Servicios Personalizados
Revista
Articulo
Indicadores
-
Citado por SciELO -
Accesos
Links relacionados
-
Similares en
SciELO
Compartir
Política y gobierno
versión impresa ISSN 1665-2037
Polít. gob vol.27 no.2 Ciudad de México jul./dic. 2020 Epub 17-Feb-2021
Articles
The Nationalization of Mexican Parties
1Estudiante de posgrado en la Universidad de Houston. 4800 Calhoun Rd, Houston, TX, 77004, Estados Unidos. Tel: 1 713 743 2255. Correo-e: pjohnson7@uh.edu.
2Profesor-asistente en la Universidad de Houston. 4800 Calhoun Rd, Houston, TX, 77004, Estados Unidos. Tel: 1 713 743 2255. Correo-e: fcantu10@uh.edu.
This article evaluates the nationalization of Mexican parties during the 1994-2018 period. To do so, we use data from the last nine federal elections in the country and apply two alternative measurements of party nationalization. First, we estimate the levels of static and dynamic nationalization among Mexico’s major parties. Second, we analyze the importance of national, state, and district factors in order to explain the variance of the parties’ electoral support. The overall results show that PRI has been the most nationalized party since 1994, while PAN and PRD show regionalized patterns of support but with uniform fluctuations over time. The findings also portray Morena as a highly nationalized party, and that both PRI and PAN continue to rely on their national strength during elections.
Keywords: Mexico; party nationalization; voting behavior
Este artículo evalúa la nacionalización de los partidos mexicanos durante el periodo de 1994-2018. Para hacerlo, utilizamos datos de las últimas nueve elecciones federales del país y aplicamos dos medidas alternativas de nacionalización de partidos. Primero, estimamos los niveles de nacionalización estática y dinámica entre los principales partidos de México. Segundo, analizamos la importancia de los factores nacionales, estatales y distritales para explicar la variación del apoyo electoral de los partidos. Los resultados muestran que el PRI ha sido el partido más nacionalizado desde 1994, mientras que el PAN y el PRD muestran patrones de apoyo regionalizados, pero con fluctuaciones uniformes a lo largo del tiempo. Los hallazgos también retratan a Morena como un partido altamente nacionalizado, y que tanto el PRI como el PAN continúan dependiendo de su fuerza nacional durante las elecciones.
Palabras clave: México; nacionalización de partidos; comportamiento de los votantes
During the last thirty years, electoral competition in Mexico has centered on three main parties: the Institutional Revolutionary Party (PRI), the National Action Party (PAN), and the Democratic Revolution Party (PRD). The consistency of their voting patterns over time have led to the Mexican party system becoming one of the most institutionalized party systems in Latin America (Mainwaring, 2018). Party competition has typically focused on the PRI competing with either the PAN or PRD in different parts of the country (Klesner, 2005). This portrays the PRI as a strongly nationalized party, and the PRD and PAN as regionally focused parties with consolidated support bases in different parts of the country.
However, in 2018, the National Regeneration Movement (Morena) upset this dynamic after winning the presidency and claiming majorities in both legislative houses. Moreover, as Garrido and Freidenberg show in this volume, Morena led the vote in all but one state in the country. A first impression would be that the 2018 election diluted the regional vote patterns observed for the two previous presidential elections (Klesner, 2007; Camp, 2013). But how strong were these regional voting patterns in first place?
This paper analyzes the patterns of electoral support over time for the four most important parties in the country. We evaluate whether party politics is more nationally or regionally focused in Mexico, and how Morena fits into this system. Rather than predict how the party nationalization of Mexican parties will change in the future, we take the 2018 election as an inflection point to look back and get a perspective of the patterns of electoral support during the last 25 years. Our analysis explores the national, state, and district components that explain the variance of vote returns for the parties. We aim to fill a gap in the literature of Mexican politics by focusing on the patterns of nationalization across political parties. This approach follows a group of selected studies that go beyond an analysis of the party system level to understand the electoral support of the parties over time (Bartels, 1998; Lupu, 2015; Morgenstern, 2017; Mustillo, 2018).
Our work revisits the theory of comparative party nationalization, which would argue that countries with many districts, federal institutions and a presidential system are unlikely to have nationalized parties. We argue that such expectation can be moderated by the a centralized party organization. We also seek to explain the variance in levels of the party’s vote shares over time, arguing that Mexican politics can be explained at a state- and national-level. Finally, we show that the first couple of elections for Morena received highly nationalized voting patterns, similar to what other parties have achieved in the past.
Our analysis first builds on Mustillo and Mustillo (2012) and Morgenstern (2017) to capture two different dimensions of parties’ electoral support: the uniformity of the party’s vote shares across districts (static nationalization) and their consistency over time (dynamic nationalization). Both dimensions give us a better picture of the consistency of parties’ territorial support. This approach demonstrates that the main Mexican parties show nationalized patterns of electoral support for most of the democratic period. The second part of the analysis unpacks the national, state, and district components of electoral support over time. We follow Stokes (1967) and Bartels’s (1998) operationalization of party nationalization to compare Morena’s patterns of support in the last election to those of the former largest parties in the country. The findings of this paper update and complement previous works on the nationalization of the party system in Mexico (Klesner, 2005; Lujambio, 2001; Baker, 2009; Harbers, 2017).
The article begins by reviewing the most important conceptualizations of party nationalization. It then provides a few expectations for the nationalization of the Mexican parties. The empirical section shows first the results for the 1997-2018 section and then focuses on the last two federal elections to include Morena in the analysis. The conclusion summarizes the findings and proposes potential ways to expand the research.
Measuring party nationalization
The geographical distribution of a party’s support determines the way regional and national interests play out in politics. A highly nationalized party system incentivizes parties to focus on country-focused policies (Caramani, 2004), particularly in the presence of similar cross-district constituencies (Crisp et al., 2013). Moreover, it keeps parties more accountable for economic outcomes, allowing voters to follow a retrospective economic voting logic at the polls (Morgenstern et al., 2017). Higher party nationalization also dilutes the incentives for targeted budget allocations and subnational transfers, increasing the provision of public benefits at a national level (Lago-Peñas and Lago-Peñas, 2009; Hicken et al., 2016; Castañeda-Angarita, 2013; Crisp et al., 2013). Finally, in new democracies, where ethnic or religious tensions are also divided by territory, the nationalization of major parties is an important factor for democratic stability (Stepan, 2001; Reynolds, 1999).
