Introducción
El tiempo es un concepto abstracto. La dimensión social del tiempo contempla las interacciones entre los seres humanos organizados en sociedades. En la vida cotidiana suele percibirse como un recurso limitado que, en una economía que se rige por el capitalismo, hay que asignar principalmente a las tareas remuneradas; el tiempo restante se divide entre el trabajo de cuidados no remunerado2 y el autocuidado3. La organización del tiempo posee un marcado sesgo de género asociado a la histórica división sexual del trabajo, la cual sigue dificultando que las mujeres combinen los tiempos de la jornada remunerada y los tiempos del trabajo de cuidados, y que los hombres se corresponsabilicen de los trabajos de cuidados para la reproducción social.
Ante las medidas de globalización y flexibilización se han originado dos comportamientos en lo que se refiere a la jornada en los mercados de trabajo. El primero, el trabajo a tiempo parcial posee una mayor presencia entre las mujeres porque facilita la combinación de trabajo remunerado y trabajo de cuidados, aunque también se encuentra presente en otros grupos como las personas jóvenes y las personas adultas mayores. El segundo se refiere al uso intensivo de la mano de obra que origina jornadas laborales prolongadas, algunas elegidas por los trabajadores, hombres principalmente, para hacer frente a los bajos salarios; otras jornadas extendidas no fueron previamente pactadas con el patrón y tampoco se pagan como horas extras. Con base en las cifras de la Organización Internacional del Trabajo (OIT), México es uno de los países con las jornadas laborales más largas en América Latina y en el mundo.
La organización y los usos del tiempo son temáticas que han sido abordadas ampliamente en México desde la aparición de las encuestas sobre el uso del tiempo, las cuales poseen un corte transversal en el que la unidad de captación son las horas semanales dedicadas a diversas actividades remuneradas y de cuidados. En contraste, esta investigación parte de una perspectiva longitudinal cuantitativa y utiliza la información de la Encuesta Demográfica Retrospectiva (EDER) de 2017, en la que la unidad de captación es un año calendario completo. La presente investigación es relevante porque considera un abordaje diferente sobre la jornada laboral, ya que se toma en cuenta la siguiente categorización: no se trabajó a cambio de un pago (a lo largo de todo el año), jornada parcial (trabajo remunerado por menos de 35 horas semanales a lo largo de todo el año), jornada completa (35-48 horas semanales a lo largo de todo el año) y jornada prolongada (>48 horas semanales a lo largo de todo el año). También se consideran tres etapas de la vida (sin hijos, con hijos menores de 6 años y con hijos de 6 años y más).
El objetivo de esta investigación es analizar los patrones que observan las trayectorias de trabajo considerando la jornada de trabajo remunerado en las etapas del curso de vida, para dos cohortes de nacimiento de mujeres y hombres (1962-1967 y 1968-1977) en México, y señalar el efecto de la intersección de desigualdades en las diversas experiencias observadas.
Las preguntas de investigación poseen dos niveles de análisis, uno descriptivo: ¿Qué patrones se observan en las trayectorias de trabajo cuando se combinan, en una única secuencia, la jornada de trabajo remunerado y tres etapas en el curso de vida de hombres y mujeres para dos cohortes nacidas en la segunda mitad del siglo XX? ¿Se presentan diferencias en el tiempo designado para el trabajo remunerado cuando las personas no tienen hijos, tienen hijos menores o mayores? Y otro explicativo: ¿Qué variables se asocian a los diversos modelos observados? ¿Cómo se interceptan las desigualdades por sexo-género4, por estrato socioeconómico (alto, medio y bajo) y por generación en la organización del tiempo dedicado al trabajo remunerado en tres etapas del curso de vida?
Se utiliza el análisis de secuencias a través del método de alineación óptima y se complementa con el análisis de conglomerados para derivar en una tipología con tipos que son homogéneos en el interior y heterogéneos entre ellos, los cuales se caracterizan a partir de diversos análisis de regresión logística para explorar la pertenencia a cada uno.
La investigación se estructura en cuatro apartados adicionales a esta introducción. Primero se presenta una breve recopilación sobre el tiempo y sus usos considerando como ejes el trabajo remunerado y el trabajo de cuidados; posteriormente se habla acerca del diseño metodológico para abrir paso a la sección de análisis; y finalmente se exponen algunas reflexiones.
1. El tiempo y sus usos: el tiempo pasa volando o el tiempo no avanza
El tiempo tiene sus orígenes en la socialización humana, también es un recurso esencial y la forma en la que se utiliza puede proporcionar información acerca de los valores y las actitudes en una sociedad (Ariès, 1962; Carr, 2009; Damián, 2014).
De acuerdo con Damián (2014), cuando se habla de la distribución de los recursos y las oportunidades para acceder a ellos, no se hace referencia al tiempo como un recurso que es la base de diversas desigualdades, entre las más importantes se ubican las de género. Los desequilibrios en los usos del tiempo poseen repercusiones en la calidad de vida y el bienestar de las y los trabajadores; para las primeras el tiempo dedicado al trabajo remunerado compite a lo largo de la vida con el dedicado al trabajo de cuidados no remunerado, los tiempos antes mencionados entran en tensión, compiten entre sí y dejan escasa disponibilidad para el autocuidado de las trabajadoras, para ejercer el derecho a cuidar de una misma.
1.1 Tiempo dedicado al trabajo remunerado
La lógica de acumulación del capitalismo, en donde la productividad tiene preponderancia, se ve reflejada en las exigencias que los dueños del capital imponen a la fuerza trabajadora en términos del tiempo dedicado al trabajo remunerado. Callejo (2007 citado en García-Chanes, 2018) señala que en la sociedad de la información no hay tiempo, sino disponibilidad frente a la demanda de los mercados de trabajo. Prieto, Ramos y Callejo (2009 citado en García-Chanes, 2018 ) mencionan que, ante una economía globalizada orientada en los servicios, donde las máquinas pueden trabajar 24 horas durante siete días, la jornada se diversifica volviéndose cada vez menos regulada y previsible.
La OIT ha mencionado que la jornada laboral adecuada es una parte crucial del trabajo decente5 y representa un elemento esencial en las condiciones de trabajo; también señala que limitar la jornada laboral protege la salud y el bienestar de las y los trabajadores, les permite tener periodos adecuados de descanso, así como de recuperación física y mental a la semana y durante el año, aspectos esenciales de las normas internacionales del trabajo. De acuerdo con las cifras para México, la fuerza de trabajo tenía en promedio una jornada de 38.8 horas a la semana y casi una tercera parte de los empleados (28%) trabajaron 49 horas o más por semana (OIT, 2021 cifras para 2020 y 2019, respectivamente)6. En contraste, en Canadá, Holanda, Australia, Alemania, Suiza y Argentina los trabajadores cumplieron jornadas de 35 horas semanales (OIT, 2021).
