Introducción
En México, el maíz es considerado el cultivo más importante, pues se siembran casi siete millones de hectáreas de las que se obtienen, cerca de 23 millones de toneladas. Se estima que 80% de la superficie cultivable se trabaja bajo condiciones de temporal, donde la distribución y volumen de agua depende de las lluvias, lo cual reduce de manera significativa el rendimiento promedio (2.3 t ha-1), especialmente si se compara con el de riego (7.3 t ha-1), (SIAP-SAGARPA, 2017). El 65% de la superficie cultivada en México bajo condiciones de temporal se siembra con maíces nativos (CIMMYT, 2014), los cuales tienen una amplia adaptación a condiciones agroclimáticas muy específicas y además, por sus características culinarias como son el color, sabor, textura son muy apreciados por los consumidores para la elaboración de varios platillos típicos (Hellin et al., 2013).
Tal es el caso de los maíces pigmentados (azul, negro, rojo, morado, etc.), los cuales se siembran en gran medida para satisfacer el paladar de las familias que los producen y para alagar a los comensales en eventos especiales de cada comunidad. Los maíces nativos o también llamados por los productores maíces “criollos” poseen un arraigo ancestral en la vida de los mexicanos, a pesar de ello, el uso de estos maíces se ha ido modificando con el paso de los años debido a factores como la globalización, cambios en la vida social y productiva del sector rural, cambios de preferencias de los consumidores y la migración (López-Torrez et al., 2016).
En el estado de Morelos, el maíz, es el segundo cultivo de mayor importancia después del sorgo. La superficie sembrada de maíz en Morelos para el año 2015 fue de 23,922 ha, en donde se obtuvo un rendimiento promedio de 2.27 t. ha-1 (SIAP-SAGARPA, 2017). La producción de este cereal es principalmente en condiciones de temporal empleando genotipos mejorados, mismos que han desplazado paulatinamente a los maíces nativos pigmentados los cuales actualmente son sembrados en pequeña escala y utilizados principalmente para el autoconsumo, se emplean para la elaboración de tortillas, carretas (alimento elaborado con masa y manteca, cocido en un comal), pinole (alimento prehispánico a base de maíz tostado, molido y aderezado con azúcar y canela), tamales (producto elaborado con masa mezclada con manteca la cual se envuelve y cose en las brácteas de la mazorca ‘totomoxtle’) y atole (bebida elaborada a base de maíz tostado y molido o con masa de maíz pigmentado nixtamalizado).
Los cambios antes citados, están presentes en los municipios de Ayala y Temoac, Morelos, ya que en los años sesenta el principal cultivo era el maíz y se cultivaban solo maíces nativos. En los últimos treinta años estos maíces fueron reemplazados paulatinamente por variedades e híbridos mejorados de maíz y cultivos como el sorgo, amaranto y cacahuate, además, en el año 2016 por maíces amarillos destinados al consumo animal. Aunado a lo anterior, las unidades de producción familiar se han reducido debido a la edad avanzada de los productores, la migración de la gente joven y el desinterés de perpetuar su cultivo por parte de los hijos que se han quedado, o los nietos ya que consideran es una actividad ardua y poco redituable (Barkin y Suárez, 1995).
En México, se han evaluado las características físicas, químicas y los componentes estructurales del grano de maíces nativos pigmentados (Salinas et al., 2013b), también se han cuantificado las antocianinas (Espinosa et al., 2009; Salinas et al., 2013a), así como la calidad proteínica (Vidal et al., 2008). Las industrias de alimentos buscan materias primas con propiedades reológicas muy específicas de sus almidones, aspectos que han sido estudiados en maíces nativos con el propósito de posicionarlos en las industrias demandantes (Gaytán-Martínez et al., 2013).
Las características físico-químicas y los componentes estructurales del grano de maíz dependen de la variedad, las condiciones del cultivo, así como los métodos de selección implementados por los productores, también pueden modificarse por los cambios climatológicos. Vázquez-Carrillo et al. (2016) informaron que con precipitaciones superiores a 500 mm y temperaturas promedio de 15-26 °C en la etapa de llenado del grano, se incrementó el tamaño del grano, la dureza y el contenido de almidón.
