Servicios Personalizados
Revista
Articulo
Indicadores
-
Citado por SciELO -
Accesos
Links relacionados
-
Similares en
SciELO
Compartir
Superficies y vacío
versión impresa ISSN 1665-3521
Superf. vacío vol.27 no.2 Ciudad de México jun. 2014
Optimización para la generación de modos de superficie en la configuración de Kretschmann empleando LHM
Pérez Rodríguez J. E.1*, Palomino Ovando M. A.1, Hernández Cocoletzi G.2
1 Benemérita Universidad Autónoma de Puebla. Facultad de Ciencias Físico-Matemáticas, México. * jepr_777@yahoo.com.mx
2 Benemérita Universidad Autónoma de Puebla, Instituto de Física. Apartado Postal J-48, Puebla 72570, México.
Recibido: 13 de noviembre de 2013
Aceptado: 5 de abril de 2014
Resumen
En este trabajo se plantea una metodología para generar las condiciones óptimas para excitar en general los modos de superficie en las polarizaciones P y Sen un sistema vidrio-metamaterial-aire (configuración de Kretschmann). Para ello se calculan las relaciones de dispersión electromagnética que derivan de resolver las ecuaciones de Maxwell para una interfazmetamaterial-aire para ambas polarizaciones, las cuales nos indican las regiones de excitación, en particular de los modos de superficie (Polarización S) y plasmones de superficie (Polarización P). Para este trabajo se presentan espectros de reflexión, la simulación numérica de la técnica de ATR y la variación del campo eléctrico dentro del sistema estudiado.
Palabras clave: Plasmones de superficie e interface; Metamateriales.
Abstract
We describe a methodology to explore optimal conditions to excite surface modes in a glass-metamaterial-vacuum system (Kretschmann configuration) using both P and S polarized light. We calculate the electromagnetic dispersion relation of a metamaterial surface by solving Maxwell equations for both polarizations with appropriate boundary conditions. The dispersion relations define the frequency domain of the surface mode existence for the surface modes (with S polarization) and surface plasmons (with P polarization). In this work we report reflectivity spectra calculations, the numerical simulation of the attenuated total reflectivity technique and the electric field variations within the layer system.
Keywords: Plasmons on surface and interface; Metamaterials.
1. Introducción
El estudio de los materiales y su respuesta ante la incidencia de luz ha revolucionado la tecnología y generado muchos aportes al conocimiento, una de los resultados más relevantes en este proceso fue la predicción hecha por Ritchie[1], sobre la existencia de excitaciones colectivas a las que Stern y Ferrell[2] denominaron plasmones de superficie. Los plasmones de superficie han sido estudiados por sus aplicaciones en sensores moleculares[3]-[8] y tecnologías de resonancia de plasmones de superficie [9]-[15]. El estudio de plasmones de superficie en películas metálicas delgadas se pueden acoplar a la radiación electromagnética en la presencia de rugosidad de la superficie o una rejilla, como sugiere Teng y Stern[16]. Alternativamente, el acoplamiento por medio de un prisma se puede usar para aumentar el impulso de la luz incidente, como es demostrado por Otto [17] y por Kretschmann y Raether[18]. Desde entonces, este método es denominado reflexión total atenuada (ATR) cuyas variaciones sobre este método se han utilizado por muchos investigadores en una gran diversidad de aplicaciones[1 9]-[24]. En la literatura se pueden encontrar trabajos donde se han hecho estudios de plasmones de superficie en películas que involucran metamateriales[25]-[29]. Los metamateriales son estructuras artificiales donde para un cierto rango de frecuencias la permitividad eléctrica y la permeabilidad magnéticas son ambas negativas, estos fueron predichos inicialmente por Veselago [30], pero fue hasta años recientes cuando retomaron una importancia fundamental al ser probadas experimentalmente[31]. En estos materiales y debido a la forma dispersiva de la permeabilidad magnética, además de explorar la existencia de plasmones de superficie(SPP, del inglés Surface Plasmon Polariton) asociados a la polarización transversal magnética (P), han aportado un tema nuevo de estudio debido a la existencia de modos de superficie (SM, del inglés Surface Mode) para la polarización transversal eléctrica (S), estos modos se han discutido en la literatura, y se conoce que son excitados a través de ATR tal como lo reporta Ruppin[25], quien encuentra las relaciones de dispersión para polaritones de superficie en un medio metamaterial semi-infinito pero a diferencia de este trabajo, Ruppin no hace un estudio de mayor profundidad, enfocado en un futuro, a la parte experimental en la excitación de los modos de superficie, por lo que el objetivo de este trabajo es discutir y plantear una metodología sobre las condiciones óptimas para la obtención de estos modos de superficie, y su relación en el espacio de frecuencias con los plasmones de superficie para la polarización transversal magnética en la configuración de Kretschmann.
2. Teoría
En nuestro estudio consideramos la incidencia oblicua a una interfaz metamaterial-aire, al metamaterial (LHM, en inglés) se le considera dispersivo y absorbente y su respuesta se describe a través de constantes efectivas dadas por relaciones tipo Drude[32] de acuerdo a las ecuaciones (1) y (2) que representa la permitividad dieléctrica y permeabilidad magnética del medio izquierdo.

