1. Introducción
El comportamiento del mercurio en el suelo depende de algunas propiedades físicas y químicas de este medio. El pH controla la movilidad de los metales, ya que la mayoría son más móviles en condiciones ácidas (Bradl, 2005). Por otro lado, el potencial redox y la salinidad son factores que pueden incrementar la movilidad de los metales (Bradl, 2005). Los cloruros pueden formar especies solubles con el mercurio debido a su afinidad, reduciendo la retención de mercurio inorgánico (Kabata-Pendias, 2010). La materia orgánica, arcilla y capacidad de intercambio catiónico favorecen la acumulación, fijación e inmovilización del mercurio (Šípková et al., 2016). Los carbonatos pueden influir en la retención del mercurio en forma de cinabrio (HgS), limitando su solubilidad debido a la neutralización de la acidez (Higueras et al., 2003). Los sulfatos pueden precipitar en sulfato de calcio ocasionando la neutralización de la acidez originada por la oxidación de sulfuros (Ramos-Arroyo y Siebe-Grabach, 2006).
Algunos métodos estadísticos como correlación, análisis de regresión lineal y análisis de regresión múltiple se han utilizado para establecer la relación existente entre la concentración de mercurio total y las propiedades físicas y químicas del suelo (Wang et al., 2009; Sharma y Raju, 2013). No obstante, existen técnicas alternas que permiten establecer sus relaciones, como el análisis de regresión con árboles de decisión (CART, por sus siglas en inglés). Los CART se han empleado para predecir contaminantes y propiedades físicas y químicas del suelo (Henderson et al., 2005; Kheir et al., 2013), para el modelado de la sorción y retención de metales en el suelo (Vega et al., 2009; Peng et al., 2016) y para identificar posibles relaciones causales en una variedad de datos ambientales (Bennett et al., 2006; Pesch et al., 2011).
Las ventajas de emplear CART son que las suposiciones que se requieren para el uso apropiado de estadísticas paramétricas, como la distribución del espacio y la estructura del clasificador no requieren ser satisfechas. Además, se usan algoritmos eficaces para hacer frente a la situación de valores atípicos y faltantes para que no influyan en los modelos, los cuales se basan en interacciones entre las variables de respuesta, pero sin hipótesis de linealidad (Rothwell et al., 2008). Por lo tanto, los CART son procedimientos no paramétricos que construyen un conjunto de reglas de decisión para la identificación de variables de respuesta de un grupo (Breiman et al., 1984).
Es importante conocer la distribución espacial del mercurio ya que determina el grado de contaminación que podría encontrarse en el ambiente circundante (Webster y Oliver, 2007). El transporte de partículas finas por el aire durante la extracción del metal es un mecanismo de contaminación de las áreas cercanas a las minas (Loredo et al., 1999). Por su parte, la erosión hídrica favorece la re-movilización del mercurio en la capa superficial del suelo transportándolo en los sedimentos y ocasionando su dispersión en la red de drenaje (Almeida et al., 2005). De tal manera que los terreros de mina enriquecidos con este metal y expuestos a cielo abierto favorecen el transporte del contaminante por acción del viento y la lluvia hacia los suelos.
