Servicios Personalizados
Revista
Articulo
Indicadores
-
Citado por SciELO -
Accesos
Links relacionados
-
Similares en
SciELO
Compartir
Región y sociedad
versión On-line ISSN 2448-4849versión impresa ISSN 1870-3925
Región y sociedad vol.18 no.36 Hermosillo may./ago. 2006
Artículos
Impactos de cambios exógenos de precios del sector energético en Nuevo León. Un análisis de insumo-producto
Noé Arón Fuentes*
* Profesor-investigador del Departamento de Estudios Económicos de El Colegio de la Frontera Norte. Miembro del Sistema Nacional de Investigadores, nivel II. Correo electrónico: afuentes@colef.mx.
Recibido en septiembre de 2005
Revisado en enero de 2006
Resumen
Este trabajo presenta un modelo de insumo-producto, que intenta analizar el papel del sector energético en la economía del estado de Nuevo León. El objetivo es cuantificar el efecto derrame causado en la entidad por el impacto negativo que puede provocar la elevación de precios de los derivados petrolíferos, gas natural y electricidad en ciertos sectores productivos. El aumento exógeno en los precios de los productos energéticos atenta contra la continuidad del proceso de crecimiento económico de Nuevo León, puesto que el estado tiene un perfil energético cuya tasa de consumo es superior al promedio nacional, y el desarrollo económico e industrial se ha traducido inevitablemente en un aumento del consumo de ellos.
Palabras clave: insumo-producto, precios de energía, Nuevo León.
Abstract
This work shows an input-output model that tries to analyze the roll of the energy sector in the state of Nuevo Leon economy. The objective is quantifying the overflow effect in the state economy, caused by the negative impact that the rise of prices of energy products, natural gas, and electricity can produce over some productive sectors. an exogenous increment of prices of energy products attempts against the continuity process of economic growth in Nuevo Leon, since the state has an energy profile which consumption rate is bigger that the national average, and the economic and industrial growth have been unavoidable translated into an increment in the consumption of such energy products.
Key words: input-output, energy prices, Nuevo Leon.
Introducción
La popularidad reciente del análisis regional mediante modelos de insumo-producto está bien fundamentada, pues México enfrenta dificultades serias para organizar y mantener los sistemas de cuentas regionales.1 Sin embargo, aunque el modelo de insumo-producto es un instrumento poderoso que permite al analista considerar explícitamente las transacciones de bienes y servicios realizadas entre los diferentes agentes integrantes del sistema económico regional, también tiene varias limitaciones, aceptadas a cambio del poder y conveniencia de los modelos; quizá la principal sea que, en la lógica de éstos, los ajustes de los mercados se realizan a través de variaciones en los volúmenes de producción y no de cambios en los precios.
aunque es posible especificar modelos regionales de insumo-producto para evaluar el cambio exógeno de precios, su modificación puede tener repercusiones considerables. Esto debido a la existencia de bienes cuyos valores se determinan a escala nacional e internacional, y para los cuales el modelo regional solamente constituye una pauta para fijarlos.
En este trabajo se presenta un modelo de insumo-producto, para analizar al efecto de los cambios exógenos de precios del sector energético, determinados por el gobierno federal, en la economía del estado de Nuevo León.2 Por una parte, la industria de los energéticos es propiedad del gobierno mexicano. Este sector tiene dos compañías principales: Petróleos Mexicanos (PEMEX), con mucho la empresa pública más importante, que integra todas las actividades relacionadas con hidrocarburos: exploración, perforación y extracción, refinación e industria petroquímica básica y la Comisión Federal de Electricidad (CFE), que controla el abastecimiento de electricidad.3 Por otra parte, la tasa de consumo de energía de Nuevo León es superior al promedio nacional, y su crecimiento industrial se ha traducido inevitablemente en un aumento del consumo energético. El incremento de la producción industrial es el motor que reactiva la economía estatal, por tanto, cambios exógenos en precios del sector energético pueden limitar la continuidad de este proceso de crecimiento y el bienestar social de los trabajadores.4
El modelo se centra en la cuantificación del efecto derrame producido en la economía estatal por el impacto negativo que puede provocar la elevación de precios de los derivados petrolíferos, gas natural y electricidad en ciertos sectores productivos. En el modelo, la especificación del bloque energético incluye al sector 6 extracción de petróleo y gas, al 33 refinación de productos derivados del petróleo y al 34 fabricación de productos petroquímicos básicos, así como al 61 electricidad, gas y agua. La especificación del sector 33 atiende a productos como (gasolina, diesel, combustóleo y otros), utilizados por PEMEX para fijar sus tarifas. De esta manera es posible evaluar las políticas de precios de los energéticos sobre los niveles de actividad sectorial, y la remuneración de insumos factoriales primarios, por ejemplo el trabajo.
