SciELO - Scientific Electronic Library Online

 
vol.63 número4Análisis mediante estadística no extensiva del terremoto de Pedernales, Ecuador 2016 índice de autoresíndice de materiabúsqueda de artículos
Home Pagelista alfabética de revistas  

Servicios Personalizados

Revista

Articulo

Indicadores

Links relacionados

  • No hay artículos similaresSimilares en SciELO

Compartir


Geofísica internacional

versión On-line ISSN 2954-436Xversión impresa ISSN 0016-7169

Geofís. Intl vol.63 no.4 Ciudad de México oct./dic. 2024  Epub 29-Jul-2025

https://doi.org/10.22201/igeof.2954436xe.2024.63.4.1780 

Articles

Nuevas observaciones en la corteza continental transicional del sur del Golfo de México y sus implicaciones en los modelos de margen continental

Joel Rosales Rodríguez1 
http://orcid.org/0000-0003-4171-9065

1Instituto Mexicano del Petróleo, Dirección de Investigación, Gerencia de Investigación en Exploración, CDMX, México.

2Instituto Politécnico Nacional Escuela Superior de Ingeniería y Arquitectura, Unidad Ticomán, CDMX, México.


Resumen

La interpretación de las propiedades físicas de la corteza y manto comúnmente se hace a partir de la asociación de velocidades sísmicas con la mineralogía de las rocas ígneas que las constituyen, dado que los afloramientos de corteza o manto exhumados o pozos que cortan las rocas de basamento continental u oceánico son escasos. La corteza oceánica del Golfo de México se caracteriza por velocidades sísmicas de 6.1-6.9 km/s, asociadas a gabros. Se observan diferencias en el rango de velocidades sísmicas entre la porción oriental y occidental de la corteza oceánica, tanto a nivel de corteza como en el manto. Se identifican anomalías de velocidades sísmicas entre la corteza y el manto, principalmente en áreas cercanas al límite corteza oceánica-continental. Estas anomalías de velocidades sísmicas se asocian a intrusiones máficas ocurridas durante la apertura del Golfo de México. Estas intrusiones también se interpretan en la base de la corteza a partir del modelado magnético de un perfil en el sur del Golfo de México. Con el modelado magnético se interpreta manto serpentinizado en el área de la Anomalía Magnética de Campeche. Con ambas interpretaciones se sugieren dos periodos de evolución tectónica del Golfo de México; el primer periodo es asociado a un margen continental no volcánico, en el cual ocurre la exhumación y la serpentinización del manto, el segundo periodo asociado a un margen volcánico en el cual ocurre la intrusión de rocas máficas cercanas al límite corteza oceánica-continental y la rotación de Yucatán.

Palabras clave: Velocidad sísmica; corteza oceánica; serpentinización; intrusión; margen continenta

Abstract

The interpretation of physical properties of crust and mantle is commonly done from the relationship between seismic velocities with mineralogy of igneous rocks that constitute them, mainly due to scarce outcrops of exhumed crust or mantle, and wells that cut continental or oceanic basement. The oceanic crust of the Gulf of Mexico is characterized by seismic velocities of 6.1-6.9 km/s, associated with gabbro. Differences in the range of seismic velocities are observed, between the eastern and western portion of the crust, both at the crustal and mantle level. In areas close to the oceanic-continental crust boundary, anomalies of seismic velocities are distinguished overlying the mantle, associated with mafic intrusions occurred during the Gulf of Mexico opening. These intrusions are also interpreted at the base of continental crust from the magnetic modeling 2D in the southern Gulf of Mexico. Over this profile serpentinized mantle is interpreted around Campeche Magnetic Anomaly. Two periods of tectonic evolution of the Gulf of Mexico are interpreted, the first one is associated with a non-volcanic continental margin, in which exhumation and serpentinization of the mantle occur, the second period is associated with a volcanic continental margin, the intrusion of mafic rocks occurs, mainly close to the oceanic-continental crust boundary, and the Yucatan rotation also occurs.

Key words: Seismic velocity; oceanic crust; serpentinite; intrusion; continental margin

1. Introducción

Las propiedades físicas de las rocas ígneas de la corteza y manto superior se interpretan a partir de la relación entre velocidades sísmicas y mineralogía de los principales componentes de las rocas que las constituyen (Figura 1). Esta relación, velocidades sísmicas vs mineralogía, es obtenida a partir de las mediciones hechas en muestras de afloramiento de rocas ígneas, o bien a partir de muestras de núcleo de basamento, recuperados en pozos petroleros perforados en corteza continental y pozos exploratorios perforados en corteza oceánica (Fowler, 2005; Anderson, 2007; Romanyuk et al., 2007; Ortega-Gutiérrez et al., 2008). En estudios de sísmica de refracción, esta relación permite definir la estratificación de la corteza y cima del manto, o bien, interpretar los cambios litológicos, cambios de densidad o diferencias de temperatura debido a las variaciones laterales y verticales de las velocidades sísmicas a nivel de corteza o manto (Olsen, 2006). En algunos márgenes continentales estas variaciones de las velocidades sísmicas corresponden con anomalías magnéticas y gravimétricas.

Figura 1 Velocidades sísmicas (Vp) vs (a) densidad de minerales, (b) densidad de las rocas ígneas y (c) contenido de sílice (%SiO2). Los recuadros de color gris de la parte inferior de cada figura se muestran sin escala de velocidad, únicamente se ajustan a la escala de densidad y %SiO2; en la parte superior derecha de (c) se muestran los rangos de velocidad calculados y corregidos a 600 MPa por Christensen (1965, en Olsen, 2006) para las rocas ígneas intrusivas (valores compilados de Fowler, 2005; Olsen, 2006; Anderson, 2007; Romanyuk et al., 2007; Ortega-Gutiérrez et al., 2008). 

En áreas cercanas al límite tectónico corteza continental-corteza oceánica, la definición de la corteza continental transicional es compleja y se ha hecho a partir de modelos geofísicos asociados a cambios litológicos (sísmica de reflexión y refracción, métodos potenciales). El análisis de las velocidades sísmicas ha ayudado en la definición de la litología, la relación geométrica regional entre la corteza continental transicional y corteza oceánica, así como la relación vertical y lateral entre las velocidades sísmicas anómalas y las velocidades sísmicas de la corteza (continental y oceánica).

La corteza continental transicional se caracteriza por bloques de corteza limitados por fallas, que pueden estar intrusionados por rocas máficas-ultramáficas, emplazadas durante la expansión del piso oceánico (d’Acremont et al., 2005; Geoffroy, 2005; Anderson, 2007; Mjelde et al., 2007). En la base de la corteza continental transicional se reporta una capa de alta velocidad (7.2-7.7 km/s), asociada a emplazamiento de rocas máficas/ultramáficas o bien, a zonas afectadas por procesos de serpentinización del manto superior (Mooney et al., 1998; Lau et al., 2006; Anderson, 2007; Labails et al., 2009).

Estos resultados, aunados a los resultados de métodos potenciales, se han utilizado para el desarrollo de los dos modelos tectónicos de los márgenes continentales: i) modelo de margen continental con presencia de volcanismo (margen continental volcánico) y ii) modelo de margen continental con ausencia de volcanismo (margen continental no volcánico).

  • i) En el modelo tectónico de margen volcánico, la corteza continental transicional se caracteriza por una cubierta de flujos de basaltos y varios kilómetros de una gruesa capa de alta velocidad sísmica (7.2-7.6 km/s), identificada en la base de la corteza continental y cercana al límite corteza continental-corteza oceánica, interpretada como intrusiones máficas (Mooney y Brocher, 1987; Mooney y Meissner, 1992; Kern et al., 1996; Olsen, 2006; Mutter et al., 1984 y 1988; Keen-Boutiler, 1995; en Mjelde et al., 2007; Kearey et al., 2002; Lee et al., 2002; Mjelde et al., 2009; Allen y Allen, 2013; Becker et al., 2014). La corteza continental transicional al suroeste de Marruecos se caracteriza por una corteza continental superior de velocidades sísmicas entre 5.8 y 6.5 km/s y una capa inferior con velocidades sísmicas de 7.1-7.2 km/s asociadas a intrusiones máficas (Labails et al., 2009).

  • ii) En el modelo tectónico de margen continental no volcánico, la corteza continental transicional se caracteriza por una corteza continental superior delgada (<3 km), de velocidades sísmicas entre 4.0 y 6.5 km/s, y una corteza inferior de altas velocidades sísmicas (7.2-7.7 km/s), interpretada como peridotita serpentinizada originada por la penetración de agua de mar a lo largo de fallas, durante la exhumación del manto (Lee et al., 2002; d’Acremont et al., 2005; Mjelde et al., 2007). La ausencia de volcanismo es asociada con una fase de rifting de larga duración (>15 MA) y una baja o nula actividad magmática (Harry et al., 2003; Mjelde et al., 2007; Allen y Allen 2013).

La interpretación de un proceso de serpentinización previo a la generación de corteza oceánica, debido a la hiperextensión de la corteza, implica un contacto directo entre el magma y el agua salada, debido a la exhumación del manto, donde su grado de alteración es de 100% como se reporta en el punto ODP 1277 en la cuenca de Terranova, caracterizado por velocidades sísmicas de 7.2-7.7 km/s (Lau et al., 2006). Un menor grado de serpentinización (35±10%), como resultado de la hidratación del manto superior, implica que el contacto entre éste y al agua salada fue a lo largo de fallas o fracturas corticales, por lo tanto, la alteración parcial es únicamente a lo largo de las fallas y se caracteriza por velocidades mayores a 6.9 km/s (Miller y Christensen, 1997, en Contrucci et al., 2004; Muller et al., 1997; Fowler, 2005; Mjelde et al., 2007). La densidad aparente de peridotita inalterada (3.3 g/cm3) puede ser reducida considerablemente (~2.6 g/cm3) durante el proceso de serpentinización (Pickup et al., 1996; Kearey et al., 2002; Maffione et al., 2014). Miles et al. (1996) mencionan que las áreas de serpentinización se caracterizan por anomalías magnéticas de ~100 nT.

