Servicios Personalizados
Revista
Articulo
Indicadores
-
Citado por SciELO -
Accesos
Links relacionados
-
Similares en
SciELO
Compartir
Agricultura, sociedad y desarrollo
versión impresa ISSN 1870-5472
agric. soc. desarro vol.15 no.1 Texcoco ene./mar. 2018
Articles
Goat production for meat in the mountain of Guerrero, México
1Colegio de Postgraduados-Campus Puebla. Boulevard Forjadores de Puebla No. 205. Santiago Momoxpan, Municipio de San Pedro Cholula. 2760 Puebla, México.
2Colegio de Postgraduados-Campus Montecillo. Km. 36.5 Carretera Federal México-Texcoco. Montecillo, Estado de México. 56230. Texcoco, Estado de México, México.
Goat production for meat is part of the lifestyle of the families in the Mountain of Guerrero since Colonial times. With the objective of analyzing the ways of producing, managing and commercializing goats among producers, a direct survey was applied to 112 goat owners. The following variables about the family were recorded: use of land, management practices, and access to the market. Three typologies of goat producers were identified: a) goat-targeted (9.8 %); b) agricultural and livestock (25.9 %); and c) subsistence (64.3 %). The producers aimed at goats had the most experience in goats (31.8 years), labor (2 workdays), size of the flock (90 goats), and total earnings ($19 645.5); they use small-scale lands that they own and rent, shrub vegetation (40 %), goats crossbred with improved varieties, and flock health is the main problem. The agricultural and livestock producers have more land (4.1 ha) and handling pens (230.9 m2). They select goats because of their height and adaptation to the environment, and they sell goats at the level of corral and in school festivities. Subsistence producers are users of ejido and communal lands, use forest zones (83.3 %), and select goats for their production. The goat meat producers in the Mountain of Guerrero have broad knowledge of the management of Creole goats and of the plants that fatten them and give the goat meat flavor, which can be the basis for the development of local producers with quality of origin.
Key words: goat breeding; earnings; management practices; typology of producers
La producción de cabras para carne es parte del modo de vida de las familias en la Montaña de Guerrero desde la época colonial. Con el objetivo de analizar las formas de producir, manejar y comercializar las cabras entre productores se aplicó una encuesta directa a 112 propietarios de caprinos. Se registraron variables de la familia, uso de la tierra, prácticas de manejo y acceso al mercado. Se identificaron tres tipologías de productores de cabras: a) orientados a caprinos (9.8 %); b) agropecuarios (25.9 %); y c) subsistencia (64.3 %). Los productores orientados a caprinos tuvieron más experiencia en caprinos (31.8 años), mano de obra (2 jornales), tamaño de rebaño (90 caprinos) e ingresos totales ($19 645.5); usan tierras de pequeña propiedad y en renta, vegetación arbustiva (40 %), cabras cruzadas con mejoradas y la sanidad del rebaño es el principal problema. Los productores agropecuarios tienen más tierra (4.1 ha) y corrales de manejo (230.9 m2). Seleccionan cabras por su altura y adaptación al ambiente, y venden caprinos a pie de corral y en festividades escolares. Los productores de subsistencia son usuarios de tierras ejidales y comunales, usan zonas de bosque (83.3 %) y seleccionan cabras por su producción. Los productores de caprinos para carne en la Montaña de Guerrero tienen un amplio conocimiento del manejo de la cabra criolla y de las plantas que engordan y le dan sabor a la carne de cabra, lo cual puede ser la base para el desarrollo de productos locales con calidad de origen.
Palabras clave: cría de cabras; ingresos; prácticas de manejo; tipología de productores
Introduction
Goats are an important element in the economy and culture of different marginal social groups from many semi-arid zones in the world. An example of these is the case of the Mixteca Region in México (Baraza et al., 2010). The Mixteca Region is the principal producer of goats for meat in México, and it covers the states of Puebla, Guerrero and Oaxaca (Jiménez et al., 2013). The goats in this region have a well-developed market and for the producers, goats have a similar value to money in cash (García-Barrio and García-Barrios, 1990). Due to the goat tradition, since Colonial times (Revista Geografía Agrícola, 2009), the Mixteca Region has local goats that were selected because of their adaptation to the environment, as is the case of the Mosaico Mixteco (SAGARPA, 2002), the Pastoreña goat (Sierra et al., 1997), and other genotypes developed from cross-breeding processes with introduced goats (Vargas et al., 2007). Goat production in the Mixteca Region is simple; it uses natural vegetation for grazing (Parkinbine, 1909; Franco-Guerra et al., 2008; Baraza and Estrella-Ruiz, 2008), family labor, medicine, and introduced animals (Vargas et al., 2007).
From the economic, social and cultural point of view, goats contribute to improving the quality of life of producers (De Lucas and Arbiza, 2010; Devendra and Liang, 2012). The age of the producer, type of property, level of education, years of experience, amount of labor, costs of feeding, and type of agricultural system affect economic efficiency (Cruz et al., 2010; Bhatta and Dopler, 2010; Peacock and Sherman, 2010).
Advancements made in the knowledge of goat breeding in the Mixteca Region are summarized by Barraza and Estrella-Ruiz (2008: p. 7) in the following way: “the data obtained until now not only show that extensive grazing for goats is not as damaging to the vegetation as is thought… but rather, that it also contributes initiatives for better livestock management to decrease the harmful effect during time of drought… whose caprine livestock management plans must take into account not only their effect on the vegetation but also their social and economic importance”.
In the Mountain of Guerrero, as part of the Mixteca Region, goat breeding is a way of life for families. Since Colonial times, indigenous people were given the right to establish small livestock farms in their communal lands (López, 2011). The flying haciendas, which were a form of itinerant free grazing during Colonial times in the region, were made up of large flocks of nomadic caprine livestock, bred by their owners or purchased from the peasants, and they rented grasses or used communal lands seasonally (López, 2011; Dehouve et al., 2004). After México’s Independence, indigenous people suffered dispossession of their lands with the expropriation law and it was not until the Mexican Revolution when land was once again reassigned (Sánchez, 2003).