Puesto que los productos refinados del petróleo y el gas natural son insumos clave en el proceso productivo de los sectores agrícola e industrial, los resultados muestran que el aumento de sus precios impacta significativamente la actividad sectorial. En particular, las alzas del gas natural, combustóleo y diesel afectan a los sectores metálicos básicos, vidrio y sus productos y cemento. En tanto, los más sensibles a variaciones en las tarifas de la electricidad son: comercio, hoteles, restaurantes, textil, prendas de vestir e industrias de la madera. El costo del diesel y gasolina afecta de manera directa a los sectores agrícola, productos de madera, metálicos básicos y metálicos estructurales y sobre todo al transporte.
Los precios de los factores también cambian. La remuneración del trabajo disminuye como resultado de la caída de actividad de los sectores que emplean mucha mano de obra, en particular la agricultura, industrias metálicas básicas, productos minerales no metálicos y el ramo textil. De esta manera se deteriora la distribución de ingresos en los sectores que requieren mucha fuerza de trabajo, a consecuencia del cambio de política de precios de los energéticos.
De las estimaciones se desprenden algunas consideraciones importantes. Primera, en la actualidad los precios de los energéticos son los instrumentos preferidos para aumentar los ingresos del erario, entonces la elección composición y valores es crucial para alcanzar esta meta. segunda, se podría considerar el pago de las tarifas internacionales de los energéticos como el límite superior, al hacer esto se estaría suponiendo que PEMEX o CFE llegaron a una propuesta de tarifas hasta donde es permisible financieramente, sin embargo, ambas empresas públicas están instrumentando un paquete de precios altos de los energéticos. Tercera, un país con este tipo de recursos no necesariamente debe mantener precios internos equiparables a los prevalecientes en el exterior, sino que puede aprovecharse esta ventaja comparativa con fines de promoción de ciertas actividades, y aunque no es conveniente una política de precios bajos generalizados sí lo es un subsidio directo sobre el uso de ciertos productos energéticos. Un subsidio selectivo es una herramienta de política fiscal más eficiente y transparente. Cuarta, es importante que los legisladores estén conscientes de los diferentes mecanismos a través de los cuales un paquete de políticas destinadas a aumentar los ingresos fiscales para alcanzar la meta nacional, como la combinación de aumento del costo de los energéticos y en la tasa del impuesto al valor agregado (IVA), afecta de manera diferente a las diversas regiones.
Etapas en la administración de precios de los energéticos en México
El Estado se ha encargado exclusivamente de la generación de electricidad y producción de hidrocarburos y sus derivados, lo cual ha convertido al sector energético en un instrumento clave de fomento a la economía en general y a la industria en particular.5
Por este motivo, desde sus inicios, los objetivos de PEMEX y CFE se han dirigido a la satisfacción prioritaria de la demanda interna, y en una primera etapa se puso en práctica una política de precios bajos generalizados a los productos derivados del petróleo y electricidad. Por esto último, dichas empresas estatales aparte de propiciar mayor instalación de industrias nuevas y una ampliación sustancial del sistema de transporte, lo cual sentó las bases para el desarrollo económico posterior del país, crearon además un mercado interno importante que garantizó la expansión de ellas y por ende su existencia, y aseguró así el crecimiento del sector energético.
A partir de 1982, después de que el país afrontó una de las mayores crisis económicas, se generó un cambio en la política de precios de los energéticos. Ésta se orientó, junto con una reforma fiscal, a reforzar las finanzas públicas del gobierno federal. Tanto PEMEX como CFE presentaron programas de comercialización que requerían ajustes (aumentos) continuos en las tarifas internas de los energéticos que en ese momento eran bajas, hasta alcanzar a las internacionales. De esta manera, el gobierno federal creó dos fuentes principales de ingresos fiscales: el IVA y las tarifas de los energéticos.6
Posteriormente, en 1991, cuando PEMEX era el mayor órgano recaudatorio del gobierno federal, se decidió hacer un cambio al sistema de precios y tarifas de los energéticos; ahora se basarían en los de costos de oportunidad en los mercados mundiales. La base de este esquema han sido los precios de referencia internacional, ajustados por calidad y logística, más los componentes de comercialización e impuestos. Del mismo modo, desde esta fecha, la CFE estableció un sistema de tarifas eléctricas vinculadas a una fórmula de ajuste automático, por cambios en los costos de combustibles petrolíferos (ajustes variables) y efectos de inflación (ajustes fijos).