La diferencia entre genotipos de la misma raza, se explica por diversos factores: la genética intrínseca de ellos, si se trata de una raza pura, o de una cruza y del control de cada productor a plagas y enfermedades y el manejo implementado en respuesta al clima, heladas, granizadas, acame, etc. Lo anterior, se estudió bajo el análisis de interacción genotipo x ambiente. Al respecto, Bazinger et al. (2012) indicaron que la interacción genotipo x ambiente ocurre cuando los genotipos responden de manera diferente a las variantes del ambiente. Mientras que Ángeles-Gaspar et al. (2010) informaron que la variación genética del maíz está relacionada con los factores asociados a la humedad del suelo, temperatura, altitud y a la duración del periodo de crecimiento de las plantas.
Por lo anterior, el objetivo de esta investigación fue evaluar el efecto del ciclo de cultivo en las características físico-químicas y la calidad de la proteína de 26 poblaciones de maíces nativos pigmentados de los municipios de Temoac y Ayala de la región oriente del estado de Morelos, México.
Materiales y métodos
Germoplasma estudiado
En el ciclo primavera-verano (PV)-2014, se seleccionaron 12 productores del municipio de Temoac y cinco de Ayala, En el ciclo PV-2015, los mismos productores proporcionaron entre 20 y 25 mazorcas cada año (Cuadro 1). En Ayala el clima es cálidos sub-húmedo y Temoac es templado sub-húmedo. Con base en las características de las mazorcas, se identificó la raza y la cruza a la cual pertenecen.
Cuadro 1 Raza y localidades de colecta de maíces nativos pigmentados del oriente de Morelos, México.
| Núm. de población MNP | Raza1 (identificación) | Color | Localidad | Municipio | Altitud (m) |
| 1 | ES x TAB | Rojo | Popotlán | Temoac | 1 619 |
| 2 | Pep x EO | Rojo | Temoac | Temoac | 1 599 |
| 9 | EO x Pep | Rojo | Popotlán | Temoac | 1 616 |
| 10 | EO | Rojo | Amilcingo | Temoac | 1 466 |
| 11 | EC x ES | Rojo | Amilcingo | Temoac | 1 466 |
| 12 | EO | Rojo | Amilcingo | Temoac | 1 466 |
| 13 | EO x Pep | Rojo | Amilcingo | Temoac | 1 466 |
| 17 | Pep x EO | Rojo | Huazulco | Temoac | 1 513 |
| 19 | Pep x EO | Rojo | Temoac | Temoac | 1 528 |
| 21 | Ni | Rojo | Tlayecac | Ayala | Ni |
| 23 | EO x Pep | Rojo | Temoac | Temoac | 1 562 |
| 3 | EO | Azul | Popotlán | Temoac | 1 560 |
| 4 | AN x EO | Azul | Popotlán | Temoac | 1 587 |
| 5 | Pep | Azul | Popotlán | Temoac | 1 635 |
| 6 | EO | Azul | Popotlán | Temoac | 1 618 |
| 7 | Pep | Azul | Popotlán | Temoac | 1 619 |
| 8 | Pep x EO | Azul | Popotlán | Temoac | 1 616 |
| 14 | EC x Pep | Azul | Tlayecac | Ayala | Ni |
| 15 | EC x Pep | Azul | Amilcingo | Temoac | 1 466 |
| 16 | Pep | Azul | Amilcingo | Temoac | 1 486 |
| 18 | AN | Azul | Tlayecac | Ayala | Ni |
| 20 | Pep | Azul | Tlayecac | Ayala | 1 374 |
| 22 | EO | Azul | Tlayecac | Ayala | Ni |
| 24 | Ni | Azul | Temoac | Temoac | 1 528 |
| 25 | Pep x EO | Azul | Huitzililla | Ayala | Ni |
| 26 | Pep x AN | Azul | Amilcingo | Temoac | 1 481 |
MNP= maíces nativos pigmentados; 1ES= Elotero de Sinaloa; TAB= Tabloncillo; Pep= Pepitilla; EO= Elotes Occidentales; EC= Elotes Cónicos; AN= Ancho; Ni= no identificado. 1Dr. Juan Manuel Hernández Casillas (Com. Per.).