Las cifras que presenta la Organización para la Cooperación y el Desarrollo Económicos (OCDE) no son tan alentadoras. En comparación con otras partes del mundo, México se posiciona entre los países con las condiciones laborales más desfavorables cuando se contrastan sus cifras con el nivel promedio de los países que pertenecen a la OCDE (2022), por ejemplo, la tasa de ocupación es 63.8% entre las edades 15-64 años (8.6 puntos porcentuales por debajo del 72.4% promedio); el trabajo a tiempo parcial constituye 17.7% del empleo (un punto porcentual por encima de la tasa de tiempo parcial promedio); y el promedio anual de horas trabajadas en México es de 2128 horas/trabajador (ubicándose 412 horas por encima del promedio en los países que pertenecen a la OCDE). Ciertamente, la jornada de trabajo remunerado en México es muy extensa y va en contra de lo que establece el marco normativo. En México, la Ley Federal del Trabajo (LFT) en su artículo 61 establece que la duración máxima de la jornada de trabajo es: ocho horas la diurna, siete horas la nocturna y siete horas y media la mixta (LFT, 2022).
Por lo general, son los hombres quienes poseen jornadas laborales superiores a las establecidas por la ley. Ellos se ven obligados a emplearse en más de un trabajo para hacer frente a los bajos salarios que ofrece el mercado. En otros casos, la jornada de trabajo se extiende más allá de lo establecido por la ley, porque los dueños del capital exigen que la fuerza de trabajo labore horas extras, en muchas ocasiones sin recibir la remuneración correspondiente.
Para algunas mujeres, la flexibilidad en la jornada de trabajo les permite combinar los tiempos del trabajo productivo y los del trabajo reproductivo, no sin precarizar las condiciones del empleo, el cual se caracteriza por la desprotección social, la intensificación de las jornadas laborales y la pérdida de control sobre los tiempos de trabajo y el tiempo libre (Yáñez, 2004 citado en García-Chanes, 2018).
Una de las dimensiones que comprende la noción de trabajo precario es la organizacional, la cual considera las condiciones de trabajo y la jornada laboral (Guadarrama, Hualde y López, 2014). Mora (2010) señala que, dos evidencias de la precariedad en el trabajo son la expansión de los trabajos a tiempo parcial involuntario y la extensión de la jornada laboral por razones de insuficiencia de ingresos o por otras razones, una de las consecuencias es la reducción del tiempo libre.
El horario laboral rige las formas de organización en el ámbito familiar. Yañez (2004 citado en García-Chanes, 2018) señala que las estructuras del tiempo de trabajo en América Latina son incompatibles con el trabajo de cuidados. Cada vez con mayor frecuencia se traslapan los tiempos y los espacios en los que se desarrollan el trabajo remunerado y el de cuidados, y con ello entran en tensión los tiempos de dedicación a las actividades para uno y otro trabajo. En la siguiente sección se incorporan algunos aspectos sobre el trabajo de cuidados y sus tiempos.
1.2 Tiempo dedicado al trabajo de cuidados
El trabajo de cuidados sostiene la vida y es el motor principal que mantiene la reproducción social de la fuerza de trabajo (Picchio, 1994; Pedrero, 2009; Carrasco, Borderías, y Torns, 2011; Himmelweit, 2011; Carrasquer, 2013; García y Pacheco, 2014). Sin embargo, la organización de los horarios en la sociedad se ha supeditado a la lógica de la explotación capitalista, en la que se ha brindado prioridad a la necesidad de generar ingresos, a través de una larga jornada dedicada al trabajo remunerado, con bajos salarios para reducir costos de producción, mientras el trabajo de cuidados, que es realizado principalmente por las mujeres, ha quedado marginalizado y supeditado (Edgell y Granter, 2019).
A inicios del siglo XXI, cuatro décadas después de que se visibilizara el trabajo de cuidados no remunerado que desempeñan las mujeres, algunas economistas feministas (Picchio, 1994; Carrasco et al., 2011) han propuesto utilizar el término trabajo de cuidados y hacer referencia a sus tres categorías. Los cuidados directos, que son actividades que se realizan cara a cara (dar de comer, atender a los enfermos, conversar con los integrantes del hogar, apoyar con la gestión de las emociones, las relaciones sociales, el cuidado de la salud, la transmisión de valores, el acompañamiento de las tareas escolares, la colaboración en actividades de esparcimiento, etcétera). Los cuidados indirectos que hacen referencia al trabajo doméstico (limpiar la casa, cocinar, comprar, la gestión y organización del trabajo del hogar, así como las actividades de trabajo voluntario, trabajo comunitario y ayuda a otros hogares). Y el autocuidado (comer, descanso, recreación, ejercer prácticas saludables, algunos autores proponen el “criterio de la tercera persona”, lo que otros no pueden hacer por uno mismo) (Carrasco et al., 2011).
Cabe señalar que el trabajo de cuidados no exige la misma dedicación a lo largo del curso de vida. Durante la infancia, la adolescencia, la vejez, la enfermedad y la discapacidad, los cuidados implican una mayor demanda de tiempo, trabajo y esfuerzo, y son proporcionados en su mayoría por otra persona porque quien los necesita no puede satisfacerlos por sí misma (Pautassi, 2007; Garfias, 2021; OXFAM, 2021), casi siempre son mujeres quienes los proporcionan.
El tiempo promedio que las mujeres dedican al trabajo de cuidados indirecto casi triplica el tiempo que dedican los hombres (Santoyo y Pacheco, 2014). Recientemente, los varones más jóvenes, que residen en zonas más urbanizadas y con mayor escolaridad se han involucrado en mayor medida en el trabajo de cuidados directo dedicado al cuidado de los hijos (Rodríguez y García, 2014; Rojas y Martínez, 2014).
Las mujeres que combinan el trabajo remunerado y el de cuidados no sólo poseen escaso tiempo libre, sino que también se agotan física y emocionalmente, situación que las afecta a ellas y sus relaciones con los demás. Poco se ha desarrollado sobre el autocuidado, Pautassi (2007) ha señalado que es esencial el reconocimiento del cuidado como derecho y que las personas ejerzan su derecho al autocuidado. Lo anterior implica reducir las jornadas de trabajo remunerado para gozar de tiempo libre como acto para cuidar(se) a sí mismo.