En síntesis, conviene señalar que la determinación del costo de los energéticos en cada etapa los fijados por el gobierno federal, los basados tanto en referencias internacionales como en los costos de oportunidad se enmarcaron en contextos determinados: promoción industrial, generación de ingresos fiscales internos, eliminación de subsidios cruzados en algunos productos, congruencia de los esquemas de precios de transferencia, del productor y al público, ampliación de la gama de instrumentos comerciales y diversificación del tipo de transacciones. sin embargo, no se tomaron en cuenta otros aspectos relevantes, como los efectos regionales en los niveles de actividad ni en el rendimiento de los factores primarios.
El modelo de insumo-producto con cambios exógenos de precios
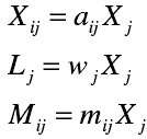
Para investigar los efectos de un cambio exógeno de precios en los niveles de actividad y en el rendimiento de los factores, el modelo formal consta de tres ecuaciones; todas relacionadas con las estructuras estándar del modelo de insumo-producto. En primer lugar, en términos contables, la producción bruta de cada sector (xi) se distribuye para satisfacer, por un lado, la demanda de insumos intermedios de los sectores productivos (Xij) y, por otro, la de los consumidores finales (ci + ii + gi + Ei), si el índice general de precios (Pi),7 es constante. Por consiguiente, puede definirse la identidad siguiente:
PiXij+ Pi (C + I + G+ E)i = PiXi. (1)
Igualmente, pueden determinarse un conjunto de coeficientes técnicos (aij, wj, y mij), a partir de la relación física entre los insumos intermedios (xij) y los no intermedios (por ejemplo Lj), que contribuyen a generar el producto bruto (xi) y las importaciones utilizadas en la producción bruta (Mij).

Por otra parte, asumimos que el consumo de los hogares (Ci) es endógeno, y es función positiva del ingreso (Y), recibido por las familias en la economía estatal y negativa del precio de los bienes demandados (Pi).8
C = cY / pi
La ecuación (1), con variaciones en precios y consumo endógeno, se especifica en forma matricial así:
DpAX + cY + DpT = DpX; ó Dp (I - A)X - cY = DpT (2)
Dp = es una matriz diagonal, con elementos Pi, de orden n x n
A = es la matriz de coeficientes de insumo-producto de orden n x n
x = es un vector columna de producción bruta de orden n x 1
c = es un vector columna de las propensiones marginales al consumo de orden n x 1
T = es un vector columna del resto de la demanda final (ii + gi + Ei) de orden n x 1
En segundo lugar, el ingreso total (Y), recibido por las familias, se integra por la masa salarial
, por un ingreso autónomo (Ya) y por un excedente bruto de operación (Rj).

La ecuación (3) puede transformarse en una forma matricial conveniente de la siguiente manera:

ℓ = es un vector fila de unos de orden 1 x n
W = es un vector fila de tasas salariales de 1 x n
en tercer lugar, el excedente bruto de operación (Rj) de cada sector se calcula residualmente descontando del valor de la producción bruta (PjXj), el de los insumos intermedios consumidos en el proceso productivo (PjaijXj), la masa salarial (PL wjXj) y el valor de las importaciones usadas en la producción (Pmi mijXj). Es importante señalar que los niveles de precios que implican un Rj negativo deberán ser considerados como inconsistentes, cuando estén asociados con valores positivos de producción sectorial.

La ecuación (5) puede definirse en notación matricial de la siguiente forma:

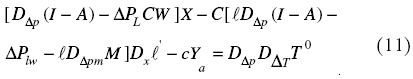
Según los supuestos anteriores, el conjunto de las tres ecuaciones (2), (4) y (6) constituyen el modelo, que muestra cómo son determinadas conjuntamente las variables endógenas X, Y y R en función de las exógenas T,Ya y P. Si se quieren analizar los efectos de modificaciones en precios relativos, la solución se obtiene expresando el cambio actual en ellos respecto al del nivel general de precios promedio durante el mismo periodo, por ejemplo DΔP es una matriz diagonal con elementos diferentes de cero Pi/Poi; Δ PL es PL/P°L;DΔPm es una de importaciones y DΔT es una matriz diagonal con elementos diferentes de cero Ti/Toi. Después de hacer las sustituciones indicadas en las ecuaciones (2), (4) y (6), el modelo completo se expresa como:

La solución del modelo se obtiene eliminando la variable Y, mediante la sustitución de la ecuación (8) en la (7). La ecuación resultante se expresa como:

Luego, la ecuación (9) puede ser usada para eliminar la variable R, sustituyéndola en la ecuación (10), con el resultado siguiente:

Por último, señalamos que DXℓ = X, por tanto, la ecuación (11) se simplifica como:

Al despejar para X, encontramos la ecuación que nos muestra los efectos sobre el nivel de actividad dado un cambio en precio exógeno.