Given the importance of party nationalization, scholars have sought to conceptualize the uniformity of voting behavior across subnational units (Schattschneider, 1960). Stokes (1967) operationalized this idea with a components-of-variance model, which segmented electoral returns into district, state, and national components. By doing so, Stokes was able to account for the many moving parts of national electoral support for any major party. Bartels (1998) adopted Stokes’s idea and modeled the electoral support for a party in a given year as the sum of three distinct components: the standing loyalty for the party in a district, the electoral forces at work in a specific state, and the shifting tides of national electoral forces. His approach, therefore, conceptualizes nationalization as the degree to which the national vote patterns explain the overall variance of the results for a party.
An alternative approach of accounting for the homogeneity of electoral support across districts uses the Gini coefficient (Caramani, 2000, 2004; Jones and Mainwaring, 2003), a measure of distribution often used to analyze levels of inequality. While dispersion measures are the standard approach to estimate the nationalization of parties and party systems, they only capture the vote distribution of a party at a given point in time. As a result, the Gini index fails to account for any temporal variation. Moreover, the measurement conflates other sources of variance in the data, such as those occurring within each district.
A third approach has been mined by Morgenstern (2017) and Mustillo and Mustillo (2012). The first author proposes a model similar to the one originally proposed by Stokes and deconstructs the district-level electoral results into three components: the distribution of the party’s vote across districts, the volatility of the party’s national vote, and the unexplained variance both in the districts and across time.1
These authors also conceptualize two main dimensions of party nationalization. On the one hand, static nationalization considers the homogeneity of national trends that underpin elections that a party competes in. On the other hand, dynamic nationalization is the “local effect” resulting from characteristics that shape the differences between districts over time.
Building on the last approach, Mustillo and Mustillo (2012) propose a way to account for different sources of dynamic nationalization. To do so, they develop a multilevel model that defines the mean trajectory of the party’s vote share and use their parameters to estimate the initial level of support for a party, its rate of change, and the dynamic variations of this support. This allows researchers to consider not just a single form of nationalization, but to conceptualize nationalization in terms of both the static and dynamic sources of variance, as well as electoral volatility.
Each of these approaches offers a different way to measure nationalization. The best approach depends on the question being asked and the conceptualization of nationalization being used. The dispersion measure approach is appropriate when comparing the variance in party support across districts at one point in time, but it only offers a snapshot of static nationalization and fails to account for wider dynamics. The components of variance approach, on the other hand, identifies the effect of national or local dynamics on vote share trends, but doesn’t account for electoral volatility or static nationalization. Finally, the approach proposed by Mustillo and Mustillo (2012) accounts for the static and dynamic dimensions of nationalization, as well as electoral volatility. This methodology identifies a number of different kinds of variance at the same time, but will only describe the broad patterns over time.
This article will analyze the components of each party’s national vote share, and the patterns of support that shape vote share trends in Mexico. In order to do so, it is appropriate to use two alternative approaches, first building on the Mustillo and Mustillo (2012) and Morgenstern (2017) empirical strategy, before following Stokes (1967) and Bartels’s (1998) approach.
Expectations for the mexican context
The literature on electoral behavior in Mexico considers the regionalization of the partisan support as one of the most important determinants of vote choice (Domínguez and McCann, 1995; Moreno, 2003). A common description of the Mexican party system portrays the PRI competing with either the PAN in the west and northern states or the PRD in the Federal District, Michoacán, and the south of the country (Klesner, 2005, 2007). This creates a situation where PRI is far more spread out across the nation, and PRD and PAN are more focused in their respective regions.
We discuss below the institutional and party level factors that may explain the variance of vote trends across districts, and to what extent the disruption of Morena may affect the nationalization of the party system in Mexico. We organize our discussion describing first our expectations for the overall party system and then what we expect for each of the parties in the analysis.
At the party system-level, party nationalization faces at least three important institutional obstacles. The first has to do with the number of districts in the country. A large number of districts increases parties’ strategies to allocate their campaign resources in those districts that they believe they have better opportunities to compete for a seat (Morgenstern, 2017). For the specific case of Mexico, the existence of 300 districts increases the opportunities for parties to concentrate their efforts at a regional level, producing scattered party strongholds in the country and reducing their expected static nationalization. Moreover, numerous and smaller districts will increase the heterogeneity across them, making it very difficult for parties to manage a uniform campaign in the country.
A second institutional roadblock for party nationalization in Mexico involves its presidential system. Morgenstern (2017) argues that nationalization should be lower in presidential cases because voters have different ballots to elect the executive and legislative. Such an opportunity allows congressional candidates to exploit their personal attributes rather than following a national campaign strategy. In contrast, parliamentary systems fuse executive and legislative elections, which leads voters to make choices based on nationally-focused platforms. We then expect that the presidential system decreases the dynamic nationalization of parties, as it leads to more voters making decisions based on local issues.
The final institutional factor hindering party nationalization has to do with its federalist structure. Mexico’s sub-national political units have independent executives and legislatures. Such an institutional design, along with the cross-state diver- sity of economic development, social values, and political competition, creates incentives for national parties to split along state lines. Previous work has shown the role that governors play in influencing legislative behavior after the end of the hegemonic-party period (Cantú and Desposato, 2012; Rosas and Langston, 2011). As a result of this influence, state-level issues and events will be more powerful than those that occur at a district-level. Moreover, the visibility of gubernatorial candidates over their legislative counterparts produces substantive coattail effects, where congressional candidates would mimic the slogans and messages of candidates for governors (Magar, 2012). In fact, spatial analysis of the 2012 election in Mexico suggests that parties allocate resources and campaign efforts based on a state —rather than a district— logic, which is reflected in the correlation of the vote returns between nearby districts (Harbers, 2017).
On the other hand, the expected regionalization of Mexican parties should be moderated by two institutional factors: the centralization of financial resources within each party and the control of the ballot access. The first factor has to do with the financial dependence of state party chapters on the transfers from the National Executive Committee for their local organization and campaigns (Harbers, 2014). At the same time, national party leaders have great discretion on transferring these funds across states and districts. Such structure helps party elites to maintain control over local leaders anand keep a national party’s agenda (Kerevel, 2015).
The second way in which leaders mitigate the risks of extreme regionalization in the party is by controlling the access to the ballot access. In Mexico, national leaders are the ultimate veto player over the legislative candidates that appear on the ballot. Such control gives them important leverage on the way candidates and legislators behave (Nacif, 2002; Kerevel, 2015). By controlling ballot access, the national party organization can select the candidates that that are more likely to follow the national party agenda in exchange for future positions within the party (Hagopian, 2007). This is consistent with the literature on legislative politics, which shows how legislators’ loyalty towards the party leader increases with the control that the latter has on their election goals (Strøm, 1997; Pennings and Hazan, 2001).
