones, que vincula las trayectorias demográficas de padres e hijos (Liefbroer y Elzinga, 2012; Liefbroer y Dourleijn, 2006; Amato y Patterson, 2017). La razón sería que los hijos que no han tenido contacto con los padres o hayan tenido poco, carecerían de referentes sobre los roles de padre o marido, o viceversa (Högnäs y Carlson, 2010; Perelli-Harris et al., 2017; Kim, 2020). Otra explicación en este mismo sentido afirma que los padres divorciados transmiten a sus hijos menores niveles de “compromiso”, que se traducen, a su vez, en mayores riesgos de disolución (Liefbroer y Dourleijn, 2006; Amato y Patterson, 2017).
El tipo de unión se ha convertido en una dimensión cada vez más presente en la investigación. Desde el momento en que la “cohabitación” se hace más prevalente, investigadores tanto europeos como americanos reconocen, como se mencionó anteriormente, que la disolución de las cohabitaciones es más frecuente que la de los matrimonios, aun cuando haya hijos en común. En los hechos, todo indicaría que el compromiso o la falta de éste produciría una autoselección. Así, la mayor formalidad propia del “matrimonio directo” -sin cohabitación previa- le conferiría un menor riesgo de disolución (Lyngstad y Jalovaara, 2010).
En cuanto a los factores socioeconómicos, los efectos de la educación sobre la disolución de las uniones es el mecanismo más estudiado. Lo que se ha constatado a este respecto es que el nivel de disolución puede aumentar con el grado de educación alcanzado (relación positiva); o puede, por el contrario, guardar una relación negativa. Aunque existen lugares donde todavía se sigue dando la relación positiva, la nueva tendencia es que a mayor educación, menores niveles de disolución (McErlean, 2024).
Respecto a la relación entre el empleo y los ingresos con la probabilidad de disolución, existen numerosos estudios referidos por Lyngstad y Jalovaara (2010), muchos de ellos con base en el modelo de Becker. Las conclusiones se inclinan por la independencia entre los ingresos y el riesgo de disolver la unión, pero se ha constatado también que el salario de la mujer, dada la libertad económica que le otorga, aumenta el riesgo de disolución. No obstante, todo indica que si el hombre cuenta con altos ingresos disminuye el riesgo, lo cual es distinto cuando la mujer es quien percibe los ingresos más elevados. Por lo demás, las mujeres que no trabajan, en una sociedad donde la mayoría lo hace, representan un grupo muy selecto que se expresa en bajas probabilidades de disolución, especialmente si están casadas. Es decir, el menor riesgo estaría asociado a la división de roles, más bien estricta, donde el hombre es el principal proveedor. Otras parejas que gozarían también de estabilidad serían las de los matrimonios o uniones libres con equidad de género. De este modo, las uniones con menos riesgo de disolución se ubicarían en los extremos: en uno, los matrimonios con una clara especiali- zación de los roles de género; y en el otro, las parejas con equidad de género.
Por último, Lyngstad y Jalovaara (2010) aluden a que los cambios en las normas y actitudes hacia la disolución de uniones pueden verse reforzados por las legislaciones. Sin embargo, donde la legislación ha tenido más impacto es en los apoyos que se otorgan a los niños luego de la ruptura del matrimonio de sus padres. Lamentablemente, el cumplimiento de las disposiciones legislativas a este respecto estaría lejos de ser acatado cabalmente.
Por su parte, Van Houdt y Poortman (2018) señalan que existen diferencias en las formas de vida de las parejas casadas y en unión libre. Distinguen diferentes “estilos de vida en pareja”, algunos más propicios que otros a la disolución de uniones. Consideran que el amor, la intimidad y el compañerismo forman parte de los beneficios fundamentales de la relación de parejas contemporáneas, a lo que Perelli-Harris y Bernardi (2015) denominan “cercanía emocional” de los cónyuges. La estabilidad de las parejas estaría relacionada entonces con el hecho de compartir actividades de esparcimiento, convivir con la familia y con los amigos, y tener presupuestos de gastos en común. Por el contrario, las parejas en uniones libres presentan estilos de vida más independientes. Estas diferencias sugieren que los valores de quienes cohabitan los inducen a preferir un estilo de vida más individual que los casados, que se expresa en evitar el riesgo de comprometerse en una relación más formal, como el matrimonio (van de Kaa, 1987; Lesthaeghe, 1995).
Cherlin (2016) acota la vigencia del modelo conyugal igualitario a las clases más privilegiadas. Afirma, que “los cónyuges más educados han sido capaces de sacar ventaja de esta posición en la economía globalizada para obtener ambos trabajos estables y bien pagados”. Los menos calificados han visto disminuir sus oportunidades en el mercado laboral y no están en una posición fácil para adoptar el nuevo modelo de vida conyugal. Así, Cherlin (2017) destaca ciertas regularidades respecto a la interrupción de uniones.3 Agrupa así las principales razones: 1) en la mayoría de los países la correlación entre clase social (educación) y divorcio se revirtió como lo previó Goode4 en 1993. No se sabe cuán acertadas serían estas afirmaciones tratándose de las convivencias; 2) después de un periodo de aumento acelerado, el divorcio ha comenzado a estabilizarse a niveles moderadamente altos; y 3) los procedimientos de carácter institucional relacionados con las consecuencias de las disoluciones se han reforzado en mayor medida en el caso de los divorcios que en el de las separaciones. Esto último abunda sobre la necesidad de distinguir entre divorcio y separación.
Teniendo en cuenta diferentes contextos geográficos, como en el caso de las sociedades musulmanas, los niveles de disolución han descendido básicamente como consecuencia del desarrollo económico y la postergación de la edad al primer matrimonio, ocasionada por la libre elección del cónyuge que se ha instalado. En India y en el resto del Sudeste Asiático la legislación autoriza el divorcio, pero la sociedad lo acepta difícilmente como solución a un matrimonio mal avenido. Por último, en el caso del África subsahariana, las encuestas DHS para 33 países5 han permitido constatar que el divorcio estaría bajando en la mitad de ellos. A pesar de los progresos económicos habidos, la formalización del matrimonio haría la diferencia: aquellas uniones que tuvieron dos o más ceremonias de matrimonio (civil, religiosa, tradicional) son las que experimentaron menos interrupciones.