Los métodos geoestadísticos se han empleado satisfactoriamente para evaluar la distribución espacial del mercurio y otros elementos pesados (Aelion et al., 2009; Oyeyemi et al., 2017), tomando en cuenta la autocorrelación o dependencia espacial de los datos (Rossi et al., 1992). Para cumplir tal propósito primero se evalúa su estructura espacial que se describe usualmente mediante un variograma experimental, el cual es básicamente una gráfica de la semivarianza entre pares de observaciones contra su distancia en un espacio geográfico. Un variograma se define mediante modelos teóricos permisibles (exponencial, esférico, logarítmico, etc.) y los parámetros sill (la diferencia del promedio al cuadrado de dos observaciones independientes), rango (la distancia máxima en la cual los pares de observaciones se pueden influenciar o están autocorrelacionados) y nugget (la varianza dentro de una unidad de muestreo) (Wagner, 2003). Una vez que la estructura de autocorrrelación espacial se ha determinado con el variograma es posible hacer una interpolación con la técnica de kriging para predecir la distribución espacial del mercurio y las propiedades físicas y químicas del suelo (Goovaerts, 1998; Oyeyemi et al., 2017). En México, el mercurio se explotó como cinabrio (sulfuro de mercurio) teniéndose registros de producción de 1891 hasta 1995 (Yarto-Ramírez et al., 2004). El distrito minero de San Joaquín ubicado al sur de la Sierra Gorda queretana tuvo un auge importante en la década de los sesentas y setentas del siglo pasado. Este distrito produjo hasta 3.9 toneladas semanalmente, logrando el primer lugar en producción a nivel nacional, lo que permitió que México llegara a ocupar el cuarto lugar a nivel mundial (Langenscheidt, 2006). Esta actividad dejó jales a cielo abierto en el distrito minero debido a que en esa época no había regulación ambiental. Actualmente, una parte significativa de mercurio permanece aún en el ambiente y es primordial evaluar la magnitud de su dispersión (Hernández-Silva, 2009).
Para llevar a cabo esta investigación se hicieron las siguientes preguntas: ¿cuáles son las propiedades del suelo más asociadas al mercurio?, ¿cuál es la distribución espacial de las propiedades del suelo y las concentraciones de mercurio en el mismo? y ¿cuáles son las áreas prioritarias para la remediación de suelos contaminados con mercurio? Para responder dichas preguntas, este trabajo tuvo como objetivo emplear el análisis CART y métodos geoestadísticos.
2. Materiales y Métodos
2.1. Descripción del área de estudio
La región minera de San Joaquín se ubica al sur de la Sierra Gorda de Querétaro, México, comprendiendo 172 km2 entre las coordenadas 99º40’ y 99º30’ longitud W y 21º10’ y 20º50’ de latitud N. Las características fisiográficas y morfológicas de la región presentan un fuerte contraste entre elevadas cumbres, cuyas cúspides rebasan los 3000 m, y profundas depresiones a 900 m, donde corren las principales corrientes de agua (Martínez-Reyes et al., 2009). Existen climas desde el templado subhúmedo, semiseco y semicálido subhúmedo. La temperatura media anual es de 14°C y la precipitación media anual de 800 mm. La variación de altitudes origina una amplia variación de ambientes. Las unidades de suelo predominantes son Luvisol crómico, Cambisol crómico, Regosol calcárico y Leptosol (INEGI, 1989). La vegetación presente es bosque mesófilo de montaña, bosque caducifolio y bosque de pino-encino, así como matorral submontano y xerófilo (Rzedowski, 1978).
2.2. Esquema de trabajo
El estudio se realizó con base en un procedimiento que permite establecer las relaciones del mercurio total con las propiedades del suelo mediante el análisis CART, para posteriormente analizar la tendencia estadística entre dichas propiedades. A continuación, se aplicaron métodos geoestadísticos para conocer espacialmente la distribución de las propiedades del suelo. Finalmente, se usaron sistemas de información geográfica para la integración de las propiedades a nivel espacial, permitiendo la interpretación del comportamiento de mercurio en el área de estudio.
2.3. Sitios de muestreo
La delimitación del área de estudio se realizó mediante el criterio de cuenca hidrológica, considerándola como marco de referencia para la selección de los sitios de muestreo (Hernández-Silva et al., 2009). Debido a la complejidad del relieve abrupto y accidentado, así como a las pocas vías de comunicación (caminos), el diseño de muestreo se realizó en función de la distribución espacial de los atributos más representativos del área de estudio. El muestreo de suelos se hizo en suelos agrícolas y forestales, suelos con incorporación de terreros de mina y en partículas de suelo (sedimentos) transportadas a los arroyos y pequeñas terrazas aluviales cercanas a las minas, con la finalidad de conocer las vías de dispersión del contaminante. La extensión de muestreo comprendió aproximadamente 100 km2.