Características físicas y químicas del grano
Se evaluó peso hectolítrico (PH), peso de cien granos (PCG), índice de flotación (IF) y los porcentajes de pedicelo (PED), pericarpio (PER), germen (GER), endospermo harinoso (EHA) y córneo (ECO) de acuerdo a la metodología descrita por Salinas y Vázquez (2006). El análisis químico se realizó en harina de grano entero obtenida después de la molienda en un molino tipo ciclónico (UDY, Mod.3010-080P®), con malla de 0.5 mm. Se cuantificó el contenido de: aceite siguiendo el método 920.85 de la AOAC (2000), proteína por el método Technicon Instruments (Galicia et al., 2012), triptófano siguiendo la metodología del ácido glioxílico (Nurit et al., 2009) y el índice de calidad de la proteína (IQP) se calculó con la relación propuesta por Twumasi-Afriyie et al. (2016): IQP= [(triptófano%/proteína %)100].
Las antocianinas totales se evaluaron siguiendo el procedimiento descrito por Salinas et al. (2013a). Las antocianinas de los MNP rojos se calcularon con una curva de pelargonidina clorada (Castañeda-Sánchez, 2011) y se informan como mg equivalentes de pelargonidina clorada por kilogramo de materia seca (mg EPC kg-1 MS). Para los MNP azules se usó una curva de cianidina-3-glucosido, se informan como mg equivalentes de cianidina-3-glucosido por kg de materia seca (mg ECG kg-1 MS) (Salinas et al., 2013a).
Análisis estadístico
Los datos correspondientes a cada una de las variables evaluadas en cada ciclo de producción fueron sometidos a un análisis de varianza bajo un diseño completamente al azar combinado con dos repeticiones mediante el procedimiento GLM y la prueba de comparación de medias Tukey (α= 0.05). Se realizó la matriz de correlación de Pearson. Para todos los análisis se empleó el paquete estadístico SAS (Statistical Analysis System 9.0 para Windows).
Resultados y discusión
En los municipios de Ayala y Temoac ubicados al oriente de Morelos predominaron como
razas puras: Elotes Occidentales ‘EO’ y Pepitilla ‘Pep’, ambas fueron de grano
grande y endospermo suave. Las poblaciones de ’EO’ (cinco) tuvieron menor: PCG (

Figura 1 Aspecto del pericarpio, germen y endospermo de una población roja (A) y azul (B) de maíces nativos pigmentados del oriente de Morelos.
La raza pura de maíz ‘Ancho’ (AN) fue de menor PCG (
Wellhausen et al. (1951) informaron que la raza ‘Pep’ se distribuía principalmente en los estados de Guerrero y Morelos y que era de ‘endospermo suave, granos blancos con aleurona y pericarpio sin color’. En esta investigación se encontraron poblaciones puras de ‘Pep’ de color azul-negro de endospermo suave y con pigmento en la capa de aleurona. Mientras que los de color rojo, tuvieron el pigmento en el pericarpio y algunos también en la capa de aleurona.
En el estado de Morelos se han identificado siete colectas de parientes silvestres y buen número de colectas de criollos representativas de ocho razas, por lo que ha sido declarado con una variabilidad media y parte del centro de origen del maíz (Gómez et al., 2015). Adicionalmente en la colecta 2008-2009 realizada en la zona cálida del estado de Morelos, se identificaron 14 razas, entre ellas pepitilla y Elotes Occidentales las cuales fueron de color blanco (50-60%) y en menor proporción (10-15%) de color amarillo, azul y rojo (Gómez et al., 2015). En los municipios de estudio se identificaron maíces de grano blanco, pero la investigación se centró en los pigmentados, entre los que se identificaron, además, las razas Elotes de Sinaloa ‘ES’ y Tabloncillo ‘TAB’ que no habían sido informadas antes.
Características físicas y químicas de los granos
El análisis de varianza mostró diferencia significativa (p< 0.01) en los efectos de ciclo de cultivo, población y la interacción entre ciclo x población en todas las variables evaluadas (Cuadro 2).
