SciELO - Scientific Electronic Library Online

 
vol.10 número especial 23Selección de plantas de papaya sobresalientes en ambientes comerciales con fines de mejoramientoCaracterización fisicoquímica de frutos de tinguaraque (Solanum lycopersicum var. Cerasiforme) cultivados en invernadero índice de autoresíndice de materiabúsqueda de artículos
Home Pagelista alfabética de revistas  

Servicios Personalizados

Revista

Articulo

Indicadores

Links relacionados

  • No hay artículos similaresSimilares en SciELO

Compartir


Revista mexicana de ciencias agrícolas

versión impresa ISSN 2007-0934

Rev. Mex. Cienc. Agríc vol.10 spe 23 Texcoco sep./nov. 2019  Epub 20-Nov-2020

https://doi.org/10.29312/remexca.v0i23.2030 

Artículos

Nutrición mineral con nitrógeno, fósforo y potasio en la producción del barril azul en invernadero

Eulalia Edith Villavicencio Gutiérrez1  § 

Libia I. Trejo Téllez2 

Leobardo Bañuelos Herrera3 

Miguel Ángel López López4 

Gregorio Arellano Ostoa5 

1Campo Experimental Saltillo-INIFAP. Carretera Saltillo-Zacatecas km 342+119 núm. 9515, Col. Hacienda de Buenavista, Saltillo, Coahuila, México. CP. 25315. Tel. 800 0882222, ext. 83505.

2Programa de Edafología-Campus Montecillo-Colegio de Postgraduados. Carretera México-Texcoco km 36.5, Montecillo, Estado de México, México. CP. 56230. Tel. 595 9520200, ext. 108. (trejo@colpos.mx).

3Departamento de Horticultura-División de Agronomía-Universidad Autónoma Agraria Antonio Narro. Calzada Antonio Narro núm. 1923, Col. Buenavista, Saltillo, Coahuila, México. CP. 25315. (leobardo1959@yahoo.com.mx).

4Programa Forestal-Campus Montecillo-Colegio de Postgraduados. Carretera México-Texcoco km 36.5, Montecillo, Estado de México, México. CP. 56230. Tel. 595 9520200, ext. 1481. (lopezma@colpos.mx).

5Programa de Recursos Genéticos y Productividad-Fruticultura-Campus Montecillo-Colegio de Postgraduados. Carretera México Texcoco km 36.5, Montecillo, Estado de México, México. CP. 56230. Tel. 595 9520200, ext. 1117. (arellano@colpos.mx).


Resumen

En la biznaga ‘barril azul’ (Ferocactus glaucescens (DC.) Britton y Rose) se evaluaron 12 tratamientos considerando concentraciones nutritivas (100, 200, 400 y 800 mg L-1) de fertilizantes solubles en interacción con tres niveles de nitrógeno (N), fósforo (P) y potasio (K) (100-50-50, 100-50-100 y 50-50-100), éstos fueron comparados con la solución nutritiva de Steiner al 25% y 50% y dos testigos comerciales (triple 17 y triple 20). Las variables evaluadas fueron altura de la planta, diámetro de tallo, peso fresco y seco del tallo y raíz, y concentración de N, P y K. Se realizó un ANOVA y una prueba de medias de Tukey (p≤ 0.05) que indican que la solución nutritiva Steiner al 50% y la solución elaborada con 800 mg L-1 con el balance de 100-50-100 de NPK generaron a los 153 DDT plantas con mayor biomasa y tamaño comercial con altura y diámetro de tallo superior a 6 cm refiriendo que en etapas tempranas la relación N:K influyen en este proceso.

Palabras clave: cactáceas; nutrición; ornamentales

Abstract

In the biznaga ‘blue barrel’ (Ferocactus glaucescens (DC.) Britton and Rose) 12 treatments were evaluated considering nutrient concentrations (100, 200, 400 and 800 mg L-1) of soluble fertilizers in interaction with three nitrogen levels (N), phosphorus (P) and potassium (K) (100-50-50, 100-50-100 and 50-50-100), these were compared with the nutrient solution of Steiner at 25% and 50% and two commercial controls (triple 17 and triple 20). The variables evaluated were plant height, stem diameter, fresh and dry weight of stem and root, and concentration of N, P and K. An ANOVA and Tukey’s mean test (p≤ 0.05) were performed, indicating that the 50% Steiner nutrient solution and the solution prepared with 800 mg L-1 with the balance of 100-50-100 of NPK generated at 153 DDT plants with higher biomass and commercial size with stem height and diameter greater than 6 cm referring that in early stages the N:K relationship influence this process.