At the party-level, we expect that the nationalization of each party is a function of its previous experience in government and their particular origins. We expect democratic governing experience to have a positive effect on both dimensions of nationalization. Experience in a national government expands the visibility of a party and provides incentives to broaden the scope of their campaign proposals to be nationally-focused (Morgenstern, 2017). We then expect that PRI and PAN’s previous experience in the national government increased their opportunities for reaching a national electorate.
Similarly, party nationalization is a function of how each party was founded as well as their vote-earning strategies. We expect the PRI to be the most nationalized of all Mexican parties, given its previous structure as a hegemonic party. One of the main changes to the party occurred during the early 1930s, when it went from being a confederation of regional parties to a hierarchical structure led by the national party leadership (Langston, 2017). This structure allowed the party to control and mobilize party members from the top down. Moreover, PRI’S monopoly of power during most of the twentieth century gave it full control of the political resources at the federal, state, and local levels (Klesner, 2005). These characteristics have led to a party that operates as a national party.
In contrast, the origins of the PRD and PAN leave both parties with fewer incentives to be as nationalized as the PRI. The PRD was originally created as an umbrella party of former leftist parties and civic organizations. While all them united around the electoral campaign of Cuauhtémoc Cárdenas, the electoral defeats left party members to deal with competing interests and struggle to maintain internal cohesion (Camp, 2014). This led to the party struggling to institutionalize, and relying on support that has been concentrated in a small base that is linked to the historical leaders of the party (Bruhn, 2012).
PAN, meanwhile, took a different path. Instead of trying to topple the PRI by beating the party to the presidency, the PAN started by building electoral support from the bottom up. Their strategy focused on targeting subnational offices and using these offices as a springboard to other victories. This path resulted in the gradual increase in support for the party, spreading geographically and horizontally (Lujambio, 2001; Lucardi, 2016). This strategy, however, has inevitably resulted in a party that is keenly interested in local politics. In addition, PAN’s support base is primarily the urban, educated middle class. This base is concentrated in urban centers, especially the northern region of the country (Klesner, 2005).
Lastly, the early electoral success of Morena allowed it to strengthen the national aspect of its electoral support. Similar to the case of the PRD, Morena was built as an organization to support the presidential candidacy of a charismatic leader. Never- theless, López Obrador’s overwhelming national popularity received a similar electoral support across regions, vanishing the regional patterns of the presidential vote observed in previous elections (Baker, 2009). As a result, we expect Morena to score highly on its national patterns of support.
In sum, the institutional context in the country should produce a moderately to strongly nationalized party system. We expect the PRI to be the most nationalized party, with corruption scandals which have led voters to punish the party in recent elections (Ang, 2020). The PAN and PRD should have a lower level of nationalization, as a result of their regionally-focused support bases, which will produce vote shares that are clustered at state-level. On the other hand, the centralized organization of parties should produce consistent fluctuations of electoral support over time. In Morena’s case, the successful presidential campaign of its candidate produced strong coattails on the legislative elections, providing electoral support for the party in most of the constituencies. As a result, we expect a high level of nationalization for Morena in 2018.
Analysis
Our goal for this section is to estimate the levels of party nationalization in Mexico over the 1994-2018 period. We do so by looking at the variation of the vote trends across elections and districts for the four most important parties in the country: PRI, PAN, PRD and Morena. Our units of analysis are the 300 congressional districts in the country. We address any changes of district boundaries over time by grouping the precinct-level results according to the 2013 redistricting process. All the data comes from the official election results available at the National Electoral Institute’s (INE) website.
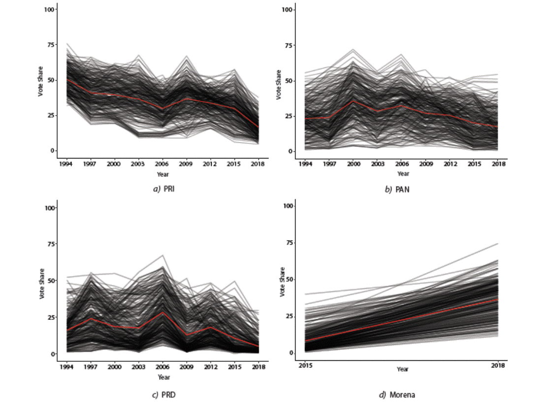
Figure 1 plots the district-level vote shares during the 1994-2018 period for each party. Each gray line represents the party’s vote share in a given district; and the thick, red line denotes the national vote share for the same party. Our discussion focuses on the two types of uniformity in the vote-share trends proposed by Morgenstern (2017): static and dynamic nationalization. Static nationalization is under- stood as the uniformity of the party’s vote shares across districts at a given point in time. A high level of static nationalization means that the vote shares for a party have little variation across districts, so most of the lines in the plot should be very close to the red line. Meanwhile, dynamic nationalization captures the consistency of the district-level variations of the party’s vote shares over time. A high level of dynamic nationalization expects uniform changes in district-level vote elections, producing fewer crossings among gray lines in the plot.

Source: Own elaboration with data from the INE website ( http://www.ine.mx).
Figure 1 Vote shares per district
Morgenstern (2017) combines both dimensions to classify political parties into four categories: Nationalized parties (high static and high dynamic nationalization), unbalanced (low static, high dynamic), influx (high static, low dynamic), or nationalized (high static and high dynamic). Nationalized parties have very uniform support across districts and over time. Examples include Spain’s Socialist Party (PSOE) or the Czech Republic’s Social Democrats (CSSD). Unbalanced parties will experience high variance in vote shares across districts, but changes in their support over time tend to occur in uniform patterns. This category is the most common, and include the likes of the Labour Party and the Conservatives in the UK. Influx parties are a rare category, where a party’s even support across districts is not reflected over time. Finally, locally-focused parties a large variance of support across both districts and elections. Spain’s Basque Nationalist Party or Argentina’s Justicialist Party are examples of this category (Morgenstern, 2017).
The district-level vote shares in Plot 1a show that the PRI has the highest static nationalization in the country, as there are more lines falling closer to the party’s national mean than is observed for the PAN and PRD. Similarly, PRI’S electoral support over time presents uniform fluctuations for most of the districts in the country. A notable exception is the set of lines at the bottom of the plot, which represent the district-level results in Mexico City. This set of outlier trends suggests that while the PRI obtains very similar results in all the districts in Mexico City, these vote returns are systematically lower than what the party gets elsewhere in the country.