Donde ωpe = ωpm = ωp =10 GHz y γ es el parámetro de la absorción. El dieléctrico considerado en este caso es el aire donde tomamos ε2 = µ2 = 1.
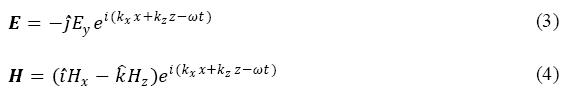
Obtenemos las relaciones de dispersión electromagnéticas (EMDR, del inglés Electromagnetic Dispersion Relation) para ambas polarizaciones. Por lo que para la polarización transversal eléctrica (S) consideramos los siguientes campos.

Donde,

Aplicando condiciones de Maxwell en la frontera entre el medio 1 y 2 de las componentes tangenciales del campo eléctrico y magnético, podemos obtener la relación de dispersión siguiente[33], [34].

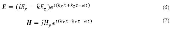
De igual forma para la polarización transversal magnética (P ), tenemos los siguientes campos.

donde,

Aplicando las condiciones de frontera entre el medio 1 y 2 para las componentes tangenciales del campo eléctrico y magnético, podemos obtener la relación de dispersión siguiente[33],[34].

Las ecuaciones(5) y (8) son las EMDRs de los SM y SPP para las polarizaciones S y P, respectivamente. Estas EMDRs nos dan información de la interfaz metamaterial-aire en la dirección x, como se observa en la Figura 1 que muestra la configuración de Kretschmann. Otro aspecto importante es que se necesita acoplar la componente kx que viene del prisma [ec. (9)] con la parte real de la componente kx (S ó P) de las EMDRs [Ecs. (5) y(8)] , por lo que tenemos:


Resolviendo y despejando θ tenemos para ambas polarizaciones:

donde εp = 2.25, que corresponde a la permitividad del vidrio.
De acuerdo a la técnica ATR, la excitación de modos de superficie se da para valores superiores al ángulo crítico, donde este valor queda determinado como:

donde
.
3. Resultados y Discusión
Como primer cálculo se presenta en la gráfica de la Figura 2 la región activa del metamaterial de acuerdo a las ecuaciones (1) y (2) sin absorción γ = 0). En esta Figura se indican las regiones de excitación de los SM y SPP según sea el caso de polarización, donde se aprecian con mayor detalle en el recuadro de dicha figura. Ishimaru et al [27] calcularon efectos de absorción para plasmones de superficie en un sistema ATR y encontraron un incremento del valor mínimo y un ensanchamiento de la curva, en las gráficas de reflectividad en función del ángulo, similares resultados reportan Mogilevtsev et al[35] quienes hacen una discusión sobre los efectos de absorción para valores de γ/ωpe= 0 ; γ/ωpe= 0.1 ; γ/ωpe= 0.01 y γ/ωpe= 0.001. En el caso de realizar el cálculo de la estructura de bandas es necesario considerar γ/ωpe= 0 ya que de lo contrario no sería posible hablar de un gap completo, pero para otros cálculos se hace necesario considerar el cociente γ/ωpe distinto de cero ya que los materiales usados hasta ahora en la construcción de metamateriales son absorbentes, la consecuencia de incrementar la absorción, es que la amplitud de transmisión se reduce, y se ensancha el rango de frecuencias donde ésta es reducida, en este trabajo hemos considerado un valor mínimo, pero diferente de cero para el cociente γ/ωpe con el fin de tener propagación a lo largo de la estructura, esto es, la frecuencia y el ángulo en el que se presentan los modos de superficie no se ve afectado por la absorción sin embargo su existencia dependerá de la absorción en la medida que permita la propagación a lo largo de la estructura.

Para conocer las regiones tanto de los SM y los SPP usamos γ=0 y calculamos las relaciones de dispersión (EMDRs) para las polarizaciones S y P , expresada por la ecuación (11), estos resultados se grafican en la Figura 3 junto con la ecuación (12). En tal figura se ve claramente que no se pueden excitar tanto SM para la Polarización S como SPP para la Polarización P en la misma región de frecuencias. El punto donde se observa que se unen ambas ramas de las EMDRs para los dos tipos de polarización se ve limitado al valor del ángulo crítico. Iniciaremos la discusión con cálculos de SM (Polarización S), y posteriormente se harán cálculos para SPP (Polarización P).