Cuadro 2 Cuadrados medios y significancia para características físicas, químicas y calidad de la proteína de maíces nativos pigmentados del oriente de Morelos.
| Variables | Ciclo | Población | Interacción ciclo*población | Error | CV | Media general |
| Peso hectolítrico | 43.9** | 51.1** | 33.7** | 101.3 | 1.58 | 63.7 |
| Peso cien granos | 935.1** | 82.2** | 49.6** | 0.73 | 1.91 | 44.8 |
| Índice flotación | 775.5** | 489.1** | 257.4** | 12.4 | 4.19 | 84 |
| Pedicelo | 0.38** | 0.11** | 0.08** | 0.0006 | 1.42 | 1.8 |
| Pericarpio | 0.22** | 0.77** | 0.41** | 0.0007 | 0.58 | 4.5 |
| Germen | 1.74** | 3.7** | 1.59** | 0.0006 | 0.2 | 13 |
| Endospermo harinoso | 598.7** | 438.8** | 101.5** | 0.0007 | 0.06 | 50.5 |
| Endospermo corneo | 720.1** | 429.6** | 97.2** | 0.0007 | 0.09 | 30.2 |
| Aceite | 1.39** | 0.72** | 0.35** | 0.033 | 3.58 | 5.1 |
| Proteína | 4.8** | 3.8** | 2.93** | 0.08 | 2.95 | 9.6 |
| Triptófano | 0.0003** | 0.00019** | 0.00009** | 0 | 0.91 | 0.075 |
| Índice de calidad | 0.2** | 0.04** | 0.042** | 0.0009 | 3.73 | 0.8 |
| Antocianinas | 456.8** | 122255.1** | 12349.3** | 1.68 | 0.47 | 276 |
**= significativa p< 0.01; CV= coeficiente de variación.
En los dos años de evaluación, los maíces fueron de granos grandes, correspondientes a valores altos de PCG, reducido PH y elevado IF (Cuadro 3).
Cuadro 3 Efecto del ciclo de cultivo en características físicas, químicas y calidad de la proteína en MNP del oriente de Morelos, México, PV-2014 y PV-2015.
| Variables | Años | DMS | |
| 2014 | 2015 | ||
| Peso hectolítrico (kg hL-1) | 63.07 b | 64.37a | 0.5286 |
| Peso de cien granos (g) | 47.84 a | 41.84 b | 0.4497 |
| Índice de flotación | 81 b | 87 a | 1.85 |
| Pedicelo (%) | 1.76 b | 1.88 a | 0.0136 |
| Pericarpio (%) | 4.48 b | 4.57 a | 0.014 |
| Germen (%) | 12.88 b | 13.14 a | 0.0136 |
| Endospermo harinoso (%) | 48.05 b | 52.85 a | 0.0146 |
| Endospermo córneo (%) | 32.81 a | 27.55 b | 0.014 |
| Aceite (%) | 5.25 a | 5.01 b | 0.072 |
| Proteína (%) | 9.37 b | 9.8 a | 0.1486 |
| Triptófano (%) | 0.078 a | 0.075 b | 0.0004 |
| Índice de calidad | 0.858 a | 0.77 1b | 0.016 |
| Antocianinas (mg ECG kg-1 MS) | 274.49 b | 278.68 a | 0.6815 |
Valores con la misma letra en la misma línea no son estadísticamente diferentes (Tukey, 0.05). DMS= diferencia mínima significativa.
La interacción ciclo x población mostró que los MNP azules fueron de endospermo más suave que los rojos (Figura 2AyB) destacaron las poblaciones ‘EOxPep9’ (Figura 2A), ‘AN18’, ‘EO3’, ‘PepxEO25’, ‘PepxAN26’ y ‘PepxEO5’ (Figura 2B), por la estabilidad en la suavidad de su grano en los dos ciclos de evaluación y por haber sido los de grano más suave, característica que se asoció con PH< 62 kg. hL-1, PCG> 38 g y reducido porcentaje de PER (<4.5%).

Figura 2 Interacción ciclo de cultivo por población en el índice de flotación de poblaciones rojas (A) y azules (B) de maíces nativos pigmentados del oriente de Morelos, México.
Atributos deseables en los maíces destinados al consumo como verdura (elote) (Revilla y Ordaz, 2016) y para la elaboración de pozole, donde se recomienda el uso de maíces con un PH< 67 kg. hL-1, PCG> 38 g, IF =100 y pericarpio <6% (Vázquez et al., 2016).
El mayor tamaño de los granos en el PV-2014, se atribuyen a una mayor disponibilidad de agua al inicio del cultivo y durante el llenado de grano (Figura 3), lo que favorece una rápida acumulación de los carbohidratos (Tanaka y Yamaguchi, 2014).

Figura 3 Temperatura (A) y precipitación (B) en Temoac y Ayala, Morelos en los años 2014 y 2015 (CONAGUA, 2016).