Presently, with the incorporation of the environmental issue, production based on the territory and the valuation of local resources, a new production scheme is required which takes into account environmental conservation, as well as economic and social objectives (Angeon et al., 2010). This study explores the mode of goat production within the context of the current producer, the use of resources, the perception of conservation of grazing areas, the processes of hybridization of local goat populations, the market and commercialization. The study had the objective of analyzing the modes of producing, managing and marketing goats among producers in the Mountain of Guerrero, in order to establish typologies of producers and identify the knowledge in the management of resources and Creole goats for their later application in the development of caprine activity.
Methodology
Study area
The mountainous zone in the state of Guerrero is one of the poorest in México, part of the depression of the Balsas River and Pacific Ocean (Martínez, 2008). The study was carried out in the dry tropical zone of the Mountain of Guerrero and located between coordinates 17° 20’ 25” and 17° 42’ 29” of latitude north and 98° 26’ 48” and 98° 48’ 37” of longitude west. The vegetation is low deciduous rainforest and pine-live oak forests (Gobierno del estado de Guerrero, 2012).
The municipalities where the study took place were: Alpoyeca, Atlixtac, Cualác, Huamuxtitlán, Tlalixtaquilla, Tlapa and Xochihuehuetlán (Figure 1).
Information registry
Goat production is part of the way of life of families in the region, described as an activity that generates income, savings and is a source of protein (Bustamante et al., 2011). In order to promote the development of goat production, in 2010, the staff at the Regional Mountain Council (Consejo Regional de la Montaña) and Colegio de Postgraduados-Campus Puebla founded the Association of Goat Breeders of the Mountain of Guerrero (Asociación de Criadores de Caprinos de la Montaña de Guerrero). As part of the work plan, it was proposed to register the productive, socioeconomic and access to market information of goat producers to characterize the production system and identify the potential of goat production. The population of study was 112 goat producers from the organization. The technique employed to gather information was the direct survey to the producer with the support of technicians from the region for data registry in a questionnaire.
Variables evaluated
From producers, the following were recorded: experience, age, workdays, schooling, members of the family, land ownership, and type of land (Perevolotsky, 1990). In the productive part, information was obtained about the flock, grazing management, health and reproduction. In the economic part, the costs of food, workforce, medicine, the type of goat sold, and sales price were recorded (Somda et al., 2005; Gaspar et al., 2011). The questionnaire included in addition 48 variables of qualitative type to register the perception of producers about the management of pastureland, genetic improvement, market and commercialization, as indicated by Perevolotsky (1990), Wurzinger et al. (2008) and Budisatria and Udo (2013).
Statistical analysis
The information from the questionnaires was captured in an Excel worksheet. The quantitative variables were analyzed with descriptive statistics with the PROC UNIVARIATE and PROC MEANS procedures from the SAS® statistical package, version 9.4, for Windows. The categorization of the production units was carried out with a multivariate analysis (PROC CLUSTER) and the Ward group method (Ward, 1963), with the statistical package SAS (SAS, 2003), which allowed to form groups of homogeneous production units hierarchically; for these analysis the methodology proposed by Paz et al. (2008) was followed. The characterization of groups with quantitative variables was performed following the methodology by Somda et al. (2005) and the GLM procedure was used, as well as the means comparison with the adjusted Tukey test to determine the characteristics of the groups of producers. The qualitative variables were analyzed with the X2 (square-chi) procedure to build contingency tables with groups of producers, as was done by Gaspar et al. (2011). In addition, an analysis of simple correspondence was carried out with the groups of producers, with the CORRESP procedure (SAS, 2003), for language of the families, type of land property, mode of goat selection, knowledge of pastureland deterioration, and goat production problems.
Results and Discussion
With the classification analysis, three types of goat production units were identified: a) producers aimed at goats (Group 1) correspond to 9.8 % of production units; b) agricultural and livestock producers (Group 2) include 25.9 % of the production units with agricultural activities and goat breeding; and c) subsistence producers have the least amount of resources and goats (Group 3) and group 64.3 % of the flocks. In the analysis of groups, the producers aimed at goats have the greatest distance from the square of the mean root between observations (1.79); meanwhile, conglomerates 2 and 3 are close and have the lowest distance from the square of the mean root between observations (1.129). The typology of producers indicates that in the Mountain of Guerrero goat production is not specialized, but rather they combine the sowing of maize and bean crops, and breeding of pigs, equines, bovines, poultry and sheep, as was mentioned for other regions (Alexandre et al., 2010; Gaspar et al., 2011). In this regard, Dobi et al. (2011) mention that the producers with most diversification of animal species are less specialized, and Perevolotsky (1990) pointed out that when the producers combine the production of basic crops with goat breeding they consider the latter as an additional source of food and income generator.
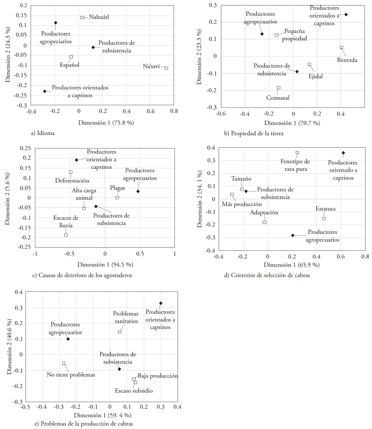
The producers speak mainly Spanish (72.3 %) and local languages such as Náhuatl and Na´savi. The analysis of simple correspondence indicates that the producers aimed at goats (Group 1) are Spanish speakers, while groups 2 and 3 speak Spanish and Náhuatl (Figure 2a).

Figure 2 Relation of the language, land ownership, causes of pastureland deterioration, goat selection criterion, and problematic with groups of producers in the Mountain of Guerrero.