2. Corteza Continental del Golfo de México

En el sur del Golfo de México no se cuenta con evidencias directas de las rocas ígneas de la corteza continental, sin embargo, su composición se infiere a partir de las rocas del basamento ígneo que aflora y que es cortado en subsuelo en áreas cercanas al margen del Golfo de México, tanto en México como en Estados Unidos, Belice y Cuba. Las rocas del basamento ígneo en el margen del Golfo de México se definen como rocas ígneas intrusivas Paleozoicas, granitos y granodioritas del Pérmico-Triásico (Olivas, 1953; Sánchez, 1961; Lopez-Ramos, 1973; Fries et al., 1974; Pantoja-Alor et al., 1974; Jacobo, 1986; Lopez-Infanzón, 1986; Winker y Buffler, 1988; Woods et al., 1991; Marton, 1995; Ortiz, 2006; Padilla y Sánchez, 2007; Pompa, 2009) (Anexo 1). Al oeste de la Península de Florida y sureste de la Península de Yucatán, se reportan rocas ígneas intrusivas y extrusivas ácidas en la base de cubierta sedimentaria, del Cámbrico, Ordovícico, Devónico y Carbonífero.

Hacia aguas someras y profundas del Golfo de México, la corteza continental se ha interpretado desde el punto de vista tectónico, con una zonificación de acuerdo con su espesor y afectación tectónica durante la apertura del Golfo de México, definiéndola como corteza continental transicional (Buffler y Sawyer, 1985; Sawyer et al., 1991, Marton, 1995). Cercano al límite tectónico corteza continental - corteza oceánica, se interpreta que la corteza continental adelgazada fue afectada por los procesos tectónicos durante el rompimiento continental, por lo tanto, puede estar intrusionada o magmáticamente modificada; así como, representada por corteza continental inferior exhumada o manto exhumado (Filina et al., 2022).

Las características y geometría de la corteza continental transicional del Golfo de México han sido interpretadas a partir de modelado de métodos potenciales (magnetometría y gravimetría), sísmica de refracción y sísmica de reflexión (Marton, 1995; Marton y Buffler, 1994; Sandoval-Ochoa et al., 1999; Jacques et al., 2004; Bird, et al., 2005; Roman-Ramos et al., 2008; Mickus et al., 2009; Miranda-Madrigal, 2010; Kocel, 2012; Nwafor, 2013; Rocha-Esquinca et al., 2013; Christeson et al., 2014; Eddy et al., 2014; Ismael, 2014; Van Avendonk et al., 2015; Saunders et al., 2016; Deighton et al., 2017; Horn et al., 2017; O’Reilly et al., 2017; Eddy et al.,2018; Liu, 2018; Filina et al., 2020; Minguez et al., 2020; Storey, 2020; Zinecker, 2020; Filina y Hartford, 2021; Miranda-Madrigal y Chávez-Cabello, 2020; Bugti, 2022; Izquierdo-Llavall et al., 2022; Curry, 2024). La mayor de estos trabajos se enfoca en el norte del Golfo de México; sin embargo, en el sur del golfo los trabajos únicamente se enfocan al noroeste, norte y noreste de la Península de Yucatán. Con base en la geometría y propiedades de la corteza continental transicional, diversos autores ha propuesto modelos dinámicos para explicar las afectaciones tectónicas de la corteza continental transicional durante el rompimiento continental “rifting” (ocurrido entre 230 y 160 MA, en promedio), así como el origen y evolución de la corteza oceánica del Golfo de México durante el proceso de expansión (ocurrido entre 160 y 137 Ma, en promedio), incluyendo el periodo de 3 MA para el depósito de la sal entre ambos eventos tectónicos (Winker y Buffler, 1988; Schouten y Klitgord, 1994; Marton y Buffler 1994; Rueda-Gaxiola 1998; Rueda-Gaxiola 2004; Kneller y Johnson, 2011; Pindell et al., 2014; Hudec et al., 2013; Eddy et al., 2014; Pindell et al., 2014; Nguyen y Mann, 2016; Padilla y Sanchez, 2016; Deighton et al., 2017; Minguez et al., 2020; Pindell et al., 2020; Filina y Beutel, 2021). Minguez et al. (2020) incluye en su modelo de evolución un periodo de exhumación del manto debido a una hiperextensión de la corteza continental, previo a la expansión de la corteza oceánica, relacionado con un margen continental no volcánico.

En los últimos años varios autores sugieren la presencia de SDRs (Seaward Dipping Reflectors) en los modelos tectónicos de la corteza transicional del Golfo de México (Hudec et al., 2013; Eddy et al., 2014; Rowan, 2014; Pindell et al., 2011; Kneller y Johnson, 2011; Williams-Rojas et al., 2011; Saunders et al., 2016;Lundin y Doré, 2017; O’Reilly et al., 2017;Liu et al., 2019; Steier y Mann, 2019; Filina y Hartford, 2021), relacionados con el modelo de margen continental volcánico, principalmente en el suroeste de la Península de Florida y noroeste de la Península de Yucatán, asociados a las principales anomalías magnéticas de estas áreas.

El presente trabajo se enfoca en el análisis de las velocidades sísmicas de la corteza oceánica y continental del Golfo de México, bajo el contexto y conceptos de margen continental volcánico y no volcánico. El modelado magnético de perfil en el sur del Golfo de México busca interpretar la Anomalía Magnética de Campeche evaluando las implicaciones en los modelos dinámicos de márgenes continentales, volcánico y no volcánico.

3. Datos y métodos

Para el desarrollo de este trabajo se utilizaron velocidades sísmicas para definir propiedades litológicas de la corteza oceánica, continental y continental transicional del Golfo de México, así como datos de un perfil magnético para definir la geometría y variaciones litológicas de la corteza en el sur del Golfo de México.

3.1. Velocidades sísmicas de la corteza Golfo de México

Para interpretar las propiedades litológicas, estratificación y tipo de corteza en el Golfo de México, se analizaron las velocidades de 134 puntos de sísmica de refracción adquiridos previamente por diversas brigadas, tanto en la parte marina del Golfo de México, como en su margen norte (Ewing et al., 1955, Hales et al., 1970, Ervin y McGinnis, 1975; Ladd et al., 1976; Ibrahim et al., 1981; Shaub et al., 1984; Mickus y Keller, 1992; Chulick y Mooney, 2002). El tipo de corteza y su estratificación fueron definidos a partir de los rangos de velocidades sísmicas integrados para la corteza continental (Figura 2) y la corteza oceánica. En el caso de la corteza oceánica, se integraron las velocidades sísmicas medidas a partir de muestras de núcleo (Figura 3) recuperadas en las diferentes campañas de perforación oceánica (DSDP, ODP, IODP), esta integración se hizo bajo el contexto de estratificación de la corteza oceánica propuesta por Brown y Mussett (1981, en Wilson 1989).

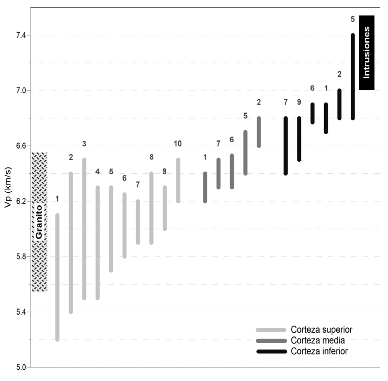
Figura 2 Velocidades sísmicas (Vp) de la corteza continental inferior, corteza continental media y corteza continental superior. 1: Golfo de Cadiz (Neves y Neves, 2009); 2: NW de Marruecos (Contrucci et al., 2004); 3: Mooney y Brocher, 1987; 4: California-Maine (Mooney y Brocher, 1987); 5: Mooney et al., 1998; 6: Terranova (Lau et al., 2006); 7: Olsen (2006); 8: Uzbekistam (Mooney y Brocher, 1987); 9: SW de Marruecos (Labails et al., 2009); 10: Margen More (Mjelde et al., 2009). 

Figura 3 a) Puntos de perforación oceánica que han atravesado las capas de la corteza oceánica (modificada de Dick et al., 2006); b) Propiedades sísmicas de las capas de la corteza oceánica integrada de los resultados de los programas DSDP, ODP, IODP. Las barras de color gris a negro indican los rangos de velocidades medidas en cada uno de los tipos de roca. 

Para el manto superior se consideran los rangos de velocidades sísmicas de 7.70-8.29 km/s y 7.60-8.46 km/s, para áreas continentales y oceánicas, respectivamente (Contrucci et al., 2004; Lau et al., 2006; Labails et al., 2009; Neves y Neves, 2009). Las menores velocidades sísmicas se reportan en áreas de rift continentales modernos (7.7-7.9 km/s), y las mayores velocidades sísmicas se reportan en áreas de paleorifts continentales y cratónicas (8.0 a 8.29 km/s) (Mooney et al., 1998; Olsen, 2006). En algunas regiones como Canadá, las velocidades sísmicas registradas en el manto de hasta 8.6 km/s se atribuyen a una anisotropía del manto de 4-5% (Chulick y Mooney, 2002).

3.2. Modelado magnético 2D en el sur del Golfo de México

Pare el desarrollo del modelo magnético 2D, se utilizaron los datos magnéticos adquiridos a lo largo de un perfil en el sur del Golfo de México, durante la Campaña Oceanográfica GMET2011, a bordo del Buque Oceanográfico Justo Sierra de la Universidad Nacional Autónoma de México (UNAM). Este perfil cuenta con una longitud de 365.68 km.

Con base en el carácter regional del modelo, los datos magnéticos fueron filtrados con un filtro pasa_bajas, y los métodos gráficos Vaquier, Peters y Bruckshaw se aplicaron al regional de la respuesta magnética para el cálculo de la profundidad de la fuente magnética, obteniendo profundidades de 10.0 a 12.5 km, semejantes a las obtenidas mediante señal analítica (Chávez-Zambrano, 2017). Se integró el límite de la corteza oceánica-corteza continental, la batimetría adquirida y la profundidad de la base de la fuente magnética reportada por Rosales-Rodríguez et al. (2014).