En el caso de la polarización S se toma de su EMDR el valor de (55°, 0.6947) que se muestra en la Figura 3. Con este valor se calcula el espesor óptimo de la película de LHM, tal como se muestra en la Figura 4, donde se grafica la reflectividad en función del espesor de la película de LHM, el espesor óptimo se señala en la misma figura y ocurre en d/λ=0.82. Para conocer el efecto producido por la absorción en la Figura 5 se grafica para dos valores de γ/ωpe el espectro de reflectividad, nótese que tal como ya se ha reportado en la literatura [27]-[33] para valores grandes de absorción el mínimo en la reflectividad es menos profundo y la curva se ensancha. Para los siguientes cálculos elegimos γ=104ωpe y tomamos el espesor óptimo d/λ= 0.82 y en ánimo de comparación un espesor arbitrario d/λ= 0.55.


En la Figura 6 se calcula el ATR para los valores de d/λ= 0.82 y d/λ= 0.55 , además de presentar en los recuadros el comportamiento del campo eléctrico dentro de la configuración de Kretschmann (Vidrio-LHM-aire). Para el caso del ATR se puede observar una mejor definición del mínimo de reflexión para el espesor óptimo d/λ= 0.82 correspondiendo el mínimo a 55°, también se observa una mayor amplitud del campo eléctrico dentro de la película de LHM en la interfaz LHM-aire, en cambio para el espesor de 0.55 en el ATR se observa un mínimo de reflectividad de mayor anchura y de menor definición, así como el mínimo se encuentra a un valor aproximado de 0.75 que comparado con el de espesor óptimo hay una diferencia bastante considerable. Por último para estos espesores se calculan los espectros de reflexión en función ω/ωp tal como se muestran en la Figura 7, en este gráfico se aprecian los valores mínimos para ambos espesores, observándose que el mínimo para el espesor óptimo (d/λ= 0.82) corresponde al valor de la solución de la EMDR para la polarización S vista en la Figura 3, este resultado nos permite obtener los modos de superficie en la configuración de Kretschmann partiendo de la solución de la interfaz metamaterial-aire sin la necesidad de resolver el problema de la película [29], con estos resultados se puede deducir que solo basta tomar los valores de la EMDR y calcular el espectro de reflexión en función del ancho de la película para asegurar la optimización del modo superficial en el caso de la Polarización S.


Para la polarización P se calcula el espectro de reflexión en función del espesor (d/λ) tal como se muestra en la Figura 8 para un valor de θ = 65° y ω/ωp = 0.6812 [esfera azul de la Figura 3] y se toman los espesores de d/λ= 0.72 y d/λ= 1.0 tal como se indican en este gráfico. Para estos espesores se calcula el ATR y el espectro de reflexión en función de ω/ωp como se muestra en la Figura 9 y Figura 10 respectivamente.



En la figura el espesor óptimo d/λ= 0.72 y el espesor d/λ= 1.0 , tiene el mismo valor de ω/ωp = 0.6812 es decir corresponde a la solución de la EMDR para el caso de la polarización P, y se observa que para el espesor óptimo se define mejor el mínimo en el ATR que para el espesor arbitrario, esto se debe a que mientras mayor sea el espesor de la película de metamaterial cuando d → ∞ se llega a la solución de la interfaz, que corresponde a la solución de un sistema consistente en una película [29] y[36], caso que no abordaremos en este trabajo. Este efecto se puede observar en la Figura 11 donde se grafica la EMDR para la polarización P y se grafican ODRs para diferentes espesores. Para construir las ODRs se gráfica la reflexión en función de ω/ωp y se toma el valor de mínimo, esto se hace conservando un espesor y se va variando el ángulo de incidencia, entonces se gráfica el valor del ángulo de incidencia y el valor del mínimo.