Estos resultados refuerzan la mayor estabilidad que otorga el matrimonio. La moderación de divorcios en los países caracterizados por elevados niveles de este tipo de disolución (Hogendoorn y van den Berg, 2024) se debe a que en el mundo occidental estaría surgiendo un nuevo equilibrio de género dentro de los matrimonios y en las cohabitaciones de larga duración (Esping-Andersen y Billari, 2015; Goldscheider, Benrh- hardt y Lappegard, 2015). Es interesante porque en el siglo XX la negociación entre los esposos se fundaba principalmente en los roles especializados de hombre proveedor y mujer ama de casa. En cambio, en el siglo XXI este tipo de división de roles estaría siendo reemplazado por roles más igualitarios, donde los cónyuges comparten los ingresos obtenidos en sus trabajos fuera del hogar, así como el trabajo doméstico y la crianza de los hijos (Esping-Andersen y Billari, 2015; Goldscheider, Benrhhardt y Lappegard, 2015). Entre el abandono del primer modelo y la adopción del segundo se habría instalado en un periodo de inestabilidad provocado por los conflictos derivados de la negociación de condiciones más igualitarias en la distribución de las tareas, sobre todo dentro del hogar. Se supone que, una vez que exista consenso y aceptación de relaciones de pareja más equitativas, los niveles de disolución deberían moderarse (McDonald, 2000).
Niveles de disolución de uniones en América Latina
La peculiaridad del modelo de nupcialidad de América Latina ha sido la presencia de la unión libre en la gran mayoría de los países, aunque con intensidades distintas. Se pueden distinguir dos grupos de países: uno conformado por aquellos con una nupcialidad comparativamente tardía y eminentemente legal; y otro con una nupcialidad más bien precoz y parcialmente informal, es decir, las naciones donde las uniones libres han estado tradicionalmente presentes.
Esta distinción comenzó a atenuarse desde fines del siglo pasado, cuando inició en toda la región la expansión generalizada de las uniones libres, así como de las disoluciones de uniones. Sin embargo, hay que considerar que en el Cono Sur las interrupciones serían, en una primera etapa, básicamente de matrimonios. En el resto de la región, dada la coexistencia secular de ambos tipos de uniones, el proceso incluiría desde un comienzo tanto al divorcio como a la separación de matrimonios y uniones libres.
En realidad, la pregunta subyacente que aún no ha sido dilucidada es si las características de las mujeres en uniones libres que se añadieron a los contingentes existentes están conformadas por mujeres empoderadas, o bien, surge de mujeres con menor educación y con poco poder de negociación, particularidades asociadas a las uniones libres presentes históricamente en la región.
Las Estadísticas Vitales son la fuente tradicional para el estudio del divorcio. Sin embargo, su utilización conduce a una subestimación sistemática de la disolución de uniones cuanto más frecuentes son las uniones libres o cuantos más matrimonios terminan con separaciones, como en el caso de América Latina. El interés de su utilización reside en que constituyen las series estadísticas más largas y con más posibilidades de comparaciones a nivel mundial, pero éste debería ir menguando en la medida en que las uniones libres reemplacen a los matrimonios. Antes de que este cambio se acentúe, cabe dar algunos datos sobre los niveles de divorcio.
Así tenemos que las tasas de divorcio en México eran de 0.5 por mil antes de 1986; en 2013 alcanzaron 1 por mil; y en 2018 superaron algo esta cifra (1.2 por mil) (Suárez López, 2000; Quilodrán, 2019). En el resto de América Latina estas mismas tasas para el periodo 2014-2018 fluctuaron entre 0.5 por mil y 2.6 por mil; salvo en Cuba, que registró 2.9 por mil (Naciones Unidas, 2019). A modo de comparación, tenemos que en gran número de países europeos las tasas varían entre 1.5 por mil (Italia) y 2.5 por mil6 (Naciones Unidas, 2019).
Por su parte, los censos ofrecen una estimación más precisa de la amplitud del fenómeno de disolución de uniones desde el momento en que incluyen tanto a divorciados como a separados. Como ejemplo, en un análisis en el que se comparan las proporciones de mujeres y hombres en uniones disueltas entre 1970 y 2000 para nueve países de América Latina (datos IPUMS), tenemos que en 1970 en cinco de ellos las proporciones de mujeres fueron inferiores a 2% (Argentina, Chile, Colombia, Costa Rica y Venezuela); tres presentaron valores entre 2 y 3% (Brasil, Ecuador y México); seguidos por Panamá, con 7.5%. Entre las dos fechas casi todos los países multiplicaron sus proporciones de disolución de uniones entre 0.4 veces (Brasil) y 1.6 y 1.7 veces (Costa Rica y Colombia); salvo Venezuela, que las quintuplicó (5.1) (Quilodrán, 2011). Los censos han permitido también establecer dos constantes: la superioridad de los efectivos de mujeres sobre los de los hombres en uniones disueltas (dos a tres veces); y la menor proporción de divorcios que de separaciones (Ojeda y González, 2008; Quilodrán, 2001).
Las encuestas World Fertility Survey (WFS) levantadas en América Latina en los años setenta7 permitieron estimar las probabilidades de disolución dentro de los primeros cinco años de unión, mostrando que los países podían agruparse en tres categorías: México y Costa Rica con probabilidades menores a 10%; Ecuador, Perú, Paraguay y Colombia con probabilidades de 10 a 15%; y Venezuela, Panamá y República Dominicana con 17, 22 y 30% respectivamente (Smith, Carrasco y McDonald, 1984). Con estos mismos datos desagregados por tipo de unión, se constató un menor riesgo de disolución de los matrimonios que de las uniones libres. Las probabilidades oscilaron, en el primer caso, entre 4% en México y 10% en República Dominicana. Tratándose de las uniones libres, las cifras variaron entre 22% en Costa Rica y 41% en República Dominicana (Quilodrán, 1985). Estas diferencias permanecen, aunque han evolucionado al alza.
Para México se puede afirmar que, tanto a nivel rural como urbano, los niveles de disolución no superaron 7.5% de la población alguna vez unida hasta los años ochenta (Quilodrán, 1983; Ojeda y González, 2008). A finales de esa década, la proporción subió a 8.4%, y al arribar a los años 2000 se había duplicado (14%) (Quilodrán, 2000; Gómez, 2011; Pérez Amador, 2008).