En este modelo se consideraron las características y propiedades geológicas y geométricas de los márgenes continentales volcánicos y no volcánicos. Por lo tanto, también se integró la conceptualización del modelo de distribución de las velocidades sísmicas asociadas a la capa de alta velocidad, identificadas en el margen sur de la corteza oceánica del Golfo de México. Se hace un enfoque en un modelo tectónico relacionado con el comportamiento del cuerpo que genera la fuerte anomalía magnética cercana al límite tectónico corteza oceánica-corteza continental del sur del Golfo de México (denominada Anomalía Magnética de Campeche).

4. Resultados y discusión

4.1. Velocidades sísmicas de la corteza y manto en el Golfo de México

A partir del análisis de las velocidades sísmicas se definen las capas de la corteza continental, corteza oceánica, cima del manto y la capa de alta velocidad.

Corteza Continental

La corteza continental superior es representada por velocidades sísmicas de 5.5-6.3 km/s, con espesores de 5.4-13.0 km en el norte del Golfo de México, y espesores de 1.5-7.0 km en el sur del golfo. Estas velocidades sísmicas se asocian con granitos o granodioritas, y son correlacionables con las rocas de basamento reportadas en subsuelo y afloramientos cercanos al margen del Golfo de México.

En la mayor parte del Golfo de México, subyaciendo la corteza continental superior se reportan velocidades sísmicas de 6.4-6.94 km/s, asociadas con rocas máficas de la corteza continental inferior. En el norte del Golfo de México, los espesores varían entre 4.8 y 21.0 km, mientras que en el sur los espesores oscilan entre 5.1 y 9.9 km.

Corteza oceánica

La capa superior de la corteza oceánica (basaltos/diques) no se diferencia por sísmica de refracción, considerándose que los valores de su velocidad sísmica son similares a las velocidades sísmicas de las secuencias carbonatadas que le sobreyacen. En la cuenca Apalachicola y Cañón de Soto, sobre el margen del norte del Golfo de México, las profundidades de estas velocidades sísmicas corresponden a las secuencias carbonatadas Mesozoicas (Dobson y Buffler, 1997; Mancini et al., 2001). En el borde norte-noreste de la Península de Yucatán, en los sitios 86, 94 y 95 del DSDP, las velocidades sísmicas de los carbonatos del Cretácico inferior-medio, varían entre 4.6 y 5.1 km/s (Worzel et al., 1970). Al noreste de la Península de Yucatán y noroeste de Cuba, en la parte profunda del Golfo de México, los sitios 535, 536, 537, 538A y 540 del DSDP cortaron carbonatos del Cretácico inferior-medio con velocidades sísmicas medidas entre 3.2 y 4.71 km/s (Buffler et al., 1984). Por lo tanto, la diferenciación entre basaltos y carbonatos podría ser hecha a partir de un análisis detallado sobre líneas o volúmenes sísmicos de reflexión.

La capa inferior de la corteza oceánica está representada por velocidades sísmicas entre 6.1 y 6.9 km/s, asociadas con gabros, con espesores entre 2.55 y 7.2 km. Se observan diferencias en las velocidades sísmicas entre la porción occidental y oriental de la corteza oceánica del Golfo de México. En la porción occidental las velocidades sísmicas oscilan entre 6.1 y 6.7 km/s, predominando los valores de 6.6-6.7 km/s; mientras que, en la porción oriental las velocidades sísmicas son de 6.8-6.9 km/s.

Capa de alta velocidad

En áreas cercanas al límite corteza continental-corteza oceánica, subyaciendo a la corteza continental superior, se reportan velocidades sísmicas entre 7.0 y 7.8 km/s, sugiriendo un reemplazo de la corteza continental inferior por intrusiones máficas o ultramáficas provenientes del manto durante una etapa distensiva del Golfo de México.

Manto superior

Las diferencias entre las velocidades sísmicas de la porción occidental y oriental de la corteza oceánica, también se observan a nivel del manto, donde en la porción occidental las velocidades sísmicas varían entre 8.0 y 8.4 km/s, mientras que en la porción oriental varían entre 7.8 y 8.1 km/s.

4.2. Velocidades de expansión de la corteza oceánica del Golfo de México

A partir de la distribución de las velocidades sísmicas de la corteza oceánica y corteza continental, así como de las anomalías magnéticas y gravimétricas, y el mapa de derivada horizontal total de la gravedad isostática (Odegard, 2005; Roman-Ramos et al., 2010), se sugiere la distribución de la corteza oceánica del Golfo de México y distribución de los cuerpos intrusivos definidos a partir de anomalías de altas velocidades sísmicas (Figura 4). Estos cuerpos intrusivos se ubican principalmente en la corteza continental transicional del norte del Golfo de México, aunque sobre la corteza continental transicional del sur del golfo no se cuenta con cobertura de sísmica de refracción.

Figura 4 Límite de la Corteza Oceánica Golfo de México, distribución de los puntos con reporte de la capa de alta velocidad y configuración de los cuerpos intrusivos máficos en la base de la corteza, asociados a un margen continental volcánico. a) velocidades sísmicas de la corteza oceánica, b) velocidades sísmicas del Manto superior en el área de corteza oceánica. 

A partir del límite de corteza oceánica definido, se estimaron longitudes de corteza oceánica generada, observándose que en la porción occidental estas longitudes varían entre 348.2 y 423.6 km; mientras que en la porción oriental son menores. varían entre 241.8 y 265.5 km. En parte central de la corteza oceánica la longitud estimada es de 160.0 km.

Asumiendo que, el periodo de formación de la corteza oceánica del Golfo de México tiene una duración de ~26 Ma (Marton y Buffler, 1994; Marton, 1995; Pindell, 1985; Salvador, 1991; Winker y Buffler, 1988), las velocidades de expansión de la porción occidental de la corteza oceánica son de 6.7-8.2 mm/año, y de ~5.0 mm/año en la porción oriental. En ambos casos, la corteza fue generada por un proceso de ultra-lenta expansión. Kneller y Johnson (2011) sugieren que en el norte del Golfo de México la corteza transicional puede asociarse con litosfera generada por ultra lenta expansión. También en el norte del Golfo de México Eddy et al. (2014), sugieren un proceso de lenta expansión del piso oceánico (~24 mm/año). Eskamani (2014) calcula una velocidad media de expansión del piso oceánico del Golfo de México de 8.5 mm/año, que define como baja expansión. Finalmente, Beutel y Filina (2020) y Filina et al. (2020) definen dos fases de expansión de la corteza oceánica del Golfo de México, la primera fase fue de ultra-lenta expansión (0.9 cm/año), seguida por una fase de lenta expansión (1.1 cm/año).

Estas diferencias en las velocidades de expansión pueden sugerir que la corteza oceánica del Golfo de México fue generada por dos procesos de expansión o bien en dos periodos tectónicos. Ambas hipótesis pueden estar relacionadas con la diferencia observada en las velocidades sísmicas entre la porción oriental y occidental de la corteza oceánica del Golfo de México, tanto en la corteza oceánica como en el manto superior.

4.3. Modelo tectónico 2D de la corteza en el sur del Golfo de México

En los resultados del modelo magnético 2D se observa que, en la porción occidental del perfil, donde se incluye la corteza continental del oeste del Golfo de México y la corteza oceánica, no existen variaciones litológicas dentro de ambas cortezas (Figura 5). Sin embargo, en la porción oriental del perfil, que incluye la corteza continental del este del Golfo de México, se sugieren dos cambios litológicos corticales importantes, con implicaciones tectónicas en el modelo de evolución del Golfo de México. El primer cambio corresponde a cuerpos intrusivos modelados en la base de la corteza continental y cercanos al límite de la corteza oceánica-corteza continental, con susceptibilidades de 8.2×10-3 y 9×10-3 unidades cgs. El segundo cambio es asociado a la principal anomalía magnética del perfil (Anomalía Magnética de Campeche, ~110 nT), y se modela como una zona serpentinizada sobreyaciendo a las peridotitas del manto, con susceptibilidades magnéticas de 1.2×10-2 y 5×10-3 unidades cgs, respectivamente. El primer cambio litológico, definido en la porción oriental del perfil magnético 2D sugiere un modelo tectónico de margen continental volcánico, en tanto que el segundo cambio litológico se asocia a un modelo de margen continental no volcánico.

Figura 5 Modelo cortical del sur del Golfo de México, desarrollado a partir del modelado magnético del perfil GMET2011. 

4.3.1. Modelo de margen continental volcánico

Los cuerpos intrusivos de la base de la corteza se interpretan como intrusiones máficas-ultramáficas ocurridas durante el inicio de la formación de la corteza oceánica del Golfo de México. De acuerdo con las velocidades sísmicas definidas para los cuerpos intrusivos cercanos al límite corteza oceánica-corteza continental, en el noroeste de la Península de Yucatán estas altas velocidades se correlacionan con los dipolos magnéticos a lo largo del límite de la corteza oceánica, por lo tanto, es posible sugerir la distribución de los cuerpos intrusivos que las generan, tanto en el noroeste de la Península de Yucatán (Figura 6a), como en el área que atraviesa el perfil de modelado magnético en el sur del Golfo de México (Figura 6b). Esta distribución de cuerpos intrusivos es congruente con los resultados de reducción al polo de las anomalías magnéticas del Golfo de México reportado por la Comisión Nacional de Hidrocarburos (CNH, 2015).

Figura 6 a) Correlación de las anomalías magnéticas con los cuerpos intrusivos de alta velocidad (rombos en color azul) en el noroeste de la Península de Yucatán, b) interpretación de la distribución de los cuerpos intrusivos interpretados en el modelado magnético del perfil al sur del Golfo de México. En ambos casos la línea punteada sugiere la presencia de cuerpos intrusivos delimitados a partir de las anomalías magnéticas, los datos magnéticos son tomados de NAMAGv2 (NAMAG, 2002). 