Keywords: cacti; nutrition; ornamental

Introducción

La especie Ferocactus glaucescens (DC.) Britton y Rose. taxonómicamente se ubica en la subfamilia Cactoideae y Tribu Cacteae (Trópicos, 2017). De acuerdo con Guzmán et al. (2003), F. glaucescens es una planta endémica que se distribuye en el centro de México, siendo en condiciones naturales una especie que presenta hábitos solitarios y que no producen brotes de manera natural. Esta especie no aparece referida en la NOM-059-SEMARNAT-2010; sin embargo, está incluida en el Apéndice II de CITES (Trópicos, 2017; Cites, 2019).

Por su rareza, características morfológicas y belleza, estas plantas se consideran de tipo ornamental y se utilizan en la jardinería como planta de maceta de interior y exterior como lo refieren Guzmán et al. (2003); Villavicencio et al. (2010). En el mercado la producción de especies de tipo globoso semicolumnar, como es este caso no superan 5% de dicho volumen, por lo que existe interés en incrementar la producción de este tipo de especie que tiene importancia ecológica y comercial entre los productores y viveristas con registro de unidad de manejo ambiental (UMA) (Granada, 2014; Villavicencio, 2015; Gámez et al., 2016). En plantas ornamentales, el fertirriego se ha aplicado en cultivares de flor de corte, follajes y plantas de maceta producidos en invernadero o a cielo abierto (Cabrera, 1999). Las plantas de maceta requieren de aportes periódicos de fertilizantes líquidos o sólidos, pero en cactus y plantas crasas, éstos deben ser especiales considerando que son plantas xerófitas; sin embargo, los estudios al respecto son escasos (Flores, 2009; Arredondo, 2016).

Trinidad y Aguilar (1999) refieren que en plantas vasculares los nutrimentos pueden penetrar a través del tallo y por las raíces, por lo que un análisis químico tanto foliar como radical son importantes para evaluar la absorción y asimilación nutrimental. Al respecto se tienen referencias en, pitahaya amarilla (Cereus triangularis L.) (Orrico, 2013), la biznaga dorada o barril de oro (Echinocactus grusonii Hildm.) (Tanaka et al., 1983), biznaga burra o tonel grande (Echinocactus platyacanthus Link & Otto) (Arredondo, 2016), Mammillaria carmenae y Mammillaria plumosa (Rodríguez, 2010) y pitahaya (Stenocereus griseus Haworth) (Serrano, 1996), por lo que el objetivo de esta investigación fue determinar las necesidades de este cultivar mediante una solución nutrimental que promueva el crecimiento vegetal, una productividad rentable y buena calidad de producto.

Materiales y métodos

La investigación se realizó durante los ciclos de primavera-verano (P-V) de 2017 y 2018 en las instalaciones del Laboratorio de Cultivo de Tejidos Vegetales (LCTV) e invernadero del Campo Experimental Saltillo CIRNE-INIFAP, ubicado en el municipio de Saltillo, Coahuila, México.

Material vegetal

Se utilizó un lote de plantas de esta especie de 4 meses de edad establecidas en macetas de plástico de 2.5” utilizando una mezcla de sustrato de arena, turba y agrolita descrita por Villavicencio et al. (2013), la cual registró un pH de 6.5 y conductividad eléctrica de 4.2 dS m-1. Esta mezcla previamente se esterilizó en una autoclave (Marca Sumi) a una temperatura de 120 °C y 1.5 libras de presión.

Crecimiento vegetativo

Se evaluaron 12 tratamientos mediante un diseño de bloques al azar con arreglo factorial, considerando como factor A cuatro concentraciones nutrimentales (100, 200, 400 y 800 mg L-1) de fertilizantes solubles y como factor B el balance de elementos, considerando tres niveles de nitrógeno (N), fósforo (P) y potasio (K) (100-50-50, 100-50-100 y 50-50-100), utilizando como fuente de fertilizantes urea (46-00-00), fosfato monoamónico (12-61-00) y nitrato de potasio (12-00-46). También se evaluaron dos tratamientos considerando la solución nutritiva de Steiner (Steiner, 1984), al 25% y 50% y dos testigos comerciales (triple 17 y triple 20) que son los fertilizantes utilizados por los productores en los viveros o invernaderos de cactáceas de ornato.