Mientras que el menor tamaño (<PCG) e IF, en el ciclo PV-2015 se atribuyen a la lluvia errática y mal distribuida en la etapa del llenado del grano (Ángeles-Gaspar et al., 2010; Bâzinger et al., 2012) (Figura 3), al respecto, Zinselmeir et al. (1995) señalaron que, en maíz, los bajos potenciales hídricos, reducen el crecimiento embrionario, al disminuir el flujo de sacarosa y alterar el metabolismo de los carbohidratos en los ovarios. El mayor tamaño de grano se asoció con un germen grande, que a su vez produjo una mayor cantidad de aceite (r= 0.68; p< 0.01) (Figura 4) Las poblaciones de color rojo, donde predominó la raza ‘EO’, fueron las de mayor porcentaje de germen y de aceite, respecto a las azules (Figura 4).

Figura 4 Contenido de aceite y proporción de germen en maíces nativos pigmentados del oriente del estado de Morelos, México.
Reducidos valores de PH se correlacionaron con valores altos de: IF (r= -0.54; p≤ 0.01) y endospermo harinoso (EHA) (r= -0.61; p≤ 0.01), lo que corrobora la baja densidad de estos maíces. En sus componentes químicos las poblaciones del ciclo PV- 2014 registraron mayores cantidades de ACE y menos: PRO y ANT (Cuadro 3).
Los valores de ACE estuvieron entre 4.46 y 5.88%, con un valor medio de 5.14%, resultados semejantes fueron informados por Agama-Acevedo et al. (2011) (4.85 a 5.98%) para 15 accesiones de maíz azul y fueron superiores a lo declarado para maíces azules (4.1%) y rojos (4.2%) de Nayarit (Vidal et al., 2008) y a 50 accesiones de maíces cubanos (4.01 a 5.53%) (Martínez et al., 2009), pero inferiores a lo encontrado por Guzmán et al. (2015) en maíces nativos de Guanajuato.
En los MNP la proteína estuvo entre 7.6 a 11.5%, valores que están dentro de lo informado para maíces nativos mexicanos (Gaytán-Martínez et al. (2013), estos autores informaron un intervalo entre 9.7 y 11.9%, en tanto que Vázquez et al. (2010) consignaron valores desde 6.9 hasta 12.5% de proteína. En los MNP de Morelos se observó que los de menor contenido de proteína fueron los de granos más suaves, donde los ‘gránulos de almidón’ que son principalmente esféricos, están débilmente empaquetados en una matriz de proteína que circunda ligeramente los gránulos (Narváez-Gonzáles et al., 2007).
Otro aspecto, que contribuyó en el contenido de proteína fue la fertilización del cultivo, donde los productores informaron que esta ocurrió fuera de tiempo, por la usencia de lluvia y en reducida dosis, adicionada de manera empíricas (1 puño por mata). Algunos productores informaron haber incorporado el rastrojo del cultivo anterior y un pequeño número de ellos, aplico fertilizante orgánico proveniente de sus animales de tiro. La práctica del monocultivo, las erráticas lluvias y la limitada aplicación de fertilizante, son algunas de las causas que pudieron haber contribuido en el bajo contenido de proteína de las poblaciones investigadas.
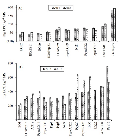
El ciclo de cultivo afecto el contenido de antocianinas totales en 2015 se registró un contenido mayor que el de 2014 (Cuadro 3); no obstante, los valores medios fueron numéricamente muy parecidos en los dos ciclos, lo que pudiera atribuirse al carácter heredable de las antocianinas (Halbwirth et al., 2002). Las poblaciones de grano rojo, tuvieron valores desde 24.79 hasta 623.2 mg EPC kg-1 MS, con un valor medio de 151.4 mg EPC kg-1 MS (Figura 5A).

Figura 5 Antocianinas totales en poblaciones de maíces rojos (A) y azules (B) de la región oriente del estado de Morelos en los ciclos 2014 y 2015.