La presencia de estos cuerpos intrusivos se ha reportado por diferentes autores, definidos a partir del análisis de velocidades sísmicas a lo largo de perfiles de reflexión y refracción, así como del modelado de datos magnéticos y gravimétricos, principalmente en el norte del Golfo de México. Bird et al., (2005) a partir de los resultados de modelado gravimétrico en el Golfo de México, sugiere que las anomalías gravimétricas del Cañón Keathley y paralela a Yucatán (ambas sobre el límite corteza oceánica-continental), corresponden a áreas de hotspots producidos a partir de plumas de manto durante la apertura del Golfo de México. Kocel (2012) mediante modelado magnético y gravimétrico ubica posibles reflectores sísmicos SDRs (Seaward Dipping Reflectors) en la corteza continental transicional del norte del Golfo de México, sugiriendo la presencia de intrusivos en la base de la corteza continental, asociados a un margen volcánico. Eddy et al. (2014) interpreta altas velocidades sísmicas en la base de la corteza transicional (>7.2 Km/s), a lo largo de dos perfiles en el norte-noreste del Golfo de México, que asocia con intrusiones máficas, sugiriendo además la presencia de SDRs. Eskamani (2014) menciona que las velocidades >7.0 Km/s, en la corteza transicional cercana a la costa de Texas, corresponden a una amplia zona de complejos ígneos máficos producto de un margen volcánico, como lo sugiere Mickus et al., (2009). Van Avendonk et al., (2015) a partir de velocidades sísmicas, sugieren la presencia de intrusiones ígneas en la corteza continental afectada tectónicamente durante el rompimiento continental. Beutel y Filina (2020), Filina y Hartford (2021) y Filina et al. (2022) con base en integración de métodos potenciales y sísmica de reflexión sugieren la presencia de SDRs en el noroeste de la península de Yucatán y noreste del Golfo de México (paralelos a la anomalía Magnética de Florida y Anomalía magnética de Yucatán).

Stern et al. (2011) a partir de dataciones de xenolitos de rocas ígneas máficas recuperados en el sur de Louisiana (158 ± 0.02 a 160.1 ± 0.7 Ma), sustentan la actividad ígnea durante la apertura del Golfo de México al mismo tiempo del final de depósito de la Sal Louann.

4.3.2. Modelo de margen continental no volcánico

La anomalía magnética de Campeche se modela bajo el contexto de margen continental no volcánico, principalmente debido al contraste observado entre alta anomalía magnética y baja anomalía gravimétrica en esta porción del sur del Golfo de México. El área de manto serpentinizado (Figura 7a), se interpreta debido al efecto causado por el proceso de serpentinización, como respuesta de la hiperextensión cortical y exhumación del manto. La intensidad de la anomalía magnética de Campeche (80-130 nT) puede corresponder con lo señalado por Miles et al. (1996) para el área serpentinizada del manto en el margen continental de Iberia (~110 nT). Algunos autores sugieren que, en el norte del Golfo de México, las propiedades de la corteza y manto interpretadas a lo largo de la corteza transicional, cercana al límite tectónico de la corteza oceánica-corteza continental, corresponden a un manto serpentinizado, característico de un margen continental no volcánico (Lister et al., 1986; Lawrence et al., 1997; Dietze y Kontny, 2011; Kneller y Johnson, 2011; Pindell et al., 2014; Pindell et al., 2016; van Avendonk et al., 2015; Minguez et al., 2020; Filina y Beutel, 2021; Filina y Hartford, 2021; Filina et al., 2022; Curry et al., 2024).

Figura 7 a) Distribución del área de manto serpetinizado y cuerpos intrusivos interpretados en el perfil magnético 2D. 

4.3.3. Relación temporal de los modelos de margen continental volcánico y no volcánico en el Golfo de México.

De acuerdo con las diferencias obtenidas para las velocidades de expansión de la corteza oceánica del Golfo de México, así como características tectónicas relacionadas con los modelos de margen continental volcánico y no volcánico, definidos en el modelo magnético 2D del sur del golfo, se sugieren dos periodos tectónicos de apertura del Golfo de México (Figura 8).

Figura 8 Modelo de dos periodos de evolución tectónica del Golfo de México, a) primer periodo asociado a un margen continental no volcánico y serpentinización del Manto, y b) segundo periodo asociado a un margen continental volcánico, caracterizado por intrusiones máficas, desarrollo de la corteza oceánica y rotación de Yucatán. 

El primer periodo tectónico es asociado a un margen continental no volcánico, en el cual ocurre la serpentinización del manto durante su exhumación. La exhumación del manto se desarrolla a partir de una falla de despegue a nivel litosférico (Figura 8a), bajo el contexto del modelo tectónico de cizalla simple de rompimiento continental propuesto por Wernicke (1981). En este primer periodo, la Península de Yucatán inicia su separación de la placa Norteamericana, por proceso de ultra lenta expansión de la corteza oceánica del norte del Golfo de México. Lister et al. (1986) y van Avendonk et al. (2015) sugieren una falla de despegue a nivel litosférico para el origen del Golfo de México, con base en las diferencias de la secuencia sedimentaria entre el sur y el norte del golfo, así como, a la asimetría entre sus tipos de corteza. Minguez et al. (2020) menciona la exhumación del manto ocurre entre 169 y 166 Ma y se relaciona a mecanismos de ruptura litosféricos a lo largo de una falla desarrollada entre la corteza y el manto.

El segundo periodo, es asociado a un margen continental volcánico, en el cual se interpreta a una probable migración de la actividad Astenosférica y un incremento en la actividad magmática, responsable de las intrusiones ígneas a lo largo de la corteza transicional. Durante este periodo tectónico se desarrolla en su totalidad la corteza oceánica del Golfo de México (Figura 8b), hay un incremento en la velocidad de expansión e inicia la rotación de la Península de Yucatán.

Lundin y Doré (2017) sugieren dos fases de expansión de la corteza oceánica del Golfo de México, la primera se desarrolla entre 190 y 166 Ma y la segunda entre 163-140 Ma. Alvey et al. (2015) mencionan que la primera fase de expansión de la corteza oceánica del Golfo de México corresponde principalmente con extensión (175-165 Ma) y la segunda con la rotación de Yucatán (163-153 Ma). Pindell et al. (2020) asigna una edad más reciente a estas dos fase de expansión de la corteza oceánica, la primera fase ocurre de 167 a 147 Ma, y la segunda entre 147 y 139 Ma. Finalmente, Beutel y Filina (2020) y Filina et al. (2020) sugieren dos fases de expansión oceánica: a) la primera fase caracterizada por ultralenta expansión y relacionada al inicio de la rotación de Yucatán y baja actividad magmática, ocurre entre 162-151 Ma; b) la segunda fase caracterizada por una lenta expansión oceánica, mayor aporte de magma y la completa separación de Yucatán, tiene lugar entre 151-137 Ma. Izquierdo-Llavall et al. (2022) consideran la apertura del Golfo de México inicia con un margen volcánico que evoluciona a un margen pobre en magma, este último caracterizado por la exhumación del manto al oeste de Florida y centro-oeste de Yucatán.

5. Conclusiones

A partir del análisis de las velocidades sísmicas, se interpreta las características y distribución de la corteza oceánica, corteza continental, capa de alta velocidad y manto superior en el Golfo de México.

La corteza continental superior se caracteriza por velocidades sísmicas de 5.5-6.3 km/s, que se asocian con granitos o granodioritas, y son correlacionables con las rocas de basamento del margen del Golfo de México. La corteza continental inferior se caracteriza por velocidades sísmicas de 6.4-6.94 km/s, asociadas con rocas máficas.

En áreas cercanas al límite corteza continental-corteza oceánica, las velocidades sísmicas entre 7.0 y 7.8 km/s, son interpretadas como un reemplazo de la corteza continental inferior por intrusiones máficas o ultramáficas provenientes del manto durante una etapa distensiva del Golfo de México.

La corteza oceánica inferior está representada por velocidades sísmicas entre 6.1 y 6.9 km/s, asociadas con gabros, con espesores entre 2.55 y 7.2 km.

Se observan diferencias en las velocidades sísmicas entre la porción occidental (6.1 y 6.7 km/s, predominando 6.6-6.7 km/s) y oriental (6.8-6.9 km/s) de la corteza oceánica del Golfo de México. A nivel del manto, en la porción occidental de la corteza oceánica, las velocidades sísmicas varían entre 8.0 y 8.4 km/s, mientras que en la porción oriental varían entre 7.8 y 8.1 km/s.

A partir de la estimación de la velocidad de expansión, se observa diferencias entre la porción oriental y occidental de la corteza oceánica del Golfo de México, con una distribución semejante a la observada con las velocidades sísmicas. En la porción occidental de la corteza oceánica las velocidades de expansión son de 6.7-8.2 mm/año, mientras que en la porción oriental son de ~5.0 mm/año.

La diferencia en velocidades sísmicas y velocidades de expansión entre la porción oriental y occidental de la corteza oceánica, se interpretan debido variaciones tectónicas durante el proceso de expansión de la corteza oceánica del Golfo de México.

A partir del modelado magnético, en la porción oriental de la corteza continental del sur del Golfo de México se sugieren dos cambios litológicos importantes a nivel de corteza, el primer cambio corresponde a cuerpos intrusivos modelados en la base de la corteza continental, y el segundo cambio es asociado a la principal anomalía magnética del perfil, que se modela como una zona serpentinizada sobreyaciendo a las peridotitas del manto.

Con estos cambios corticales en el presente trabajo se sugieren dos periodos tectónicos durante la apertura del Golfo de México.

El primer periodo tectónico es asociado a un margen continental no volcánico, en el cual ocurre la serpentinización del manto durante su exhumación. En este primer periodo, la Península de Yucatán inicia su separación de la placa Norteamericana, por proceso de ultra lenta expansión de la corteza oceánica del norte del Golfo de México.

El segundo periodo, es asociado a un margen continental volcánico, durante el cual se desarrolla en su totalidad la corteza oceánica del Golfo de México, con un incremento en la velocidad de expansión, emplazamiento de cuerpos intrusivos en la base de la corteza e inicia la rotación de la Península de Yucatán.