En total de evaluaron diecisiete tratamientos en invernadero a una temperatura de 28 °C considerando como unidad experimental 5 plantas y 5 repeticiones por tratamiento. Los tratamientos de fertilización se ajustaron considerando un pH de 6.5 con ácido fosfórico y una conductividad eléctrica de 2 dS m-1. Estos tratamientos fueron suministrados mediante un sistema de fertirriego realizando la aplicación cada 15 días alternando con un riego sin fertilización, las variables se registraron a partir de los 30 y hasta 153 días después del trasplante (DDT), éstas fueron: altura de la planta (At, cm) medido desde la base del tallo hasta el ápice terminal de la planta, con un vernier digital, diámetros ecuatorial y polar, con los que se calculó el diámetro promedio (Dp, cm).

Al final de la evaluación (153 DDT), se determinó el peso de materia fresca y seca de la parte aérea y raíz, el secado se hizo en estufa (Marca Felisa) por 72 h a 70 °C hasta peso constante en gramos (g). Para determinar la concentración de nitrógeno (N), fósforo (P) y potasio (K) se seleccionó una planta de cada tratamiento, la concentración de N se determinó por el método Kjeldahl el P y el K fueron leídos en digestado de material vegetal con ácido sulfúrico, ácido perclórico y peróxido de hidrógeno en relación 2:1:1 (v:v:v), en un equipo ICP-OES (Agilent, 725-AES).

Análisis estadístico

Las variables evaluadas se analizaron estadísticamente mediante el procedimiento GLM del sistema de análisis estadístico SAS, (Versión 9.3) realizando un análisis de varianza (Anova) y una prueba de comparación de medias Tukey a una probabilidad de 95%.

Resultados y discusión

Los resultados muestran que el crecimiento de esta especie está en función de la concentración de nutrimentos aplicados en el fertirriego y que este cultivar requiere de una solución nutritiva específica para alcanzar su tamaño comercial. En esta etapa las plantas de esta especie respondieron al efecto de los tratamientos absorbiendo los iones presentes en la composición química de la solución nutritiva.

Efecto de concentraciones nutrimentales

Altura de las plantas (At)

Los resultados del Anova mostraron diferencias altamente significativas (p≤ 0.01) en la altura de planta entre concentraciones, siendo la concentración de la solución nutritiva Steiner al 50%, el testigo comercial triple 20 y la concentración de 800 mg L-1 iguales estadísticamente. Estas concentraciones superaron al resto de las concentraciones evaluadas, con una altura media (At) de 6.28 cm, lo que representa un aumento en altura de 35.5% (2.23 cm) con respecto al testigo (Figura 1a). Las concentraciones de la solución Steiner al 25%, el testigo comercial triple 17, 400 y 200 mg NPK L-1 tuvieron el mismo comportamiento registrando una altura promedio de 5.88 cm.

Figura 1 Concentración del nitrógeno (N), fósforo (P) y potasio (K) en el fertirriego en la altura de planta (a) y diámetro promedio (b) de la biznaga barril azul (Ferocactus glaucescens (De Candolle). Britton y Rose, en invernadero.  

Diámetro promedio (Dp)

Entre las concentraciones evaluadas existieron diferencias altamente significativas (p≤ 0.01) en el diámetro promedio desde 60 días de evaluación, siendo la concentración de la solución nutritiva Steiner al 50% la que superó al resto de las concentraciones evaluadas, registrando una media de 6.45 cm, el cual superó en 1.79 cm (27.75%) al diámetro medio de plantas del testigo sin fertilizar.

Los fertilizantes comerciales usados como testigos (triple 17 y triple 20) junto con la solución Steiner al 25% y las concentraciones 800 y 400 mg de NPK L-1 fueron iguales estadísticamente registrando un diámetro promedio de 5.95 cm, que es superior en 1.29 cm (21.68%), al diámetro de plantas sin fertilizar. Las concentraciones de 100 y 200 mg NPK L-1 registraron el menor efecto en esta variable con un valor medio de 5.56 cm (Figura 1b).

Efecto del balance nutrimental

Altura de las plantas (At)

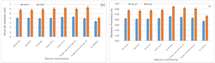
Al final de la evaluación (153 DDT) los resultados del Anova mostraron diferencias altamente significativas (p≤ 0.01), entre balances nutrimentales en la altura de plantas. A partir, de los 90 días se observó que la solución Steiner al 50 y 25% junto con el testigo comercial Triple 20 fueron iguales estadísticamente con una altura media de 6.16 cm. Estos balances nutrimentales superaron en la altura de planta al testigo sin fertilizar en 2.11 cm, lo que representó un incremento de tamaño de 34.25% (Figura 2a).