Cada sitio de muestreo de suelos representó una muestra compuesta de cinco submuestras a distancias de 50 m cada una, y una profundidad de 0-25 cm. Cinco muestras de sedimentos fueron colectadas en un segmento de 100 m, obteniendo una muestra compuesta del segmento a lo largo de los arroyos y pequeñas terrazas aluviales. De cada sitio se colectó 1 kg de muestra y el traslado de éstas se hizo en frío (mediante hieleras hasta el laboratorio). En total se colectaron 102 muestras y su distribución puede apreciarse en la Figura 1. Martínez-Trinidad et al. (2013) presentan de manera detallada el análisis del contenido de mercurio total en el ambiente (uso de suelo, agua potable, agua de lluvia, cultivo de maíz).
2.4. Análisis de laboratorio
2.4.1. Mercurio total
Las muestras colectadas se secaron a temperatura ambiente y se tamizaron en malla 10 (2 mm). Una parte de éstas se molió con un mortero para obtener una muestra homogénea y fina. De cada muestra se pesó 0.1 g por triplicado y se colocó en el analizador avanzado de mercurio AMA-254 de medición directa, el cual emplea la técnica de incineración generando vapor de mercurio. El límite de detección del equipo es 0.01 ng en el caso de la muestra de 0.1 g (0.1 ppb). La solución patrón de mercurio fue una solución monoelemental de BDH, grado espectro. La calibración del equipo se hizo con estándares de MOSTAR Hungarian stream sediment standard, Slovakian reference material (ISE 982) y WEPAL monitor simple (ISE 921). Los parámetros de medición fueron: longitud de onda 253.65 nm, detector diodo de silicio UV, oxígeno como gas portador, presión de entrada 200-250 kpa, velocidad de flujo 200 ml/min y 5 min como tiempo de análisis (Bartha y Varga-Berna, 2002).
2.4.2. Propiedades físicas y químicas del suelo
Las muestras de suelo se procesaron para determinar las siguientes propiedades: textura por el método de Bouyoucos; pH, en agua con una relación suelo-agua 1:2 y en el extracto de saturación, con un potenciómetro BECKMAN; conductividad eléctrica con un conductímetro CORNING; materia orgánica por el método de Walkley y Black (Etchevers-Barra, 1988); potencial redox con un equipo ORP Meter RE300; y capacidad de intercambio catiónico con el método de versenato. Se prepararon pastas de saturación para la obtención de extractos y evaluar carbonatos, bicarbonatos y cloruros con titulación volumétrica, y los sulfatos mediante colorimetría. Cada siete muestras se colocaron blancos con agua destilada para comprobar que los materiales utilizados no presentaban interferencias en los análisis, para detectar algún error en el análisis y para corroborar el buen funcionamiento de los equipos. Los procedimientos de laboratorio se realizaron considerando la Norma Oficial Mexicana 021 (2000).
2.5. Regresión con árboles de decisión
El algoritmo empleado fue el CART, el cual crea árboles de decisión binarios (Breiman et al., 1984; Rothwell et al., 2008). Este análisis se elaboró con la base de datos de los análisis de laboratorio para establecer la relación del mercurio total con las propiedades del suelo. El CART consistió de cuatro etapas: a) construcción del árbol, b) detención del proceso de crecimiento del árbol, c) podado del árbol haciéndolo más sencillo y dejando sólo los nodos más importantes y, por último, d) selección del árbol óptimo con capacidad de generalización (Breiman et al., 1984).
La construcción del árbol comienza en el nodo raíz, que incluye todos los registros de la base de datos. A partir de este nodo se busca la variable más adecuada para una partición binaria. Para elegir la mejor variable debe utilizarse una medida de pureza en la valoración de 2 nodos posibles (la variable que consigue una mayor pureza se convierte en la utilizada en primer lugar, y así sucesivamente). La función de partición en este análisis fue la devianza (entropía cruzada binaria), que es equivalente a la suma de cuadrados de los errores y está dada por el negativo del doble del logaritmo de la función de verosimilitud (Varmuza y Filzmoser, 2009).