Age, schooling and number of members of the family did not show difference between the groups (Table 1). The average age of the producers was 45.8±14.4 years, mean of 45.5 years and age range of 14 to 84 years, which agrees with other authors in the sense that goat production is in the hands of people of advanced age and the scarce participation of young people is related to generational turnover (Martínez-Partida et al., 2011; Dorantes et al., 2012; Rebollar-Rebollar et al., 2012).
Table 1 Square minimum mean and level of significance (GLM) of quantitative variables per group of goat producers in the Mountain of Guerrero, México.
| Variables | Orientados a caprinos (n=11) (Grupo 1) |
Productores agropecuarios (n=29) (Grupo 2) |
Productores de subsistencia (n=72) (Grupo 3) |
||||
| Media | Mediana | Media | Mediana | Media | Mediana | ||
| Edad (años) | 48.0ns | 48 | 46.7ns | 48 | 45.2ns | 43 | |
| Escolaridad (años) | 3.5ns | 5 | 3.7ns | 6 | 5.1ns | 6 | |
| Integrantes de la familia | 6.5ns | 6 | 6.1ns | 5 | 5.8ns | 6 | |
| Mano de obra familiar (personas) | 2.9a | 2 | 2.1a | 2 | 1.9b | 2 | |
| Experiencia en la cría de cabras (años) | 31.8a | 35 | 29.1a | 34 | 20.9b | 15 | |
| Tierra agrícola (ha) | 3.8a | 3 | 4.1a | 3.5 | 2.5b | 2 | |
| Caprinos totales (número de cabezas) | 90.3a | 86 | 62.2ab | 51 | 35.9b | 24 | |
| Producción de maíz grano (kg/ha) | 3307.3ab | 2400 | 4287.3a | 3800 | 2056.0b | 2400 | |
| Superficie del corral de manejo (m2) | 139.3b | 100 | 230.9a | 150 | 104.8c | 50 | |
| Horas de pastoreo al día | 8.1a | 8 | 8.2a | 8 | 6.7b | 7 | |
| Distancia a las áreas de pastoreo (km) | 2.8ns | 2 | 2.1ns | 2 | 2.4ns | 2 | |
| Ingresos totales ($) | 19 645.5a | 20 000 | 3420.7b | 4000 | 439.4ac | 1300 | |
abcDifferent letters between lines indicate significant difference (p<0.05); nsnon-significant.
The average schooling was 4.5±3.8 years and mean of 4 years; 94.6 % of the producers did not finish primary school and, according to Bhatta and Doppler (2010), this makes the adoption of new technologies difficult. Goat producers have families of 5.9±2.7 members and mean of six members, which is common in other low scale grazing systems (Wurzinger et al., 2008; Dorantes et al., 2012).
The experience and the people who help in goat breeding differ between groups of producers (Table 1). Those aimed at goats have the highest experience and amount of labor (p<0.05), 31.8 years and two people, respectively, which is an indicator of the tradition of goat breeding and, generally, this experience in caprine activity is transmitted from generation to generation in practice and orally, as Bedotti et al. (2005) pointed out for Argentina. The labor is the main resource in the management of goats in other regions (Bhatta and Doppler, 2010; Gaspar et al., 2011; Dorantes et al., 2012) and the relation between the availability of the workforce and the economic efficiency of a production unit (Ruíz et al., 2009) is cited.
The average amount of land is larger in the agricultural and livestock producers (4.1 ha) and is different from Group 1 and 3 (p<0.05). Scarce land surface is something common in the south of México (Gutiérrez and Obregón, 2011), and is related to a high index of land fractioning after the Mexican Revolution (Dorantes et al., 2012). Figure 2 (b) shows that agricultural and livestock producers use small-scale property lands; those aimed at goats have small-scale property and rental lands; and subsistence producers are users of ejido and communal lands. The lands are rainfed (95.5 %), as had been shown for the Mixteca Region in Puebla (Hernández et al., 2011), Estado de México (Cruz et al., 2010) and other regions (Iñiguez, 2004; Bedotti et al., 2005).
Caprine flock
The caprine flock of the region has an average of 46.6±45.3 heads, mean of 36.5 goats, of which 28 are adult goats, 21 growing offspring and two studs. The producers aimed at goats have an average herd of 90 goats and mean of 86 goats (Table 1), the size of the flock is larger compared to Group 2 and 3 (p<0.05). The size of the flock is similar to what was found in other subsistence areas with use of smallholding terrains (Hernández et al., 2011; Dorantes et al., 2012; Atuesta et al., 2012). Chamdi (2004) and Dobi et al. (2011) suggest increasing the size of the flock for a greater welfare of the production unit.
Management of flocks
In the management of the goats, the following are used: pens, grazing, safety, genetic improvement and reproduction. The infrastructure for their handling consists only of pens for nocturnal confinement, with differences between groups of producers (p<0.05). The agricultural and livestock producers have an average pen of 230.9 m2 and mean of 150 m2; in producers aimed at goats and subsistence, the handling pens do not exceed the square meter per animal (Table 1). This is related to breeding goats in freedom in the region, and as established by Castel et al. (2003) and Gaspar et al. (2011), for other regions, the scarce infrastructure is common in traditional systems.
Grazing is the main mode of feeding goats. The producers aimed at goats and the agricultural and livestock graze longer: 8.1 and 8.2 hours, respectively (Table 1). The displacement to grazing areas was not different between groups, with an average of 2.3±1.9 km, mean of 2 km, and is covered in 1.3 hours. As Cortés (2011) pointed out for other regions, the producers in the Mountain of Guerrero practice goat mobility as a way to stock up on fodder. The producers aimed at goats rent grazing lands and pay up to $80.00 per goat per year.