The vote returns for the PAN, meanwhile, suggest the uneven electoral strength of the party across districts. While the party earns more than half of the votes in a few districts, it also obtains no more than 5 per cent in others. Such wide variance denotes the PAN’s low static nationalization. On the other hand, the graph also shows uniform fluctuations across districts for the elections before 2006. Beginning that year, the lines present more convoluted patterns, suggesting a decline of PAN’s dynamic nationalization in recent elections.
Similar to the PAN’s case, the vote shares for the PRD in any given year show large variations across districts, initially spreading evenly between 0 and 50 per cent. However, the figure suggests that static nationalization increased in the recent three elections due to the decline of party support in the country, getting vote shares close to 0 per cent in most districts. On the other hand, dynamic nationalization seems to be very high, as changes in vote shares over time seem to move uniformly across districts.
We now narrow our focus to the vote nationalization trends for Morena by only considering the two federal elections after the creation of the party in 2013. While the lack of enough elections should warn the reader about the prematurity of the findings, Figure 1d highlights a few patterns that can be confirmed in forthcoming elections. While Morena’s support was relatively low in 2015, and all its district- level vote shares increase by 2018. This increase, however, was not uniform, as the vote shares “fanned out”. The vote shares for Morena in the districts of Guanajuato, Aguascalientes, and Yucatán increased by a lower rate than the national average. In contrast, districts in Chiapas, Hidalgo, and Tabasco reported vote shares from less than 10 per cent in 2015 to over 50 per cent in 2018. These results may suggest similar levels of static nationalization for Morena to those observed for PRI. On the other hand, we are still unable to elucidate the national dynamics of the party with only two elections for the analysis.
This first glance at the vote trends suggests a high variance on the district vote returns for the party. We explore further how much of this variance can be explained at the state level. Figures 2-5 distinguish the vote shares in every state for each party. The analysis confirms the high dynamic nationalization of the PRI, as all states present similar downwards trends. Moreover, Figure 2 also illustrates different levels of inter-district variation of vote shares across states, going from almost no variance in Mexico City, Baja California, and Tabasco to high variance for those districts in San Luis Potosí, State of Mexico, or Puebla.

Source: Own elaboration with data from the INE website ( http://www.ine.mx).
Figure 2 PRI vote share by district, split by state

Source: Own elaboration with data from the INE website ( http://www.ine.mx).
Figure 3 PAN vote share by district, split by state

Source: Own elaboration with data from the INE website ( http://www.ine.mx).
Figure 4 PRD vote share by district, split by state

Source: Own elaboration with data from the INE website ( http://www.ine.mx).
Figure 5 Morena vote share by district, split by state
Meanwhile, the PAN’s vote-share trends appear more uniform over time than those observed for the PRI. With the exception of Veracruz, Sonora, and Jalisco, the fluctuations for the district vote-shares are very consistent within each state. This trend is clearer since 2006. In other words, most of the drop for the PAN’s dynamic nationalization after 2006 can be explained by the variance of the vote trends at the state level.
In the case of the PRD, Figure 4 helps us to understand that most of the low static nationalization is explained by different levels of support across states. With the exception of Mexico City, the State of Mexico, Michoacan, Oaxaca, and Guerrero, the vote shares for the PRD are very uniform within states, suggesting that the variance for the PRD’S vote returns across district can be partially explained by the political dynamics at the state level.
To formally estimate the different types of electoral variability, we update Morgenstern’s (2017) analysis for Mexico by extending the panel series and suggesting a more precise specification for the party’s national vote volatility. In this case, we follow Mustillo and Mustillo’s (2012) multilevel approach, which nests time within district as:
Where Vote pdt is the vote share for a party p in district d and election t. Election t is an indexed ordinal variable for the sequence of elections in our database. The set of β models the trajectory of the national mean vote for the party —i.e., the red line in any of the plots of Figure 1— using a polynomial of order 3.. ζ0d y ζ1d account for the variance of electoral support among districts. In particular, ζ0d accounts for the durable district differences that explain dispersion of a party’s vote returns during the initial election. Therefore, lower values of ζ0d can be interpreted as a high level of static nationalization. ζ1d accounts for the variance in the initial rate of change. We assume that ζ0d y ζ1d , are drawn from two independent distributions with mean zero and variance σ0 y σ1, respectively, and an unknown covariance σ01. Finally, the residual variance, εdt represents the district and time-specific unexplained variability in vote share trends. This estimate accounts for election-cycle features that may account for vote dispersion. We take this coefficient as our measurement for dynamic nationalization. Values of εdt closer to 0 suggest a high level of dynamic nationalization as there are fewer sources of cyclical dynamics.
Equation (2) proposes an alternative specification that includes State d , which is a battery of state dummy variables to identify the state that each district belongs to. This specification tries to capture any heterogeneity of the vote shares produced at the state level. We present the analysis with and without this covariate to compare how our measures of nationalization depend on the state effects.
Table 1 shows the results for the last nine federal elections in the country. To make a fair comparison of the parameters across parties, we leave out Morena from this analysis. The Appendix, however, shows the results for all parties using a less complex model that only includes the last two federal elections.
Table 1 Models for district-level vote support, 1994-2018
| PRI | PRI | PAN | PAN | PRD | PRD | |
|---|---|---|---|---|---|---|
| Time | -12.301*** | -12.301*** | 7.629*** | 7.629*** | 2.859*** | 2.859*** |
| (0.383) | (0.383) | (0.403) | (0.403) | (0.473) | (0.473) | |
| Election2 | 3.223*** | 3.223*** | -1.761*** | -1.761*** | -0.461*** | -0.461*** |
| (0.115) | (0.115) | (0.120) | (0.120) | (0.143) | (0.143) | |
| Election3 | -0.274*** | -0.274*** | 0.090*** | 0.090*** | -0.011 | -0.011 |
| (0.009) | (0.009) | (0.010) | (0.010) | (0.012) | (0.012) | |
| Constant | 49.827*** | 48.405*** | 22.938*** | 32.656*** | 17.606*** | 8.761*** |
| (0.596) | (2.509) | (0.790) | (3.311) | (0.688) | (0.535) | |
| State effects | ✓ | ✓ | ✓ | |||
| Random effects | ||||||
| ζ0d (Static | 73.96 | 53.23 | 151.77 | 85.98 | 143.64 | 35.13 |
| ζ1d | 0.57 | 0.57 | 1.48 | 1.48 | 0.36 | 0.36 |
| εdt (Dynamic | 37.98 | 37.98 | 41.21 | 41.21 | 56.06 | 56.06 |
| Observations | 2 700 | 2 700 | 2 700 | 2 700 | 2 700 | 2 700 |
| Districts | 300 | 300 | 300 | 300 | 300 | 300 |
| Elections | 9 | 9 | 9 | 9 | 9 | 9 |
| Log Likelihood | -9 227.219 | -9 056.879 | -9 497.081 | -9 315.877 | -9 736.869 | -9 489.108 |
| AIC | 18 470.440 | 18 191.760 | 19 010.160 | 18 709.750 | 19 485.740 | 19 052.220 |
| BIC | 18 517.650 | 18 421.900 | 19 057.370 | 18 939.890 | 19 521.140 | 19 270.550 |
Source: Own elaboration with data from the INE website ( http://www.ine.mx). ***p < .01; **p < .05; *p < .1.