En el proceso sucesivo de construcción y crecimiento del árbol se debe asignar una clase a cada nodo por medio de una función de asignación, en la que se tiene en cuenta la probabilidad a priori asignada a cada clase. El crecimiento del árbol continúa hasta que se produce cualquiera de estas 3 posibilidades: sólo hay una observación en cada nodo, todas las observaciones tienen la misma probabilidad asignada en los nodos, o se ha fijado un límite externo de profundidad del crecimiento del árbol.
El árbol complejo se simplifica para que alcance la capacidad de generalización, por lo cual se necesita utilizar un método de poda de árbol. La opción parámetro de complejidad se empleó para el podado del árbol con un valor de 0.01; es decir, la reducción en la devianza del nodo terminal debe ser menor del 1% de la devianza inicial. El mejor árbol es el que consigue menor error en el ajuste de los registros utilizados en su proceso de análisis. Se utilizó la validación cruzada (implementado en los programas de mayor utilización) debido a que hace un remuestreo, es decir, aprovecha el total de la información disponible en la base de datos sin prescindir de una parte de sus registros.
El paquete “tree” del software R versión 2.15.2 fue empleado para elaborar el CART (R Core Team, 2016; Ripley, 2016).
2.6. Métodos geoestadísticos
La primera etapa consistió en el análisis exploratorio de datos con el propósito de identificar variabilidad, forma y observaciones extremas. Se utilizaron diagramas de caja y bigotes para identificar observaciones atípicas y realizar su recorte. Los histogramas y la kurtosis se emplearon para conocer si las variables presentaban distribución normal. La transformación logarítmica fue necesaria en la mayoría de las variables con el propósito de normalizarlas.
La segunda etapa se basó en el análisis de la variación espacial mediante la construcción de un variograma experimental, modelos teóricos y su validación de ajuste (Goovaerts, 1998; Oyeyemi et al., 2017). El variograma experimental se realizó con los valores de las variables determinadas sobre la unidad de muestreo; los modelos teóricos probados con la validación cruzada fueron esférico, exponencial, lineal, logarítmico y gausiano.
La tercera etapa fue la predicción espacial con kriging, este interpolador genera los resultados más próximos a las observaciones reales (Webster y Oliver, 2007). Los errores estándar se emplearon para seleccionar el mejor kriging (ordinario, simple ó universal) con base en la precisión de la interpolación. El análisis geoestadístico se realizó con los paquetes “gstat” y “geoR” del software R versión 2.15.2 (Pebesma y Graeler, 2016; R Core Team, 2016; Ribeiro y Diggle, 2016).
2.7. Asociación de mapas con sistema de información geográfica
La asociación de mapas tiene la finalidad de integrar al mercurio total con las propiedades del suelo resultantes del análisis CART, permitiendo así analizar la distribución espacial del mercurio total a diferentes concentraciones y establecer sus relaciones con las propiedades del suelo. Este procedimiento consistió en dos partes: la primera fue que cada cobertura de las propiedades de interés se clasificara en rangos; en el caso del mercurio se consideró la NOM-147 (SEMARNAT, 2004), mientras que para las propiedades del suelo fue la NOM-021 (SEMARNAT, 2000), como apoyo también se usó la mediana de los datos. La reclasificación de los rangos de las coberturas obtenidas en el análisis geoestadístico se realizó con el módulo “reclass” de la herramienta “spatial analyst tool” del software ArcGIS 10.1 (Environmental Systems Research Institute Inc., 2006). La segunda parte contempló la combinación de las coberturas, en primera instancia de dos coberturas entre sus entidades poligonales con sus respectivas propiedades y rangos; las áreas donde las entidades se superponen se separaron en nuevas entidades con la información de ambas propiedades. El proceso anterior se desarrolló sucesivamente con las demás coberturas de cada propiedad (Figura 2). Se aplicó el módulo matemático “combinatorial” de la herramienta “spatial analyst tool” del software ArcGIS 10.1 para el agrupamiento de las propiedades y la obtención del mapa final.