The results from the analysis of grazing management with qualitative variables indicate that the type of shepherd, the care of the pastureland, the use of slash-and-burn, the supplementation, the application of vitamins, and the sources of water are independent from the groups of producers. In the three groups the shepherds are family members (77.7 %) and the rest are the owners and employees, similar to what is mentioned in the studies by de Bhatta and Doppler (2010), Gaspar et al. (2011) and Dorantes et al. (2012). Regarding the use of slash-and-burn, 92.9 % of the producers mention that they do not do it, although 7.1 % does, and this can have a negative effect on the grazing areas. Supplementation (13.4 %) and application of vitamins (51.8 %) did not vary between the groups and are the practices that are still being introduced as part of the updating in the way of producing goats. The most common source of water is the drinking trough (70.5 %) and natural sources of running water.
The knowledge that producers have about pastureland plants used for fattening goats, flavoring meat, and about toxic plants, were independent from the groups of producers. The producers (66.0 %) mentioned that cubat (Acacia cochliacantha) is useful to fatten goats, and 79.4 % mentioned that the plum tree (Spondias sp.) gives good flavor to the meat. Likewise, 80.3 % of the producers point out that the toxic plants are: frijolillo (Sophora secundiflora) and, of less importance, cazahuate (Ipomea pauciflora), capulincillo (Karwinskia humboldtiana), cresta de gallo (Celosia sp.) and soliman (Thevetia sp.). This reaffirms the broad knowledge of native vegetation and the grazing habit of the goats that producers have. For other regions it is mentioned that this knowledge is acquired through cohabitation with the environment (Calvo-Iglesias et al., 2006) and based on traditional practices (Suárez et al., 2006). The knowledge that producers have about native vegetation is an opportunity to name goat products with quality of origin from the Mountain of Guerrero. Also, the native plants used by goats can be reproduced to be used in pastureland reforestation or rehabilitation programs.
The qualitative variables of grazing management associated (p<0.05) to the groups of goat producers were the type of grazing areas, the perception of overgrazing, the damage to the pastureland, the payment over damage to crops, and the effect of rainfall on fodder production (Table 2). The producers aimed at goats use zones of shrub vegetation (40 %) and those of subsistence use the forest zones (83.3 %). A low proportion of producers mentioned understanding what is overgrazing (25 %) and recognize that the goats cause damage to the pastureland (25.9 %). Figure 2c shows that producers aimed at goats perceive deforestation as the main cause for deterioration of pasturelands; the agricultural and livestock ones, the presence of pests; and subsistence ones to pests and the high animal load. However, it is understood that the moderate use of vegetation determines the potential of fodder production, as was indicated for other conditions by Marton et al. (2016). An alternative to counteract the low perception of damage to the pastureland is by providing information for the use of sustainable management practices of vegetation and as Baraza and Estrella-Ruiz (2008) point out, goats have a negative effect on the vegetation when grazing is not regulated or when complementary foods are not used to reduce the pressure from grazing.
Table 2 Frequency (% of production units) and level of significance (square-chi adjustment) of the management practices and commercialization in the groups of goat producers in the Mountain of Guerrero, México.
| Variable | Criterio | Orientados a caprinos (n=11) (Grupo 1) |
Productores agropecuarios (n=29) (Grupo 2) |
Productores de subsistencia (n=72) (Grupo 3) |
Total | Significancia |
| Criterio de selección de áreas de pastoreo |
Vegetación arbustiva | 40 | 0 | 60 | 4.5 | 0.042 |
| Pastos abundantes | 10.1 | 29.2 | 60.7 | 79.5 | ||
| Vegetación arbórea | 0 | 16.7 | 83.3 | 16.1 | ||
| Conoce qué es el sobrepastoreo | Sí | 14.3 | 7.1 | 78.6 | 25 | 0.03 |
| No | 8.3 | 32.1 | 59.5 | 75 | ||
| Las cabras causan daño al agostadero | Sí | 20.7 | 17.2 | 62.1 | 25.9 | 0.05 |
| No | 6 | 28.9 | 65.1 | 74.1 | ||
| Afecta la lluvia la producción de forraje | Sí | 10.5 | 16.4 | 73.1 | 59.8 | 0.019 |
| No | 8.9 | 40 | 51.1 | 40.2 | ||
| Problemas digestivos en caprinos | Sí | 33.3 | 8.3 | 58.3 | 10.7 | 0.0099 |
| No | 7 | 28 | 65 | 89.3 | ||
| Mortalidad en el hato | Sí | 22.2 | 29.6 | 48.2 | 24.1 | 0.027 |
| No | 5.9 | 24.7 | 69.4 | 75.9 | ||
| Criterio de selección de cabras | Producción | 21.1 | 15.8 | 63.2 | 17 | 0.039 |
| Tamaño corporal | 13 | 8.7 | 78.3 | 20.5 | ||
| Ninguna | 5.7 | 34.3 | 60 | 62.5 | ||
| Experiencia con caprinos mejorados | Sí | 25.9 | 25.9 | 48.15 | 24.1 | 0.004 |
| No | 4.7 | 25.9 | 69.4 | 75.9 | ||
| Beneficios de caprinos mejorados | Si | 18.5 | 37 | 44.4 | 24.1 | 0.036 |
| No | 7.1 | 22.4 | 70.6 | 75.9 | ||
| Problemas de mercado | Bajas ventas | 10 | 32.5 | 57.5 | 71.4 | 0.034 |
| Ningún problema | 9.4 | 9.4 | 81.3 | 28.6 |
The payment over damage by goats on crops has been performed by 69.6 % of the interview respondents and the highest frequency was observed in the groups of agricultural and livestock (32.1 %) and subsistence (60.3 %) producers (Table 2), which is due to the cohabitation of goats with agricultural activities.
In the perception of how rainfall affects fodder production, most indicated that there is an effect (59.8 %) and the subsistence producers were the ones that had the highest perception of this effect (73.1 %). In other zones the effect of rainfall on the seasonality of the fodder production has been related to times of excess and scarcity (Lieffering et al., 2016).