En el siguiente acápite se presenta la propuesta metodológica de aproximación al estudio cuantitativo longitudinal a los tiempos de trabajo remunerado en tres etapas del curso de vida.
2. Diseño metodológico: la construcción de los tiempos de trabajo en etapas del curso de vida
La fuente de información que se utilizó es la EDER 2017, es un módulo biográfico de la Encuesta Nacional de los Hogares (ENH). La unidad de captación de la información es anual, es decir, cada fenómeno analizado debe realizarse a lo largo de todo un año calendario para quedar registrado7. La EDER 2017 está diseñada para analizar comparativamente cuatro cohortes de nacimiento: 1962-1967, 1968-1977, 1978-1987 y 1988-1997, cabe mencionar que en el análisis presentado sólo se recuperan las dos primeras para poder contrastar las edades que abarcan de los 12 a los 40 años8.
Se analizaron 4137 biografías de hombres (1152 pertenecientes a la cohorte 1962-1967 y 2985 pertenecientes a la cohorte 1968-1977) y 5136 de mujeres (1504 nacidas entre 1962 y 1967, y 3632 nacidas entre 1968 y 1977).
En esta investigación se considera la duración de la jornada de trabajo, una de las tres dimensiones de la relación tiempo-trabajo que definen Prieto et al. (2009) 9. Para construir las secuencias de la jornada de trabajo remunerado se utiliza el tiempo dedicado a la actividad laboral (duración de la jornada -sin trabajo remunerado, jornada parcial, completa o prolongada-) a lo largo de todo el año calendario.
Las etapas en el curso de vida (sin hijos, con hijos menores de 6 años, con hijos de 6 años y más) se emplean como un proxy a la intensidad del trabajo de cuidados. En el caso de las mujeres se parte del supuesto de que si no trabajan a cambio de un pago es porque estaban trabajando en los cuidados no remunerados para la reproducción social, como otras investigaciones lo han documentado. En una investigación previa (Castro-Méndez, 2020) se utilizó esta variable para aproximarse al trabajo de cuidados que desempeñaban las mujeres y mostró ser una forma adecuada para acercarse a la intensidad del trabajo de cuidados.
En una única secuencia10, constituida por unidades temporales anuales se contemplaron doce estados, resultado de la combinación de cuatro condiciones pertenecientes a: la jornada de trabajo remunerado (sin trabajo a cambio de pago, jornada parcial, de tiempo completo y prolongada) y tres correspondientes a las etapas del curso de vida (sin hijos, con hijos menores de 6 años, con hijos de 6 años y más)11, ver Cuadro 1.
Cuadro 1 Estados en las trayectorias de trabajo (jornada laboral en tres etapas del curso de vida)
| Estados (en las secuencias) | Trabajo remunerado | Etapas en el curso de vida | Tiempo promedio (años) | |
| Hombres | Mujeres | |||
| ntr SH | No trabajó a cambio de un pago | Sin hij@s | 6.24 | 7.61 |
| ntr H<6 | No trabajó a cambio de un pago | Con hij@s menores 6 años | 0.78 | 6.13 |
| ntr H>6 | No trabajó a cambio de un pago | Con hij@s mayores 6 años | 0.4 | 3.41 |
| jp SH | Jornada Parcial | Sin hij@s | 1.21 | 0.91 |
| jp H<6 | Jornada Parcial | Con hij@s menores 6 años | 0.61 | 0.92 |
| jp H>6 | Jornada Parcial | Con hij@s mayores 6 años | 0.34 | 0.82 |
| jc SH | Jornada Completa | Sin hij@s | 5.17 | 2.61 |
| jc H<6 | Jornada Completa | Con hij@s menores 6 años | 4.08 | 1.92 |
| jc H>6 | Jornada Completa | Con hij@s mayores 6 años | 2.2 | 1.65 |
| jpr SH | Jornada Prolongada | Sin hij@s | 3.29 | 1.27 |
| jpr<6 | Jornada Prolongada | Con hij@s menores 6 años | 2.94 | 0.9 |
| jpr>6 | Jornada Prolongada | Con hij@s mayores 6 años | 1.76 | 0.85 |
Elaboración propia con base en la información que proporciona la EDER 2017.
La técnica que se empleó para la exploración de las secuencias es el método de alineación óptima, dicho procedimiento proviene de la cultura del modelamiento algorítmico (Aisenbrey y Fasang, 2010). El desarrollo que se sigue consiste en la comparación de cada par de secuencias en el conjunto de datos, empleando medidas de disimilitud para encontrar la ruta que minimiza la distancia entre ellas (Abbott, 1983)12. Posteriormente se utiliza el análisis de conglomerados para aplicarlo a la matriz de distancias resultante, con la finalidad de encontrar una tipología. Finalmente, para evaluar la pertenencia13 a cada categoría por separado, se llevaron a cabo diversos análisis de regresión logística14 que consideraron tres variables independientes: i) cohorte de nacimiento (1962-1967 y 1968-1977), contextualiza el inicio de la vida y es un eje analítico que atraviesa las diversas edades de las personas; ii) origen social (IOS: estrato social bajo, medio y alto) es un índice resumen que fue construido específicamente para la EDER 2017 (Solís y Brunet, 2013) y considera la influencia de la familia de origen a través de: la ocupación del padre, el promedio de escolaridad de ambos padres y un índice de recursos económicos (contemplando activos y servicios en el hogar) cuando la persona tenía 15 años; y iii) la formación escolar se refiere al nivel alcanzado a los 40 años (sin escolaridad, primaria, secundaria, preparatoria y licenciatura y más).
Se elaboró un análisis de secuencias para las mujeres y otro por separado para los hombres debido a que, como se señaló en el encuadre teórico-conceptual, las experiencias sociales asociadas al trabajo son muy disímiles y vale la pena explorarlas por separado para visibilizar los comportamientos diferenciales por sexo.
Cabe mencionar que, el análisis de secuencias permite una aproximación holística a las trayectorias de vida, posee una lógica diferente a la causalidad cuya aproximación se ha desarrollado a través de los análisis de historia de eventos, los modelos de Cox y los riesgos en competencia, principalmente. El análisis de secuencias da cuenta de la complejidad de las trayectorias, por medio de la apreciación visual de la variación en los estados a lo largo de todo el periodo de observación (Billari y Piccarreta, 2005). El resultado del análisis de conglomerados es una tipología cuyas categorías representan patrones sobre la jornada de trabajo remunerado, en tres etapas del curso de vida.