Figura 2 Balance nutrimental en el fertirriego en la altura de planta (a) y diámetro promedio (b) de la biznaga ‘barril azul’ (Ferocactus glaucescens (DC.) Britton y Rose, en invernadero.  

El testigo comercial triple 17 y los balances 50-50-100, 100-50-100 y 100-50-50 de NPK fueron iguales estadísticamente registrando una altura de planta de 5.82 cm la cual fue superior en 1.77 cm al tamaño de las plantas con respecto al testigo sin fertilizante, lo que representó un incremento de tamaño del 30.45% (Figura 2b).

Diámetro promedio (Dp)

Plantas tratadas con la solución Steiner al 50% superaron en diámetro al resto de los balances evaluados, registrando un valor medio de 6.45 cm. Con este balance nutrimental el diámetro se incrementó en 1.79 cm con respecto al testigo sin fertilizante, que representó un aumento de 27.75%.

Los fertilizantes comerciales usados como testigos comerciales (triple 17 y triple 20) junto con la solución Steiner al 25% y los balances nutrimentales 50-50-100 y 100-50-100 de NPK fueron iguales estadísticamente, registrando en promedio un diámetro de 5.75 cm. Con estos balances las plantas aumentaron su diámetro en 1.09 cm con respeto al testigo sin fertilizante, lo que representó un incremento de 18.95%. El balance nutrimental 100-50-50 de NPK fue el que generó menos respuesta de los tres balances nutrimentales de NPK evaluados (Figura 2b).

Efecto de los tratamientos

Altura de las plantas (At)

Al realizar la prueba de medias de Tukey (p≤ 0.05) considerando la interacción de la concentración y el balance nutrimental de NPK se seleccionó la solución nutritiva Steiner al 50% y el tratamiento de 800 mg L-1 con el balance nutrimental 100-50-100 de NPK como los tratamientos de fertirriego que promueven el crecimiento en invernadero en la etapa 1 de esta especie registrándose, a los 153 DDT, plantas con una altura mayor a 6.29 cm superando estadísticamente (p≤ 0.01) al resto de los tratamientos evaluados incluidos los testigos comerciales (triple 17 y triple 20), obteniendo un incremento en altura de planta de 35.5% con respecto al tratamiento sin fertilización (Figura 3).

Figura 3 Concentración y balance nutrimental de NPK en el fertirriego en la altura de planta (a) y diámetro promedio (b) de la biznaga ‘barril azul’ (Ferocactus glaucescens (DC.) Britton y Rose, en invernadero.  

La altura de planta es una de las características más importantes para este cultivar, por la presentación en planta de maceta con propósitos de comercialización. Plantas con tamaño menor al obtenido con los tratamientos anteriores son difíciles de comercializar, pierden calidad y precio en los centros de venta. Al respecto Langton et al. (1999); Flores (2009) refieren que la altura de la planta también es un buen indicador de una suficiente o deficiente nutrición. Para el caso de este tipo de cactáceas las variables de calidad son el tamaño de la planta (altura y diámetro), color del tallo, rigidez y firmeza de las espinas.

En orden de importancia le siguieron los tratamientos donde se aplicó la solución Steiner al 25% y los tratamientos con 800 mg L-1 con los balances nutrimentales 100-50-100 y 50-50-100 de NPK registrando una altura de 5.99 cm. A partir, de estos tratamientos los resultados mostraron que conforme la concentración de mg L-1 disminuye de 400 a 100 mg L-1 en los tres balances nutrimentales de NPK evaluados (100-50-50, 100-50-100 y 50-50-100) la altura disminuye, encontrando la menor respuesta con el tratamiento de 100 mg L-1 que se elaboró con el balance nutrimental 100-50-50 de NPK registrando una altura de 5.31 cm, la cual representó una diferencia con respecto al testigo sin fertilizar de 1.26 cm.

Diámetro promedio (Dp)

Después de los 153 DDT, la solución nutritiva Steiner al 50% y el tratamiento de 800 mg L-1 con el balance nutrimental 100-50-100 de NPK fueron los tratamientos de fertirriego que promueven el mayor diámetro de las plantas, registrando un valor medio de 6.45 cm, el cual superó al resto de los tratamientos evaluados. Los testigos comerciales triple 17 y triple 20 y el testigo sin fertilizar registraron un diámetro promedio de 6.14 cm.

