1 Introduction
It has been concluded from the ultra-relativistic heavy-ion collision experiments at RHIC and LHC that the quark-gluon plasma (QGP), which was created, behaves more like a perfect fluid than a non-interacting ultra-relativistic gas of quarks (anti-quarks) and gluons. The reason for this is because the QGP have a strong collective characteristic that may be measured in terms of the flow harmonics. In addition, the other significant signals based on experimental data, quarkonia suppression has also been proposed as a direct indicator of QGP creation in the collider studies. The tests show that it highlights the plasma properties of the medium, such as Landau damping, colour screening, and energy loss, see Ref. [1] and references therein.
At finite temperature, the evolution of the Schrodinger equation (SE) is vital. In order to study the creation of a hot quark-gluon plasma, Matsui and Satz [2] calculated the charmonium’s J/Ψ radius. The properties of quarkonia in a thermal QCD medium in the background of strong magnetic field is studied using SE. Using a temperature-dependent potential deduced from lattice gauge computations. Wong [4] has investigated the binding energies and wave functions of heavy quarkonia in quark-gluon plasma. As a result, the study shows that the model with the modified Q-Q potential produces dissociation temperatures that are consistent with spectral function analyses. Also, the N-radial Schrodinger equation is analytically solved. The Cornell potential is extended to finite temperature and/or chemical potential as in Refs. [5- 9] in which the energy eigenvalues and the wave functions are calculated.
A heavy quark potential at finite temperature was created by correctly introducing a dielectric function that encodes the effects of a deconfined medium to the full Cornell potential, not just its Coulomb part. This means that the heavy quark potential calculation has been expanded to include plasma with limited momentum-space anisotropy. For this case, specifically, the exact component has been calculated. As long as the quark-gluon plasma exhibits local momentum-space anisotropies for any finite shear viscosity, study of anisotropic plasma in the momentum space is necessary. These momentum-space anisotropies can continue for a very long period and can be rather significant depending on the strength of the shear viscosity, especially early on or close to the plasma’s edges. This holds true for both strong and weak coupling shear viscosity levels, and increasing viscosity causes maximum momentum-space anisotropies to grow [10- 14].
Recently, the fractional calculus has attracted attention in the different fields of physics. In high energy physics, the description of heavy-quarkonium energy spectra and complex phenomena of the standard model as in Ref. [15], in which, the author used the conformable fractional derivative to express the fractional radial SE in the N-dimensional space for the extended Cornell potential by using extended Nikiforov-Uvarov (ENU) method to the fractional domain. In Ref. [16] the fractional form of the NU method is applicable in order to solve fractional radial SE with its applications on variety of potentials such as the oscillator potential, Woods-Saxon potential, and Hulthen potential. The generalized fractional derivative [17, 18] is suggested which is successfully applied in calculating quarkonium properties and molecular chemical properties as in Refs. [19- 22].
The aim of the present work is to study the dissociation of quankonium in a hot-dense medium, in which the baryonic chemical potential is included in the framework of the generalized fractional derivative which are not considered in the recent works. The generalized fractional of the Nikiforov-Uvarov (CF-NU) method is applied to obtain the analytic solutions of the N-dimensional radial SE, then the results are applied on the investigation of binding energy and dissociation temperature.
The paper is organized as follows: In Sec. 2, the GF-NU method is briefly explained. In Sec. 3, The energy eigenvalue and wave function are calculated in the N-dimensional space using GF-NU method. In Sec. 4, the results are discussed. In Sec. 5, the summary and conclusion are presented.
2 The generalized fractional NU method
In this section, the GF-NU method is briefly given to solve the generalized fractional of differential equation which takes the following form (see Refs. [16, 17, 23], for details)
where
where
where
where,
it reduces to an equation of hypergeometric type as follows
where
and
where B
n
is a normalization constant and
and
the
2.1 Real part of the potential in a anisotropic medium in the longitudinal-traverse plane
Here, we aim to find the potential due to the presence of a dissipative anisotropic hot QCD medium. The in-medium modification can be obtained in the Fourier space by dividing the heavy-quark potential by the medium dielectric permittivity,
by taking the inverse Fourier transform, the the modified potential is obtained as follows
where V(k) is the Fourier transform of Cornell potential
where
the dielectric tensor can then be obtained in the static limit in Fourier space, from the temporal component of the propagator as
To calculate the real part of the inter-quark potential in the static limit, one can obtain first the temporal component of real part of the retarded propagator in Fourier space at finite temperature and chemical potential as follows
where the medium dielectric permittivity
Substituting Eqs. (22) and (18) into Eq. (16) and then taking its inverse Fourier transform, we can write the real part of the potential for
where
where, g is the coupling constant as defined in Ref. [29],
2.2 The particle momentum is longitudinal the direction of anisotropy
For r parallel to the direction of n of anisotropy at
where
It is important to mention in Eq. (23) that we have not observed any anisotropy in the present potential. This can be understood physically: The tensorial (nonsphericity) nature of the potential in the coordinate space arises due to anisotropy in the momentum space. However, we are restricted to a plasma which is very much close to equilibrium because that
3 The Generalized Fractional of Schrödinger Equation
In this section, the SE is solved in the longitudinal-traverse plane as in Refs. [3,
13] and references therein so, the SE for two particles interacting via the potential
where L,N, and
where
By taking r =1/x, Eq. (29) takes the following form
The expansion of a 1/x in a power series around the characteristic radius r 0 of meson up to the second order is used as in Ref. [13]. The following equation is obtained
where,
To transform Eq. (31) into a fractional form, one uses dimensionless form by taking y = Ax where A equals 1 GeV.
where
By using Refs. [16, 17] one can put Eq. (33) in the following form:
and substituting Eqs. (2) and (3) into (35), we obtain
where
Hence, the Eq. (36) satisfies Eq. (4). Therefore, Eq. (12) takes the following form after substituting by Eq. (37),
The constant K is chosen such as the function under the square root has a double zero, i.e., its discriminant equals zero. Hence,
Substituting by Eq. (39) into Eq. (38), we obtain
The positive sign in Eq. (38) is determined as in Ref. [15]. By using Eq. (8), we obtain
and using Eq. (14), we obtain
From Eq. (9),
with
The radial of wave function takes the following form
where C
nL
is the normalization constant that is determined by
4 Discussion of results
In this section, the above results are applied to the quarkonium masses. The quarkonium mass considering fraction-order and dimensionality in the hot-dense medium is [29]
where m is quarkonium bare mass for the charmonium or bottomonium mesons. By using Eq. (42), we write Eq. (45) as in Eq. (46). One can obtain the quarkonium masses at zero temperature by taking
Eq. (47) coincides with Ref. [30], in which the authors obtained the quarkonium mass at zero temperature and
In the present analysis, various quantities have been obtained, and the results are plotted while considering the weak anisotropy in the hot QCD plasma with the fixed critical temperature T
c
= 0.17 GeV. We considered