3. Análisis del tiempo de vida laboral: panorámica de las secuencias
Algunos indicadores sobre las secuencias permiten observar que resaltan las diferencias sexo-genéricas resultado de la desigual asignación social de los usos del tiempo: los tiempos de las mujeres se dedican a la reproducción y los de los hombres a la producción. En promedio, las mujeres pasaron más de siete años sin trabajo a cambio de remuneración y sin hijos, con base en la bibliografía existente se asume que realizaban trabajo de cuidados. Las mujeres dedicaron seis años en promedio desempeñando trabajos de cuidados de infantes y sin trabajo remunerado, mientras que en los varones este tiempo representa menos de un año en promedio (ver Cuadro 1 primeros dos renglones).
Por otro lado, para los hombres resaltan los tiempos promedio dedicados a la jornada laboral completa, sin hijos y con hijos menores de 6 años (5.17 y 4.08 años, respectivamente), y en menor medida la jornada laboral prolongada, en las etapas sin hijos y con hijos pequeños (3.29 y 2.94, respectivamente).
El análisis de la proporción de tiempo que la población agregada de hombres y mujeres pasó en cada estado observado a lo largo de cada año de vida se realiza a través de histogramas. Para los hombres sobresalen los colores morados que representan las jornadas laborales completas en casi todos los años analizados (Gráfica 1 ). Estos resultados concuerdan con los hallazgos acerca de la participación en los mercados de trabajo en la segunda mitad del siglo XX. Lo que resulta novedoso en este análisis es evidenciar las jornadas prolongadas, segmentos en color naranja, que vivieron los varones en mayor medida entre los 25 y los 40 años. La jornada prolongada es uno de los resultados de los procesos de deterioro o precarización de las condiciones laborales que se han presentado en los países latinoamericanos, incluido México desde 1980 (Mora, 2010; Pacheco, 2011; y Guadarrama et al., 2014).

Nota: En esta gráfica se incluye la información de los hombres de ambas cohortes de nacimiento (1962-1967 y 1968-1977). Las edades empiezan en los 12 años y terminan en los 40. La lectura de esta gráfica es de forma vertical. Cada barra vertical representa la proporción de tiempo que la población agregada (de ambas cohortes de nacimiento) dedicó a cada estado (combinación jornada y etapas en el curso de vida) en cada año a lo largo del curso de vida. Los tonos (azul, verde, naranja y morado) hacen referencia al trabajo remunerado, tono azul: no trabajó a cambio de pago; verde: jornada parcial; morado: jornada completa; naranja: jornada prolongada. Los matices (claro a oscuro) se emplearon para las etapas de la vida, matiz claro: etapa sin hijos; matiz medio: etapa con hijos menores de 6 años; matiz oscuro: etapa con hijos de 6 años y más.
Elaboración propia con base en la información que proporciona la EDER 2017 (tamaño de la muestra en secuencias n=4137 hombres).
Gráfica 1 Histograma de los estados en la secuencia de jornada remunerada en diversas etapas del curso de vida por edad, hombres
Para las mujeres resaltan las proporciones de tiempo sin trabajo remunerado, en las tres etapas del curso de vida, situación que concuerda con los hallazgos previos, las mujeres se dedican en mayor medida al trabajo de cuidados indirecto y directo (Gráfica 2 tonos azules). Ahora bien, la suma de los tonos verdes (trabajo remunerado a tiempo parcial), morados (trabajo remunerado con jornada completa) y naranjas (trabajo a cambio de un pago con jornada prolongada) es bastante considerable. Dicho conjunto de colores (verde + morado + naranja) representa el trabajo remunerado que desempeñaron las mujeres durante la segunda mitad del siglo XX, en las diferentes edades analizadas, el cual probablemente combinaron con el trabajo de cuidados. Las proporciones de tiempo son considerables y reflejan el incremento en la participación económica remunerada que se ha documentado desde mediados de la década de 1970.

Nota: En esta gráfica se incluye la información de las mujeres de ambas cohortes de nacimiento (1962-1967 y 1968-1977). Las edades empiezan en los 12 años y terminan en los 40. La lectura de esta gráfica es de forma vertical. Cada barra vertical representa la proporción de tiempo que la población agregada de mujeres (de ambas cohortes de nacimiento) dedicó a cada estado (combinación jornada y trabajo de cuidados en etapas) en cada año a lo largo del curso de vida. Los tonos (azul, verde, naranja y morado) hacen referencia al trabajo remunerado, tono azul: no trabajó a cambio de pago; verde: jornada parcial; morado: jornada completa; naranja: jornada prolongada. Los matices (claro a oscuro) se emplearon para las etapas de la vida, matiz claro: etapa sin hijos; matiz medio: etapa con hijos menores de 6 años; matiz oscuro: etapa con hijos de 6 años y más.
Elaboración propia con base en la información que proporciona la EDER 2017 (tamaño de la muestra en secuencias n=5136 mujeres).
Gráfica 2 Histograma de los estados en la secuencia de jornada remunerada y trabajo de cuidados por edad, mujeres
3.1 Jornada laboral entre los hombres mexicanos
A partir del análisis de secuencias y el análisis de conglomerados se obtuvieron los patrones de los varones (Tipo 1 a 4), en ellos se refleja la relevancia del trabajo remunerado en la estructuración social de las vidas de los hombres mexicanos. Sólo una pequeña proporción de secuencias no acumularon años con trabajo remunerado (Gráfica 3, Tipo 4 en tonos azules claro en la parte central).

Nota: En esta gráfica se incluyen las secuencias de los hombres de ambas cohortes de nacimiento (1962-1967 y 1968-1977). Cada línea horizontal representa la secuencia de un hombre desde los 12 hasta los 40 años. Los tonos (azul, verde, naranja y morado) hacen referencia al trabajo remunerado, tono azul: no trabajó a cambio de pago; verde: jornada parcial; morado: jornada completa; naranja: jornada prolongada. Los matices (claro a oscuro) se emplearon para las etapas de la vida, matiz claro: etapa sin hijos; matiz medio: etapa con hijos menores de 6 años; matiz oscuro: etapa con hijos de 6 años y más.
Elaboración propia con base en la información que proporciona la EDER 2017 (tamaño de la muestra en secuencias n=4137 hombres).