We first discuss the models that do not include state controls, which confirm the visual inspection of Figure 1. The value of ζ0d in model (1), which represents the variance in the PRI’S district-level electoral support around its national mean, is 73.9. This means that, in the absence of any other systematic variance, 68 per cent (or one standard deviation) of the district-level shares for the PRI fall within an interval of 8.6 per cent above and below the national mean. In contrast, the values of ζ 0d in models (3) and (5) suggest that 68 per cent of the district-level shares for the PAN and PRD range around 11.9 and 12.3 per cent, respectively, above and below their national means. These results suggest a larger static nationalization for the PRI than for the other two parties. This demonstrates that the PRI receives more uniform support across the country, compared to the other two parties, whose support is concentrated in certain regions.
Regarding dynamic nationalization, we consider the non-uniform swings in the district-level votes observed in Figure 1. The values of εdt for the PRI and PAN are 37.98 and 41.21, respectively, suggesting that the swings for both parties are relatively uniform across districts. In contrast, the size of this parameter for the PRD’S models is 56.06, representing a lower dynamic nationalization than the other two parties. These findings demonstrate that the PRI is the most nationalized of the three parties on both dimensions. All three parties appear to be unbalanced, however, the PRD is the closest of the three parties to being a localized party, and the PRI is a moderately nationalized party.
The models that include the state dummies explore the vote share trends in a similar way to Figures 2-5, allowing us to contextualize the heterogeneity of the vote trends. For the case of the PRI, its static variance estimate drops from 73.4 in Model 1 to 53.2 in Model 2. This tells us that the state effects account for 27 per cent of the variance in the party’s district-level support. While such reduction for the cross-district variance helps us understand more about the party’s static nationalization, the observed effect is lower than what we observe for the PAN and PRD. The inclusion of the state effects accounts for 43 and 75 per cent of the variance in the district-level support for PRD and PAN, respectively. This means that much of the low static nationalization levels for these two parties can be explained by the dynamics within the states.
These results differ from Morgenstern’s expectations. For example, Morgenstern, Swindle and Castagnola (2009) have previously found that Mexico’s party system is low on the static nationalization dimension, and low to moderate on the dynamic dimension. They conclude that Mexican parties are closer to locally-focused (similar to the US). However, we find that the Mexican party system scores low on the static dimension but relatively high on dynamic nationalization, suggesting that Mexican parties tend to be unbalanced instead. In addition, our results also suggest that party differences matter. It is clear that PRI’S differences distinguish them from PAN and PRD, and that the PRD and PAN are both experiencing changes that are specific to the party.
Observe that the results in Table 1 describe the overall patterns for the parties for the entire period. This approach, however, does not allow us to perceive significant changes in the vote trends across elections. To address this limitation, we use an approach proposed by Bartels (1998), who measures the relative nationalization of the party vote for each election. Building on Stokes (1967), Bartels provides a way to decompose the election results within a district into 1) the standing party loyalties in the district, 2) the shifting tides of electoral support at the national level, and 3) the fleeting district forces at work. The model is specified as:
Where Vote pdst is the vote share for party p in district d and state s at election year t. Vote pdst - 1 y Vote pdst - 2 represent the vote shares for the same party and district in the two previous federal elections. The intercept parameter α t accounts for the mean national support of a party at a given election. γ st is a parameter that accounts for the state forces of the election results in the district at a given time. Finally, ε dst is the stochastic term accounting for the idiosyncratic forces of the district during a specific election. We assume that, ε dst is drawn from a probability distribution with mean zero and election-specific variance σ2 dpt .
The model in equation (3) differs from the one proposed by Bartels (1998) in three aspects. First, similar to Lupu (2015), we use the vote shares for every party as the dependent variable, rather than the difference of the two main parties’ vote shares. This allows us to study the different components of the vote support in multiparty systems. Second, since Morena has competed in only two federal elections, we use the PRD vote shares for the lagged terms of both Morena and PRD. Finally, our estimates are reported using Seemingly Unrelated Regressions (Zellner, 1962), which allow correlated errors across the models for each party vote share in a given year. Running a system of equations for each election year introduces additional information to considering the individual equations separately.
Table 2 presents the estimates of the parameters of interest for each party and election from 2000 to 2018. Each row corresponds to a regression for the vote shares of a party in a given year. Column 1 in the table shows the estimated stochastic variance of the district forces in a given year. Column 2 shows the average of the estimated state vote-swings during the election. Column 3 presents the estimated national party support. Columns 4 and 5 show the estimated persistence of the two preceding election results in the district. Finally, Column 6 estimates the stability of the partisan support in the district by adding up the size of the coefficients for the two lagged terms. All the values are presented in percentage points, and values in parentheses denote the standard errors for the parameters.