La solución nutritiva Steiner al 25% registró la misma tendencia que el testigo comercial Triple 20 junto con los tratamientos con una concentración de 800 mg L-1 elaborada con los balances nutrimentales 50-50-100 y 100-50-50 de NPK registrando un diámetro medio de 6.24, cm siendo estadísticamente iguales (p≤ 0.01). A partir, de estos tratamientos los resultados mostraron que conforme la concentración de mg L-1 disminuye de 400 a 100 mg L-1 en los tres balances nutrimentales de NPK evaluados (100-50-50, 100-50-100 y 50-50-100) el diámetro medio se reduce encontrando la menor respuesta con el tratamiento de 400 mg L-1 que se elaboró con el balance nutrimental 100-50-50 de NPK registrando un diámetro de 5.46 cm, la cual representó una diferencia negativa con respecto al testigo sin fertilización de 0.7 cm.

La solución nutritiva Steiner al 50% mostró ser una solución nutritiva balanceada, con respecto a los elementos nutritivos que aportó al agua que se usó, donde el sistema radicular de tipo ramificado de la planta pudo absorber los nutrimentos. Con esta solución el aporte del nitrógeno fue de 84 mg L-1, del fósforo de 15.5 mg L-1 y potasio de 136.5 mg L-1, siendo este último elemento de mayor concentración. Así mismo, esta solución nutritiva aportó otros macroelementos secundarios como calcio (90 mg L-1) magnesio (24.5 mg L-1) y azufre (56 mg L-1), mientras que la concentración de 800 mg L-1 con el balance nutrimental 100-50-100 de NKP aportó una concentración de nitrógeno (N) de 25.4 mg L-1, fósforo (P) de 14.9 mg L-1 y potasio (K) de 39.6 mg L-1.

Estos resultados muestran que el sistema de fertilización junto con el manejo integrado del cultivar (MIC) son importantes para obtener plantas de tamaño comercial.

Materia fresca y seca del tallo y raíz

Los resultados del Anova mostraron diferencias altamente significativas (p≤ 0.01) en pesos de materia fresca y seca de tallo y raíz siendo los tratamientos con la solución Steiner al 50% y el tratamiento de 800 mg L-1 con el balance nutrimental 100-50-100 de NPK los que generaron mayor biomasa en materia fresca y seca del tallo y raíz, superando a los testigos comerciales (triple 17 y triple 20) y al resto de los tratamientos evaluados, por lo que las soluciones nutrimentales aplicadas tuvieron un efecto en la producción de biomasa (Cuadro 1).

Cuadro 1 Concentración de nitrógeno (N), fósforo (P) y potasio (K) en plantas de barril azul (Ferocactus glaucescens (DC.) Britton y Rose en invernadero después de 153 DDT con distintas concentraciones y balances nutrimentales. 

Tratamiento Materia fresca de tallo Materia seca de tallo Materia fresca de raíz Materia seca de raíz N P K
(g)* (g kg-1 de materia seca)
1 (100 mg L-1) 100-50-50 38.14 f 4.85 f 2.14 ef 0.22 d 5.6 2.164 20.759
2 (100 mg L-1) 100-50-100 73.71 c 3.46 d 9.1 1.255 10.977
3 (100 mg L-1) 50-50-100 73.71 c 3.59 d 4.9 1.719 16.37
4 (200 mg L-1) 100-50-50 71 cd 8.88 d 1 f 0.23 d 8.4 1.686 17.626
5 (200 mg L-1) 100-50-100 38.12 f 4.42 c 7 1.329 13.81
6 (200 mg L-1) 50-50-100 49.11 e 2.96 e 8.7 1.107 13.692
7 (400 mg L-1) 100-50-50 49 e 7.31 e 4 d 0.9 c 12.2 0.684 6.644
8 (400 mg L-1) 100-50-100 42.49 e 2.28 ef 5.6 1.633 13.536
9 (400 mg L-1) 50-50-100 68.17 cd 0.86 f 5.2 1.304 14.599
10 (800 mg L-1) 100-50-50 78 c 9.6 d 1 f 0.14 d 4.5 1.678 25.164
11 (800 mg L-1) 100-50-100 80 b 19.65 ab 3 b 1.13 b 4.2 1.665 20.032
12 (800 mg L-1) 50-50-100 59.73 d 4.81 c 5.6 1.077 9.838
13 Triple 17 49 e 17.9 b 0.5 g 0.95 cd 7.7 2.168 14.425
14 Triple 20 67 cd 1 f 7.35 3.296 16.963
15 Steiner 25% 43 ef 11.06 c 1 f 0.84 cd 8.05 1.451 11.08
16 Steiner 50% 92 a 22.91 a 6 a 1.77 a 5.6 1.759 9.286

*= Medias con letras distintas en cada columna indican diferencias estadísticas significativas (Tukey, p≤ 0.05) entre tratamientos.