Dado DΔP, DΔT, ΔPL, DΔPm, Y a y To, puede encontrarse la matriz en corchetes del lado derecho de la ecuación (13), que en general será no singular. Este vector contiene la producción bruta de cada uno de los sectores medidos en precios del periodo base, que resultarían de un cambio en los mismos, dado el valor de las variables exógenas. Con la solución de la ecuación (13) pueden resolverse los valores de R, mediante el uso de la ecuación (9). Los valores de la solución de R y X, junto con Ya y ΔPL , son luego sustituidos en la ecuación (8), para obtener los valores de Y.
Debe notarse que la determinación de la distribución del ingreso (R) entre los factores primarios es de una forma diferente, respecto de los modelos ordinarios de insumo-producto. La diferencia esencial entre el comportamiento de las empresas e industrias en el corto y largo plazo se refiere a la existencia de factores fijos y variables a corto plazo; el capital pertenece a los primeros y el trabajo a los segundos. Así, el rendimiento de los factores fijos se representa como el residual, después de pagar todos los variables. En tanto puede ser útil expresar el rendimiento de los factores primarios por unidad de producto para propósitos contables en el corto plazo, tal contabilidad no tiene significado explicativo de la conducta de las empresas a largo plazo.
Fuentes de información
Las principales fuentes de información utilizadas en el modelo fueron las siguientes:
1. Matriz de insumo-producto de Nuevo León: 1998
La matriz de transacciones domésticas de Nuevo León se compone de columnas, donde se representan las compras del sector, y de renglones, correspondientes a las ventas. La matriz original de la economía regia aparece dividida en 72 ramas industriales, aunque para el modelo la economía estatal comprende nueve sectores de producción e igual cantidad de subsectores de manufactura.
Para dar una idea del tipo de agregación usada, el cuadro 1 presenta la correspondencia de los sectores de producción del modelo con los de la matriz de insumo-producto estatal, elaborada originalmente por Soto (1998).9
Ahora, para propósitos de descripción de la matriz de insumo-producto, utilizaremos una agregación a cuatro sectores no relacionados con la energía y tres energéticos específicos, como se muestra en el cuadro 2. El 1 (primario), corresponde a las primeras diez ramas de la matriz original, el 2 (secundario), a las 50 (de la 11 a la 59) y el 3 (comercio) y 4 (servicios) a las restantes 12 (de la 53 a la 63). Se presentan las ramas del bloque energético que incluye a los sectores: 5 productos minerales y carbón, 6 extracción de petróleo crudo y gas natural, 33 refinación de productos del petróleo y gas, 34 fabricación de productos petroquímicos básicos y61 electricidad. Del mismo cuadro podemos distinguir la demanda intermedia (DI), que representa las transacciones intersectoriales de bienes y servicios producidos y consumidos entre los sectores del estado; en segundo, el valor agregado bruto (VAB) dividido en tres: remuneración a asalariados, superávit de explotación e impuestos indirectos-subsidios, también está el total de insumos (TI), que se abastecen dentro de Nuevo León, además de las importaciones regionales e internacionales, que corresponden a la cantidad de insumos provenientes de otros estados y del exterior del país, respectivamente; en tercero, el vector de demanda final (DF), incluye los bienes dirigidos a los consumos privado (CP), de gobierno (CG), formación bruta de capital (FBK), variación de existencias (VE) y exportaciones (E); en cuarto, el valor bruto de producción (VBP) . Por último, las identidades que configuran el sistema contable, y dotan de coherencia a la matriz de transacciones domésticas de Nuevo León son las siguientes:
• Relación de compras-ventas intermedias
• Relación de demanda final-insumos primarios
• Relación demanda intermedia y demanda final-valor bruto de la producción
En el mismo cuadro se resaltan los valores de las identidades que dan coherencia a la matriz de transacciones domésticas de Nuevo León.