Las investigaciones que han estimado los riesgos de disolución por generaciones y cohortes han mostrado que las generaciones de mujeres rurales de 1920 a 1924 que se unieron en su mayoría en el primer quinquenio de la década de los cuarenta, presentaron una proporción de uniones disueltas de 14.4% al final de su vida reproductiva (Quilodrán 1983), y en las generaciones de 1927 a 1931, pero esta vez a nivel nacional, fue de 14.6%; es decir, se registraron niveles muy parecidos entre el ámbito rural y el urbano, y entre los años cuarenta y cincuenta (Quilodrán, 1991).
Por otra parte, los primeros indicios de aumento de las probabilidades de disolución habrían aparecido a mediados de los años ochenta a partir de los siete años de duración de las uniones; sin embargo, el verdadero despegue se habría dado a partir de la cohorte 1990-1994, que supera a las anteriores desde la duración de un año, según información proporcionada por la Enadid 1997 y la Endifam 2005 (Quilodrán, 2000, 2010).8
Otros autores consideran que el cambio habría arrancado en las cohortes 1995-1999 (Solís y Puga, 2009; Solís y Ferraris, 2014). Por ello, se puede afirmar que, transcurridos cinco años de unión, los niveles de disolución fueron alrededor de 5% hasta 1990; y que a partir de esa fecha van en rápido ascenso: 24.8% en las cohortes 2005-2009 (Quilodrán, Hernández y Morales, 2015; Pérez-Amador y Ojeda de la Peña, 2016).
Finalmente, puede afirmarse que, en gran parte del mundo occidental, incluidos México y el resto de América Latina, está ocurriendo una redefinición de la vida en familia. La postransición demográfica (PTD) ha traído como consecuencia no solamente la reducción de su tamaño, sino también la instalación de arreglos conyugales no institucionalizados -ni civil ni religiosamente- y menos estables, a la vez que persisten edades a la primera unión que no se retrasan de manera sustantiva (López Ruiz, Spijker y Esteve, 2011). Estos cambios no se ajustan, en la mayoría de los países, a “ninguna de las grandes teorías sobre el cambio de la familia” (Esteve, Castro-Martin y Castro-Torres, 2022).
Fuentes de datos y metodología
La información requerida para efectuar la desagregación entre separaciones de matrimonios y separaciones de uniones libres se obtuvo de una combinación de preguntas del cuestionario individual de la encuesta Enadid de 2018. La limitación de esta información radica en que sólo permite el análisis de las mujeres alguna vez unidas con una sola unión sobreviviente o disuelta en el momento de la entrevista. Esta encuesta posee representación a nivel nacional, de entidades federativas y de tamaño de localidades.9
El tamaño de la muestra fue de 119 800 viviendas y resultaron elegibles 57 401 mujeres de 15 a 54 años. Las mujeres alguna vez unidas con una sola unión fueron 42 896. Con base en esta información, se analizaron los riesgos de disolución de uniones en México a través de tablas de disolución de uniones construidas mediante tablas de vida, donde la edad de las personas se sustituye por la duración de las uniones, y las generaciones de nacimiento por cohortes de matrimonios y de uniones libres celebradas entre 1984 y 2016. Se tiene en cuenta, además de la naturaleza de la primera unión (matrimonio, matrimonio con convivencia previa y unión libre), el tipo de disolución (divorcio, separación), así como la cohorte y la duración de las uniones. Este procedimiento da paso a la definición de ocho subconjuntos, los cuales se definen a continuación:
Disoluciones de primeras uniones para el total de mujeres alguna vez unidas.
Disoluciones de matrimonio.
Divorcios.
Separaciones de matrimonio.
Disoluciones de matrimonios con convivencia previa.
Divorcios de matrimonios con convivencia previa.
Separaciones de matrimonios con convivencia previa.
Separaciones de uniones libres.
El estudio concluye con la formulación de un análisis de sobrevivencia de uniones para las mujeres divorciadas (subconjuntos 2.1 y 3.1), separadas de matrimonio (subconjuntos 2.2 y 3.2) y separadas de uniones libres (subconjunto 4).10 Se emplea el modelo de riesgos proporcionales de Cox,11 ya que este método permite contemplar historias incompletas, es decir, aquellas mujeres que al momento de la encuesta no habían experimentado la disolución, aunque puede que suceda posteriormente. El objetivo principal es poder identificar la probabilidad que tienen las mujeres de concluir una primera unión dependiendo del tipo de ésta. Específicamente, el riesgo instantáneo de disolución en el tiempo t, condicionado a la supervivencia (continuar en una primera unión) hasta el momento t.12 Así, el riesgo de disolución está en función del tiempo y de las variables explicativas consideradas.
Como variables dependientes en el modelo de Cox se consideraron la duración de la unión y el estatus de ésta (no unida = 1; unida = 0) para cada uno de los tres grupos analizados: divorciadas, separadas de matrimonio y separadas de unión libre. Por lo tanto, el tamaño muestral varía entre los grupos (véase el Cuadro 1). Dada la naturaleza estadística del modelo de Cox, que utiliza una variable dependiente binaria, se tomaron en cuenta ciertas consideraciones metodológicas durante el proceso de modelaje. Para el análisis del grupo de divorciadas, se incluyeron únicamente mujeres expuestas al riesgo de divorcio, es decir, aquellas que estaban casadas, excluyendo a las que se separaron. De manera similar, para el análisis del grupo de separadas, se consideraron sólo mujeres casadas que no manifestaron haberse divorciado. Entre las variables independientes, la de particular interés es la convivencia previa al matrimonio. Ésta se incluyó únicamente en los análisis de los grupos de divorciadas y separadas de matrimonio, ya que sólo aplica en el contexto del matrimonio legal. Como variables de control se incluyeron: número de hijos, edad en la primera unión, nivel educativo, tipo de trabajo (doméstico o remunerado) y tamaño de la localidad.