Estos resultados coinciden con los reportados por Trejo et al. (2013); Villanueva et al. (2010) quienes refieren que la fertilización con N y K en cada fase fenológica influye de manera diferencial la producción de biomasa.

Concentración total de N, P y K en la planta

Con la solución nutritiva Steiner al 50% se registró una concentración de N de 5.6 g kg-1 de materia seca, semejante a la solución nutritiva de 800 mg L-1 con el balance de 100-50-100 de NPK (N= 4.2 g kg-1 de materia seca). A pesar que otros tratamientos superaron estos valores el tamaño de las plantas en altura y diámetro fue menor como el registrado en los testigos comerciales (triple 17 y triple 20) donde la concentración de N fue estadísticamente igual con un valor de 7.35 g kg-1 de materia seca (Cuadro 1).

Con la solución nutritiva Steiner al 50% la concentración de fósforo (P) fue de 1.75 g kg-1 de materia seca, superando en materia seca a las plantas donde se aplicó la solución nutritiva con 800 mg L-1 con el balance de 100-50-100 de NPK registrando 1.66 g kg-1de materia seca. Los testigos comerciales triple 17 y triple 20 registraron una concentración de fósforo (P) mayor a 2.16 kg de materia seca superando al resto de los tratamientos evaluados.

La mayor concentración de potasio (K) en las plantas se obtuvo con solución nutritiva elaborada con 800 mg L-1 con el balance de 100-50-100 de NPK registrando 20.03 g kg-1 de materia seca, esta concentración duplicó a la obtenida con la solución nutritiva Steiner al 50% (Cuadro 1).

En general la solución nutritiva Steiner al 50% aporta a la planta mayor concentración de materia seca en nitrógeno (N) y potasio (P) que la elaborada con 800 mg L-1 con el balance de 100-50-100 de NPK teniendo un efecto opuesto con el potasio (K) donde las plantas del segundo tratamiento referido duplicaron la materia seca de potasio (K). En cambio, los testigos comerciales (Triple 17 y Triple 20) superaron a dichos tratamientos en nitrógeno (N) con una concentración superior a 7.35 g kg-1 de materia seca, en fósforo (P) (2.1 g kg-1 de materia seca) y potasio (K) (14.42 g kg-1 de materia seca) sin mostrar síntomas de toxicidad. Con estos tratamientos las plantas fueron más pequeñas y se estima que requieren de al menos seis meses adicionales en invernadero para alcanzar su tamaño comercial, esto implica la inversión de tiempo y aumento en el costo de producción, por lo que los productores tienen que considerar otras opciones de fertilización para promover el crecimiento de este tipo de plantas.

Pineda et al. (1998); Enríquez et al. (2005) refieren que la solución nutritiva universal propuesta por Steiner (1984), mayor a 25%, registra una concentración de N en el follaje de la planta entre 3 y 5 g kg-1 de materia seca. Este intervalo es semejante al obtenido con solución nutritiva Steiner al 50% y la elaborada con 800 mg L-1 con el balance de 100-50-100 de NPK. En esta etapa la demanda de K en la planta fue superior a la de N. Al respecto Rueda et al. (2016) menciona que el N se pierde más rápidamente en el sustrato que el K y que con los riegos se incrementa la relación K:N en etapas tempranas del cultivo, relación que favorece el incremento en tamaño y la calidad de la planta de maceta, este mismo efecto se obtuvo con los tratamientos referidos, por lo que estas soluciones nutritivas son adecuadas dentro de los rangos de suficiencia.

Asimismo, Arredondo (2009); Trejo et al. (2013); Spurway y Thomas (2001) refieren que los principales nutrimentos absorbidos por la planta en etapas tempranas son el N y K y que una deficiencia de éstos afectará drásticamente el desarrollo, producción y calidad del producto, efecto que también se registró con esta especie.

Esta misma respuesta se obtuvo con Echinocactus grusonii (Tanaka et al., 1983) y en nopal (Lara, 1990; Serrano, 1996) donde no sólo la longitud y el ancho del cladodio aumentó, sino también el número de brotes/planta. Estos resultados muestran que la nutrición es uno de los factores más importantes, donde no existe una solución estándar para todos los cultivares, por lo que es necesario determinar las necesidades de cada cultivar para promover una productividad rentable y buena calidad de producto.