3. Resultados y Discusión
3.1. REGRESIÓN CON ÁRBOLES DE DECISIÓN
Como se observa en la Figura 3, la regresión con árboles de decisión permitió identificar relaciones del mercurio total con algunas propiedades químicas del suelo. La primera división de los datos se originó con la partición del árbol (nodo raíz) en el nivel de los bicarbonatos, ya que presentó la máxima pureza en los nodos. Los contenidos más altos de mercurio (> 77 mg/kg) se relacionan con las concentraciones de bicarbonatos superiores a 256 mg/kg, mientras que los contenidos de mercurio < 76 mg/kg, fueron relacionados con las menores concentraciones de bicarbonatos (< 255 mg/kg). Dentro de esta rama, los niveles de pH > 8.5 se relacionan especialmente con contenidos de mercurio superiores a 64 mg/kg, mientras que los pH < 8.4 concuerdan principalmente con contenidos de mercurio menores a 63 mg/kg. La siguiente rama fue el potencial redox, la mayor capacidad oxidativa (> 171 mV) se relaciona para contenidos de mercurio menores a 49 mg/kg, teniendo menor capacidad oxidativa (< 170 mV) los contenidos de mercurio mayores a 50 mg/kg. Finalmente, la última rama fue establecida por la materia orgánica, mostrando que, niveles mayores de 5.5 % de materia orgánica se relacionan con los contenidos de mercurio mayores a 19 mg/ kg; mientras que, niveles menores de 5.4 % de materia orgánica se relacionan con los contenidos de mercurio menores a 18 mg/kg.Con base en lo mencionado, se obtuvieron cuatro relaciones de mercurio total (Hgt) con diferentes propiedades del suelo: los bicarbonatos (HCO3-), el pH, el potencial redox (Eh) y la materia orgánica (MO). La tendencia general del resultado de la regresión con árboles de decisión fue la siguiente: 1) > [Hgt] : > contenido de HCO3-; 2) > [Hgt] : > nivel de pH; 3) > [Hgt] : < nivel de Eh; 4) > [Hgt] : > contenido de MO. Algunos estudios muestran relaciones positivas significativas del mercurio con el contenido de materia orgánica (Ravichandran, 2004). Sin embargo, para esta misma propiedad y otras como el pH y carbonatos, el patrón de correspondencia es muy variable, inclusive se ha obtenido una relación muy baja con la materia orgánica (Wang et al., 2009), relaciones negativas significativas con pH y carbonatos (Martin et al., 2006) ó ninguna relación significativa para pH y carbonatos (Gil et al., 2010).

Figura 3 Árbol de clasificación y regresión para predecir las propiedades químicas más asociadas al contenido de mercurio total en el suelo. Hgt = mercurio total (mg/kg), HCO3-= bicarbonatos (mg/kg), pH en el extracto de saturación, Eh = potencial redox (mV), MO = materia orgánica (%).
La estadística descriptiva, de las propiedades químicas que fueron identificadas mediante el análisis CART, se muestra en la Tabla 1. El contenido de mercurio total en las muestras fue muy amplio (0.21 - 4164 mg/kg), obteniéndose concentraciones cercanas y superiores al límite máximo permitido por la NOM-147 (SEMARNAT, 2004) para uso agrícola (23 mg/kg) e industrial (310 mg/kg). De acuerdo a los valores de referencia de la NOM-021 (SEMARNAT, 2000), los contenidos de materia orgánica oscilan principalmente en contenidos altos (3.7%), mientras que el pH en extracto de saturación fluctuó principalmente como moderadamente alcalino (pH 7.6). Sin embargo, algunas muestras presentaron pH fuertemente ácido (pH < 5) ó fuertemente alcalino (pH > 8.5). Los valores obtenidos de potencial redox en las muestras (135 - 278 mV) se ubicaron en el rango intermedio del proceso de oxidación-reducción (+400 a -100 mV) propuesto por la US-EPA (1986). Aunque no hay una clasificación específica para los aniones solubles, tanto en la NOM-021 (SEMARNAT, 2000) como en alguna otra clasificación reportada, se observó que los bicarbonatos prevalecieron principalmente en 122 mg/kg.