En la Figura 11 también se puede observar que mientras mayor es el espesor de la película de LHM su ODR tiende a acercarse a la EMDR, esto no significa que para estos espesores ( d/λ>0.9 ) el plasmón superficial sea el óptimo, lo que implica es que se hace necesario optimizar el espesor.
4. Conclusiones
En este trabajo se han podido observar con claridad los modos de superficie para la polarización S y los plasmones de superficie en el caso de la polarización P esto se debe al tipo de constantes dieléctricas que presentan los metamateriales.
Otro punto importante que se observó es que no se pueden excitar en una misma región de frecuencias tanto SM como SPP, imponiéndose como límite la condición de ángulo crítico. En cuanto a la forma y lo estrecho del mínimo de reflexión se observa una mejor definición y estreches para espesores óptimos que corresponden a las solución de la EMDR de la interface metamaterial-aire, aun cuando para espesores d/λ>0.9 la solución de su ODR se sobreponga sobre la solución de la EMDR esto no asegura un plasmón óptimo.
Referencias
[1] R. H. Ritchie, Phys. Rev. 106, 874 (1957). [ Links ]
[2] E. A. Stern, R. A. Ferrell Phys. Rev. 120, 130 (1960). [ Links ]
[3] MM almqvist, Nature 361, 186 (1993). [ Links ]
[4] C.M. Braguglia, Chem. Biochem. Eng. Q. 12, 183(1998). [ Links ]
[5] F. C. Chien and S. J. Chen, Biosensors Bioelectron 20, 633(2004). [ Links ]
[6] R. Berndt, J. K. Gimzewski, P. Johansson, Phys. Rev. Lett. 67, 3796 (1991). [ Links ]
[7] R. C. Jin, Y. W. Cao, C. A. Mirkin, K. L. Kelly, G. C. Schatz, J. G. Zheng, Science 294, 1901 (2001). [ Links ]
[8] R. Jin, C. Y. Cao, E. Hao, G. S. Metraux, G. C. Schatz and C. A. Mirkin, Nature 425, 487 (2003). [ Links ]
[9] J. G. Gordon, S. Ernst, Surf. Sci. 101, 499 (1980). [ Links ]
[10] B.Liedberg, C. Nylander, I. Lundstrom, Sensors Actuators 4, 299 (1983). [ Links ]
[11] S. C. Schuster, R. V. Swanson, L. A. Alex, R. B. Bourret, M. I. Simon, Nature 365, 343(1993). [ Links ]
[12] P. Schuck, Curr. Opin. Biotechno 8, 498 (1997). [ Links ]
[13] J. Homola, S. S. Yee, G. Gauglitz, Sensors Actuators B Chem. 54, 3 (1999). [ Links ]
[14] A. R. Mendelsohn, R. Brend, Science 284, 1948 (1999). [ Links ]
[15] R. J. Green, R. A. Frazier, K. M. Shakesheff, M. C. Davies, C. J. Roberts, S. J. B. Tendler, Biomaterials 21, 1823(2000). [ Links ]
[16] Y. Y.Teng, E. A. Stern, Phys. Rev. Lett. 19, 511(1967). [ Links ]
[17] A. Otto, Z. Phys. 216, 398(1968). [ Links ]
[18] E.Kretschmann, H. Raether, Z Naturf. A23, 2135 (1968). [ Links ]
[19] R.Bruns, H. Raether, Z. Phys. 237, 98 (1970). [ Links ]
[20] E. Kretschmann, Z. Phys. 241, 313(1971). [ Links ]
[21] D. L. Mills, E. Burstein, Rep. Prog. Phys. 37, 817 (1974). [ Links ]
[22] V. M. Agranovich, D. L. Mills, Surface Polaritons (Modern Problems in Condensed Matter Sciences, book series), (Ed. North-Holland, Amsterdam, 1982). [ Links ]
[23] A. D. Boardman,Electromagnetic Surface Modes, (Wiley, New York, 1982). [ Links ]
[24] J. R. Sambles, G. W. Bradbery, F. Z. Yang, Contemp. Phys. 32, 173 (1991). [ Links ]
[25] R. Ruppin, Physics Letters A 227, 61 (2000). [ Links ]
[26] A. V. Zayats, I. I. Smolyaninov, J. Opt. A: Pure and Applied Optics 5, S16 (2003). [ Links ]
[27] A. Ishimaru, S. Jaruwatanadilok, Y. Kuga, PIER 51, 139 (2005). [ Links ]
[28] M. J. Lockyear, Alastair P. Hibbins, J. R.Sambles, Phys. Rev. Lett. 102, 073901 (2009). [ Links ]
[29] M. A. Zeller, M. Cuevas, R. A. Depine, Anales AFA 22, 11 (2010). [ Links ]
[30] V. G. Veselago, Sov. Phys. Usp. 10, 509 (1968). [ Links ]
[31] J. B. Pendry, David Smith, Physics Today 57, 37(2004). [ Links ]
[32] H. Jiang, H. Chen, H. Li, Y. Zhang, S. Zhu, Appl. Phys. Lett. 83, 5386 (2003). [ Links ]
[33] P. Markos, C. M. Soukoulis, Wave Propagation: From Electrons to Photonic Crystals and Left-Handed Materials, (Princeton University Press,2008). [ Links ]
[34] D. Sarid, W. Challener, Modern Introduction to Surface Plasmons: Theory, Mathematica Modeling, and Applications, (Cambridge University Press, 2010). [ Links ]
[35] D. Mogilevtsev, E. Reyes-Gómez, S. B. Cavalcanti, C. A. A. de Carvalho, L. E. Oliveira, Phys. Rev. E 81 047601 (2010). [ Links ]
[36] L. Fuchs, G. H. Cocoletzi, J. L. Carrillo, Superficies y Vacio 2, 4(1990). [ Links ]