2. Propensiones marginales al consumo: 1998
Los datos utilizados para la estimación de la función consumo privado por sectores económicos fueron tomados de la Encuesta Nacional de Ingresos y Gastos de los Hogares (ENIGH), de 1998 (INEGI 1998). Los más de 400 bienes y servicios diferenciados en los códigos de gastos en consumo fueron asignados a cada una de las ramas económicas. No se registraron erogaciones en las que no producen bienes de consumo o servicios. Con la clasificación del Sistema de Cuentas Nacionales, los gastos fueron recabados en diferentes periodos de referencia; primero homogeneizamos el monto del gasto trimestral por cada bien o servicio. La medición del consumo privado incluyó el desembolso en bienes durables, no durables y de servicios. Se excluyeron las transferencias y el consumo no monetario. Ninguno de los gastos de los hogares se clasificó en los sectores 3, 8, 9, y 47.10
Se asumió que el consumo privado en las diferentes ramas era una función lineal del ingreso. De esta manera, la ecuación de comportamiento del consumo exigió la estimación siguiente:
C i= θ + Γ • yi
C i es un vector de consumo privado de las diferentes ramas económicas
θ es un vector que contiene los parámetros de consumo privado autónomo por sectores económicos
Γ es también un vector que contiene en sus celdas las propensiones marginales al consumo sectorial
La anterior ecuación de comportamiento del consumo se estimó para siete vectores de gasto de consumo, uno por cada clase de ingreso, mediante el método de ecuaciones aparentemente no relacionadas (SUR).** Este método, llamado también estimación de Zellner o regresión múltiple, se aplica a sistemas donde cada ecuación tiene una variable endógena en el lado izquierdo y sólo exógenas del derecho, y se asume que los errores no están correlacionados con las variables exógenas. De ser así, el estimador sur es más eficiente, porque toma en cuenta la matriz entera de correlaciones de todas las ecuaciones, y minimiza el determinante de la matriz de covarianzas de los errores (Zellner 1971). Además, se producen estimadores consistentes y asintóticamente eficientes (Johnston y DiNardo 2004).
Los coeficientes estimados y los errores estándar para la matriz se muestran en el cuadro 3. Como puede observarse, al agregar a Γ las nueve categorías todos los estimadores fueron significativamente diferentes de 0 a 5 por ciento, y sólo en matriz desagregada algunos tomaron valores negativos, aunque fueron no significativos.11
3. matriz de Importaciones: 1998
Como base para obtener esta matriz. establecemos el supuesto de que las importaciones de los insumos intermedios por sector de origen Mai son proporcionales a la producción sectorial; tal como lo expresa la ecuación siguiente:
Mai = m ⋅ Dk • xi
Donde m es una matriz de distribución sobre el origen sectorial de las importaciones y DΠ es una diagonal. con los coeficientes de importaciones intermedias por sector de destino.
La estimación de m se realizó a partir de la matriz de importaciones de Nuevo León. Es decir. a partir de ella se normalizó dividiendo cada celda entre el total de la columna respectiva. La resultante es la matriz de distribución de importaciones sectoriales por origen.
La estimación de matriz diagonal de importación de bienes intermedios DΠ se realizó también a partir de la estatal. La columna del total de importaciones de demanda intermedia fue normalizada. se obtuvieron así los coeficientes sectoriales de importación de insumos intermedios por destino. véase el cuadro 4.
4. Precios de los energéticos: 1998
Como establecimos anteriormente. el modelo requiere que los precios de los productos energéticos estén normalizados a la unidad. Es decir. la solución para analizar los efectos de cambios en precios relativos se obtiene expresando el cambio actual de ellos respecto al del nivel general de precios promedio durante el mismo periodo. De esta manera. DΔP es una matriz diagonal con elementos diferentes de cero Pi/Poi; ΔPL es PL/PoL; DΔPm es una matriz de importaciones y DΔ T es una matriz diagonal con elementos diferentes de cero Ti/Toi.12
Resultados
Se supone que el conjunto de datos representa un equilibrio original o referencial para la economía de Nuevo León en 1998; cuya condición sirve para calcular los niveles endógenos de actividad en el modelo según las tarifas de los energéticos. Después, todos los niveles de actividad sectorial se usan para calcular los efectos sobre el rendimiento de los factores primarios y el ingreso. Las condiciones de equilibrio original son DΔp = DΔT = ΔPL = DΔPm = 1 y C = M = 0, que reduce la ecuación (13) a la ecuación básica del modelo de insumo-producto.13
El cuadro 5 contiene los resultados del cálculo del equilibrio original, en el que los niveles de actividad son iguales a los valores reales reportados en las cuentas regionales, y los precios tienen un valor fijo de 1, lo cual demuestra la fiel réplica de la economía de Nuevo León.
con la información referencial a mano, el modelo debe simular los niveles de actividad y rendimiento del trabajo para la economía, según un cambio exógeno de precios.