Tabla 1 Estadística descriptiva de la concentración de mercurio total y las propiedades químicas del suelo.
| Propiedad | Media | DE | Mediana | Mínimo | Máximo | IC | Error máximo |
| Hgt (mg/kg) | 182 | 565 | 14.9 | 0.21 | 4164 | (72 - 291) | 109 |
| MO (%) | 4 | 2.6 | 3.7 | 0.12 | 9.1 | (3.5 - 4.5) | 0.5 |
| Arcilla (%) | 28.2 | 10.9 | 28 | 8 | 54.4 | (26 - 30) | 2.1 |
| CIC (cmolc/kg) | 27 | 13.7 | 25.1 | 7.6 | 78 | (24 - 29) | 2.6 |
| CO3 2- (mg/kg) | 102 | 78 | 84 | 19.8 | 615 | (86 - 117) | 15 |
| HCO3 - (mg/kg) | 158 | 134 | 122 | 19.5 | 707 | (132 - 184) | 26 |
| Cl- (mg/kg) | 124 | 74 | 102 | 25.5 | 382 | (109 - 138) | 14 |
| SO4 2- (mg/kg) | 216 | 206 | 96 | 13.4 | 984 | (176 - 256) | 40 |
| pH extsat | 7.5 | 0.9 | 7.6 | 4.1 | 9.2 | (7.3 - 7.6) | 0.2 |
| Redox (mV) | 213.5 | 41.4 | 230 | 135 | 278 | (205 - 221) | 8 |
DE = desviación estándar; IC = intervalos de confianza al 95 %; Hgt = mercurio total; MO = materia orgánica; CIC = capacidad de intercambio catiónico; CO3 2- = carbonatos; HCO3 - = bicarbonatos; Cl- = cloruros; SO4 2- = sulfatos; extsat = extracto de saturación.
Las propiedades del suelo que no fueron identificadas en el análisis CART fueron arcilla, capacidad de intercambio catiónico, carbonatos, cloruros y sulfatos (Tabla 1). La capacidad de intercambio catiónico osciló en contenidos altos (25.1 cmolc/ kg) de acuerdo a la NOM-021 (SEMARNAT, 2000). Los contenidos de arcilla predominaron alrededor del 28%, los cuales pueden considerarse altos y podrían influir en el comportamiento del suelo (Oades, 1993). En el caso de los carbonatos, cloruros y sulfatos no hay una clasificación reportada como se mencionó anteriormente, sus valores oscilaron en 84 mg/kg, 102 mg/kg y 96 mg/kg respectivamente.
3.2. Mapas con modelos geoestadísticos
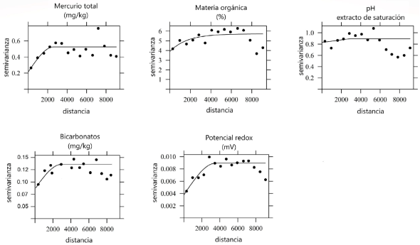
Los parámetros geoestadísticos de las propiedades químicas de materia orgánica, pH, potencial redox, bicarbonatos y de mercurio total se muestran en la Tabla 2 y Figura 4. El mercurio total y las propiedades del suelo presentaron efecto pepita (nugget), es decir, las semivarianzas no iniciaron cercanas al origen. Esto puede deberse a la escala de trabajo (Gallardo, 2006). La continuidad espacial quedó reflejada en la tasa de crecimiento de la semivarianza de acuerdo a los aumentos de la distancia de muestreo (rango); el potencial redox, los bicarbonatos y el pH presentaron mayor continuidad espacial, en comparación con el mercurio total y la materia orgánica. Esta menor continuidad en el caso del mercurio total puede atribuirse a la incorporación continua del contaminante por los terreros de mina; y en el caso de la materia orgánica a las deposiciones de residuos orgánicos provenientes de los bosques. Wang et al. (2016) mencionan que los factores intrínsecos del sitio (topografía y material parental) y los antropogénicos (actividad minera y fundición) afectan la variabilidad espacial. Un parámetro importante en la evaluación de la estructura espacial mediante el semivariograma es el rango (Mulla y McBratney, 1999). Para este caso en particular, se obtuvo el promedio de los rangos de la Tabla 2 y se ingresó en la ecuación del tamaño de muestra (TM = área / (rango/2)2), dando como resultado un TM de 96, lo cual es congruente con lo seleccionado en el estudio. La dependencia espacial de los datos se evaluó mediante la relación nugget y sill (Cambardella et al., 1994). Todas las propiedades químicas tuvieron dependencia espacial moderada excepto el pH el cual es débil. La dependencia espacial del mercurio y materia orgánica concuerda con lo encontrado por Lado et al. (2008) y Cruz-Cárdenas et al. (2014), respectivamente. El comportamiento de los semivariogramas en relación al origen fue lineal, para lo cual Emery (2013) sugiere emplear modelos de tipo esférico y exponencial, lo cual concuerda con los empleados en este trabajo, a excepción del pH que se ajustó mejor al modelo lineal.