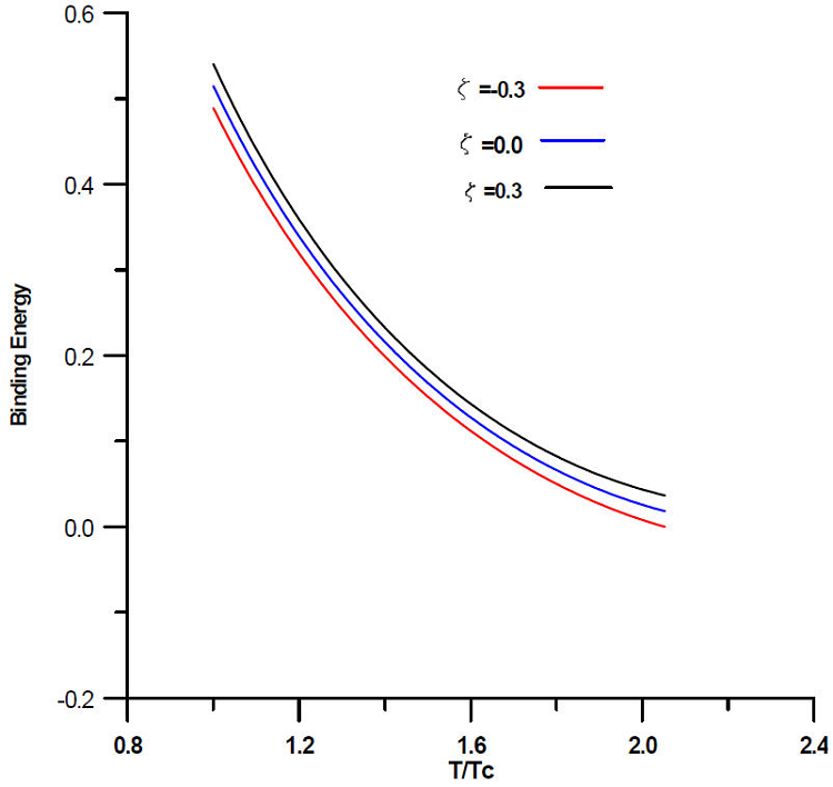
Figure 1 The binding energy of 1S state for C