Table 2 Components of party vote, 2000-2018
| Year | (1)
District Forces σ |
(2)
State Forces (absolute mean) |
(3)
National Force α |
(4)
First lag β 1 |
(5)
Second lag β 2 |
(6) Partisan loyalties β 1 + β 2 |
|
|---|---|---|---|---|---|---|---|
| PRI | 2000 | 3.79 | 5.26 | -6.26 (0.05) | 0.59 (0.05) | 0.34 (0.05) | 0.94 |
| 2003 | 4.63 | 4.61 | 6.85 (0.07) | 0.53 (0.07) | 0.24 (0.07) | 0.77 | |
| 2006 | 3.40 | 3.53 | 4.61 (0.04) | 0.25 (0.04) | 0.38 (0.04) | 0.64 | |
| 2009 | 4.54 | 9.28 | 11.29 (0.07) | 0.26 (0.07) | 0.28 (0.06) | 0.53 | |
| 2012 | 3.97 | 4.09 | 11.54 (0.05) | 0.32 (0.05) | 0.34 (0.05) | 0.66 | |
| 2015 | 4.92 | 5.45 | 0.97 (0.07) | 0.74 (0.07) | 0.25 (0.06) | 0.98 | |
| 2018 | 3.24 | 3.91 | 1.86 (0.04) | 0.34 (0.04) | 0.23 (0.05) | 0.57 | |
| PAN | 2000 | 4.71 | 5.44 | 8.83 (0.06) | 0.44 (0.06) | 0.78 (0.06) | 1.22 |
| 2003 | 5.21 | 5.73 | 8.14 (0.05) | 0.64 (0.05) | 0.04 (0.07) | 0.68 | |
| 2006 | 4.02 | 5.23 | 12.19 (0.05) | 0.45 (0.05) | 0.26 (0.04) | 0.71 | |
| 2009 | 5.70 | 6.59 | 1.33 (0.08) | 0.59 (0.08) | 0.03 (0.07) | 0.62 | |
| 2012 | 3.95 | 3.46 | 2.44 (0.04) | 0.19 (0.04) | 0.50 (0.04) | 0.69 | |
| 2015 | 5.06 | 8.39 | 4.57 (0.06) | 0.69 (0.06) | 0.25 (0.05) | 0.93 | |
| 2018 | 3.82 | 9.01 | 6.46 (0.04) | 0.39 (0.04) | 0.43 (0.05) | 0.83 | |
| PRD | 2000 | 3.65 | 5.04 | -0.62 (0.04) | 0.32 (0.04) | 0.55 (0.05) | 0.87 |
| 2003 | 4.52 | 5.18 | -0.28 (0.06) | 0.69 (0.06) | 0.10 (0.05) | 0.79 | |
| 2006 | 3.66 | 5.08 | 12.12 (0.05) | 0.39 (0.05) | 0.41 (0.05) | 0.80 | |
| 2009 | 4.88 | 3.44 | -4.07 (0.07) | 0.34 (0.07) | 0.36 (0.07) | 0.69 | |
| 2012 | 3.36 | 4.59 | -0.13 (0.04) | 0.10 (0.04) | 0.48 (0.04) | 0.58 | |
| 2015 | 5.28 | 3.55 | -4.04 (0.08) | 0.57 (0.08) | 0.27 (0.06) | 0.84 | |
| 2018 | 2.57 | 1.85 | 1.18 (0.03) | 0.47 (0.03) | 0.00 (0.04) | 0.47 | |
| Morena | 2015 | 3.48 | 2.56 | 1.01 (0.05) | 0.46 (0.05) | -0.11 (0.04) | 0.35 |
| 2018 | 5.32 | 7.48 | 19.83 (0.09) | 0.70 (0.09) | 0.37 (0.08) | 1.07 |
Source: Own elaboration with data from the INE website ( http://www.ine.mx). Note: Standard errors in parentheses.
The estimated parameters can help us understand the fluctuations of the vote components for the parties over time. Before the 2018 election, the district forces are similar across parties and the steadiest component of the vote over time. Both the state and national components present more volatile, inconsistent patterns for the parties. Consider, for example, the case of the PAN’s national force, where it shows their highest values for the presidential elections. All the components for the PRD seem to decline for the 2018 election, while the vote for Morena seems to be driven by the national and state forces. To assess the strength of the national component of the vote for each party and election, we follow Lupu’s (2015) estimation for the relative nationalization of the vote as the ratio of the national variance to the sum of the national, state, and district variances.2 This ratio is estimated as:
Figure 6 summarizes the estimation of Relative Nationalization for each party and election year. These estimations show a relatively nationalized party system during the 2000-2006 period and its downtrend afterwards. The national component of the PRI’s election results was relatively high until 2012. For the last two federal elections, in contrast, the variance of its vote shares is mostly explained by the state or district components. For the case of the PAN, its relative nationalization collapsed after the 2006 election. The measurement’s value for the PAN has risen during the last three elections, and it explains about a third of the total variance for 2018. The relative nationalization for the PRD has been consistently low with the exception of the 2006 election. Finally, the success of Morena in the most recent election was strongly determined by the national forces at play as illustrated by its high relative nationalization in 2018. This level of relative nationalization is similar to the PAN and PRD’s in 2006 or PRI’S in 2012.

Source: Own elaboration with data from the INE website ( http://www.ine.mx).
Figure 6 Relative nationalization of Mexican parties 2000-2018
Figure 6 also shows a general increase in relative nationalization for the parties when legislative elections are concurrent with the presidential one. In other words, the vote shares across districts for a party increase in a similar direction and magnitude when legislative candidates campaign along their presidential candidate. This pattern shows the influence of presidential campaigns on the overall vote shares that a party receives across districts. Presidential candidates focus on promoting broad, national policies. At the same time, since the presidential race draws most of the coverage from media, legislative candidates find easier to align their campaign messages to those proposed by their copartisan presidential candidate (Samuels 2002, 2003). Midterm races, on the other hand, allows us to observe the performance of a party without the effects of a national race, allowing candidates to emphasize local issues and to parties to strategically allocate resources in their more competitive districts (Poiré, 2005).
A complementary interpretation for the overall rise of parties’ relative nationalization every six years is the strength of presidential coattails. This theory predicts that the more votes a presidential candidate receives, the better the legislative candidates of the same party will do (Golder, 2006; Ferejohn and Calvert, 1984). The electoral politics literature explains this relationship as the attention that the media and voters pay to the presidential race over any other election. As a result, a good presidential candidate can be a useful cue about the other candidates of the same party. In the Mexican case, Magar (2012) has already shown a close relationship between presidential and deputy vote shares since 1982.
It could be the case, however, that pooling together vote shares of presidential and non-presidential election years as lagged terms introduces noise to the estimations, and it may obscure the national strength of parties. We check for this issue by only including election years with concurrent presidential elections in our estimations, as shown in Figure 7. This exercise actually allows us to estimate the nationalization of the party endorsing López Obrador as its presidential candidate over the last three presidential elections. The figure shows the collapse of PAN and PRI’S relative nationalization after 2006 and 2012, respectively. The relative size of the national component explaining the party vote variance goes from more than 80 per cent to below 20 per cent at its best. It also shows that the strong national electoral component of López Obrador’s party during 2006 and 2018 was replaced by the PRI in 2012.

Source: Own elaboration with data from the INE website ( http://www.ine.mx).
Figure 7 Relative nationalization of Mexican parties during presidential election, 2006-2018
In sum, the analysis suggests that a successful election outcome has largely relied on the national forces of the parties rather than the district contribution of the vote. Moreover, while the PRD continues to appear to be more of a regional party, the poor electoral performance of the PAN and PRI in 2018 does not seem to be followed by the vanishing of the national forces of their vote. Time will tell whether these parties can sustain their national forces for the next elections. In the case of Morena, its electoral success in 2018 shows similar trends to those exhibited by successful parties in previous elections, even scoring higher than any other party in terms of relative nationalization. This suggests that Morena are not disrupting the party system, but are simply following established trends in Mexican electoral competition. Whether Morena could establish itself as a national party when López Obrador is not on the ballot is a question to be answered during the 2021 federal elections.