Cuadro 1 Mujeres “alguna vez unidas” y en uniones disueltas de 15-54 años según tipo de primera unión y tipo de disolución por cohortes (para mil mujeres)
| Tipos de unión y disolución | 1984-1988 | 1989-1993 | 1994-1998 | 1999-2003 | 2004-2008 | 2009-2013 | 2014-2016 | Total |
| Matrimonio | 77.1 | 74.6 | 70.2 | 62.2 | 50.8 | 37.7 | 26.0 | 55.1 |
| (3 499) | (5 353) | (6 092) | (5 969) | (4 743) | (4 033) | (1 919) | (31 608) | |
| Divorcio | 4.1 | 4.5 | 3.8 | 3.0 | 2.2 | 1.3 | 0.5 | 2.6 |
| (186) | (326) | (332) | (29) | (204) | (138) | (39) | (1 516) | |
| Separación | 6.8 | 6.9 | 5.3 | 4.8 | 3.4 | 2.4 | 1.2 | 4.2 |
| (308) | (498) | (461) | (463) | (316) | (259) | (86) | (2 391) | |
| Uniones libres | 12.6 | 14.8 | 17.7 | 24.9 | 35.9 | 48.4 | 58.0 | 32.0 |
| (573) | (1 062) | (1 537) | (2 384) | (3 350) | (5 176) | (4 287) | (18 369) | |
| Separación | 3.1 | 3.6 | 4.0 | 5.1 | 5.9 | 8.3 | 7.6 | 5.6 |
| (139) | (259) | (346) | (485) | (551) | (882) | (565) | (3 227) | |
| Matrimonio con convivencia previa | 10.3 | 10.6 | 12.1 | 12.9 | 13.4 | 13.8 | 16.0 | 12.9 |
| (467) | (760) | (1 051) | (1 239) | (1 248) | (1 477) | (1 182) | (7 424) | |
| Divorcio | 0.4 | 0.5 | 0.4 | 0.5 | 0.4 | 0.4 | 0.2 | 0.4 |
| (19) | (33) | (39) | (51) | (37) | (41) | (17) | (237) | |
| Separación | 0.9 | 0.9 | 1.0 | 1.0 | 0.9 | 0.7 | 0.6 | 0.9 |
| (39) | (66) | (90) | (94) | (86) | (78) | (42) | (495) | |
| Total mujeres alguna vez unidas | 100 | 100 | 100 | 100 | 100 | 100 | 100 | 100 |
| (4 539) | (7 175) | (8 680) | (9 592) | (9 341) | (10 686) | (7 388) | (57 401) | |
| Total mujeres divorciadas y separadas | 15.2 | 16.5 | 14.6 | 14.4 | 12.8 | 13.1 | 10.1 | 13.7 |
| (691) | (1 182) | (1 268) | (1 384) | (1 194) | (1 398) | (749) | (7 866) |
Fuente: Elaboración propia con base en Enadid 2018.
Resultados
Uniones disueltas de las mujeres alguna vez unidas según la naturaleza de la primera unión y el tipo de disolución por cohortes
Las mujeres con una sola unión representan 88%13 del total de mujeres alguna vez unidas de 15 a 54 años entrevistadas en la encuesta Enadid 2018. El complemento a la unidad corresponde a la proporción de mujeres con dos o más uniones (12%).14 Las probabilidades de disolución serán estimadas respecto al primero de estos grupos, el cual en el momento de la entrevista se componía de 55.1% de casadas, 32% en uniones libres y 12.9% casadas con convivencia previa.
El interés principal, como ya se dijo, se limita al análisis del subconjunto de mujeres con primeras uniones disueltas, el cual representa 13.7% del total de mujeres alguna vez unidas en el momento de la encuesta. De este total, 22.3% están divorciadas, 36.7% separadas de matrimonio, y 41.0% separadas de uniones libres (Cuadro 1).
Por su parte, la disolución de uniones entre las mujeres que comenzaron su vida conyugal con una convivencia y luego contrajeron matrimonio alcanza a 9.3% con respecto al total de mujeres en uniones interrumpidas, que se compone de 3% de divorciadas y 6.3% de separadas. Aunque la naturaleza de este último grupo se asemeja más a una trayectoria que a una categoría de unión, es importante considerarla por separado, ya que podría convertirse en el mediano plazo en “la forma” de establecerse en pareja y formar una familia. Si esto ocurriera, podría paliar el descenso que conoce hoy día el matrimonio. Recuperación que sería tanto más rápida cuanto más corta fuera la duración de la convivencia previa al matrimonio. Ahora, la distinción entre divorcios y separaciones de matrimonio tiene sentido en la medida en que la población separada de un matrimonio representa el 62% del total de matrimonios disueltos. Además, si se considera que la población casada representa el 60% de la población unida, esta categoría aumentaría.
El Cuadro 1 contiene las distribuciones del conjunto de las mujeres alguna vez unidas de 15 a 54 años, como también de las mujeres en uniones disueltas según el tipo de disolución (divorcio o separación), teniendo en cuenta la naturaleza de la primera unión y las cohortes de pertenencia. Lo primero que ponen en evidencia estos datos es la transformación de las preferencias con respecto al tipo de unión elegido para iniciar la vida conyugal. Las proporciones de matrimonios disminuyen paulatinamente hasta las cohortes 1994-1998, para luego reducirse a la mitad entre estas cohortes y las de 2009-2013. En forma paralela, las proporciones de primeras convivencias tienden a aumentar de manera moderada hasta las cohortes 1994-1998, momento en que comienzan a elevarse de manera muy rápida, duplicándose en poco más de diez años.
El grupo de mujeres “casadas con convivencia previa” creció, pero muy poco (máximo 3.5 puntos porcentuales). Representa en total 12.9%, una proporción cercana a la observada en las cohortes unidas entre fines de los años cuarenta y comienzos de los sesenta: 11.8% y 14.8%, respectivamente (Quilodrán, 1991; Solís y Puga, 2009).
Observando las proporciones por cohortes, se confirma el hecho de que las de las mujeres separadas son siempre más elevadas que aquellas de las divorciadas, cualquiera que sea la cohorte. La relación entre el total de divorcios y el total de separaciones es de 3.6 separaciones por un divorcio. De hecho, las proporciones se invierten: 3.1% versus 7.7% en las cohortes 1984-1988, y 5.9% frente a 3.4% en las cohortes más recientes (2004-2009). La evolución de las proporciones de separaciones y divorcios de mujeres casadas con convivencia previa se mantienen más bien constantes -entre 1.3 y 1.4%- a través de las cohortes.
Es notoria la disminución de las proporciones de matrimonios dentro del conjunto de la población que contrajo una primera unión, la cual se acompaña de reducciones tanto de las proporciones de divorcios como de separaciones entre las que fueron casadas. Por el contrario, las proporciones de separaciones de uniones libres se incrementan conforme ellas aumentan.