Tabla 2 Parámetros geoestadísticos de mercurio total y propiedades químicas del suelo.
| Parámetro | Mercurio total | Materia orgánica | pH | Bicarbonatos | Potencial redox |
|---|---|---|---|---|---|
| Nugget | 0.22 | 3.9 | 0.83 | 0.085 | 0.0039 |
| Sill | 0.52 | 5.6 | 0.9 | 0.14 | 0.009 |
| Rango | 2611 | 1659 | 2911 | 3254 | 3539 |
| Nugget:Sill | 0.42 | 0.7 | 0.92 | 0.61 | 0.43 |
| Modelo | Esférico | Exponencial | Lineal | Esférico | Esférico |
| Kriging | Ordinario | Universal | Ordinario | Ordinario | Ordinario |
| ME | -0.01 | -0.003 | -0.0001 | 0.0001 | 0.002 |
| RMSE | 0.6 | 2.29 | 0.9 | 0.353 | 0.082 |
| MSPE | 0.36 | 5.26 | 0.81 | 0.12 | 0.006 |
ME = error medio; RMSE = error cuadrático medio; MSPE = error de predicción estandarizado medio.
La precisión de interpolación, en función a los valores de error medio, error cuadrático medio y error de predicción estandarizado medio, dio como resultado al kriging ordinario para el mercurio total, pH, bicarbonatos y potencial redox, mientras que para la materia orgánica fue el kriging universal.
El 46% del área de estudio muestra distribución de mercurio total superior a 23 mg/kg (Figura 5), que es el límite máximo permitido para uso agrícola, de acuerdo a la NOM-147 (SEMARNAT, 2004); de esta zona, un 3% corresponde a concentraciones mayores a 100 mg/kg. Los contenidos de materia orgánica que prevalecen son superiores al 3.5%, cubriendo el 71% del área total de estudio. En general, los pH son medianamente alcalinos (7.4 a 8.5) distribuyéndose en un 98% del área. En cuanto a los bicarbonatos, el 68% del sitio corresponde a los contenidos mayores de 120 mg/ kg. Finalmente, los potenciales redox mayores a 200 mV abarcan el 77% del área.
Las regiones con mercurio total superior a 23 mg/kg representan el 46% de la zona de estudio. Esto significa que de acuerdo a la NOM-147 (SEMARNAT, 2004) esta área requeriría alguna obra de remediación. Sin embargo, la predominancia de rocas carbonatadas en la región hace que los pH en suelos sean medianamente alcalinos en un 98% del sitio (7.4 a 8.5) y favorece la presencia de bicarbonatos en un 68% del área con cantidades superiores a 120 mg/kg, repercutiendo en la estabilización del mercurio total (Higueras et al., 2003). Martin et al. (2006) señalan que las mayores variaciones en las propiedades están determinadas por las unidades de litología y atribuidos a la composición del material parental.