Gráfica 3 Tipología sobre jornada laboral y trabajo de cuidados, hombres
Los dos patrones que agrupan la mayoría de las secuencias son la jornada remunerada prolongada con descendencia (31.2%, Tipo 3 en tonos naranjas) y la jornada remunerada completa con descendencia (29%, Tipo 1 en tonos morados) (Ver Cuadro 2). En ambos patrones todos los varones poseen descendencia en la observación a los 40 años, y cabe resaltar que, a dicha edad, el 75% de las y los hijos tenían seis años y más, es decir, los hombres se encontraban en una fase del ciclo vital familiar avanzada, en la que la mayoría de las y los niños se han incorporado al sistema escolar básico y la intensidad de los cuidados ha disminuido en comparación con la primera infancia. Los varones que fueron agrupados en la categoría con jornada remunerada prolongada no ejercieron el derecho al descanso físico y a la recuperación de su cuerpo y su mente. Ellos también poseen menos horas para dedicar al trabajo de cuidados que es esencial para brindar cuidados a otros integrantes de la familia. En algunos casos podrían ser varones que tienen más de un empleo para poder tener un mayor ingreso monetario, situación que nos habla de las condiciones precarias en las que desarrollaron el trabajo remunerado los varones de estas cohortes de nacimiento.
Cuadro 2 Características de la tipología de jornada laboral y etapas en el curso de vida, hombres
| Tipo | Tipología Hombres | Freciencia | % | Jornada Laboral Completa y prolongada | Descendencia Sin hijos y con hijos |
| 1 | Jornada remunerada a tiempo completo con descendencia | 1198 | 29.0% | 47.5% | 60.2% |
| 2 | Jornada remunerada a tiempo completo retrasan descendencia | 769 | 18.6% | 39.8% | |
| 3 | Jornada remunerada a tiempo prolongado con descendencia | 1291 | 31.2% | 52.5% | |
| 4 | Jornada remunerada a tiempo heterogéneo (mayoría sin descendencia) | 879 | 21.1% | ||
| TOTAL | 4137 | 100.0% | 100.0% | 100.0% |
Elaboración propia con base en la información que proporciona la EDER 2017 (tamaño de la muestra en secuencias n=4137 hombres).
Ahora bien, los varones sin progenie (9.43% del total de los varones), se ubicaron en los otros dos patrones: las jornadas remuneradas heterogéneas (53.3%, Tipo 4 en tonos naranjas, azules y verdes) y las jornadas remuneradas completas que retrasaron la descendencia (46.7%, Tipo 2 en tonos morados claros) (ver Anexo estadístico B para observar los tiempos promedio en cada estado).
Si se observan detalladamente las categorías 1 y 2 (en tonos morados oscuros y morados claros), lo que las diferencia es que el primer tipo sigue un patrón más tradicional tanto en el mundo remunerado (jornada remunerada completa) como en la vida familiar (con descendencia), mientras que el segundo tipo es tradicional en lo que se refiere al trabajo remunerado (jornada remunerada completa) y no tradicional en la vida familiar porque los varones retrasan la llegada de la descendencia (ver tonos morados oscuros en la parte superior de la Gráfica 3, Tipo 2).
Cabe destacar que las jornadas remuneradas parciales (secuencias en tonos verdes en el tipo 4, Gráfica 3) sólo se observan en unas cuantas secuencias que quedan agrupadas en la categoría más heterogénea donde se agrupan los casos residuales. Otro caso residual entre los hombres son las secuencias sin trabajo remunerado (conjunto central en tonos azules en el tipo 4).
Al analizar algunas variables sociodemográficas, para cada categoría en la tipología, se observa que en lo que se refiere a la cohorte de nacimiento15, ambas (1962-1967 y 1968-1977) se encuentran representadas en proporciones similares entre las diferentes categorías de la tipología de las jornadas de trabajo (aproximadamente 70% de la cohorte de los setenta y 30% de la cohorte de los sesenta se ubica en cada tipo), resultado que sugiere que no hubo algún aspecto que modificara el uso del tiempo que tradicionalmente dedican los varones de las dos generaciones al trabajo remunerado en los diversos momentos de la vida familiar.
En relación con el origen social16, cada uno de los tipos se conforma aproximadamente por una tercera parte de cada grupo socioeconómico (bajo, medio y alto). En la categoría con jornadas remuneradas heterogéneas, la mayoría de los hombres no tienen hijos; 37% proviene de orígenes sociales bajos, aspecto que, junto con las crisis económicas desencadena una variedad de arreglos en el tiempo con trabajo remunerado a lo largo de la vida. En las categorías jornada completa y jornada prolongada, los hombres tuvieron hijos(as), 33.7% y 37% de los varones provienen de orígenes sociales medios. En la categoría con jornada remunerada completa, los hombres retrasan la descendencia y 34.7% proviene de orígenes sociales altos. Se piensa que el origen social alto se asocia a un mayor nivel de escolaridad, y ambos aspectos podrían facilitar las inserciones en empleos con salarios suficientes como para no necesitar más de un empleo, por lo que la jornada sería de 40 horas semanales como lo establece la ley. En cuanto al origen social cabe señalar que, en los cuatro análisis de regresión logística, considerando como variable dependiente la pertenencia o no pertenencia a cada una de las categorías, se observa que el origen social medio incrementa los momios de pertenecer a la categoría jornada remunerada heterogénea con descendencia en 17.8% (Gráfica 4, Tipo 3).

Nota: En las regresiones logísticas la variable dependiente evalúa la pertenencia a cada tipo (y=0 no pertenece; y=1 sí pertenece); las variables independientes son: cohorte de nacimiento (categoría de referencia, 1962-1967 y 1968-1977), nivel de escolaridad (categoría de referencia sin escolaridad, primaria, secundaria, preparatoria y licenciatura y más), orígenes sociales (categoría de referencia: bajo, medio y alto). Para el tipo 1: casi todas las categorías son estadísticamente significativas a un nivel de p<0.05, con excepción de las categorías de la variable orígenes sociales. Para el tipo 2: ninguna de las variables es estadísticamente significativa a un nivel de p<0.05. Para el tipo 3: sólo la categoría origen social medio es estadísticamente significativa a un nivel de p<0.05. Para el tipo 4: sólo la variable nivel de escolaridad es estadísticamente significativa a un nivel de p<0.05.
Elaboración propia a partir de Encuesta Demográfica Retrospectiva (EDER), 2017.
Gráfica 4 Efectos marginales del modelo de regresión logística de pertenecer a cada tipo, hombres
En lo que concierne a la formación escolar, se observa que las cohortes de nacimiento pertenecientes a los años sesenta y setenta (1962-1967 y 1968-1977 respectivamente) son generaciones con un importante acceso al sistema educativo, dos quintas partes cursaron al menos un grado de preparatoria. Las jornadas remuneradas heterogéneas y las jornadas remuneradas prolongadas concentran en mayor medida a personas con menor escolaridad, un nivel máximo de secundaria (61% en ambos casos, ver Anexo estadístico A.1).