Probabilidades de disoluciones de primeras uniones de mujeres alguna vez unidas
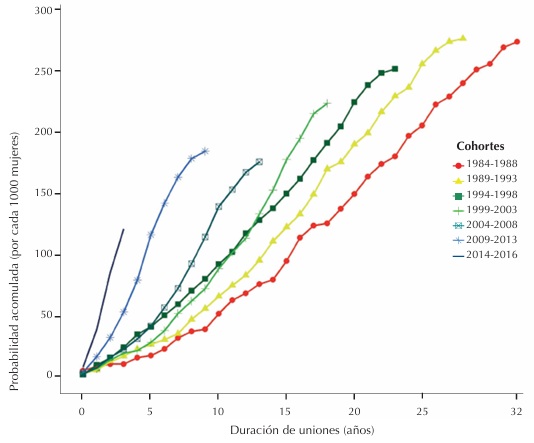
En la Gráfica 1 vemos cómo las curvas de las probabilidades acumuladas de disolución de uniones por cohorte, cualquiera que sea el tipo de primera unión y de disolución, se despliegan hacia la izquierda a medida que las cohortes son más jóvenes, formando una especie de abanico. La separación de las curvas se hace evidente a partir de la cohorte 1994-1998, poco antes de los 20 años de duración; en la cohorte 1999-2003, a los 17 años; y, en las cohortes 2004-2008 y 2009-2013, desde los inicios de la unión.

Fuente: Elaboración propia con base en Enadid 2018.
Gráfica 1 Probabilidad acumulada de disolución de primeras uniones (separación o divorcio) por duración y cohorte (para 1 000 mujeres)
Los valores contenidos en el Cuadro 2 presentan las probabilidades de disolución acumuladas a las duraciones 5, 10 y 15 años. En las primeras cuatro cohortes (1984-1988 a 1999-2003) son bastante similares hasta la duración de 10 años. Las cohortes más jóvenes (2014-2016) presentan niveles más altos: casi 11 de cada 1 000 matrimonios o uniones libres se habrían ya interrumpido tres años después de iniciada la primera unión. Las probabilidades de interrumpir la primera unión por separación o divorcio antes de los cinco años de duración se multiplicaron más de diez veces entre las cohortes más antiguas y las más jóvenes (1984-1988 y 2014-2018). Las cohortes fueron incrementando sus probabilidades de disolución de manera paulatina hasta las de 1999-2003. En las cohortes 2004-2008 se produce un incremento a partir de la duración 10, que luego se traslada hacia los primeros años de unión.
Cuadro 2 Probabilidades acumuladas de disolución de uniones según tipo de disolución y de primera unión por cohortes (para mil mujeres)
| Tipo disolución / primera unióna | 1984- 1988 | 1989- 1993 | 1994- 1998 | 1999- 2003 | 2004- 2008 | 2009- 2013 | 2014- 2016 |
| Duración 5 años | |||||||
| Total D+S | 7.1 | 12.3 | 18.0 | 19.1 | 30.9 | 88.7 | 105.2c |
| Divorcio M | 2.0 | 4.3 | 6.4 | 6.9 | 12.3 | 24.3 | |
| Divorcio ULxM | 4.3 | 5.3 | 3.8 | 5.7 | 5.6 | 22.5 | |
| Separación M | 2.9 | 5.2 | 6.3 | 9.6 | 12.1 | 39.3 | |
| Separación ULxM | 6.4 | 6.6 | 11.5 | 8.1 | 21.0 | 37.1 | |
| Separación UL | 17.6 | 26.7 | 41.0 | 28.4 | 41.6 | 116.3 | |
| Duración 10 años | |||||||
| Total D+S | 22.5 | 33.1 | 49.0 | 57.2 | 101.5 | 139.0b | |
| Divorcio M | 7.2 | 12.2 | 20.9 | 21.1 | 36.2 | 34.7b | |
| Divorcio ULxM | 6.4 | 11.9 | 12.4 | 15.4 | 21.0 | 28.1b | |
| Separación M | 9.8 | 14.9 | 19.2 | 27.0 | 44.9 | 66.1b | |
| Separación ULxM | 21.6 | 17.2 | 24.0 | 23.6 | 52.5 | 54.1b | |
| Separación UL | 51.7 | 65.9 | 92.2 | 88.5 | 139.3 | 184.6b | |
| Duración 15 años | |||||||
| Total D+S | 46.1 | 63.9 | 82.7 | 120.7 | 136.0b | ||
| Divorcio M | 15.8 | 24.4 | 31.5 | 42.5 | 43.9b | ||
| Divorcio ULxM | 10.8 | 17.2 | 26.0 | 34.4 | 30.0b | ||
| Separación M | 22.8 | 29.9 | 36.2 | 59.9 | 68.7b | ||
| Separación ULxM | 30.4 | 29.3 | 41.7 | 54.6 | 71.2b | ||
| Separación UL | 94.7 | 122.5 | 149.9 | 177.8 | 178.3b | ||
a M: matrimonio.
b ULxM: matrimonios con convivencia previa (unión libre).
cUL: unión libre.
Nota: Probabilidades correspondientes a la duración 9 y 14, respectivamente. Valor quinquenal estimado bajo el supuesto de un crecimiento lineal durante el periodo observado.
Fuente: Cálculos propios con datos de la Enadid 2018 con base en las Tablas de Disolución.
Probabilidades de disolución de matrimonios
Las personas que se casan tienen la opción de interrumpir su matrimonio por un divorcio que conlleva un procedimiento legal, o recurriendo simplemente a una separación de hecho. En las Gráficas 2, 2.1 y 2.2 figuran las curvas con las probabilidades de disolución del conjunto de mujeres casadas, así como de aquellas que, habiéndose casado, interrumpen su matrimonio a través de un divorcio o una separación de hecho. Así, a la duración de 5 años las probabilidades fueron respectivamente de 4.9 por mil y 7.1 por mil en la cohorte de referencia 1984-1988 (Cuadro 2); y 61.4 y 88.7 por mil en la cohorte 2009-2013; vale decir, 13 veces más en el espacio de treinta años en ambos casos.

Fuente: Elaboración propia con base en Enadid 2018.
Gráfica 2 Probabilidad acumulada de disolución de una primera unión (separación o divorcio) por duración y cohorte para mujeres casadas (1 000 mujeres casadas)
El ritmo de incremento entre la duración 5 y 10 fue menor, 4.5 y 4.9 veces más respectivamente, y a los 15 años aún más bajo: 3 veces en ambos casos. O sea, la “explosión” de las interrupciones de uniones se produce a partir de las cohortes unidas alrededor del año 2000 (cohortes 1999-2003) y ocurre, sobre todo, en los cinco primeros años de unión. En el caso de las mujeres casadas con convivencia previa, se observan ritmos de crecimiento más reducidos: 5.6 veces a la duración 5, y 4.8 veces a la duración 10. Las cifras anteriores nos hablan de un incremento extraordinario de la disolución de uniones desde el inicio de siglo, tanto en el conjunto de mujeres casadas como entre las casadas con convivencia previa. Este proceso se acompañaría, en ambos casos, de un rejuvenecimiento del calendario.