Las evidencias utilizadas en este trabajo para sugerir variaciones tectónicas durante la expansión de la corteza oceánica o dos periodos tectónicos de expansión de la corteza oceánica del Golfo de México, así como en las implicaciones para la evolución del margen continental son acordes con las evidencias reportadas por trabajos previos para norte del Golfo de México y norte de la Península de Yucatán. Por lo tanto, contribuyen en el avance del conocimiento del origen y evolución del Golfo de México, aunque aun se requiere el desarrollo de modelos tectónicos a lo largo del margen occidental de la Península de Yucatán.

6. Bibliografía

Allen, P. A., Allen, J. R. (2013). Basin analysis: Principles and application to petroleum play assessment. Oxford, United Kingdom: Willey-Blackwell. [ Links ]

Alvey, A., Kusznir, N. J., Roberts, A. (2015). Regional crustal structure of the Gulf of Mexico from gravity inversion. [Presentación de paper]. AAPG Annual Convention and Exhibition, Denver, CO. [ Links ]

Anderson, D. L. (2007). New Theory of the Earth. United Kingdom. Cambridge University Press. [ Links ]

Becker, K., Franke, D., Trumbull, R., Schnabel, M., Heyde, I., Schreckenberger, B., Koopmann, H., Bauer, K., Jokat, W., Krawczyk, C. M. (2014). Asymmetry of high-velocity lower crust on the South Atlantic rifted margins and implications for the interplay of magmatism and tectonics in continental breakup. Solid Earth, 5(2), 1011-1026. doi: https://doi.org/10.5194/se-5-1011-2014 [ Links ]

Beutel, E., Filina, I. (2020). New observations demand revisions of currently accepted tectonic models of the Gulf of Mexico. [Presentación de paper]. AAPG Annual Convention & Exhibition. [ Links ]

Bird, D. E., Hall, S. A., Casey, J. F. y Burke, K. (2005). Gulf of Mexico tectonic history: Hotspot tracks, crustal boundaries, and early salt distribution. AAPG Bulletin, 89(3), 312-328. doi: https://doi.org/10.1306/10280404026 [ Links ]

Buffler, R. T., Sawyer, D. S. (1985). Distribution of Crust and Early History. Gulf of Mexico basin. Gulf Coast Association of Geological Societies Transactions, 35, 333-334. [ Links ]

Buffler, R. T., Schlager, W., Bowdler, J. L., Cotillon, P. H., Halley, R. B., Kinoshita, H., Magoon, L. B., McNulty, C. L., Patton, J. W., Premoli, S. I., Suarez, O. A., Testarmata, M. M., Tyson, R. V., Watkins, D. K., Kenneth, A. (1984). Initial reports of the Deep Sea Drilling Project, covering Leg 77 of the cruises of the drilling vessel Glomar Challenger; Ft. Lauderdale, Florida to San Juan, Puerto Rico, December 1980-February 1981. University, Ocean Drilling Program, College Station, TX, United States. [ Links ]

Bugti, M. N. (2022). Mesozoic Plate Reconstruction, Salt Tectonics, and Hydrocarbon Potential of the Western Gulf of Mexico basin. [Master Thesis]. University of Houston. [ Links ]

Chávez-Zambrano, L. Y. (2017). Geometría y composición de la Corteza del sur del Golfo de México a partir del modelado magnético 2D. [Tesis de Licenciatura]. Escuela Superior de Ingeniería y Arquitectura, Unidad Ticomán, Instituto Politécnico Nacional. [ Links ]

Christeson, G. L., Van Avendonk, H. J. A., Norton, I. O., Snedden, J. W., Eddy, D. R., Karner, G. D., Johnson, C. A. (2014). Deep crustal structure in the eastern Gulf of Mexico. Journal of Geophysical Research: Solid Earth,119(9), 6782-6801. doi: https://doi.org/10.1002/2014JB011045 [ Links ]

Chulick, G. S., Mooney, W. D. (2002). Seismic Structure of the Crust and Uppermost Mantle of the North America and Adjacent Oceanic Basins: A Synthesis. Bulletin of the Seismological Society of America, 92 (6), 2478-2492. [ Links ]

Comisión Nacional de Hidrocarburos (2015). Atlas Geológico del Golfo de México-Aguas Profundas Norte. Comisión Nacional de Hidrocarburos. [ Links ]

Contrucci, I., Klingelhöfer, F., Perrot, J., Bartolome, R., Gutscher, M. A., Sahabi, M., Malod, J., Rehault, J. P. (2004). The crustal of the NW Moroccan continental margin from wide-angle and reflection seismic data. Geophysical Journal International, 159(1), 117-128. doi: https://doi.org/10.1111/j.1365-246X.2004.02391.x [ Links ]

Curry, M. E., Hudec, M. R., Peel, F. J., Fernandez, N., Apps, G., & Snedden, J. W. (2024). Structural restorations of the complete conjugate US-Mexico eastern Gulf of Mexico margin. Tectonics, 43(1), 1-25. doi: https://doi.org/10.1029/2023TC007897 [ Links ]

d’Acremont, E., Leroy, S., Beslier, M. O., Bellahsen, N., Fournier, M., Robin, C., Maia, M., Gente, P. (2005). Structure and evolution of the eastern Gulf of Aden conjugate margins from seismic reflection data. Geophysical Journal International, 160(3), 869-890. doi: https://doi.org/10.1111/j.1365-246X.2005.02524.x [ Links ]

Darbyshire, F. A., White, R. S., Priestley, K. F. (2000). Structure of the crust and uppermost mantle of Iceland from a combined seismic and gravity study. Earth and Planetary Science Letters, 181(3), 409-428. doi: https://doi.org/10.1016/S0012-821X(00)00206-5 [ Links ]

Deighton, I. C., Winter, F., Chisari, D. (2017). Recent high-resolution seismic, magnetic and gravity data throws new light on the early development of the Gulf of Mexico. [Presentación de paper]. AAPG Annual Meeting Abstracts, Houston. [ Links ]

Dick, H. J. B., Lin, J., Schouten, H. (2003). An ultraslow-spreading class of ocean ridge. Nature, 426, 405-412. doi: https://doi.org/10.1038/nature02128 [ Links ]

Dick, H. J. B., Natland, J. H., Ildefonse, B. (2006). Past and Future Impact of Deep Drilling in the Oceanic Crust and Mantle. Oceanography, 19(4), 72-80. doi: https://doi.org/10.5670/oceanog.2006.06 [ Links ]

Dietze, F., Kontny, A. (2011). A study of rock magnetic properties of serpentinites from the Outokumpu Deep Drill Hole, Finland. Geological Survey of Finland, Special Paper 51, 133-150. [ Links ]

Dobson, L. M., Buffler, R. T. (1997). Seismic stratigraphy and geologic history of Jurassic rocks, northeastern Gulf of Mexico. AAPG Bulletin, 81(1), 100-120. doi: https://doi.org/10.1306/522B42A3-1727-11D7-8645000102C1865D [ Links ]

Eddy, D. R., Avendonk, H. J. A., Christeson, G. L., Norton, I. O., Karner, G. D., Johnson, C. A. y Snedden, J. W. (2014). Deep crustal structure of the northeastern Gulf of Mexico: Implications for rift evolution and seafloor spreading. Journal of Geophysical Research: Solid Earth, 119(9), 6802-6822. [ Links ]

Eddy, D. R., Van Avendonk, H. J., Christeson, G. L., Norton, I. O. (2018). Structure and origin of the rifted margin of the northern Gulf of Mexico. Geosphere, 14 (4), 1804-1817. doi: https://doi.org/10.1130/GES01662.1 [ Links ]

Ervin, C. P., McGinnis, L. D. (1975). Reelfoot Rift: Reactivated Precursor to the Mississippi Embayment. Geological Society of America Bulletin, 86(9), 1287-1295. doi: https://doi.org/10.1130/0016-7606(1975)86<1287:RRRPTT>2.0.CO;2 [ Links ]

Eskamani, P. K. (2014). Seafloor spreading in the eastern Gulf of Mexico: new evidence for marine magnetic anomalies. [Master Thesis]. Colorado University. [ Links ]

Ewing, M., Worzel, J. L., Ericson, D. B., Heezen, B. C. (1955). Geophysical and geological investigations in the Gulf of Mexico, Part I. Geophysics, 20(1), 1-18. doi: https://doi.org/10.1190/1.1438120 [ Links ]

Filina, I., Austin, J., Doré, T., Johnson, E., Minguez, D., Norton, I., Snedden, J., Stern, R. (2022). Opening of the Gulf of Mexico: What we know, what questions remain, and how we might answer them. Tectonophysics, 822, 229150. https://doi.org/10.1016/j.tecto.2021.229150 [ Links ]

Filina, I., Beutel, E. (2021). Geological and geophysical constraints guide new tectonic reconstruction of the Gulf of Mexico. En: Çemen, I., Catlos, E. (Eds.), Tectonic Processes: a Global View , Volume I. (pp. 1-35), John Wiley & Sons Inc, Hoboken, NJ, USA. [ Links ]

Filina, I., Liu, M., Beutel, E. (2020). Evidence of ridge propagation in the eastern Gulf of Mexico from integrated analysis of potential fields and seismic data. Tectonophysics, 775, 228307. doi: https://doi.org/10.1016/j.tecto.2019.228307. [ Links ]

Filina. I., Hartford, L. (2021). Subsurface structures along western Yucatan from integrated geophysical analysis. Marine and Petroleum Geology, 127, 104964. doi: https://doi.org/10.1016/j.marpetgeo.2021.104964 [ Links ]

Fowler, C. M. R. (2005). The Solid Earth: An Introduction to Global Geophysics: Second edition. United Kingdom: Cambridge University Press. [ Links ]

Fries, C., Rincon-Orta, C., Silver, L.T., McDowell, F.W., Solorio-Munguia, J., Schmitter-Villada, E., de Cserna, Z. (1974). Nuevas aportaciones a la geocronología de la tectónica Oaxaqueña. Boletín de la AMGP, XXVI (4-6), 157-182. [ Links ]