3.2 Jornadas de trabajo entre las mujeres mexicanas
El esquema que predomina en el caso de las mujeres son las secuencias sin trabajo a cambio de remuneración y con descendencia (Gráfica 5, Tipo 1 en tonos azules, 53%), en contraste con lo que ocurre con los hombres para quienes este patrón no existe. Lo que se asume en este caso, con base en los hallazgos previos, es que las mujeres dedicaron su tiempo de vida exclusivamente al trabajo de cuidados no remunerado (ver Gráfica 5, Tipo 1, predominan tonos azules). Este resultado visibiliza la relevancia que posee el trabajo de cuidados, indirecto y directo, en la estructuración social de las vidas de las mujeres mexicanas.

Nota: En esta gráfica se incluyen las secuencias de las mujeres de ambas cohortes de nacimiento (1962-1967 y 1968-1977). Cada línea horizontal representa la secuencia de una mujer desde los 12 hasta los 40 años. Los tonos (azul, verde, naranja y morado) hacen referencia al trabajo remunerado, tono azul: no trabajó a cambio de pago; verde: jornada parcial; morado: jornada completa; naranja: jornada prolongada. Los matices (claro a oscuro) se emplearon para las etapas de la vida, matiz claro: etapa sin hijos; matiz medio: etapa con hijos menores de 6 años; matiz oscuro: etapa con hijos de 6 años y más.
Elaboración propia con base en la información que proporciona la EDER 2017 (tamaño de la muestra en secuencias n=5136 mujeres).
Gráfica 5 Tipología sobre jornada laboral y trabajo de cuidados no remunerado, mujeres
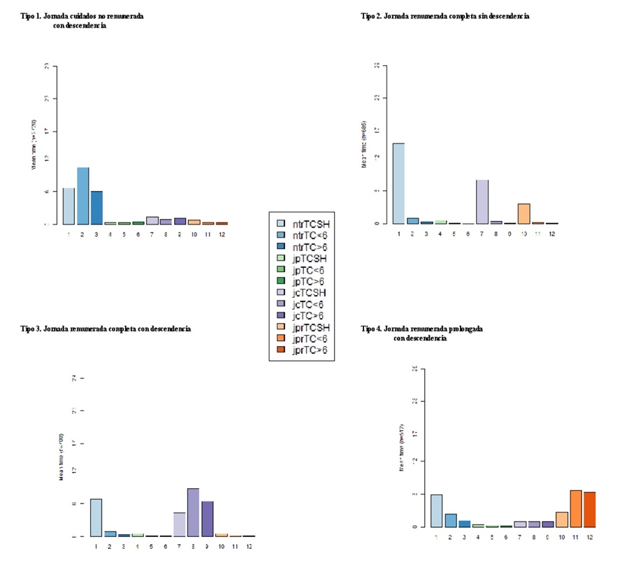
La otra mitad de las secuencias (Gráfica 5 y Cuadro 4, Tipo 2 a Tipo 5= 47%) combinan el trabajo a cambio de remuneración en las tres etapas del curso de vida. Destaca el hecho de que 10.3% del total de las secuencias de mujeres no posean descendencia, este porcentaje es un poco mayor en comparación con los hombres. Sin embargo, habrá que recordar que la observación se termina a los 40 años y muchos varones agrandan el tamaño de sus familias aun después de esta edad, debido a que aún poseen la capacidad biológica reproductiva y a que contraen segundas nupcias incluso después de los 65 años.
Cuadro 4 Características de la tipología sobre jornada laboral y trabajo de cuidados no remunerados, mujeres
| Tipo | Tipología Mujeres | Freciencia | % | Trabajo remunerado ((No y Sí) | Descendencia Con y Sin |
| 1 | Jornada cuidados no remunerada con descendencia | 2720 | 53.0% | 53.0% | 86.7% |
| 2 | Jornada remunerada a tiempo completo sin descendencia | 685 | 13.3% | ||
| 3 | Jornada remunerada a tiempo completo con descendencia | 700 | 13.6% | ||
| 4 | Jornada remunerada a tiempo prolongado con descendencia | 512 | 10.0% | ||
| 5 | Jornada remunerada a tiempo heterogéneo (mayoría sin descendencia) | 519 | 10.1% | 47.0% | 13.3% |
| TOTAL | 5136 | 100.0% | 100.0% | 100.0% |
Elaboración propia con base en la información que proporciona la EDER 2017 (tamaño de la muestra en secuencias n=5136 mujeres).
Los cuatro tipos restantes guardan cierta similitud con las categorías halladas para los varones. Se obtuvieron dos tipos con jornadas remuneradas a tiempo completo, uno con descendencia (Gráfica 5, Tipo 3 en tonos morados oscuros, 13.6%) y otro que retrasa la llegada de la descendencia (Gráfica 5, Tipo 2 en tonos azules y morados claros, 13.3%); y una categoría con jornadas remuneradas prolongadas (Gráfica 5, Tipo 4 en tonos naranjas, 10%). En contraste con lo que ocurre en la tipología de los varones, para las mujeres uno de los tipos que se obtuvieron incluyó las jornadas remuneradas parciales (Gráfica 5, Tipo 5 en tonos verdes, 10%). La bibliografía ha señalado que las incorporaciones laborales con jornadas menores a 35 horas son una forma de flexibilidad en las condiciones de trabajo que permiten a las mujeres combinar sus trabajos remunerados con los de cuidados (el 85.4% de las mujeres en este tipo tiene hijos/as).
Las mujeres sin descendencia se agruparon en mayor medida en la categoría jornada remunerada completa sin descendencia (85.6%) y en menor medida en el tipo jornada remunerada parcial (14.4%).
Si se observa con detalle los tipos 2 y 3 (Gráfica 5, tonos claros de morado, azul y naranja; y tonos morados respectivamente), el tipo 3 sigue un patrón de combinación con una jornada de trabajo remunerada completa y con progenie. La principal diferencia es que en el tipo 2, sólo la tercera parte de los casos tienen descendencia (34.2%). En esta categoría si bien la mayoría de los casos poseen una jornada remunerada completa (color morado claro en la base del Tipo 2), se observan otros casos: una franja en color azul claro que corresponde a las mujeres que no trabajaron a cambio de un pago y no tuvieron hijos; una franja naranja clara que les corresponde a las mujeres que trabajaron una jornada prolongada a cambio de un pago; y una franja residual con algunas incorporaciones laborales prolongadas discontinuas.