Comparando ahora las probabilidades de interrumpir un matrimonio por divorcio o hacerlo a través de una separación, tenemos que la probabilidad de separarse es más elevada. Partiendo de niveles tan bajos (2 por mil en la cohorte 1984-1988 a la duración 5), el aumento de las probabilidades de divorcio es muy poco notorio ya que nunca superan el 50 por mil (Gráfica 2.1). Así pareciera que el matrimonio directo pocas veces conduce al divorcio. Sin embargo, la modalidad de separación de hecho abre una vía para interrumpir el matrimonio, cuyas probabilidades no han cesado de aumentar -desde un mínimo de 2.9 por mil a 39 por mil- a través del tiempo (Gráfica 2.2).

Fuente: Elaboración propia con base en Enadid 2018.
Gráfica 2.1 Probabilidad acumulada de disolución de una primera unión por divorcio por duración y cohorte para mujeres casadas (1 000 mujeres casadas)

Fuente: Elaboración propia con base en Enadid 2018.
Gráfica 2.2 Probabilidad acumulada de disolución de una primera unión por separación por duración y cohorte para mujeres casadas (1 000 mujeres casadas)
En realidad, los niveles de divorcio y de separación de matrimonio son similares hasta la duración 10 en casi en todas las cohortes, pero más allá de ésta y desde la cohorte 1999-2003 las probabilidades de separación comienzan a distanciarse, elevándose rápidamente sobre las de divorcio (62% más en la cohorte 2009-2013). Todo apunta hacia una mayor tolerancia social a la separación como medio para interrumpir la convivencia.
Probabilidades de disolución de los matrimonios con convivencia previa
El grupo de mujeres casadas con convivencia previa presenta probabilidades de divorcio y separación con valores muy cercanos al de las mujeres casadas sin convivencia previa. Esto indica que la decisión de transitar de una unión informal a una formal disminuye la probabilidad de interrupción. Y que cuando ésta ocurre, el riesgo de hacerlo a través de una separación es algo mayor que la de acudir a un divorcio (Gráficas 3, 3.1 y 3.2).

Fuente: Elaboración propia con base en Enadid 2018.
Gráfica 3 Probabilidad acumulada de disolución de una primera unión (separación o divorcio) por duración de unión y cohorte (para 1 000 mujeres casadas con convivencia previa)

Fuente: Elaboración propia con base en Enadid 2018.
Gráfica 3.1 Probabilidad acumulada de disolución de una primera unión por divorcio por duración de unión y cohorte (para 1 000 mujeres casadas con convivencia previa)

Fuente: Elaboración propia con base en Enadid 2018.
Gráfica 3.2 Probabilidad acumulada de disolución de una primera unión por separación por duración de unión y cohorte (para 1 000 mujeres casadas con convivencia previa)
Resulta sorprendente que las proporciones de mujeres casadas con convivencia previa o uniones legalizadas no hayan variado mucho en los últimos cuarenta años. Recordemos que éstas fueron de 10.3% en 1969, y de 11.8% en 1976 (Quilodrán, 1983 y 1991).15 Con una proporción de 12.9% en 2018, nada indica que las uniones libres que han venido a agregarse a las ya existentes16 se convertirán en una etapa de transición entre la soltería y el matrimonio institucionalizado, como sucedió en algunos países europeos.
Probabilidades de disolución de uniones libres
Los niveles de las curvas contenidas en la Gráfica 4 evidencian la mayor intensidad de la interrupción de uniones entre quienes recurren a la unión libre. Por ejemplo, al comparar las probabilidades a los 30 años de duración en la cohorte 1984-1988, se tiene que en las casadas son 150 por mil mientras que en las convivientes son 274 por mil (12 puntos porcentuales más). La diferencia de estos valores entre cohortes se mantiene en 12 puntos porcentuales a la duración 5, pero se amplía a 53 puntos a partir de la cohorte 2009-2013 (64 y 117 por mil).
cual no ocurre con las separaciones de uniones libres cuyo estatus no puede cambiar.

Fuente: Elaboración propia con base en Enadid 2018.
Gráfica 4 Probabilidad acumulada de disolución de una primera unión libre por duración de unión y cohorte (para 1 000 mujeres en unión libre)
En la cohorte más antigua, los niveles de separaciones de uniones libres a la duración 1 año lo alcanzaban las casadas al séptimo año. En las cohortes jóvenes, esta brecha se cierra a tal punto que las casadas alcanzan los niveles de las convivientes menos de un año después, producto del incremento más rápido de las probabilidades de separación de los matrimonios que de las uniones libres. ¿Convergencia en curso de las probabilidades de disolución de los matrimonios directos y de las uniones libres? Se trata de manifestaciones demasiado recientes para interpretarlas como una tendencia consolidada, sobre todo porque las separaciones de matrimonios necesitan tiempo para convertirse en divorcios, lo no ocurre con las separaciones de uniones libres cuyo estatus no puede cambiar.
Modelos de riesgos proporcionales relativos al riesgo de disolución de la primera unión
Los resultados del modelo 1 (Cuadro 3), que contiene el universo de “mujeres divorciadas”, 17 indican en primer lugar que el riesgo de divorciarse es prácticamente el mismo cuando no se tienen hijos o se tiene uno solo. Al tener un segundo hijo el riesgo de divorcio disminuye 58%, y baja hasta 70% cuando se trata de cuatro hijos o más. Por su parte, el casarse antes de los 20 años produce una inestabilidad importante. Es decir, hacerlo antes de los 18 años incrementa el riesgo 46%, y hacerlo entre los 18 y 19 años, 23%. En aquellas que se casan a los 25 y más el riesgo disminuye a 6%.