Esta variabilidad guardo relación con el color de los granos (resultados no presentados), los de tonos más claros (rosa-lila) fueron los de menor contenido de antocianinas, en tanto que la población ‘EOxPep13’ (rojo intenso o guinda) registro el mayor contenido de estos pigmentos (Figura 5A). Las antocianinas de las poblaciones rojas de Morelos fueron superiores a los valores informados (62.3 y 154 mg ECG kg-1 MS) para razas de maíz (rojo) no identificadas (López et al., 2009) y semejantes a lo informado por Salinas-Moreno et al. (2012b) (64.7 a 547.7 mg ECG kg-1 MS) para cuatro razas (Olotillo, Tehua, Tuxpeño y Vandeño) de grano rojo del estado de Chiapas. Las poblaciones de grano azul registraron un mayor contenido de antocianinas, respecto a las rojas (Figura 5A y 5B). En el ciclo 2015 destacaron las poblaciones: ‘Pep20’, ‘Pep16’, ‘EO6’, ‘PepxEO25’ por su mayor contenido de antocianinas, en tanto que ‘EO22’, redujo de manera significativa estos pigmentos (Figura 5B).
En estas poblaciones las antocianinas tuvieron entre 312 y 646.4 mg ECG.kg-1 MS, con un valor medio de 368.4 mg ECG kg-1 MS (Figura 5B), resultados que fueron semejantes a los informado por Salinas et al. (2013a) para diferentes razas de maíces nativos azules, e inferiores al intervalo de: 579.4-1046.1 mg ECG kg-1 MS informado por Salinas-Moreno et al. (2012a) para seis accesiones de maíz Chalqueño, raza adaptada a alturas superiores a los 2 000 msnm, donde prevalecen las bajas temperaturas nocturnas y la alta luminosidad, lo que propicia una mayor síntesis de antocianinas (Jin-Seng et al., 2006; Salinas et al., 2013a). Si bien la genética de las poblaciones es importante en la producción de las antocianinas, los climas cálidos sub-húmedo para el municipio de Ayala y templado sub-húmedo para Temoac, también pudieron haber contribuido.
Calidad de la proteína
La calidad nutritiva del maíz como alimento, está determinada principalmente por la composición de aminoácidos de sus proteínas. Entre los aminoácidos esenciales y limitantes del maíz está el triptófano (Vázquez et al., 2012). Si bien no existen valores absolutos de lisina o triptófano que definan a un maíz con calidad proteínica, Twumasi-Afiyie et al. (2016) sugirieron que maíces con más de 0.075% de triptófano en muestras de grano entero, puede ser considerado con calidad de proteína. En el presente estudio, el mayor contenido de triptófano se encontró en el ciclo PV-2014 (Cuadro 2). Se registraron valores desde 0.064 hasta 0.090%, con un valor medio de 0.075%. De acuerdo con Twumasi-Afiyie et al. (2016), 62% de las poblaciones (16 de 26) tuvo un contenido de triptófano semejante al de maíces con alta calidad de proteína (QPM) (Figura 6).

Figura 6 Triptófano e índice de calidad de la proteína en poblaciones de maíces nativos pigmentados del oriente del estado de Morelos, México.
Las poblaciones azules con mayor contenido de triptófano fueron: ‘PepxAN26’ (0.090%), ‘AN18’ (0.089%), ‘ECxPep15’ (0.085%), les siguieron poblaciones puras de ‘Pep7’ y ‘EO22’, en tanto que las rojas fueron; ‘PepxEO19’ (0.086%) y ‘EOxPep9’ (0.081%) (Figura 6).
Las poblaciones con menos triptófano fueron ‘Ni21’, ‘ECxES11’, ‘ESxTAB1’, ‘EO10’ (rojos) y ‘PepxEO14’ (azul), esta variabilidad muestra que el triptófano es un componente que puede verse modificado por la información genética de cada población (Krivanek et al., 2007), pero también por las condiciones ambientales y el manejo agronómico (Vázquez et al., 2012). El contenido de triptófano de las poblaciones del oriente del estado de Morelos fue superior a los informado por Vidal et al. (2008) (0.048 y 0.051%) y menores a los resultados de Martínez et al. (2009) quienes encontraron un intervalo desde 0.053 hasta 0.097%.