Conclusiones

La solución nutritiva Steiner al 50% y la solución elaborada con 800 mg L-1 con el balance de 100-50-100 de NPK generaron a los 153 DDT plantas con mayor biomasa y tamaño comercial con altura y diámetro de tallo superior a 6 cm refiriendo que en etapas tempranas la relación N:K influyen en este proceso.

Agradecimientos

A la convocatoria de proyectos fiscales de INIFAP por el apoyo al proyecto con registro SIGI: 1961334260 titulado: ‘desarrollo tecnológico para la producción de planta comercial de cactáceas ornamentales en invernadero’.

Literatura citada

Arredondo, A. M. A. 2016. Efecto de la fertilización foliar en el desarrollo de las plantas de Echinocactus platyacanthus Link & Otto. Tesis de Licenciatura. Universidad Autónoma Agraria Antonio Narro (UAAAN). Unidad Saltillo. Buenavista, Saltillo Coahuila, México. 56 p. [ Links ]

Arredondo, G. A. 2009. Estándares de calidad requeridos en la producción de cactáceas ornamentales. Campo Experimental San Luis. CIRNE-INIFAP. Soledad de Graciano Sánchez, San Luis Potosí. Folleto para Productores núm. 47. 24 p. [ Links ]

Cabrera, I. R. 1999. Propiedades, uso y manejo de sustratos de cultivo para la producción de plantas en maceta. Rev. Chapingo Ser. Hortic. 5(1):5-11. [ Links ]

CITES. 2019. Sitio web. FAO y el cuadro especial de expertos para la evaluación de la propuesta de modificación de los Apéndices de la CITES. FI Institutional Websites. [ Links ]

Enríquez, del V. J. R.; Velásquez, T. B.; Vallejo, F A. R. y Velasco, V. V. A. 2005. Nutrición de plantas de Dendranthema grandiflora obtenidas in vitro durante su aclimatación en invernadero. Rev. Fitotec. Mex. (28):377-383. [ Links ]

Flores, P. S. 2009. Soluciones nutritivas en la producción de injertos en cactáceas. Tesis de Maestría en Ciencias. Colegio de Postgraduados. Montecillo, Texcoco, Estado de México. 188 p. [ Links ]

Gámez, M. O.; Villavicencio, G. E. E.; Serrato, C. M. A.; Mejía, M. J. M.; Treviño, C. G.; Martínez, G. L.; Rodríguez, O. M.; Granada, C. L.; Flores, C. M.; Reyes, S. J.; Islas, L. M.; Salome, C. E.; Menchaca, G. A. R.; Espadas, M. C. M.; Hernández, S. L.; Vázquez, C. G. L. M.; Martínez, M. F.; Vargas, P. O. y Ríos, S. E. 2016. Conservación y aprovechamiento sostenible de especies ornamentales nativas de México. Servicio Nacional de Inspección y Certificación de Semillas (SNICS) y Universidad Autónoma Chapingo (UACH). 152 p. [ Links ]

Granada, C. L. 2014. La importancia del sector ornamental como un potencial de alto contenido de participación social. In: Primer Simposio Nacional Plantas ornamentales nativas mexicanas con potencial comercial. Servicio Nacional de Inspección y Certificación de Semillas (SNICS)-Sistema Nacional de Recursos Fitogenéticos para la Alimentación y la Agricultura (SINAREFI). Tezoyuca, Morelos, México. 10 p. [ Links ]

Guzmán, U.; Arias, S. y Dávila, P. 2003. Catálogo de cactáceas mexicanas. Universidad Nacional Autónoma de México (UNAM)- Comisión Nacional para el Conocimiento y Uso de la Biodiversidad (CONABIO). México, DF. 315 p. [ Links ]

Langton, F. A.; Benjamin, L. R. and Edmondson, R. N. 1999. The effects of crop density on plant growth and variability in cut flower chrysanthemum (Chrysanthemum morifolium Ramat.). The J. Hortic. Sci. Biotechnol. (74):493-501. [ Links ]

Lara, S. R. 1990. Dinámica nutrimental del nopal tunero (Opuntia amyclaea Tenore) a la aplicación de NPK en los cladodios. Tesis Profesional, Universidad Autónoma Chapingo (UACH). Estado de México. 68 p. [ Links ]