The health of goat flocks is the most important problematic for producers aimed at goats and subsistence ones (Figure 2e). The sanitary practices which are independent from groups of producers were the use of deworming agents (68.8 %), use of laboratory tests (2.7 %), presence of abortions in the herd (62.5 %), presence of Oestrus ovis (sheep bot fly, 20.5 %), and respiratory problems (18.8 %). It is an indicator of the high health risks of goats in the region and requires urgent attention plans. In order to control internal parasitism, 80 % of the producers in the study apply antihelminthics, although, as Min and Hart (2003) mention, it can be an error to apply deworming agents because goats have the genetic capacity of tolerating low parasite loads and the consumption of plants with high content of tannins helps to carry out a natural deworming. Also, as Bath and Van Wyk (2009) point out, not all animals require being dewormed and those that do require it need optimal doses, as well as the use of appropriate deworming agents to avoid parasite resistance.
The use of vaccines (17 %), the presence of digestive problems (10.7 %), and the mortality in the herd (24.1 %) were associated with the groups of producers; the production units aimed at goats had the highest incidence of these problems. The high mortality in the herd registered coincides with what was found in other production systems (Martínez-Partida et al., 2011).
In genetic improvement and the use of improved goats, the groups of producers are independent in selection of studs, type of goats they like, and goat milking. Stud selection is the basis for the development of the flock; however, for the producers this aspect is not important and can be related to the taste for goats with improved breed phenotype (68.8 %). In the region, there is not a goat milk consumption culture and only 7.1 % of the producers milk their goats; one of the reasons is the use of milk for the good development of the kids, although goat milking in the study region represents a mode of diversifying the goat products.
Goat selection, experience and benefits with introduced goats are associated to the groups of producers (p<0.05). Figura 2d shows that the producers aimed at goats select their goats because of the phenotype of the improved breed; the agricultural and livestock ones do it by size and adaptation to the region; and the subsistence ones, by body size and a higher production. These two latter groups have experience in the management of Creole goats, which coincides with Gutiérrez and Obregón (2011) for the same study region. In addition, other authors characterize the Creole goats as more resistant to diseases and that they adapt to the scarcity of fodder during the drought (Mignon-Grasteau et al., 2005; Scintu and Piredda, 2007). However, 76.9 % of those interviewed in this study mentioned that that they would like to change their studs and showed willingness to pay $ 2065 per improved stud, which is double the price for a Creole stud in the region; this type of cross-breeding that they plan to carry out will place at risk the extinction of Creole goats.
Goat market and commercialization
Table 1 presents the total earnings for the groups of production units. The producers aimed at goats had an average income of $19 645.5 and median of $20 000.00; they did not consider that low production is a limitation (Figure 2e). With this income, the cost of the annual rural food basket of two family members is covered (CONEVAL, 2016) and, likewise, it covers the salary of a person during 163 days ($120.00 day-1), which is important for the study zone because of the scarcity of sources of employment. In this sense, Ramírez and Foster (2003) indicated for other regions that the la labor used in goat breeding is as competitive as paid work and contributes to the family economy with the input of resources with opportunity costs equal to zero (Rebollar-Rebollar et al., 2012). In other groups of producers, the income is marginal, which can be explained by the reduced size of the flock.
The producers aimed at goat production had total food costs of $3952.8 and different from the other groups (p<0.05), and are higher than the ones found by Cruz et al. (2011) in Venezuela. The analysis of the market and commercialization with qualitative variables is simple (Table 2); only the perception of the market problems is associated to the groups of producers. The subsistence producers do not have goat commercialization problems (81.3 %), in contrast with groups 1 and 2, which perceived low sales as a problem. Meanwhile, the place and the best time of sale are independent from the groups of producers. The highest goat sale is in the same community for the three groups of producers (71.4 %) and at the level of corral, mainly the agricultural and livestock producers sold. Goat sales are for the festivities of school graduation among agricultural and livestock, and subsistence producers: 44.8 % and 47.2 %, respectively. The producers aimed at goats had more sales during the festivities of the towns (45.5 %). Annually, the family consumes one goat of 30.0 kg per year, and there is no consumption of kids, as was mentioned for Estado de México (Dorantes et al., 2012). In Argentina, the scarce consumption of kids is explained because they use grown goats as savings (Bedotti, 2008); however, for the Mountain of Guerrero, kid sales represent an area of opportunity to diversify the caprine activity.
Conclusions
In the Mountain of Guerrero, goat breeding for meat is a traditional activity due to the use of grazing as the main source of food and with minimum use of external inputs for production. Three groups of producers were identified: aimed at goats, agricultural and livestock, and subsistence. The goat production units are not specialized; for those who have flocks of 100 goats, it is their main activity, and for producers with a lower number of goats it is secondary to the agricultural and subsistence activities. The producers are of advanced age, with unfinished primary school studies, and families of six members, without differences between groups. The producers aimed at goats have the largest flock size, earnings, and experience in goat breeding; they use shrub vegetation and crossbreeding with improved goats, and they perceive health problems as the main limitation. The agricultural and livestock producers have more land and handling pens, and they select goats by their height and adaptation to the environment. Subsistence producers use ejido and communal lands, and forest zones for grazing, and they select their goats because of production. In the grazing management, the mobility of goats to grazing areas is the main way to stock up on fodders and there is the perception among producers that pasturelands do not require care for their maintenance. Producers have broad knowledge of the vegetation, so that they identify those plants that fatten livestock, give flavor to the meat, and intoxicate the goats. Health is a risk factor for the caprine flock and to counteract this effect, the capacity of resistance to diseases by Creole goats has not been explored. Goat selection is another practice that differs between producers; the animals with improved breed phenotype are valued by producers aimed at goats, and Creole goats by agricultural and livestock, and subsistence producers. The earnings from goat sales are low and subsistence producers perceive that the level of production of goats is a problem. The typologies of goat producers in the Mountain of Guerrero provided information about differences in the use of resources, the broad knowledge of the vegetation used by goats, and the scarce awareness about conservation of the pasturelands and local goats, as well as the preoccupation that they have over goat diseases and mortality. Future work must explore the options for goat meat, kid and milk production based on the territory, as well as the use of native plants that are preferred by goats when resowing of pasturelands.