Se ha informado que los contenidos de triptófano y lisina en maíz están altamente correlacionados (>0.9), por lo que, con la cuantificación de triptófano, es posible calificar la calidad de la proteína como un indicador del su valor nutritivo (Nurit et al., 2009). Adicionalmente uno de los criterios más usados para identificar un maíz con calidad de proteína, es el índice de calidad de la proteína (IQP). En los MNP el IQP presentó valores superiores al 0.8 señalado como límite para considerar a un maíz con calidad de proteína (Twumasi-Afiyie et al., 2016), por otra parte, Martínez et al. (2009) propusieron que la selección de maíces con atributos nutritivos debe incluir los valores de proteína, triptófano e IQP de: 8%, 0.075% y 0.8% respectivamente.
En el ciclo 2014 se obtuvo un mayor contenido de triptófano (Cuadro 3); no obstante, en 2015 las
poblaciones ‘AN18’ (
Finalmente, 61% (15/26) de las poblaciones registró un IQP≥ 0.8 (Figura 6). De acuerdo a estas tres variables sobresalieron las poblaciones; ‘Pep5’, ‘Pep20’, ‘EO22’ y ‘ANxEO4’todos de color azul (Cuadro 4).
Cuadro 4 Calidad nutricional y características fisicoquímicas de poblaciones sobresalientes de maíces nativos pigmentados del oriente de Morelos.
| Población | Índice de flotaciónΩ | Peso de 100 granos | Aceite£ | Proteína£ | Triptófano£, ¥ | Índice de calidad de proteínaπ | |
| (g) | (%) | ||||||
| ANxEO4 | 91 MS | 52.6 | 4.94 | 8.52 | 0.078 | 0.95 | |
| EO22 | 87 MS | 48 | 4.78 | 8.90 | 0.082 | 0.93 | |
| Pep5 | 93 MS | 42.7 | 4.71 | 8.54 | 0.078 | 0.97 | |
| Pep20 | 89 MS | 44.8 | 4.78 | 8.31 | 0.079 | 0.96 | |
ΩNMX-032 (2002); MS= muy suave; £= valores informados a base seca; ¥= en muestra de grano entero; π= IQP= [(triptófano%/proteína %)100].
Se caracterizaron por tener granos de endospermo muy suave, de gran tamaño, con
mayor contenido de aceite y triptófano y menos proteína (Cuadro 4) que el de un maíz dentado comercial (
Así los maíces con mejor calidad de proteína no fueron los de mayor proteína, tampoco los de más triptófano, sino los que equilibran los valores de estas tres variables (Cuadro 4). Los MNP pueden ser aprovechados para mejorar las condiciones nutricionales de las familias rurales en condiciones de desnutrición. La diversidad identificada puede ser explicada por los cambios que las razas locales han experimentado a través del tiempo, derivado del entrecruzamiento con otras razas, como resultado de la selección de los productores, la cual ha estado dirigida principalmente a mantener el color y el sabor especial que presentan este tipo de maíces con respecto a las variedades mejoradas e híbridos comerciales. Los MNP del oriente del estado de Morelos, son una buena opción para producirlos bajo condiciones variables del clima y para elaborar alimentos con valor agregado y pueden contribuir a enfrentar los problemas de nutrición y salud.
Conclusiones
En los maíces nativos pigmentados de Morelos predominaron las razas puras de color azul: Elotes Occidentales y Pepitilla, combinados entre ellos o con otras razas como: Ancho, Elotes Cónicos, Elotes de Sinaloa, Tabloncillo y dos no identificados. Estas poblaciones fueron de reducida densidad, con endospermo suave o muy suave, grano grande, con alto porcentaje de germen y aceite y bajo pericarpio y proteína. Los MNP azules tuvieron más antocianinas que los rojos, sobresaliendo la población ‘Pep16’ azul por su elevado contenido de este pigmento.
Se identificaron 16 poblaciones con buena calidad de proteína (IQP> 0.8) y elevado contenido de triptófano (> 0.075%), que pueden ser usadas para mejorar la nutrición y salud de los consumidores. El ciclo de cultivo asociado a las variaciones climatológicas, afectaron las características fisicoquímicas y el índice de calidad de los maíces nativos pigmentados. En el año 2015, la sequía extrema y el incrementó de la temperatura, aumentaron la suavidad del grano y la proporción del germen, pero redujeron el tamaño del grano, el contenido de triptófano y el índice de la calidad de la proteína.
Lo que evidenció que, ante un posible escenario de aumento de temperatura y escasez de lluvia por el cambio climático, estos maíces nativos pigmentados pueden prosperar.










texto en 