Geoffroy, L. (2005). Volcanic passive margins. Comptes Rendus Geoscience, 337(16), 1395-1408. doi: https://doi.org/10.1016/j.crte.2005.10.006 [ Links ]

Hales, A. L., Helsley, C. E., Nation, J. B. (1970). Crustal Structure Study on Gulf Coast of Texas. AAPG Bulletin, 54(11), 2040-2057. doi: https://doi.org/10.1306/5D25CC6B-16C1-11D7-8645000102C1865D [ Links ]

Harry, D. L., Londono, J., Huerta, A. (2003). Early Paleozoic transform-margin structure beneath the Mississippi coastal plain, southeast United States. Geology, 31(11), 969-972. doi: https://doi.org/10.1130/G19787.1 [ Links ]

Horn, B., Hartwig, A., Faw, J., Novianti, I., Goswami, A., McGrail, A. (2017). Refining exploration opportunities in Mexico. GEOExPro, 14, 64-69. [ Links ]

Hudec, M. R., Norton, I. O., Jackson, M. P., Peel, F. J. (2013). Jurassic evolution of the Gulf of Mexico salt basin. AAPG Bulletin, 97(10), 1683-1710. doi: https://doi.org/10.1306/04011312073 [ Links ]

Hudec, M.R., Norton, I.O. (2019). Upper Jurassic structure and evolution of the Yucatán and Campeche subbasins, southern Gulf of Mexico. AAPG Bulletin, 103(5), 1133-1151. doi: https://doi.org/10.1306/11151817405 [ Links ]

Ibrahim, A. K., Carye, J., Latham, G., Buffler, R. T. (1981). Crustal Structure in Gulf of Mexico from OBS Refraction and Multichannel Reflection Data. AAPG Bulletin, 65(7), 1207-1229. doi: https://doi.org/10.1306/03B5948B-16D1-11D7-8645000102C1865D [ Links ]

Ismael, M. (2014). Tectonostratigraphic stages in the Mesozoic opening and subsidence of the Gulf of Mexico based on deep-penetration seismic reflection data in the salt-free eastern part of the basin. [Master Thesis]. University of Houston, Texas. [ Links ]

Izquierdo-Llavall, E., Ringenbach, J. C., Sapin, F., Rives, T., Callot J. P. (2022). Crustal structure and lateral variations in the Gulf of Mexico conjugate margins: From rifting to break-up. Marine and Petroleum Geology, 136, 105484. doi: https://doi.org/10.1016/j.marpetgeo.2021.105484 [ Links ]

Jacobo, A. J. (1986). El basamento del distrito de Poza Rica y su implicación en la generación de hidrocarburos. Revista del Instituto Mexicano del Petróleo, 18(1), 6-24. [ Links ]

Jacques, J. M. Price, A. D.; Bain, J. E., 2004. Digital integration of potential fields and geological datasets for plate tectonic and basin dynamic modelling-the first step towards identifying new play concepts in the Gulf of Mexico Basin. The Leading Edge, 23(4), 384-389. doi: https://doi.org/10.1190/1.1729229 [ Links ]

Jarchow, C. M., Thompson, G. A. (1989). The Nature of the Mohorovičić Discontinuity. Annual Review of Earth and Planetary Sciences, 17, 475-506. doi: https://doi.org/10.1146/annurev.ea.17.050189.002355 [ Links ]

Kearey, P., Brooks, M., Hill, I. (2002). An Introduction to Geophysical Exploration. Oxford, United Kingdom: Blalckwell Science Ltd. [ Links ]

Kern, H., Gao, S., Liu, Q.S. (1996). Seismic properties and densities of middle and lower crustal rocks exposed along the North China Geoscience Transect. Earth and Planetary Science Letters, 139(3-4), 439-455. doi: https://doi.org/10.1016/0012-821X(95)00240-D [ Links ]

Kneller, E. A., Johnson, C. A. (2011). Plate kinematics of the Gulf of Mexico based on integrated observations from the Central and South Atlantic. Gulf Coast Association of Geological Societies Transactions, 61, 283-300. [ Links ]

Kocel, E. (2012). An integrated geophysical study of the northern Gulf of Mexico. [Master Thesis]. University of Houston. [ Links ]

Labails, C., Olivet, J. L., The Dakhla study group (2009). Crustal structure of the SW Moroccan margin from wide-angle and reflection seismic data (the Dakhla experiment). Part B-The tectonic heritage. Tectonophysics, 468, 83-97. doi: https://doi.org/10.1016/j.tecto.2008.08.028 [ Links ]

Ladd, J. W., Buffler, R. T., Watkins, J. S., Worzel, J. L., Carranza, A. (1976). Deep seismic reflection results from the Gulf of Mexico. Geology, 4(6), 365-368. doi: https://doi.org/10.1130/0091-7613(1976)4<365:DSRRFT>2.0.CO;2 [ Links ]

Lau, K. W. H., Louden, K. E., Funck, T., Tucholke, B. E., Holbrook, W. S., Hopper, J. R., Larsen, H. C. (2006). Crustal structure across the Grand Banks-Newfoundland Basin Continental Margin-I. Results from a seismic refraction profile. Geophysical Journal International, 167(1), 127-156. doi: https://doi.org/10.1111/j.1365-246X.2006.02988.x [ Links ]

Lawrence, R. M., Gee, J. S., Hurst, S. D. (1997). Magnetic anisotropy in serpentinized peridotites from site 920: its origin and relationship to deformation fabrics. In Karson, J.A., Cannat, M., Miller, D.J., and Elthon, D. (Eds.), Proceedings of the Ocean Drilling Program, Scientific Results (pp. 419-427). [ Links ]

Lee, W. H. K., Kanamori, H., Jennings, P. C., Kisslinger, C. (2002). International Handbook of Earthquakes and Engineering Seismology, Part A. Elsevier [ Links ]

Lister, G. S., Etheridge, M. A., Symonds, P. A. (1986). Detachment faulting and the evolution of passive continental margins. Geology, 14(3), 246-250. doi: https://doi.org/10.1130/0091-7613(1986)14<246:DFATEO>2.0.CO;2 [ Links ]

Liu, M., Filina, I., Mann, P. (2019). Crustal structure of Mesozoic rifting in the northeastern Gulf of Mexico from integration of seismic and potential fields data. Interpretation 7(4), T857-T867. doi: https://doi.org/10.1190/INT-2018-0259.1 [ Links ]

Liu., M. (2018). Integrated Geophysical Analysis in the Northeastern Gulf of Mexico. [Master Thesis]. University of Nebraska. [ Links ]

López-Infanzón, M. (1986). Petrología y Radiometría de Rocas ígneas y Metamórficas. Boletín de la AMGP, XXXVIII(2), 59-98. [ Links ]

López-Ramos, E. (1973). Estudio geológico de la Península de Yucatán. Boletín de la AMGP, XXV(1-3), 23-76. [ Links ]

Lundin, E. R., Doré, A. G. (2017). The Gulf of Mexico and Canada Basin: genetic siblings on either side of North America. GSA Today, 27(1), 4-11. [ Links ]

Maffione, M., Morris, A., Plümper, O. y Hinsberger, D. J. (2014). Magnetic properties of variably serpentinized peridotites and their implication for the evolution of oceanic core complexes. Geochemestry, Geophysics, Geosystems, 15(4), 923-944. doi: https://doi.org/10.1002/2013GC004993 [ Links ]

Mancini, E. A., Badalli, M., Pucket, T. M., Llinas, J. C., Parcell, W. C. (2001). Mesozoic Carbonate Petroleum Systems in the Northeastern Gulf of Mexico Area. [Sesión de conferencia]. GCSSEPM Foundation 21st Annual Research Conference, Petroleum Systems of Deep-Water Basins, Houston, Texas. [ Links ]

Marton, G. L., 1995. Jurassic evolution of the Southeastern Gulf of Mexico. [PhD Thesis]. University of Texas at Austin, Texas. [ Links ]

Marton, G., Buffler R. T. (1994). Jurassic reconstruction of the Gulf of Mexico Basin. International Geology Review, 36(6), 545-586. doi: https://doi.org/10.1080/00206819409465475 [ Links ]

Mickus, K. L., Keller, G. R. (1992). Lithospheric structure of the south-central United States. Geology, 20(4), 335-338. doi: https://doi.org/10.1130/0091-7613(1992)020<0335:LSOTSC>2.3.CO;2 [ Links ]

Mickus, K., Stern, R. J., Keller, G. R., Anthony, E. Y. (2009). Potential field evidence for a volcanic rifted margin along the Texas Gulf Coast. Geology, 37(5), 387-390. doi: https://doi.org/10.1130/G25465A.1 [ Links ]

Miles, P. R., Verhoef, J., Macnab, R. (1996). Compilation of magnetic anomaly chart west of Iberia. Proceedings-Ocean Drilling Program Scientific Results.149, 659-664. [ Links ]

Minguez, D., Hensel, E., Johnson, E. A. E. (2020). A fresh look at Gulf of Mexico tectonics: Testing rotations and breakup mechanisms from the perspective of seismically constrained potential-fields modeling and plate kinematics. Interpretation, 8(4), SS31-SS45. doi: http://dx.doi.org/10.1190/INT-2019-0256.1. [ Links ]

Miranda-Madrigal, E. (2010). Interpretación Geológica e Implicaciones Petroleras de un Sector del Golfo de México Profundo Aledaño al Borde NW de la Plataforma de Yucatán. [Tesis Licenciatura] Universidad Autónoma de Nuevo León. [ Links ]

Miranda-Madrigal, E., Chávez-Cabello, G. (2020). Regional Geological Analysis of the Southern Deep Gulf of Mexico and Northern Yucatán Shelf. Geological Society, London, Special Publications, 504, 183-202. doi: https://doi.org/10.1144/SP504-2020-1 [ Links ]

Mjelde, R., Raum, T., Kandilarov, A., Murai, Y., Takanami, T. (2009). Crustal structure and evolution of the outer More Margin, NE Atlantic. Tectonophysics, 468(1-4), 224-243. doi: https://doi.org/10.1016/j.tecto.2008.06.003 [ Links ]