Es importante recordar que en el caso de las mujeres uno de los tipos posee jornadas remuneradas prolongadas, esta situación afecta los derechos de las mujeres como trabajadoras y también su derecho al autocuidado (Pautassi, 2007). Las largas jornadas remuneradas aunadas al trabajo de cuidados, el cual puede ser muy intenso y extenso cuando los hijos son menores de 6 años, ponen en riesgo el bienestar de las mujeres.
Al analizar algunas variables sociodemográficas, se halló que la probabilidad de que una mujer se encuentre en alguno de los patrones depende de la cohorte de nacimiento17. Si bien todas las categorías poseen una proporción similar de mujeres nacidas en la cohorte de los setenta (aproximadamente 70%), la proporción de mujeres de la cohorte nacida en los años sesenta posee una mayor representación en el tipo que priorizó el trabajo de cuidados (Gráfica 5, Tipo 1 con tonos en color azul, ver Anexo A.2, 31%), mientras que la proporción de mujeres nacidas en la cohorte de los setenta se acumula en mayor medida en el patrón nombrado jornadas remuneradas completas sin descendencia (Gráfica 5, Tipo 2 con tonos en colores morado claro, azul claro y naranja claro, ver Anexo A.2, 74.6%). Este resultado sugiere un cambio generacional en el patrón de las jornadas de trabajo, en el que una parte considerable de la cohorte de nacimiento más joven (nacida entre 1968-1977) organizó sus vidas considerando el trabajo remunerado como una opción de vida y retrasan la llegada de las hijas(os). En específico, resaltan dos patrones porque agrupan una mayor cantidad de mujeres trabajadoras a cambio de un pago, ambos tipos poseen jornadas laborales completas, uno con descendencia y otro sin ella.
Considerando la variable orígenes sociales, se observa que la categoría dedicada al trabajo de cuidados no remunerado y el tipo trabajo remunerado a tiempo parcial se componen en su mayoría por mujeres que provienen de orígenes sociales bajos y medios (ver Anexo A.2, 77.2%, Gráfica 5, Tipo 1 en tonos azules y 70.3%, Tipo 5 en tonos verdes), ambos tipos priorizan el trabajo de reproducción que sostiene el andamiaje social. En el Tipo 1 (Gráfica 5, Tipo 1 en tonos azules) se alcanzan a percibir algunos años con participación económica discontinua, pero lo que ocupa un lugar preponderante en las trayectorias es el trabajo de cuidados indirecto y directo. En el Tipo 5 (Gráfica 5, Tipo 5 en tonos verdes) las mujeres combinan sus trabajos (remunerado y de cuidados), sin embargo, las desventajas acumuladas del origen social aunadas a una formación escolar limitada (como se leerá en los siguientes párrafos), podrían haber restringido sus posibilidades de acceder a ingresos monetarios y a prestaciones laborales de acuerdo con lo que establece la Ley Federal del Trabajo en México.
En contraste, los tipos de mujeres con jornadas remuneradas completas sin y con descendencia provienen de un origen social medio-alto (Anexo A.2, 71.2%, Gráfica 5, Tipo 2, tonos morados, azules y naranjas claros y 74.5%, Tipo 3 en tonos morados). Ambos tipos se consideran favorecidos, las mujeres que provienen de orígenes sociales altos y observan una jornada remunerada completa con descendencia, poseen condiciones de origen que las ubican en una condición de ventaja situación que posiblemente les permitió trabajar jornadas completas aun cuando tenían descendencia, o bien, algún suceso en el curso de sus vidas las presionó para insertarse al trabajo remunerado. El tipo de mujeres con jornadas remuneradas completas sin descendencia se considera selecto porque proviene de un origen social alto y no tuvo hijos.
Las mujeres que fueron agrupadas en la categoría con jornadas remuneradas prolongadas con descendencia provienen en su mayoría de un origen social medio (Anexo A.2, 37.1%), esta situación podría haber incidido en la incorporación a más de un empleo para obtener mayores ingresos o a trabajar por largas jornadas a cambio de una remuneración18.
En lo que corresponde al nivel de escolaridad, una tercera parte de las mujeres de ambas cohortes de nacimiento (1962-1967 y 1968-1977) aprobó al menos un nivel de preparatoria o más. Al igual que en el caso de los hombres, esto es resultado del mayor acceso a las instituciones educativas del cual fueron partícipes dichas generaciones (Greaves, 2008).
Las categorías jornadas remuneradas prolongadas y jornadas remuneradas parciales se conforman en su mayoría por mujeres quienes máximo alcanzaron la enseñanza media (57.4% y 57.2%, Anexo A.2). El nivel de escolaridad de secundaria se asocia en estos casos a una jornada laboral extensa, posiblemente con más de un empleo para hacer frente a remuneraciones bajas, o bien a un empleo a tiempo parcial con la intención de combinar trabajo remunerado y de cuidados. El nivel de escolaridad licenciatura y más incrementa los momios de pertenecer a la categoría jornada remunerada parcial (la mayoría de los casos con descendencia) en dos veces, el origen social alto disminuye los momios de pertenecer a esta categoría en 27.8%. Sólo las categorías nivel de escolaridad licenciatura y más, y el origen social alto resultaron significativas a un nivel de p>0.05 (Gráfica 6).

Nota: En las regresiones logísticas la variable dependiente evalúa la pertenencia a cada tipo (y=0 no pertenece; y=1 sí pertenece); las variables independientes son: cohorte de nacimiento (categoría de referencia-1962-1967 y 1968-1977), nivel de escolaridad (categoría de referencia-sin escolaridad, primaria, secundaria, prepa y licenciatura y más), orígenes sociales (categoría de referencia: bajo, medio y alto). Para el cluster 1 casi todas las variables son estadísticamente significativas a un nivel de p<0.07, con excepción de los orígenes sociales. Para el tipo 2 casi todas las variables son estadísticamente significativas a un nivel de p<0.05, con excepción de nivel escolaridad licenciatura y más. Para el tipo 3 ningunas de las variables son estadísticamente significativas a un nivel de p<0.05, las excepciones son nivel de escolaridad de preparatoria y licenciatura y más. Para el tipo 4 ninguna de las variables resultó estadísticamente significativa a un nivel de p<0.05. Para el tipo 5 ninguna las variables son estadísticamente significativas a un nivel de p<0.05, la excepción es el nivel de escolaridad licenciatura y más, así como las categorías origen social alto.