Conclusion
This article evaluates the patterns of party nationalization in Mexico from the last nine federal elections. Our findings suggest that the PRI and PAN continue to produce similar nationalization scores to those produced in the past, while the PRD has become increasingly nationalized as a result of the decline of its electoral support.
The PRD’S falling vote share has occurred at the same time as the rise of Morena, who appear to have slotted in to the party system without causing a great deal of instability. We find that their patterns of electoral support are similar to other parties in previous years.
The analysis shows that Mexican parties are strongly nationalized on the dynamic dimension, and that a great deal of the variance in the static dimension is explained at the state level. These findings reinterpret the low levels of static nationalization as a product of state local politics rather than what district candidates or dynamics can influence the system. We also show the similarities of the nationalization levels for the PAN in 2006, PRI in 2012, and Morena in 2018. In these three elections, presidential campaigns created strong coattails that move electoral support across districts in the same direction. This finding suggests that the swings of the Mexican electorate follow national rather than local issues.
For the specific case of the 2018 election, Morena’s performance in terms of dynamic nationalization shows the importance of a successful, nationalized presidential campaign to increase the level of national support for a party. During the 2015 legislative elections, Morena concentrated its electoral support in Mexico City, Tabasco, and some districts in Veracruz. For the last presidential election, López Obrador’s popularity and visibility contributed to the increase of the party’s support in each of the 300 districts in the country. It is to be seen in the next elections whether Morena can keep this support throughout the next elections and without the appearance of its de facto leader on the ballot.
Our findings also suggest a potential strategy for the opposition parties to recover from their overwhelming defeat in 2018. To rebuild their national structure, parties need first to keep the support of their local strongholds. The relatively low levels of static nationalization suggest the importance of local politics setting up the baseline support of the parties in each state. As it was the case for the PAN before 2000 (Lujambio, 2001) or the PRI between 2000 and 2012 (Langston, 2017), parties need to start local by first defending their strongholds and gradually start building a national strategy.
Our analysis, however, is not free from caveats. We suggest here two limitations of our findings and potential ways in which scholars can explore related questions for the study of party systems in Mexico and elsewhere. First, the conventional approach of studying regionalism in vote patterns in the country should be further explored. As our findings show, most of the variance in electoral support for parties can be explained at the state level. As a result, including region fixed effects in the Mexican case appears to be a noisy way for accounting variations in vote support.
Second, the nature of our data does not allows us to distinguish whether the different geographic patterns we find respond to local politics or to the different attitudes and behaviors of voters across states. In particular, while the low levels of static nationalization we document suggest that parties enjoy a default level of support across states, it remains unclear whether these differences come from the strength of the political machines in every state or attitudinal differences of voters supporting each of the parties. Similarly, given that we know the importance of state governors in Mexico, there is reason to explore how parties in decentralized systems may be sub-nationally organized. These questions present an invitation to scholars to revisit this topic and expand its findings.
REFERENCES
Ang, Milena (2020), “Contagio criminal: Cómo las detenciones de gobernadores debilitaron al PRI”, Política y Gobierno, XXVII(2), pp. 1-35. [ Links ]
Baker, Andy (2009), “Regionalized Voting Behavior and Political Discussion in Mexico”, en Jorge I. Domínguez, Chappell Lawson y Alejandro Moreno (eds.), Consolidating Mexico’s Democracy: The 2006 Presidential Campaign in Comparative Perspective, Baltimore: John Hopkins University Press, pp. 71-88. [ Links ]
Bartels, Larry (1998), “Electoral Continuity and Change, 1868-1996”, Electoral Studies,17(3), pp. 301-326. [ Links ]
Bruhn, Kathleen (2012), “The PRD and the Mexican Left”, en Roderic Ai Camp (ed.), The Oxford Handbook of Mexican Politics, Nueva York: Oxford University Press. [ Links ]
Camp, Roderic Ai (2013), “The 2012 Presidential Election and What it Reveals about Mexican Voters”, Journal of Latin American Studies, 45(3), pp. 451-481. [ Links ]
Camp, Roderic Ai (2014), Politics in Mexico: Democratic Consolidation or Decline? 6a. ed., Nueva York: Oxford University Press. [ Links ]
Cantú, Francisco y Scott Desposato (2012), “The New Federalism of Mexico’s Party System”, Journal of Politics in Latin America, 4(2), pp. 3-38. [ Links ]
Caramani, Daniele (2000), Elections in Western Europe since 1815: Electoral Results by Consti- tuencies, Londres: Palgrave Macmillan. [ Links ]
Caramani, Daniele (2004), The Nationalization of Politics: The Formation of National Electorates and Party Systems in Western Europe, Cambridge: Cambridge University Press, OCLC: 704547610. [ Links ]
Castañeda-Angarita, Néstor (2013), “Party System Nationalization, Presidential Coalitions, and Government Spending”, Electoral Studies, 32(4), pp. 783-794. [ Links ]
Crisp, Brian F., Santiago Olivella y Joshua D. Potter (2013), “Party-System Nationalization and the Scope of Public Policy: The Importance of Cross-District Constituency Similarity”, Comparative Political Studies, 6(4), pp. 431-456. [ Links ]
Domínguez, Jorge I. y James A. McCann (1995), “Shaping Mexico’s Electoral Arena: The Construction of Partisan Cleavages in the 1988 and 1991 National Elections”, The American Political Science Review, 89(1), pp. 34-48. [ Links ]
Ferejohn, John y Randall Calvert (1984), “Presidential Coat-Tails in Historical Perspecti ve”, American Journal of Political Science, 28(1), pp. 127-146. [ Links ]