Literatura Citada
Alexandre, G., E. González-García, C.H.O. Lallo, E. Ortega-Jiménez, F. Pariacote, H. Archimede, N. Mandonnet, N. Mahieu . 2010. Goat management and systems of production: Global framework and study cases in the Caribbean. Small Ruminant Research. Vol. 89, Núm. 2-3, abril 2010, pp: 193-206. [ Links ]
Angeon, V., J. Sainton, G. Alexandre. 2010. Representations of breeders about local breeds in the livestock farming system of the French West Indies: between rejection and appropriation of Creole goat. Advances in Animal Biosciences, Vol. 1, Núm. 2, noviembre 2010, pp: 489-490. [ Links ]
Atuesta, M.F. Daza, L.M. Del Río, F.A., Garnica, Y.M., Martínez, D.A., Serrano-Novoa, C.A., Vega, J.L., Vargas-Bayona, J. 2012. Caracterización de los sistemas productivos caprinos en el municipio de Villanueva, Santander. Actas Iberoamericanas de Conservación Animal. Vol. 2, pp: 293-296. [ Links ]
Baraza Ruíz, E. y Estrella-Ruiz, J. P. 2008. Manejo sustentable de los recursos naturales guiado por proyectos científicos en la mixteca poblana mexicana. Ecosistemas. Vol. 17, Núm. 2, mayo-agosto, pp: 3-9. [ Links ]
Baraza, Elena, Alfonso Valiente-Banuet, Oscar D. Delgado. 2010. Dietary supplementation in domestic goats may reduce grazing pressure on vegetation in semi-arid thornscrub. Journal of Arid Environments. Vol. 74, Núm. 9, septiembre 2010, pp: 1061-1065. [ Links ]
Bath, G.F. van Wyk, J.A. 2009 .The five point Check© for targeted selective treatment of internal parasites in small ruminants. Small Ruminant Research. Vol. 86, Núm. 1-3, octubre 2009, pp: 6-13. [ Links ]
Bedotti, D., Gómez Castro, A.G. Sánchez Rodríguez, M. García Martínez A., Martos Peinada, J. 2005. Aspectos sociológicos de los sistemas de producción caprina en el oeste pampeano (Argentina). Archivos de Zootecnia. Vol. 54, Núm. 208, pp: 599-608. [ Links ]
Bedotti, F. 2008. El rol social del ganado caprino. Conferencia 31ª Congreso Argentino de Producción Animal. Potrero de los Funes, San Luís, 15-17 de octubre de 2008. [ Links ]
Bhatta, Gopal Datt y Werner Doppler. 2010. Socio-economic and environmental aspects of farming practices in the Peri-Urban hinterlands of Nepal. The Journal of Agriculture and Environment. Vol. 11, pp: 26-39. [ Links ]
Budisatria, I.G.S. y Udo H.M.J. 2013. Goat-based aid programme in Central Java: An effective intervention for the poor and vulnerable? Small Ruminant Research. Vol. 109, Núm. 2-3, enero 2013, pp: 76-83. [ Links ]
Bustamante González, Ángel, Vargas López, Samuel, Guerrero Rodríguez, Juan de Dios, Pérez Ramírez, Nicolás, Calderón Sánchez, Francisco, Olvera Hernández, José Isabel, Pérez Ramírez, Efraín. 2011. Caprinocultura, recursos naturales y sociedad en la Montaña de Guerrero. In: Roberto Cabrera Solís, Samuel Vargas López, Ángel Bustamante González, José Isabel Olvera Hernández (coord). Experiencias en la producción de ganado caprino en el estado de Guerrero. México. Altres Costa-Amic Editores, S.A. de C.V. pp: 48-58. [ Links ]
Calvo-Iglesias, Silvia M., Rafael Crecente-Maseda, Urbano Fra-Paleo. 2006. Exploring farmer’s knowledge as a source of information on past and present cultural landscapes. A case study from NW Spain. Landscape and Urban Planning. Vol. 78, Núm. 4, noviembre 2006, pp: 334-343. [ Links ]
Castel, J.M., Y. Mena, M. Delgado-Pertiñez, J. Camúñez, J. Basulto, F. Caravaca, J. Guzmán, M.J. Alcalde. 2003. Characterization of semi-extensive goat production system in southern Spain. Small Ruminant Research. Vol. 47, Núm. 2, febrero 2003, pp: 133-143. [ Links ]
Chamdi Achmad Nur. 2004. Study of socio-economic profile of small holder goat farming in Gumelar Sub-District Banyumas Regency. Animal Production. Vol. 6, Núm. 2, pp: 61-67. [ Links ]
CONEVAL (Consejo Nacional de Evaluación de la Política de Desarrollo Social). 2016. Evolución de las líneas de bienestar y de la canasta alimentaria: líneas de ingreso. (Consultado: diciembre 2016): (Consultado: diciembre 2016): http://www.coneval.org.mx/Medicion/MP/Paginas/Lineas-de-bienestar-y-canasta-basica.aspx . [ Links ]
Cortés, Odín. 2011. Introducción a la perspectiva antropológica del pastoreo. In: En: Roberto Cabrera Solís, Samuel Vargas López , Ángel Bustamante González, José Isabel Olvera Hernández (coord). Experiencias en la producción de ganado caprino en el estado de Guerrero. México. Altres Costa-Amic Editores, S.A. de C.V., pp: 73-83. [ Links ]
Cruz Torres, Jorge Alberto, García Hernández, Luis Arturo, Espinoza Ortiz, Valentín Efrén, Araque Herrera, César Augusto. 2011. Análisis económico del sistema de producción caprino en la parroquia Montes de Oca, estado Lara, Venezuela. Revista Científica. Vol. 21, Núm. 3, mayo-junio 2011, pp: 239-245. [ Links ]