Elaboración propia a partir de Encuesta Demográfica Retrospectiva (EDER), 2017.
Gráfica 6 Efectos marginales del modelo de regresión logística de pertenecer a cada tipo, mujeres
5. Consideraciones finales
Las diferencias sexo-genéricas son evidentes entre las secuencias de tiempo dedicado al trabajo remunerado en las tres etapas del curso de vida analizadas. Entre los varones todos los patrones se organizan en torno al trabajo remunerado. Entre las mujeres se observan patrones heterogéneos: uno se organiza en torno al trabajo de cuidados, mientras que los otros tres combinan los tiempos dedicados al trabajo remunerado (parcial, completo y prolongado) en combinación con el trabajo de cuidados (ver Gráficas 3 y 4).
Entre los hombres, la categoría más numerosa se conforma a partir de las secuencias de trabajo remunerado de tiempo prolongado. Los hombres con trayectorias de jornadas de más de 48 horas semanales provienen de orígenes sociales medios, esta situación merece mayor exploración. La dedicación prolongada al trabajo remunerado posee implicaciones a nivel individual, familiar, social y en los mercados de trabajo. En lo individual, la jornada prolongada no permite que los trabajadores descansen el número de horas suficientes para recuperar fuerzas y continuar desempeñando sus trabajos remunerados al día siguiente, lo que conlleva efectos negativos en su bienestar porque quedan pocas horas del día para el ocio y la recreación. Con respecto a lo familiar, al trabajador le quedan pocas horas para corresponsabilizarse del trabajo de cuidados, de tal forma que, como históricamente ha sucedido, el trabajo de cuidados de los niños menores de seis años se delega en las mujeres madres, hijas, nietas, tías, abuelas, o bien, si existe la posibilidad económica y la oferta mercantil, el cuidado recae en las guarderías o estancias infantiles19. En cuanto a lo social se dedican pocas horas a la interacción con la familia y los amigos, situación que podría tener efectos en el bienestar de las personas. En cuestión del mercado, la falta de descanso y recreación repercute en la productividad y la creatividad de la fuerza de trabajo, aspectos muy relevantes para las empresas. Adicionalmente, habría que revisar si son los trabajadores los que deciden trabajar más de 40 horas para obtener mayores ingresos monetarios o si se ha vulnerado su derecho a una jornada laboral con base en lo que establece la LFT.
Entre las mujeres, el mandato social del género se evidencia a través de un numeroso conjunto de secuencias que sobresalen por dedicar su tiempo exclusivamente al trabajo de cuidados no remunerado, dichas mujeres nacieron en mayor proporción en la década de 1960 y el nivel de escolaridad alcanzado a los 40 años era primaria o secundaria20.
Para las mujeres cabe resaltar dos patrones con menor representatividad numérica, por un lado, se encuentra una cuarta parte de las trayectorias de mujeres que siguieron un esquema con una jornada laboral de más de 48 horas semanales. Estas mujeres provienen de un estrato social medio y alcanzaron un nivel medio de escolaridad, para ellas combinar el tiempo entre el trabajo remunerado y el trabajo de cuidados es todo un reto21. Históricamente la estructuración social de la vida de las mujeres en México se ha promovido en torno a la crianza de las y los hijos. Una jornada laboral prolongada que se suma al trabajo de cuidados extiende el tiempo total de trabajo dejando a las mujeres sin tiempo de descanso y recreación. Como se señaló en los párrafos previos, las repercusiones de una jornada de más de 48 horas poseen efectos a nivel individual, familiar, social y de mercado.
Por otro lado, se ubican las mujeres con un esquema de trabajo a tiempo parcial, quienes provienen de orígenes sociales bajos y medios y alcanzaron un nivel de escolaridad bajo. En la bibliografía sociodemográfica se ha señalado que, para las mujeres, la flexibilización en los mercados de trabajo en muchos casos se refleja en una jornada laboral parcial en la búsqueda por combinar los tiempos remunerados y de cuidados. También se han señalado los efectos negativos de dichas inserciones, entre ellas las bajas remuneraciones, así como el limitado crecimiento en la jerarquía laboral.
En lo que respecta a las disimilitudes generacionales se observan en mayor medida entre las cohortes de nacimiento de mujeres. Las nacidas en la década de 1960 siguieron un modelo tradicional y se agruparon en la categoría dedicada al trabajo de cuidados. Las mujeres que nacieron en la década de 1970 organizaron sus tiempos de trabajo de forma heterogénea. Los dos grupos de mujeres con jornada remunerada completa, uno con y otro sin descendencia, se consideran privilegiados porque provienen de orígenes sociales medio-altos y alcanzaron una escolaridad al menos con un grado en el nivel superior22. El grupo de mujeres sin descendencia se considera atípico e innovador en una sociedad que valora y fomenta ampliamente la maternidad, una categoría que, aunque reducida en tamaño, plantea una reestructuración en la composición y la dinámica de las familias prevaleciente en México hasta el momento.
Esta investigación aporta una visión novedosa de corte biográfico cuantitativo al estudio sobre las jornadas de trabajo remunerado, en contraste con las aproximaciones que se enfocan en sólo un momento en el curso de vida. Se observaron patrones diferenciales entre mujeres y hombres. Para las mujeres el trabajo de cuidados ocupa un lugar preponderante en la configuración de las trayectorias, aunque se observan cambios en la cohorte de nacimiento de los años setenta. Para ambos sexos se observa una tendencia de largo plazo a emplearse en jornadas remuneradas de más de 40 horas semanales, más marcada en los varones, en ambos casos el origen social de procedencia es medio y el nivel de escolaridad alcanzado es medio (secundaria).
Las reflexiones sobre las jornadas de trabajo en tres etapas del curso de vida plantean algunos aspectos por considerar: a) resulta indispensable que se implementen estrategias de vigilancia del cumplimiento de los derechos de los y las trabajadoras en lo que respecta a la jornada laboral de 40 horas semanales; b) por el bienestar social e individual, es necesario formular y promover políticas públicas sustantivas que fomenten la corresponsabilidad entre hombres y mujeres; c) resulta benéfico desde el punto de vista de la productividad y desde el bienestar social, que los dueños del capital se replanteen una reestructuración de las jornadas laborales en un esquema que contemple como indispensables el tiempo destinado al trabajo de cuidados y al de ocio.
Como agenda de investigación surge la inquietud por explorar las condiciones de trabajo relacionadas con las jornadas laborales prolongadas.










nueva página del texto (beta)