Sin embargo, antes de realizar esto es importante mencionar que cuando en el modelo se simulan alternativas de cambio en tarifas de los energéticos, las variables endógenas calculadas no deben tomarse como pronósticos, pues el modelo es estático, por tanto la inversión recibe un tratamiento muy sencillo, y se ignoran fenómenos monetarios. Además, se desconocen algunos desequilibrios, particularmente fenómenos de desempleo y de subutilización de la capacidad productiva, que son importantes en los ajustes experimentados por el estado como consecuencia de las crisis económicas.14
El cuadro 6 contiene los resultados del cálculo de las variaciones en los niveles de actividad productiva en el estado, cuando se aplica un aumento de diez por ciento en el precio de los energéticos. Dicho incremento directo en las tarifas de energía en gran parte de los sectores productivos de Nuevo León tiene un efecto importante; ya que en su mayoría los nuevos niveles sectoriales de actividad muestran una caída.
La agricultura y minería resultan muy afectadas por el alza en las tarifas de diesel y electricidad. En el ramo de la manufactura son las subdivisiones I a IX las que más resienten el cambio de precios de los energéticos, destacan la repercusión importante del gas natural y la electricidad. Esto se debe a la estrecha relación que guardan los sectores productivo y energético. El comercio, restaurantes y hoteles son muy sensibles a los aumentos en las tarifas de la electricidad. Los servicios financieros, seguros, esparcimiento y personales son menos susceptibles a los cambios en los precios de los energéticos, pero el sector transporte sí resiente el aumento del diesel y gasolina.
También, cabe destacar que la tendencia alcista de los energéticos se observa con más nitidez en el sector manufacturero, ligado a la producción doméstica, donde la mayoría de las actividades económicas registran caídas importantes. En particular, las industrias de bienes duraderos (metálicas básicas, vidrio y derivados y productos de minerales no metálicos, como el cemento, son las que requieren más electricidad y gas, en cambio las vinculadas a la exportación amparadas en programas de maquila internacional (maquinaria y equipo: aparatos electrodomésticos, maquinaria y equipo electrónico, carrocerías y partes automotrices) gastan menos energía, y emplean más mano de obra, que aparentemente mitiga el efecto de los energéticos. En cuanto al sector comercio, el movimiento disminuyó en mayor proporción que en el de servicios.
La contracción de la actividad económica, provocada por el encarecimiento de los energéticos, no sólo incide negativamente en la capacidad de las empresas para conservar los puestos de trabajo existentes, sino también en el rendimiento de los factores productivos. Este hecho se refleja en una disminución en el rendimiento del trabajo en las actividades productivas, como se muestra en el cuadro 7.
Fue en las industrias metálicas básicas, productos de minerales no metálicos, papel y derivados, cartón, alimentos, bebidas y tabaco en las que más repercutió el rendimiento del factor trabajo. Sin embargo, igualmente resultaron afectados la agricultura, comercio, restaurantes, hoteles y transporte, sectores en los que el trabajo es más intensivo.
Ahora, las estimaciones presentadas nos brindan una oportunidad para analizar tanto los efectos productivos como la distribución de los ingresos regionales del cambio en el sistema de precios y tarifas de los energéticos, para aumentar los ingresos del erario. Debido a la necesidad del gobierno de incrementar considerablemente sus entradas, los principales instrumentos a su disposición son los precios de los bienes siguientes: queroseno y diesel, gas licuado, gasolina, combustóleo, otros productos derivados del petróleo, petroquímicos, electricidad y el factor graduación de las tasas del IVA.
Los primeros siete instrumentos son tarifas de PEMEX y CFE que el gobierno está aumentando, y el octavo es factor multiplicador que gradúa la estructura del IVA, establecido en la reforma fiscal de 1983. Sin embargo, de acuerdo con criterios de bienestar social, un aumento en los precios de los energéticos es preferible a incrementos adicionales en las tasas del IVA, ya que por lo general las tarifas de los energéticos representan los instrumentos considerados más activamente por el gobierno para aumentar los ingresos desde 1991.
En contraste, en los niveles de precios y tarifas de diez por ciento, cambia la estructura del producto interno bruto estatal. Ahora la participación del sector manufacturero en el producto estatal es menor: 26.87 por ciento, en comparación con 28.52. Esta caída se debe a que la industria textil, prendas de vestir y cuero disminuye a 3.7 por ciento en comparación con 5.6; los productos minerales no metálicos cambian de 12.27 a 10.35; industrias metálicas básicas pasan de 8.35 a 5.55; el papel y derivados y cartón disminuyen de 4.63 a 2.87. Sólo los productos metálicos, maquinaria y equipo eléctrico y electrónico aumentan ligeramente, de 3.13 a 3.71 por ciento.