Mjelde, R., Raum, T., Murai, Y., Takanami, T. (2007). Continent-ocean-transitions: Review, and a new tectono-magmatic model of the Voring Plateau, NE Atlantic. Journal of Geodynamics, 43(3), 374-392. doi: https://doi.org/10.1016/j.jog.2006.09.013 [ Links ]

Mooney, W. D., Brocher, T. M. (1987). Coincident seismic reflection/refraction studies of the continental lithosphere: a global review. Geophysical Journal International, 89(1), 1-6. doi: https://doi.org/10.1111/j.1365-246X.1987.tb04379.x [ Links ]

Mooney, W. D., Laske, G., Masters, G. (1998). Crust 5.1: A global crustal model at 5°x5°. Journal of Geophysical Research: Solid Earth, 103 (B1), 727-747. Doi: https://doi.org/10.1029/97JB02122 [ Links ]

Mooney, W. D., Meissner, R. (1992). Multi-genetic origin of crustal reflectivity: a review of seismic reflection profiling of the continental lower crust and Moho, En C.C. D. M. Fountain, R. Arculus and R. W. Kay, (Eds.), Continental Lower Crust (pp. 45-79). Elsevier, Amsterdam. [ Links ]

Muller, M. R., Robinson, C. J., Minshull, T. A., White, R. S., Bickle, M. J. (1997). Thin crust beneath ocean drilling program borehole 735B at the Southwestern Indian Ridge? Earth and Planetary Science Letters, 148(1-2), 93-107. doi: https://doi.org/10.1016/S0012-821X(97)00030-7 [ Links ]

Neves, M. C., Neves, R. G. M. (2009). Flexure and seismicity across the ocean continent transition in the Gulf of Cadiz. Journal of Geodynamics, 47(2-3), 119-129. doi: https://doi.org/10.1016/j.jog.2008.07.002 [ Links ]

Nguyen, L. C., Mann, P. (2016). Gravity and magnetic constraints on the Jurassic opening of the oceanic Gulf of Mexico and the location and tectonic history of the Western Main transform fault along the eastern continental margin of Mexico. Interpretation, 4(1), SC23-SC33. doi: https://doi.org/10.1190/INT-2015-0110.1 [ Links ]

North American Magnetic Anomaly Group (NAMAG, 2002). Magnetic Anomaly Map of North America: Processing, Compilation, and Geologic Applications of the New Digital Magnetic Anomaly Database and Map of North America. U. S. Geological Survey. doi: https://doi.org/10.3133/70211067 [ Links ]

Nwafor, E. (2013). Crustal structure of the Eastern Gulf of Mexico. [Master Thesis]. The University of Alabama. [ Links ]

O’Reilly, C. O., Keay, J., Birch-Hawkins, A., Bate, D., Halliday, J. (2017). Regional play types in the Mexican Offshore. GEO ExPro, 14, 36-45. [ Links ]

Odegard, M. E. (2005). Passive Margin Development in the Atlantic and Gulf of Mexico with a Special Emphasis on Proto-Oceanic Crust. En A. Paul J. Post, Norman C. Rosen, Donald L. Olson, Stephen L. Palmes, Kevin T. Lyons, Geoffrey B. Newton. (Eds.), Petroleum Systems of Divergent Continental Margin Basins, (pp. 1062-1090). SEPM Society for Sedimentary Geology. doi: https://doi.org/10.5724/gcs.05.25.1062 [ Links ]

Olivas, R. M. (1953). Influencia del Macizo de Teziutlan sobre los Sedimentos Mesozoicos y Terciarios, y Posibilidades petrolíferas de estos. Boletín de la AMGP, V(5-6), 167-176. [ Links ]

Olsen, K. H. (2006). Continental rifts evolution, structure, tectonics. Developments in Geotectonics. Elsevier. [ Links ]

Ortega-Gutiérrez, F., Elías-Herrera, M., Dávalos-Elizondo, M. G. (2008). On the nature and role of the lower crust in the volcanic front of the Trans-Mexican Volcanic Belt and its fore-arc region, southern and central Mexico. Revista Mexicana de Ciencias Geológicas, 25(2), 346-364. [ Links ]

Ortiz, U. A. (2006). Evolución Geológica-Estructural de la Región Arcabuz-Culebra, Oeste de la Cuenca de Burgos, Noreste de México. [Tesis de Doctorado]. Instituto de Geología, UNAM. [ Links ]

Padilla y Sánchez, R. J. (2007). Evolución geológica del sureste mexicano desde el Mesozoico al presente en el contexto regional del Golfo de México. Boletín de la Sociedad Geológica Mexicana, 59(1), 19-42. doi: https://doi.org/10.18268/bsgm2007v59n1a3 [ Links ]

Padilla-Sánchez, R. J. (2016). Late Triassic-Late Cretaceous Paleogeography of Mexico and the Gulf of Mexico. En A. Christopher M. Lowery, John W. Snedden, Norman C. Rosen (Eds.), Mesozoic of the Gulf Rim and Beyond: New Progress in Science and Exploration of the Gulf of Mexico Basin. SEPM Society for Sedimentary Geology. doi: https://doi.org/10.5724/gcs.15.35.0273 [ Links ]

Pantoja-Alor, J., Fries, C. Jr. , Rincon-Orta, C., Silver, L.T., Solotio-Munguia, J. (1974). Contribución a la geocronología del Estado de Chiapas. Boletín de la AMGP, XXVI(4-6), 205-223. [ Links ]

Park, J., Morgan, J. K., Zelt, C. A., Okubo, P. G., Peters, L., Benesh, N. (2007). Comparative velocity structure of active Hawaiian volcanoes from 3-D onshore-offshore seismic tomography. Earth and Planetary Science Letters, 259(3-4), 500-516. doi: https://doi.org/10.1016/j.epsl.2007.05.008 [ Links ]

Perry, H. K. C., Forte, A. M., Eaton, D. W. S. (2003). Upper-mantle thermochemical structure below North America from seismic-geodynamic flow models. Geophysical Journal International, 154(2), 279-299. Doi: https://doi.org/10.1046/j.1365-246X.2003.01961.x [ Links ]

Pickup, S. L. B., Whitmarsh, R. B., Fowler, C. M. R., Reston, T. J. (1996). Insight into the nature of the ocean-continent transition off West Iberia from a deep multichannel seismic reflection profile. Geology, 24(12), 1079-1082. doi: https://doi.org/10.1130/0091-7613(1996)024<1079:IITNOT>2.3.CO;2 [ Links ]

Pindell, J. L. (1985). Alleghenian reconstruction and subsequent evolution of the Gulf of Mexico, Bahamas, and Proto-Caribbean. Tectonics, 4(1), 1-39. Doi: https://doi.org/10.1029/TC004i001p00001 [ Links ]

Pindell, J. L., Kennan, L. (2009). Tectonic evolution of the Gulf of Mexico, Caribbean and northern South America in the mantle reference frame: an update. Geological Society of London, Special Publication, 328, 1-55. doi: https://doi.org/10.1144/SP328.1 [ Links ]

Pindell, J., Graham, R., Horn, B. (2014). Rapid outer marginal collapse at the rift to drift transition of passive margin evolution, with a Gulf of Mexico case study. Basin Research, 26(6), 701-725. doi: https://doi.org/10.1111/bre.12059 [ Links ]

Pindell, J., Miranda, C. E., Cerón, A., Hernandez, L. (2016). Aeromagnetic map constrains Jurassic-Early cretaceous synrift, break up, and rotational seafloor spreading history in the Gulf of Mexico. En A. Christopher M. Lowery, John W. Snedden, Norman C. Rosen (Eds.), Mesozoic of the Gulf Rim and Beyond: New Progress in Science and Exploration of the Gulf of Mexico Basin. SEPM Society for Sedimentary Geology. doi: https://doi.org/10.5724/gcs.15.35.0123 [ Links ]

Pindell, J., Radovich, B., Horn, B. (2011). Western Florida: A New Exploration Frontier in the Eastern Gulf of Mexico. GEOExPRO. [ Links ]

Pindell, J., Villagómez, D., Molina-Garza, R., Graham, R., Weber, B. (2020). A Revised Synthesis of the Rift and Drift History of the Gulf of Mexico and Surrounding Regions in the Light of Improved Age Dating of the Middle Jurassic Salt. Geological Society of London, Special Publications, 504, 29-76. doi: https://doi.org/10.1144/SP504-2020-4 [ Links ]

Pompa, M. V. (2009). Geoquímica y geocronología de los complejos intrusivos en el sureste de Chiapas, México. [Tesis de Maestría], Universidad Nacional Autónoma de México, Instituto de Geofísica. [ Links ]

Rocha-Esquinca, D. O., Caraveo-Miranda, C. A., Méndez-Hernández, E., Hernández-Flores, E. R. (2013). Los métodos potenciales como evidencia geofísica de la evolución tectónica del norte del Golfo de México. Ingeniería Petrolera, 53(2), 89-100. [ Links ]

Román-Ramos, J. R., Salomón-Mora, L. E., Rosas-Lara, C., Cruz-Mercado, M., Biegert, E., Sánchez, F. y Bartsch, E. (2010). Modelado geológico del basamento, sureste del Golfo de México. Ingeniería Petrolera, AIPM, L(3), 54-64. [ Links ]

Román-Ramos, J. R.; Cruz-Mercado, M. A.; Salomón Mora, L. E.; Rosas-Lara, C.; Sánchez-Ferrer, F.; Biegert, E.; Bartsch, E (2008). Continental-oceanic boundary deep structure in a shear margin: Western main transform, offshore Veracruz, Southern Gulf of Mexico, En C.C. Bartolini and J. R. Román Ramos (Eds.), Petroleum systems in the southern Gulf of Mexico (pp.409-420). AAPG Special Volumes. [ Links ]