Cuadro 3 Coeficientes de riesgo proporcional relativos al riesgo de disolución de la primera unión según tipo de disolución
| Divorciadas | Separadas de UL | Separadas de UL | |||||||||
| Modelo 1* | Modelo 2** | Modelo 3*** | |||||||||
| Variables | Coef. | HR | HR[95%IC] | Coef. | HR | HR[95%IC] | Coef. | HR | HR[95%IC] | ||
| Núm. hijos NV | |||||||||||
| (ref. 1 hijo) | |||||||||||
| 0 hijos | 0.01*** | 1.01 | [0.7-1.45] | -0.28*** | 0.75 | [0.52-1.08] | -0.36*** | 0.7 | [0.52-0.94] | ||
| 2 hijos | -0.86*** | 0.42 | [0.37-0.48] | -0.77*** | 0.46 | [0.42-0.51] | -0.61*** | 0.54 | [0.5-0.59] | ||
| 3 hijos | -1.11*** | 0.33 | [0.29-0.38] | -1.00*** | 0.37 | [0.33-0.41] | -1.01*** | 0.36 | [0.33-0.4] | ||
| 4+ hijos | -1.21*** | 0.3 | [0.25-0.36] | -1.21*** | 0.3 | [0.26-0.34] | -1.13*** | 0.32 | [0.29-0.37] | ||
| Convivencia previa | 0.07*** | 1.07 | [0.94-1.23] | 0.22*** | 1.24 | [1.13-1.37] | |||||
| (sí=1) | |||||||||||
| Edad a la primera unión | |||||||||||
| (ref. 20 a 24años) | |||||||||||
| <=17 años | 0.38*** | 1.46 | [1.26-1.69] | 0.30*** | 1.35 | [1.22-1.5] | 0.05*** | 1.05 | [0.96-1.16] | ||
| 18 a 19 años | 0.21*** | 1.23 | [1.07-1.4] | 0.18*** | 1.2 | [1.09-1.33] | 0.06*** | 1.06 | [0.96-1.17] | ||
| >=25 años | -0.07*** | 0.94 | [0.83-1.06] | -0.02*** | 0.98 | [0.89-1.09] | 0.05*** | 1.05 | [0.96-1.16] | ||
| Escolaridad | |||||||||||
| (ref. <=primaria) | |||||||||||
| Secundaria | 0.45*** | 1.57 | [1.3-1.89] | 0.13*** | 1.14 | [1.02-1.26] | 0.26*** | 1.29 | [1.17-1.43] | ||
| Bachillerato | 0.94*** | 2.55 | [2.11-3.09] | 0.14*** | 1.15 | [1.02-1.29] | 0.3**** | 1.35 | [1.21-1.5] | ||
| Lic., maestría o doctorado | 1.01*** | 2.75 | [2.26-3.35] | -0.28*** | 0.76 | [0.66-0.87] | 0.03*** | 1.03 | [0.9-1.18] | ||
| Ocupación | |||||||||||
| (ref. extradoméstico) | |||||||||||
| Trabajo doméstico no remunerado | -1.89*** | 0.15 | [0.13-0.18] | -1.67*** | 0.19 | [0.17-0.21] | -1.39*** | 0.25 | [0.23-0.27] | ||
| Otra | -0.28*** | 0.76 | [0.63-0.9] | -0.27*** | 0.76 | [0.67-0.87] | -0.18*** | 0.84 | [0.74-0.95] | ||
| Tamaño de localidad | |||||||||||
| (ref. <15 000 habs.) | |||||||||||
| Más | 0.62*** | 1.86 | [1.63-2.11] | 0.09*** | 1.1 | [1.01-1.2] | -0.02*** | 0.98 | [0.91-1.06] | ||
| de 100 000 habs. | |||||||||||
| De 15 000 | 0.47*** | 1.61 | [1.37-1.88] | 0.27*** | 1.31 | [1.18-1.45] | 0.02*** | 1.02 | [0.93-1.13] | ||
| a 99 999 habs. | |||||||||||
*N: 36 146, número de eventos: 1 753; **N: 37 279, número de eventos: 2 886; *** N: 18 369, número de eventos: 3 227.
Nota: Divorciada de matrimonio y de matrimonio con convivencia previa.
Fuente: Elaboración propia con base en Enadid 2018.
En el caso de la educación se da un gradiente positivo; es decir, a más educación más divorcio. El divorcio es 2.6 veces más elevado con nivel bachillerato y 2.8 veces en el nivel superior (licenciatura y más) con respecto a aquellas que tienen menor grado de instrucción. El trabajo doméstico no remunerado produce, en cambio, un efecto estabilizador: 85% menos divorcios en comparación con las mujeres que están insertas en el mercado laboral. El divorcio aumenta con el tamaño de la localidad, de modo que el riesgo en las localidades de más de 100 mil habitantes es 86% más elevado que en las de menos de 15 mil habitantes.
El modelo 2, que incluye a las mujeres “separadas de matrimonio”, muestra que quienes no tienen hijos no tienen diferencia con las que tienen un hijo. A partir del segundo hijo el riesgo disminuye de manera semejante al de las divorciadas (modelo 1). La influencia de la edad al casarse por primera vez es algo menor que entre las divorciadas (35% a diferencia de 46%) para aquellas que se casan antes de los 18 años. La educación influiría poco en los niveles de separación, salvo entre las que poseen nivel licenciatura o más. En cuanto al trabajo doméstico no remunerado, los valores son muy semejantes al de las divorciadas (81% en lugar de 85%). La influencia del tamaño del lugar de residencia es bastante más reducida que en el caso del divorcio, e inesperadamente es más elevada en las localidades de tamaño intermedio (15 mil a 99 mil habitantes) que en las de más de 100 mil: 31% y 10% de aumento, respectivamente. A diferencia del grupo de las divorciadas, el hecho de haber convivido previamente al matrimonio tiene una influencia significativa en el riesgo de separación. Estos resultados estarían indicando que los riesgos de disolución de una mujer que convive con su pareja antes del matrimonio son 1.24 veces los de aquellas que no convivieron antes de casarse.
El modelo 3 incorpora a las mujeres “separadas de una unión libre”, las cuales muestran un riesgo de separación menor cuando no se tienen hijos que cuando se tiene sólo uno (30% menos). Una explicación posible podría ser que las uniones libres o matrimonios provocados por embarazos prenupciales son especialmente frágiles. En cambio, la probabilidad de separarse de una unión libre con dos hijos es menor (46%) que hacerlo de un matrimonio (54% o 58%). Para los órdenes de hijos más elevados, las probabilidades de separación disminuyen con la misma intensidad que lo hacen las separadas de matrimonio.