Orrico, Z. G. 2013. Respuesta de la pitahaya amarilla (Cereus triangularis L.) a la aplicación complementaria de dos fertilizantes en tres dosis. Puerto Quito, Pichincha. Tesis de Ingeniero Agrónomo. Universidad Central del Ecuador. Quito, Ecuador. 88 p. [ Links ]

Pineda, P. J.; Sánchez, del C. F.; Colinas, M. T. y Sahagún, J. 1998. Dilución de una solución nutritiva estándar en el cultivo de crisantemo (Dendranthema x grandiflorum) en un sistema hidropónico abierto. Rev. Chapingo Ser. Hortic. 41(1):25-30. [ Links ]

Rodríguez, L. J. I. 2010. Evaluación de soluciones nutritivas en la aclimatización de vitroplantas de Mammillaria carmenae y Mammillaria plumosa. Tesis de Licenciatura. Universidad Autónoma Agraria Antonio Narro (UAAAN). Buenavista, Saltillo, Coahuila, México 70 p. [ Links ]

Serrano, P. B. 1996. Respuesta de la pitahaya (Stenocereus griseus Haworth) a diferentes dosis de fertilización con N, P y K. Tesis profesional. Universidad Autónoma Chapingo (UACH). Texcoco, Estado de México. 59 p. [ Links ]

Spurway, M. I. and Thomas, B. M. 2001. Nutrition of container-grown Christmas cacti. J. Plant Nutr. 24(4-5):767-778. [ Links ]

Steiner, A. A. 1984. The universal nutrient solution. In: proceedings 6th International Congress on Soilless Culture. Wageningen, The Netherlands. 633-650 pp. [ Links ]

Tanaka, T.; Rikitoku, M. and Gomi, K. 1983. The effects of N, P, and K on growth and chemical composition of cactus (Echinocactus grussonii Hildm.). Hortic. Abstracts. 53(1):855. [ Links ]

Trejo, T.; Torres, F. N. I.; Tejeda, S. O.; Trejo, T. B. I.; Ramírez, M. M. y Gómez, M. F. C. 2013. Nitrógeno y potasio en la acumulación de biomasa en dos especies de alcatraz. Rev. Mex. Cienc. Agríc. 5(4):1063-1068. [ Links ]

Trinidad, S. A. y Aguilar, M. D. 1999. Fertilización foliar, un respaldo importante en el rendimiento de los cultivos. Terra Latinoam. 17(3):247-255. [ Links ]

Trópicos. 2017. Ferocactus glaucescens (DC.) Britton y Rose. http://www.tropicos.org/ Name/33700793. [ Links ]

Villanueva, C. E.; Alcántar, G. G.; Sánchez; G. M. P.; Soria, F. y Larqué, S. A. 2010. Nutrición mineral con nitrógeno, fósforo y potasio para la producción de Chrysanthemum morifolium Ramat. con sustratos regionales en Yucatán, México. Terra Latinoam. 28(1):43-52. [ Links ]

Villavicencio, G. E. E.; Arredondo, G. A.; Carranza, P. M.; Mares, A. O.; Comparan, S. S. y González, C. A. 2010. Cactáceas ornamentales del Desierto Chihuahuense que se distribuyen en Coahuila, San Luis Potosí y Nuevo León, México. Campo Experimental Saltillo. Instituto Nacional de Investigaciones Forestales, Agrícolas y Pecuarias (INIFAP). Saltillo, Coahuila, México. Libro técnico núm. 2. 345 p. [ Links ]

Villavicencio, G. E. E.; Carranza, P. M. A.; Valdés, R. J. y González, C. A. 2013. Protocolo de mantenimiento de la colección de cactáceas del SINAREFI. MACRO-RED: Ornamentales, RED: Cactáceas. SNICS-SINAREFI. Campo Experimental Saltillo. Instituto Nacional de Investigaciones Forestales, Agrícolas y Pecuarias (INIFAP). SAGARPA-SNICS, Naucalpan, Estado de México, México 15 p. [ Links ]

Villavicencio, G. E. E. 2015. Plan estratégico de la red cactáceas conforme al segundo plan de acción mundial. Campo Experimental Saltillo. Instituto Nacional de Investigaciones Forestales, Agrícolas y Pecuarias (INIFAP)-CIRNE. Saltillo Coahuila, México. 13 p. [ Links ]

Recibido: 01 de Mayo de 2019; Aprobado: 01 de Agosto de 2019

§Autor para correspondencia: villavicencio.edith@inifap.gob.mx.

Creative Commons License Este es un artículo publicado en acceso abierto bajo una licencia Creative Commons