Cruz, T., Pérez, A., Salvador, O., Lucas, J. 2010. Caracterización de sistemas de producción caprina en municipios del centro de México. I. Aspectos generales y sociales. XXXV Congreso de la Sociedad Española de Ovinotecnia y Caprinotecnia. Vol. 11, Núm. 2, septiembre 2010. [ Links ]
De Lucas J. y Arbiza S. 2010. Contribución de los ovinos y los caprinos a la ganadería mexicana y sus perspectivas. In: Memorias del Simposio La contribución de los ovinos y caprinos en la producción de los alimentos. Colegio de Postgraduados en Ciencias Agrícolas. XXXI Aniversario Ganadería Montecillo, Texcoco, Estado de México. 43 p. [ Links ]
Dehouve, Daniele, Cervantes Delgado, Roberto, Ulrik, Hvilshøj. 2004. La vida volante: pastoreo trashumante en la Sierra Madre del Sur, ayer y hoy. Jorale Editores SA de C.V. 135 p. [ Links ]
Devendra, C. y J.B. Liang. 2012. Conference summary of dairy goats in Asia: Current status, multifunctional contribution to food security and potential improvements. Small Ruminant Research. Vol. 108, Núm. 1-3, noviembre 2012, pp: 1-11. [ Links ]
Dobi, P., Hoda, A., Labinoti, S. 2011. Techno-economic aspects of development for local goat breed farms. Macedonian Journal of Animal Science. Vol. 1, Núm. 1. pp: 255-260. [ Links ]
Dorantes, C.E.J., Torres, H.G., Castañeda, B.V.J., Hernández, M.O., Gallegos, S.J., Becerril, P.C.M., Rojo, R.R. 2012. Limitantes socioeconómicas de los sistemas de producción caprina en el sur del Estado de México. Actas Iberoamericanas de Conservación Animal. Vol. 2, pp: 333-336. [ Links ]
Franco-Guerra, Francisco J., Manuel Sánchez-Rodríguez, Jorge E. Hernández-Hernández, Oscar A. Villareal Espino-Barros, Julio C. Camacho Ronquillo, María A. Hernández Ríos. 2008. Evolución del comportamiento alimentario de cabras criollas en especies arbóreas y arbustivas durante el pastoreo trashumante, México. Zootecnia Tropical. Vol. 26, Núm. 3, septiembre 2008. pp: 383-386. [ Links ]
García-Barrio, Raúl y Luis García-Barrios. 1990. Environmental and technological degradation in peasant agriculture: A consequence of development in Mexico. World Development. Vol. 18, Núm. 11, noviembre 1990, pp: 1569-1585. [ Links ]
Gaspar, P., A.J. Escribano, F.J. Mesías, M. Escribano, A.F. Pulido. 2011. Goat systems of Villuercas-Ibores area in SW Spain: Problems and perspectives of traditional farming systems. Small Ruminant Research. Vol. 97, Núm. 1-3, mayo 2011, pp: 1-11. [ Links ]
Gobierno del Estado de Guerrero. Tlapa de Comonfort. 2012. Documento en línea en: http://guerrero.gob.mx/municipios/montana/tlapa-de-comonfort/. [ Links ]
Gutiérrez, Donaciano y Obregón, Jorge Raúl. 2011. Economía, sociedad y cultura del pastoreo en la Montaña de Guerrero. In: Roberto Cabrera Solís, Samuel Vargas López , Ángel Bustamante González, José Isabel Olvera Hernández (coord). Experiencias en la producción de ganado caprino en el estado de Guerrero. México. Altres Costa-Amic Editores, S.A. de C.V., pp: 15-24. [ Links ]
Hernández, J.E., Franco, F.J., Villareal, O.A., Camacho, J.C., Pedraza, R.M. 2011. Caracterización socioeconómica y productiva de unidades caprinas familiares en la mixteca poblana. Archivos de zootecnia. Vol. 60, Núm. 230, junio 2011, pp: 175-182. [ Links ]
Íñiguez, L. 2004. Goats in resource-poor systems in the dry environments of West Asia, Central Asia and the Inter-Andean valleys. Small Ruminant Research. Vol. 51. Núm. 2, febrero 2004, pp: 137-144. [ Links ]
Jiménez Badillo, María del Rosario, Diego Braña Varela, José Armando Partida de la Peña, Rosa Aidé Alfaro Rodríguez, Sergio Soto Simental, María Guadalupe Torres Cardona. 2013. Evaluación de la calidad en la canal caprina, México. Libro No. 4. INIFAP, Mayo 2013. Ajuchitlán, Colón. Querétaro, México. 110 p. [ Links ]
Lieffering, Mark, Paul C.D. Newton, Ronaldo Vibart, Frank Y. Li. 2016. Exploring climate change impacts and adaptations of extensive pastoral agriculture systems by combining biophysical simulation and farm. Agricultural Systems. Vol. 144, mayo 2016, pp: 77-86. [ Links ]
López Bárcenas, Francisco. 2011. El fuego y las cenizas: los pueblos mixtecos en la guerra de Independencia. Instituto Nacional de Lenguas Indígenas, 2011, Tlaxiaco, Oaxaca. 394 p. [ Links ]
Martínez, Mario. 2008. La montaña de Guerrero, una redefinición. In: Arroyo, Ramiro. Oxtotitlán, Itinerancias de la antropología. Universidad Autónoma de Guerrero, Núm. 2, febrero 2008. pp: 72-79. [ Links ]
Martínez-Partida, J.A., L. Jiménez-Sánchez, J.G. Herrera-Haro, E. Valtierra-Pacheco, E. Sánchez-López, M.C. López-Reyna. 2011. Ganadería ovino-caprino en el marco del programa de desarrollo rural en Baja California. Universidad y Ciencia. Vol. 27, Núm. 3, diciembre 2011, pp: 331-344. [ Links ]