Excepto la agricultura, que cae de 1.5 a 1.2 por ciento, las participaciones de la minería aumentan ligeramente, de 0.4 a 0.5 por ciento; la construcción crece de 3.17a 3.22, el transporte de 12.8 a 12.88; los servicios financieros de 14.69 a 15.93, y el aumento más significativo es en el comercio, de 19.74 a 21.75 por ciento.
Por lo anterior, las estimaciones sugieren que la estrategia actual de precios de los energéticos está provocando grandes repercusiones en la actividad sectorial de Nuevo León, pues en el estado se localiza una porción importante de sectores cuya relación precio-energía es elevada. También, al concentrarse estas ramas en las manufacturas, por lógica se ha tendido a ajustar su producción afectando el motor que promueve el crecimiento económico de la entidad. Además, ello se ha traducido en un crecimiento desequilibrado entre sus componentes. Finalmente, si tenemos en cuenta el perfil energético del sector manufacturero, la espiral alcista de los energéticos está contribuyendo negativamente en la distribución del ingreso entre los factores primarios (trabajo), al menos en el corto plazo.
Conclusiones
En este trabajo presentamos un modelo de insumo-producto, que intenta analizar el papel del sector energético en la economía de Nuevo León. El modelo contempla que el gobierno determine de forma exógena los precios y los niveles de producción nacional de los sectores energéticos. Asimismo, considera mecanismos mediante los cuales los precios alteran la economía regional, lo que permite analizar los efectos sectoriales en la actividad productiva, como en el rendimiento factorial del trabajo de corto plazo.
Las estimaciones señalan el importante efecto derrame producido en la economía de Nuevo León por el impacto negativo que ha causado la elevación de los precios de los energéticos en ciertos sectores productivos. También muestran los efectos negativos provocados en los niveles de actividad económica, en el caso particular de la pérdida de competitividad industrial y del estancamiento del "motor de crecimiento" del estado. Asimismo, el efecto regresivo sobre la distribución del ingreso factorial, resultante de la caída de los niveles de actividad de los sectores que requieren mucha energía.
La conclusión principal del modelo es clara y directa: los problemas derivados de la difícil situación de los energéticos están generando una "crisis" en el sector industrial del estado, que constituye su base económica. Por tanto, a corto plazo, la mejor solución es un subsidio directo sobre los empleos de ciertos productos petrolíferos, refinados derivados del petróleo y de electricidad para los ramos de particular interés en el estado.
Sin embargo, el crecimiento y consolidación del sector energético merece atención especial, y debe ser partícipe de un plan integral a largo plazo, que haga frente a la utilización intensa de los sectores productivos de las diversas regiones y del país. El peligro radica en que el compromiso de transformarlo salvar de la crisis financiera a estas empresas mediante el capital privado o público implique la eliminación de programas establecidos por PEMEX y CFE de diferenciar su estructura de precios y tarifas, para cumplir con las cuestiones sociales, la política de crecimiento industrial y los apoyos a las regiones que así lo requieran.
Bibliografía
Agencia Internacional de Energía y Secretaría de Energía. 2002. Prospectiva de energía en México. París: Organización para la Cooperación y el Desarrollo Económicos, Agencia Internacional de la Energía. [ Links ]
Brugués, Alejandro. 1994. Estimación de una matriz de insumo-producto para Baja California. Tesis de maestría en Economía Aplicada, El Colegio de la Frontera Norte. [ Links ]
Castañón, Alberto. 1998. Instrumentos y derivaciones para el análisis económico de Nuevo León: insumo-producto. Tesis de maestría en Economía Aplicada, El Colegio de la Frontera Norte. [ Links ]
Dávila, Alejandro. 2005. Industrial Sector Clusters in Mexico. En Clusters and Global Value Chains in the North and the Third World, compilado por Elisa Guliani, Pieter Maine y Roberta Rabelotti. Novara: Editorial Ashgate. [ Links ]
Dávila, Alejandro. 2002. Matriz de insumo-producto de la economía de coahuila e identificación de sus flujos intersectoriales más importantes. Economía Mexicana. Nueva Época XI (1): 79-162. [ Links ]
Fuentes, Noé A. 2005. Construcción de una matriz regional de insumo-producto. Problemas del Desarrollo 36 (140): 89-112. [ Links ]