Figure 2 The binding energy of 1S state for C

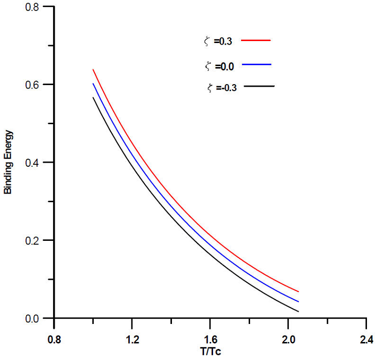
Figure 3 The binding energy of 1S state for b

Figure 4 The binding energy of 1S state for b

Figure 5 The binding energy of 1S state for C

Figure 6 The binding energy of 1S state for C

Figure 7 The binding energy of 1S state for b

Figure 8 The binding energy of 1S state for b
The dissociation temperature for both the classical model and the fractional model is shown in Tables I and II.
Table I The dissociation temperature for charmonium and bottominum states in units of Tc at
|
|
1S | 2S |
|
1S | 2S | |||
|---|---|---|---|---|---|---|---|---|
| ζ = 0.3 | 1.465 | 1.424 | ζ = 0.3 | 1.629 | 1.547 | |||
| ζ = 0.0 | 1.435 | 1.400 | ζ = 0.0 | 1.576 | 1.524 | |||
| ζ = - 0.3 | 1.376 | 1.376 | ζ = -0.3 | 1.518 | 1.488 |
Table II The dissociation temperature for charmonium and bottominum states in units of Tc at
|
|
1S | 2S |
|
1S | 2S | |||
|---|---|---|---|---|---|---|---|---|
| ζ = 0.3 | 1.418 | 1.411 | ζ = 0.3 | 1.529 | 1.511 | |||
| ζ = 0.0 | 1.394 | 1.388 | ζ = 0.0 | 1.494 | 1.482 | |||
| ζ = - 0.3 | 1.371 | 1.364 | ζ = -0.3 | 1.459 | 1.447 |
For the 1S and 2S of charmonium and bottominum, we observe that the dissociation temperature increases as the anisotropic parameter increases. Additionally, we observe that 2S state has smaller values than those in the 1S state. The fractional model is used for obtaining the results in Table II to compute the dissociation temperature at
5 Summary and Conclusion
In this study, we examined the binding energy and dissociation temperature in the fractional nonrelativistic model (FNM). The NU technique is analytically used to solve the FNM. The fractional model of the eigenvalues of the energy and wave functions is obtained. As a result, we determined the special cases that were consistent with the classical model. Additionally, we soon realize that the fractional form’s binding energy is lower than it was in the classical model; as a result, the dissociation temperature in a hot-dense medium decreases in comparison to the classical model. We found the dissociation temperature was agreement with other studies, such as Ref. [25]. Also, we note that the effect of baryonic chemical potential is slightly less pronounced on binding energy. This finding is not considered in other works in the framework of the fractional model. In addition, the excited states are obtained for charmonium and bottominum.
Finally, we found that the fate of heavy-quarkonia states in the hot-dense QCD medium is significantly influenced by both the anisotropy and the hot-dense QCD medium effects present in EoS when fractional calculus is taken into account.










nueva página del texto (beta)