Romanyuk, T., Mooney, W. D., Detweiler, S. (2007). Two lithospheric profiles across southern California derived from gravity and seismic data. Journal of Geodynamics, 43(2), 274-307. doi: https://doi.org/10.1016/j.jog.2006.09.011 [ Links ]

Rosales-Rodríguez, J., Bandy, W. L. y Centeno-García E. (2014). Profundidad de la base de la fuente magnética y estructura térmica del Golfo de México. Revista Mexicana de Ciencias Geológicas, 31(2), 190-202. [ Links ]

Rowan, M. G. (2014). Passive-margin salt basins: Hyperextension, evaporite deposition, and salt tectonics. Basin Research, 26(1), 154-182. doi: https://doi.org/10.1111/bre.12043 [ Links ]

Rueda-Gaxiola, J. (1998). El origen del Golfo de México y de sus subcuencas petroleras mexicanas, con base en la palinoestratigrafía de lechos rojos. Revista Mexicana de Ciencias Geológicas, 15(1), 78-86. [ Links ]

Rueda-Gaxiola, J. (2004). A triple junction in the Gulf of Mexico: Implications for deep petroleum exploration. Geofísica lnternacional, 43(3), 395-414. Doi: https://doi.org/10.22201/igeof.00167169p.2004.43.3.966 [ Links ]

Salvador, A. (1991). Origin and development of the Gulf of Mexico Basin. En A. Amos Salvador (Ed.), The Geology of North America (pp. 389-444). Geological Society of America. [ Links ]

Sánchez, L. R. (1961). Aplicación de la paleogeografía a la búsqueda de yacimientos petrolíferos en el área Misantla-Ebano-Pánuco: Boletín de la AMGP, XIII(11-12), 361-376. [ Links ]

Sandoval-Ochoa, J. H., Aguayo-Camargo, J. E., Gutiérrez-Estrada M. A., Araujo-Mendieta, J. (1999). Relaciones Tectónicas en la Margen Continental al sur del Golfo de México y Cinemática del Manto: Morfología-Basamento-Bloques Corticales sobre la Placa. Revista de la Sociedad Mexicana de Historia Natural, 49, 17-28. [ Links ]

Saunders, M., Geiger, L., Rodriguez, K., Hargreaves, P. (2016). The Delineation of Pre-Salt License Blocks in the Deep Offshore Campeche-Yucatan Basin. [Sesión de conferencia]. AAPG 2016 Annual Convention and Exhibition, Calgary, Alberta, Canada. [ Links ]

Sawyer, D. S., Buffler, R. T., Pilger Jr., R. H. (1991). The crust under the Gulf of Mexico Basin. En A. Amos Salvador (Ed.), The Gulf of Mexico Basin. (pp. 53-72). Geological Society of America. doi: https://doi.org/10.1130/DNAG-GNA-J.53 [ Links ]

Schouten. H., Klitgord K. D. (1994). Mechanistic solutions to the opening of the Gulf of Mexico. Geology, 22, 507-510. doi: https://doi.org/10.1130/0091-7613 [ Links ]

Shaub, F. J., Buffler, R. T., Parsons, J. G. (1984). Seismic Stratigraphic Framework of Deep Central Gulf of Mexico Basin. AAPG Bulletin, 68(11), 1790-1802. doi: https://doi.org/10.1306/AD4619A3-16F7-11D7-8645000102C1865D [ Links ]

Sorokin, M. Y., Zamansky, Y. Y., Langinen, A. Y., Kackson, H. R., Manab, R. (1999). Crustal structure of the Makarov Basin, Artic Ocean determined by seismic refraction. Earth and Planetary Science Letters, 168(1-2), 187-199. doi: https://doi.org/10.1016/S0012-821X(99)00049-7 [ Links ]

Steier, A., Mann, P. (2019). Late Mesozoic gravity sliding and Oxfordian hydrocarbon reservoir potential of the northern Yucatan margin. Marine and Petroleum Geology. 103, 681-701. doi: https://doi.org/10.1016/j.marpetgeo.2019.03.001 [ Links ]

Stern, R. J., Anthony, E. Y., Ren, M., Lock, B. E., Norton, I., Kimura, J. I., Miyazaki, T.; Hanyu, T.; Chang, Q., Hirahara, Y. (2011). Southern Louisiana salt dome xenoliths: First glimpse of Jurassic (ca. 160 Ma) Gulf of Mexico crust. Geology, 39(4), 315-318. doi: https://doi.org/10.1130/G31635.1 [ Links ]

Storey, M. L. (2020). Tectonic Setting, Structure, and Seismic Stratigraphy of the Apalachicola Rift and its Overlying Sag Basin in the Northeastern Gulf of Mexico. [Master Thesis], University of Houston. [ Links ]

Van Avendonk, H. J. A., Christeson, G. L., Norton, I. O., Eddy, D. R. (2015). Continental rifting and sediment infill in the northwestern Gulf of Mexico. Geology, 43(7), 631-634. doi: https://doi.org/10.1130/G36798.1 [ Links ]

Wernicke, B. (1985). Uniform-sense normal simple shear of the continental lithosphere. Canadian Journal of Earth Sciences, 22(1), 108-125. doi: https://doi.org/10.1139/e85-009 [ Links ]

Williams-Rojas, C. T., Reyes-Tovar, E., Miranda-Peralta, L., Reyna-Martinez, G., Cardenas-Alvarado, A., Maldonado-Villalon, R., Muñoz-Bocanegra, V., Lora de la Fuente, C., (2011). Hydrocarbon Potential of the Deepwater Portion of the “Salina del Istmo” Province. Southeastern Gulf of Mexico, Mexico. Gulf Coast Association of Geological Societies Transactions, 62, 641-644. [ Links ]

Wilson, M. (1989). Igneous Petrogenesis: A Global Tectonic Approach. Springer Dordrecht. doi: https://doi.org/10.1007/978-1-4020-6788-4 [ Links ]

Winker, C. D., Buffler, R. T. (1988). Paleogeographic Evolution of Early Deep-Water Gulf of Mexico and Margins, Jurassic to Middle Cretaceous (Comanchean). AAPG Bulletin, 72(3), 318-346. doi: https://doi.org/10.1306/703C8C22-1707-11D7-8645000102C1865D [ Links ]

Woods, R. D., Salvador, A., Miles, A. E. (1991). Pre-Triassic. En A. Salvador, A. (Ed.), The Gulf of Mexico Basin (pp. 109-129). Geological Society of America. doi: https://doi.org/10.1130/DNAG-GNA-J.109 [ Links ]

Worzel, J. L., Bryant, W., Beall, A. O. Jr., Capo, R., Dickinson, K., Foreman, H. P., Laury, R., McNeely, B. W., Smith, L. A. (1970). Initial reports of the Deep Sea Drilling Project; covering Leg 10 of the cruises of the drilling vessel Glomar Challenger, Galveston, Texas to Miami, Florida. University, Ocean Drilling Program, College Station, TX, United States. [ Links ]

Zinecker, M. P. (2020). Structural and Stratigraphic Evolution of Three Mesozoic, Rifted-Passive Margins: Guinea Plateau, Demerara Rise, and the Southeastern Gulf of Mexico. [Master Thesis], University of Houston. [ Links ]

Anexo

Anexo 1 Litología y edades de las rocas del basamento continental en el margen del Golfo de México. 

Localidad/pozo Estado Litología Edad (MA) Referencia
Margen noreste del Golfo de México
Pozo Amoco-Saga No. 1 Límite sur de los estados Misisipí y Alabama, E. U. Granito Pérmico (272±10) Woods et al., 1991
Alto Wiggins Misisipí, E. U. Granodiorita Precámbrico (709±25) Winker y Buffler, 1988;
Oeste de Florida, suroeste de Georgia y plataforma oeste de Florida Granito Cámbrico Woods et al., 1991; Marton, 1995 Woods et al., 1991
Pozo Charlotte Harbor-672 y 625 Oeste de la Plataforma de Florida Riolita Ordovícico Marton, 1995
Pozo Texaco-100-1 Carbonífero (Misisípico)
Pozo Tenneco’s 672 Carbonífero (Pensilvánico, 316±11)
Margen oeste del Golfo de México
Acatita-Delicias Coahuila Granodiorita Pérmico medio-superior (256±21 y 266±20 Ma) Lopez-Infanzón, 1986
Altotonga Veracruz Granodiorita Triásico inferior y Pérmico superior (246±7 y 252±20)
Sur de la Cuenca de Burgos y Cuenca Tampico-Misantla Granito Pérmico-Triásico Sánchez, 1961; Marton, 1995; Ortiz, 2006
Poza Rica Veracruz Granito Triásico superior-Pérmico inferior 223±18 y 276±22 Jacobo, 1986
Pozo Cupelado-1 Triásico superior (208±10)
Cuenca Tampico-Misantla Granodiorita Pérmico superior a Triásico inferior-medio (241±20, 264±21) Sánchez, 1961; Jacobo, 1986; Lopez-Infanzón, 1986
Margen sur y sureste del Golfo de México
Pozos Cobo-301 y Quintana Roo-1 Tabasco y Quintana Roo Intrusivos graníticos Pérmico inferior (285) Lopez-Infanzón, 1986
Macizo de Chiapas Triásico medio-superior (219 y 242)
Ordovícico y Pérmico-Triásico Olivas, 1953; Fries et al., 1974; Pantoja-Alor et al., 1974; López Infanzón 1986; Padilla y Sánchez, 2007; Pompa, 2009
Subsuelo y afloramientos de Belice Granito/granodiorita Ordovícico y Pérmico-Triásico Lopez-Ramos, 1973; Woods et al., 1991; Marton, 1995
Pozo Yucatán-1 Riolitas Devónico inferior (410) Lopez-Ramos, 1973

Recibido: 09 de Febrero de 2024; Aprobado: 03 de Julio de 2024; Publicado: 01 de Octubre de 2024

*Corresponding author: Joel Rosales-Rodríguez, jrrodri@imp.mx.

Editorial responsibility: Dr. Carlos Valdés-González

Creative Commons License Este es un artículo publicado en acceso abierto bajo una licencia Creative Commons