Marton, M.R.R.S., Albert Zimmermann, Michael Kreuzer, Gérard Gaillard. 2016. Comparing the environmental performance of mixed and specialized dairy farms: the role of the system level analyzed. Journal of Cleaner Production. Vol. 124, junio 2016, pp: 73-83. [ Links ]
Mignon-Grasteau, Sandrine, Alain Boissy, Jacques Bouix, Jean-Michel Faure, Andrew D. Fisher, Geoffrey N. Hinch, Per Jensen, Pierre Le Neindre, Pierre Mormede, Patrick Prunet, Marc Vandeputte, Catherine Beaumont. 2005. Genetics of adaptation and domestication in livestock. Livestock Production Science. Vol. 93, Núm. 1, abril 2005, pp: 3-14. [ Links ]
Min, R., Hart, S. 2003. Tannins for suppression in internal parasites. Journal of Animal Science. Vol. 81, Núm. 14, junio 2003, pp: 102-109. [ Links ]
Parkinbine, John. 1909. The mixteca country in the state of Oaxaca, Mexico. Journal of the Franklin Institute. Vol. 168, Núm. 3, 1909, pp: 200-215. [ Links ]
Paz, R. L. Castaño, R. Álvarez. 2008. Diversidad en los sistemas cabriteros tradicionales y estrategias tecnológico-productivas. Archivos de Zootecnia. Vol. 57, Núm. 218, junio 2008, pp: 207-218. [ Links ]
Peacock, C. y Sherman, M. 2010. Sustainable goat production-some global perspectives. Small Ruminant Research. Vol. 89, Núm. 2-3, abril 2010, pp: 70-80. [ Links ]
Perevolotsky, Avi. 1990. Goat production systems in Piura, Perú: A multidisciplinary analysis. Agricultural Systems. Vol. 32, Núm. 1, febrero 1990, pp: 55-81. [ Links ]
Ramírez, Eduardo, William Foster . 2003. Análisis de la oferta de mano de obra familiar en la agricultura campesina de chile. Cuadernos de Economía. Vol. 40, Núm. 119, abril 2003, pp: 89-110. [ Links ]
Rebollar-Rebollar, Samuel, Hernández-Martínez, Juvencio, Rojo-Rubio, Rolando, Guzmán-Soria, Eugenio. 2012. Gastos e ingresos en la actividad caprina extensiva en México. Agronomía Mesoamericana. Vol. 23, Núm. 1, enero-junio 2012, pp: 159-165. [ Links ]
Revista Geografía Agrícola. 2009. Curato de Santiago Apoala de la Jurisdicción de Theposcolula en la Mixteca. Compendio de la geografía física y antigüedades de este curato de señor Santiago de Apoala. Revista de Geografía Agrícola. Núm. 42, enero-junio 2009, pp: 117-129. [ Links ]
Ruíz, F.A., Y. Mena , J.M. Castel, C. Guinamard, N. Bossis, E. Caramelle-Holtz, M. Contu, M. Sitzia, N. Fois. 2009. Dairy goat grazing systems in Mediterranean regions: A comparative analysis in Spain, France and Italy. Small Ruminant Research. Vol. 85, Núm. 1 julio 2009, pp: 42-49. [ Links ]
SAGARPA. Situación de los recursos genéticos pecuarios de México. Informe sobre la situación de los recursos genéticos pecuarios de México. 2002. Documento en línea en: http://www.infoaserca.gob.mx/claridades/revistas/111/ca111.pdf. [ Links ]
Sánchez Serrano, Evangelina. 2003. La certificación agraria en la Montaña de Guerrero y las comunidades indias: problemas y perspectivas. Revista Mexicana de Ciencias Políticas y Sociales. Vol. 46, Núm. 188-9. p: 291-309. [ Links ]
SAS (Statistical Analysis System). 2003. User’s Guide: Statistics, Version 9.0. SAS Institute, North Carolina, USA. [ Links ]
Scintu, M.F., G. Piredda. 2007. Typicity and biodiversity of goat and sheep milk products. Small Ruminant Research. Vol. 68, No. 1-2, marzo 2007. pp: 221-231. [ Links ]
Sierra, A., A. Molina, J. Delgado, J. Hernández. 1997. Zootechnical description of the creole goat of the Oaxaca region (México). Animal Genetic Resources Information. Vol. 21, abril 1997, pp: 61-70. [ Links ]
Somda, Jacques. Mulumba Kamuanga, Tollens Eric. 2005. Characteristics and economic viability of milk production in the smallholder farming systems in The Gambia. Agricultural Systems. Vol. 85, Núm. 1, julio 2005. pp: 42-58. [ Links ]
Suárez, Nelly del Carmen, Patiño, Julián David, Baena, Luisa Fernanda. 2006. La pequeña producción pecuaria como medio de vida para familias campesinas pobres. Caso del corregimiento Samaria (Filadelfia, Caldas). Agronomía (Manizales). Vol. 14, Núm. 2, julio-diciembre 2006, pp: 105-116. [ Links ]
Vargas, S., Larbi, A., Sánchez, M. 2007. Analysis of size and conformation of native Creole goat breeds and crossbreds used in smallholder agrosilvopastoral systems in Puebla, Mexico. Tropical Animal Health and Production. Vol. 39, Núm. 4, mayo 2007, pp: 279-286. [ Links ]
Ward, Joe. 1963. Hierarchical grouping to optimize an objective function. Journal of the American Statistical Association. Vol. 58, Núm. 301, marzo 1963, pp: 236-244. [ Links ]
Wurzinger, M., L. Iñiguez, M. Zaklouta, M. Hilali, J. Sölkner. 2008. The Syrian jabali goat and its production system. Journal of Arid Environments. Vol. 72, pp: 384-391. [ Links ]
Received: May 01, 2015; Accepted: November 01, 2016










texto en 