La edad al unirse no ejerce ninguna influencia significativa en el riesgo de separarse cuando se trata de uniones libres, como tampoco la escolaridad en el rango más elevado. La separación se incrementa en alrededor de 30% tanto en las que alcanzaron a cursar la secundaria como el bachillerato, comparadas con las que sólo terminaron la primaria. Por otro lado, el hecho de no participar en el mercado laboral no incidiría de manera significativa en el riesgo de separarse, como tampoco el tamaño de la localidad de residencia.
El único rasgo en común que guardan los tres modelos es que, a partir del hijo de orden dos, los riesgos de disolución disminuyen. La proporción que apunta a una mayor disolución de uniones de las mujeres casadas sin hijos con respecto a las que tienen un hijo es muy débil; lo es menos entre las mujeres en uniones libres (30% más).
La edad al primer matrimonio influye de manera significativa sobre la interrupción por divorcios y separaciones, sobre todo antes de los veinte años. A medida que el matrimonio se posterga, las probabilidades de disolución disminuyen; al revés, la disolución aumenta conforme los niveles de educación se elevan, una relación positiva que está cambiando de signo en algunos países. La relación entre trabajo dentro y fuera del hogar es muy clara en el caso de los divorcios y de las separaciones, pero no lo es tanto tratándose de las separaciones según tamaño de localidad.
Conclusiones
Los divorcios y las separaciones de uniones se han impuesto desde mediados del siglo XX como un comportamiento cada vez más frecuente, sobre todo en las sociedades occidentales; se enmarcan en la tendencia a la desinstitucionalización que ha venido experimentando la vida familiar. La primera institución que cedió a los embates de la cohabitación fue el matrimonio; y luego el divorcio que devino en una separación de hecho, es decir, un proceso de interrupción de un matrimonio que no es refrendado por un documento legal que declare la separación de la pareja conyugal.
En América Latina la presencia de las uniones libres abre paso a dos tipos de separaciones: por un lado, las que resultan de las interrupciones de las uniones libres; por otro, las interrupciones de matrimonio que no se han convertido en divorcios al momento de la encuesta. La información no permite saber el tiempo que transcurre entre una separación y su transformación en divorcio, pero la desagregación entre quienes son divorciados o separados de matrimonio nos aproxima a un fenómeno creciente como es el interrumpir la unión y permanecer en una situación conyugal que no les permite volver a casarse, pero sí ingresar en una unión libre.
En cuanto a las probabilidades de separaciones de matrimonio y de uniones libres, éstas superan en conjunto a las de divorciarse, confirmando con ello lo reportado en la literatura en relación con una mayor propensión de las uniones libres a interrumpirse: 3.4 veces más separaciones que disoluciones de matrimonio (por ejemplo, cohortes 1984-1988, Enadid 2018). Ahora, el incremento más rápido de las probabilidades de disolución de los matrimonios vía separación, en comparación con las que presentan los divorcios (Gráficas 2.1 y 2.2), produciría un aumento de la proporción de separadas dentro del conjunto de la población unida; más cuando la población casada representa una proporción importante (poco más de 50%) de la población expuesta al riesgo de divorciarse o separarse. De este modo, cobra sentido la distinción que se realizó entre los subconjuntos de mujeres casadas, divorciadas y separadas.
Además, los resultados obtenidos para México muestran que, paralelamente al incremento de la intensidad de la disolución de uniones, se ha producido un rejuvenecimiento del calendario. Sin embargo, el truncamiento de las cohortes no permite pronunciarse sobre la acentuación o estancamiento del proceso. De cualquier forma, el efecto cohorte es evidente, sea cual sea el tipo de disolución (divorcio o separación) y la naturaleza de la primera unión. El análisis por cohortes muestra también la existencia de patrones de disolución según el tipo de primera unión, que se ha mantenido a través del tiempo pese a los cambios experimentados en sus intensidades y calendarios. La relación de mayor intensidad entre quienes establecen vínculos conyugales informales y quienes se casan permanece.
Por otra parte, los factores que inciden en la inestabilidad de las parejas en México son muy semejantes a los de otras sociedades. Los resultados presentados señalan que las probabilidades se reducen a partir de las siguientes causas: la llegada del segundo hijo; la postergación de la edad a la primera unión; entre quienes poseen una escasa participación en labores remuneradas; y cuando los niveles educacionales son bajos. Por el contrario, entre mayor es el nivel educacional, más elevados son los riesgos (relación positiva).
En un contexto de elevación generalizada de los niveles de disolución, resulta difícil utilizar a la educación como definitoria de la propensión a unirse, sea en matrimonio o en unión libre, como tampoco la de divorciarse o separarse. En realidad, factores socioeconómicos tan importantes como la educación no son hoy en día suficientes para caracterizar los tipos de unión y su estabilidad. Se hace necesario incorporar dimensiones de orden cultural, psicosocial e incluso personal para comprender la influencia de las normas y las motivaciones sobre la elección de una unión informal en lugar de un matrimonio; o de una separación en lugar de un divorcio.
Las situaciones de vulnerabilidad asociadas a la inestabilidad conyugal son múltiples y van en aumento al ir afectando a un volumen cada vez mayor de mujeres que provienen de uniones libres cuyas condiciones socioeconómicas han sido tradicionalmente menos favorables. En cuanto a los hijos, la igualdad establecida ante las leyes entre quienes nacen dentro de un matrimonio o de una unión libre no es suficiente para asegurarles, a unos y otros, oportunidades semejantes. Un ejemplo serían las ventajas derivadas de las diferencias de probabilidades de disolución; los hijos de parejas casadas vivirán más tiempo junto a sus dos padres que los que nacen de parejas en uniones libres con mayor probabilidad de interrumpirse. Esto último profundizaría, además, las inequidades de género desde el momento en que, en la mayoría de los casos de divorcios o separaciones, los hijos quedan a cargo de la madre.
El análisis realizado pone de manifiesto las diferencias de niveles de disolución de uniones según la naturaleza de la primera unión, así como el impacto creciente que tendrá en la distribución de la población adulta según la situación conyugal. Los cambios que se avizoran producirán, sin duda, una reorganización de la vida conyugal tanto en la pareja como en el entorno de socialización de los hijos; sin olvidar la atención a los adultos mayores, que recaerá sobre familias fragilizadas por los divorcios y las separaciones. El estudio de estos temas, muy sensibles para el bienestar de la población, debe profundizarse más allá de las dimensiones sociodemográficas y socioeconómicas generalmente exploradas.










nueva página del texto (beta)