Fuentes, Noé A. y Alejandro Brugués. 2001. Modelos de insumo-producto regionales y procedimientos de regionalización. Comercio Exterior 51 (3): 181-188. [ Links ]
Johnston, Jack y John DiNardo. 1997. Econometric Methods. Nueva York: McGraw-Hill. [ Links ]
Lecuanda, José M. 2000. Modelo dinámico de insumo-producto para evaluar políticas de desarrollo económico en México. Tesis de maestría en Economía Aplicada, El Colegio de la Frontera Norte. [ Links ]
May, Ernesto G. 1985. Diseño de una reforma fiscal óptima: el caso de México. México: El Colegio de México. [ Links ]
Mariña, Abelardo. 1993. Insumo-producto: aplicaciones básicas al análisis económico estructural. México: UAM-Azcapotzalco. [ Links ]
Petróleos Mexicanos. Anuario estadístico. Varios volúmenes. México: PEMEX. [ Links ]
Petróleos Mexicanos. 2003. Memoria de labores, 2000. México: PEMEX. [ Links ]
Programa Sectorial de Energía (2001-2006). México. [ Links ]
Rodríguez, Omar y Eduardo Román. 1995. Construcción de una matriz de contabilidad social (insumo-producto extendida) para Nuevo León, Monterrey. Monterrey: Universidad Autónoma de Nuevo León. [ Links ]
Sáenz, Gonzalo. 2002. Agua y economía:hacia un uso racional de un recurso básico. Madrid: Universidad Autónoma de Madrid. [ Links ]
Sanz, Ricardo y Julio Segura. 1985. Requerimientos energéticos y efectos de alza del precio del petróleo en la economía española. Documento de trabajo 8207. Banco de España. [ Links ]
Sanz, Ricardo. Efectos de variaciones en los precios energéticos sobre los precios sectoriales y de la demanda final de nuestra economía. Documento de trabajo 8605. Banco de España. [ Links ]
Soto, Vicente. 1998. El insumo-producto, diseño y uso en el análisis económico regional: el caso de Nuevo León. Tesis de maestría en Economía Regional, Universidad Autónoma de Coahuila. [ Links ]
Wionczek, Miguel. 1983. Problemas del sector energético en México. México: El Colegio de México. [ Links ]
Zellner, Arnold. 1971. An Introduction to Bayesian Inference in Econometrics. Nueva York: John Wiley & Sons, Inc. [ Links ]
** Seemingly Unrelated Regresion.
1 algunos autores que utilizan matrices estatales de insumo-producto son Brugués (1994), Rodríguez y Román (1995), Castañón (1998), Soto (1998), Dávila (2000, 2005) y Fuentes (2001, 2005).
2 Es importante destacar que la producción de electricidad es endógena, de manera que la oferta es igual a la demanda. Este sector no contempla exportaciones.
3 Hace unos pocos años todavía poseía a Altos Hornos de México (HMSA), que también suministraba la mayor parte del carbón.
4 En Nuevo León, una parte importante de la planta industrial del estado fue diseñada y construida bajo el supuesto de precios bajos y estables del sector energético.
5 La industria petrolera fue nacionalizada en 193 8, mientras que el sector eléctrico en 1962 (Wionczek 1983, 13).
6 En 1983, el congreso de la unión aprobó una reforma fiscal cuyas metas fueron la estabilización y el aumento de ingresos públicos (May 1985, 57-59).
7 El modelo fue concebido originalmente como un sistema de flujos físicos independientes de los precios. El modelo de precios de insumo-producto puede verse, entre otros, en Sanz (1985) y Sáenz (2002).
8 Dos cosas deben considerarse en la función consumo: la elasticidad precio e ingreso son iguales a uno y los efectos secundarios incluidos en las derivadas cruzadas, pese a no existir precios de bienes sustitutos.
9 La matriz de insumo-producto del estado para 1994 se tomó de Soto (1998), y se actualizó a 1998 utilizando el método RAS, aplicado al espacio descrito en Fuentes (2005).
10 Para una descripción de los sectores, véase cuadro 1.
11 Este procedimiento de estimación de las propensiones al consumo fue utilizado por Lecuanda (2000).
12 Es decir. el cálculo de los efectos exógenos de precios supone que inicialmente están en equilibrio referencial. lo que significa que el precio es equivalente a la unidad.
13 En este caso particular, la ecuación (13) se convierte en:
donde la matriz (I-A)-1 representa los requerimientos totales y es comúnmente conocida como inversa de Leontief, que indica la producción de cada uno de los sectores, y es necesaria para satisfacer el incremento en la demanda final (T) de cada uno de ellos (Mariña 1993).
14 Como señala un dictaminador, tampoco considera el traslado del incremento de los precios de sus insumos al producto, que pueden contrarrestar el efecto negativo en los niveles de producción y empleo.


