Golder, Matt (2006), “Presidential Coattails and Legislative Fragmentation”, American Journal of Political Science, 50(1), pp. 34-48. [ Links ]
Hagopian, Frances (2007), “Parties and Voters in Emerging Democracies”, en Carles Boix y Susan Stokes (eds.), The Oxford Handbook of Comparative Politics, Nueva York: Oxford University Press, pp. 582-603. [ Links ]
Harbers, Imke (2014), “States and Strategy in New Federal Democracies: Competitiveness and Intra-party Resource Allocation in Mexico”, Party Politics, 20(6), pp. 823-835. [ Links ]
Harbers, Imke (2017), “Spatial Effects and Party Nationalization: The Geography of Parti- san Support in Mexico”, Electoral Studies, 47, pp. 55-66. [ Links ]
Hicken, Allen, Ken Kollman y Joel W. Simmons (2016), “Party System Nationalization and the Provision of Public Health Services”, Political Science Research and Methods, 4(3), pp. 573-594. [ Links ]
Jones, Mark P. y Scott Mainwaring (2003), “The Nationalization of Parties and Party Systems: An Empirical Measure and an Application to the Americas”, Party Politics, 9(2), pp. 139-166. [ Links ]
Kerevel, Yann P. (2015), “(Sub)National Principals, Legislative Agents: Patronage and Political Careers in Mexico”, Comparative Political Studies, 48(8), pp. 1020-1050. [ Links ]
Klesner, Joseph L. (2005), “Electoral Competition and the New Party System in Mexico”,Latin American Politics and Society, 47(2), pp. 103-142. [ Links ]
Klesner, Joseph L. (2007), “The 2006 Mexican Elections: Manifestation of a Divided Socie- ty?” PS: Political Science and Politics, 40(1), pp. 27-32. [ Links ]
Lago-Peñas, Ignacio y Santiago Lago-Peñas (2009), “Does the Nationalization of Party Systems Affect the Composition of Public Spending?” Economics of Governance, 10(1), pp. 85-98. [ Links ]
Langston, Joy (2017), Democratization and Authoritarian Party Survival: Mexico’s PRI, Nueva York: Oxford University Press. [ Links ]
Lucardi, Adrián (2016), “Building Support From Below? Subnational Elections, Diffusion Effects, and the Growth of the Opposition in Mexico, 1984-2000”, Comparative Political Studies, 49(14), pp. 1855-1895. [ Links ]
Lujambio, Alonso (2001), “Democratization through Federalism? The National Action Party Strategy, 1939-2000”, en Kevin J. Middlebrook (ed.), Party Politics and the Struggle for Democracy in Mexico: National and State-Level Analyses of the Partido Acción Nacional, La Jolla: UCSD-Center for US-Mexican Studies, pp. 47-94. [ Links ]
Lupu, Noam (2015), “Nacionalización e institucionalización de partidos en la Argentina del siglo XX”, en Mariano Torcal (ed.), Sistemas de partidos en América Latina: Causas y consecuen- cias de su equilibrio inestable, Buenos Aires: Anthropo/Siglo XXI, pp.183-202. [ Links ]
Magar, Eric (2012), “Gubernatorial Coattails in Mexican Congressional Elections”, The Journal of Politics, 74(2), pp. 383-399. [ Links ]
Mainwaring, Scott (2018), Party Systems in Latin America: Institutionalization, Decay, and Collapse, Cambridge y Nueva York: Cambridge University Press, OCLC: 1040274801. [ Links ]
Moreno, Alejandro (2003), El votante mexicano: Democracia, actitudes políticas y conducta electoral, Ciudad de México: Fondo de Cultura Económica. [ Links ]
Morgenstern, Scott (2017), Are Politics Local?: The Two Dimensions of Party Nationalization around the World, Nueva York: Cambridge University Press. [ Links ]
Morgenstern, Scott, Noah Smith y Alejandro Trelles (2017), “How Party Nationalization Conditions Economic Voting”, Electoral Studies, 47, pp. 136-145. [ Links ]
Morgenstern, Scott y Richard F. Potthoff (2005), “The Components of Elections: District Heterogeneity, District-Time Effects, and Volatility”, Electoral Studies, 24(1), pp. 7-40. [ Links ]
Morgenstern, Scott, Stephen M. Swindle y Andrea Castagnola (2009), “Party Nationalization and Institutions”, The Journal of Politics, 71(4), pp. 1322-1341. [ Links ]
Mustillo, Thomas (2018), “Floating Voters and the Rise of New Left Parties: Electoral Volati lity During Party System Transformation”, Latin American Politics and Society, 60(3), pp. 1-26. [ Links ]
Mustillo, Thomas y Sarah A. Mustillo (2012), “Party Nationalization in a Multilevel Context: Where’s the Variance?”, Electoral Studies, 31(2), pp. 422-433. [ Links ]
Nacif, B. (2002), “Understanding Party Discipline in the Mexican Chamber of Deputies: The Centralized Party Model”, Legislative Politics in Latin America, pp. 254-284. [ Links ]
Pennings, Paul y Reuven Y. Hazan (2001), “Democratizing Candidate Selection: Causes and Consequences”, Party Politics, 7(3), pp. 267-275. [ Links ]
Poiré, Alejandro (2005), “Follow the Money: Local Public Funding and Internal Party Transfers in 2003”, en Mathew Shugart y Jeffery Weldon (eds.), What Kind of Democracy Has Mexico? La Jolla: UCSD-Center for US-Mexican Studies. [ Links ]
Reynolds, Andrew (1999), Electoral Systems and Democratization in Southern Africa, Nueva York: Oxford University Press. [ Links ]
Rosas, Guillermo y Joy Langston (2011), “Gubernatorial Effects on the Voting Behavior of National Legislators”, The Journal of Politics, 73(2), pp. 477-493. [ Links ]
Samuels, David (2002), “Presidentialized Parties: The Separation of Powers and Party Organization and Behavior”, Comparative Political Studies, 35(4), pp. 461-483. [ Links ]
Samuels, David (2003), Ambition, Federalism, and Legislative Politics in Brazil, Nueva York: Cambridge University Press. [ Links ]
Schattschneider, Elmer E. (1960), The Semisovereign People: A Realist’s View of Democracy in America, Nueva York: Holt, Rinehart and Winston, OCLC: 551028514. [ Links ]
Stepan, Alfred C. (2001), Arguing Comparative Politics, Nueva York: Oxford University Press. [ Links ]
Stokes, Donald (1967), “Parties and the Nationalization of Electoral Forces”, en William N. Chambers y Walter D. Burnham (eds.), The American Party Systems: States of Political Development, Nueva York: Oxford University Press. [ Links ]
Strøm, Kaare (1997), “Rules, Reasons, and Routines: Legislative Roles in Parliamentary Democracies”, Journal of Legislative Studies, 3(1), pp. 155-174. [ Links ]
Zellner, Arnold (1962), “An Efficient Method of Estimating Seemingly Unrelated Regressions and Tests for Aggregation Bias”, Journal of the American Statistical Association, 57(298), pp. 348-369 [ Links ]
1See also Morgenstern and Potthoff (2005).
2 Lupu (2015) modifies the estimation proposed by Bartels (1998) to incorporate the effect of the province variance in Argentina.
Received: June 13, 2019; Accepted: April 07, 2020










texto en 