Los bosques incorporan una gran cantidad de materia orgánica al suelo (Figueroa-Navarro et al., 2005). Aproximadamente el 56% de la zona de estudio presenta bosques de pino-encino y táscate con especies de Juniperus y Cupressus. Esta vegetación podría explicar los contenidos superiores a 3.5% de materia orgánica con una distribución en un 71% del área. La acumulación e inmovilización de mercurio en suelos forestales se le atribuye al contenido de materia orgánica presente en el horizonte orgánico (Lacerda et al., 2004; Ettler et al., 2007), de manera que a mayor contenido de materia orgánica, mayor será la capacidad de retención de mercurio.
Los valores obtenidos de potencial redox en las muestras (135 a 278 mV) se ubican en el rango intermedio del proceso de oxidación-reducción (+400 a -100 mV) propuesto por la US-EPA (1986). Adriano (2001) menciona que el mercurio alcanza sus mayores solubilidades en ambientes muy bien oxidados (350 a 400 mV). Aunque los potenciales redox sean superiores a 200 mV en un 77% del área, su efecto en la movilidad del mercurio podría ser disminuido por las propiedades de pH, carbonatos y materia orgánica.
Los valores del análisis CART difieren a los mencionados en los mapas geoestadísticos debido a que, en el primero, el análisis se hizo con la base de datos completa, mientras que en el segundo, hay procesamiento de los datos, como la exclusión de datos atípicos y el ajuste a un modelo esférico, lineal y exponencial. A pesar de esta diferencia, la Tabla 3 muestra las relaciones espaciales entre el comportamiento de las propiedades del análisis CART y los parámetros de los mapas geoestadísticos. Los valores indican que las mayores concentraciones de mercurito total se ubican en áreas con mayor contenido de bicarbonatos, pH, materia orgánica y menor contenido de potencial redox, mientras que las áreas con menores concentraciones de mercurio total sucede lo contrario.
Tabla 3 Sobreposición de mapas geoestadísticos de mercurio total con las propiedades edáficas.
| Relación | Área (ha) | % |
|---|---|---|
| Hgt > 70 ; HCO3 - > 134 | 654 | 4.3 |
| Hgt < 70 ; HCO3 - < 134 | 8605 | 56.1 |
| Hgt > 70 ; pH > 7.5 | 935 | 6.1 |
| Hgt < 70 ; pH < 7.5 | 10305 | 67.1 |
| Hgt > 70 ; Eh < 185 | 392 | 2.6 |
| Hgt < 70 ; Eh > 185 | 13261 | 86.4 |
| Hgt > 70 ; MO > 4.7 | 695 | 4.5 |
| Hgt < 70 ; MO < 4.7 | 10508 | 68.4 |
Área interpolada 15352 ha; Hgt = mercurio total (mg/kg); HCO3 - = bicarbonatos (mg/kg); Eh = potencial redox (mV); MO = materia orgánica (%)
3.3. Asociación de mapas con sistema de información geográfica
La Figura 6 muestra la asociación espacial del mercurio total con las propiedades químicas del suelo. Los contenidos de mercurio total > 100 mg/kg se relacionaron principalmente con: contenidos > 3.5% de materia orgánica, pH medianamente alcalino > 7.4, contenidos de bicarbonatos > 120 mg/kg y potenciales redox < 199 mV. Mientras que el mercurio total entre 24 y 99 mg/kg se asoció preferentemente con: los contenidos > 3.5% de materia orgánica y pH medianamente alcalino > 7.4, con potenciales redox tanto para mayores y menores de 200 mV y contenidos de bicarbonatos > 120 mg/kg.
Se identificaron tres escenarios para contenidos de mercurio total < 23 mg/kg:
Mercurio relacionado con < 3.4% de materia orgánica, pH medianamente alcalino > 7.4, bicarbonatos > 120 mg/kg y potenciales redox < 199 y > 200 mV.
Mercurio asociado a materia orgánica > 3.5%, pH medianamente alcalino > 7.4, bicarbonatos < 119 y > 120 mg/kg y potenciales redox < 199 y > 200 mV.
Mercurio vinculado con > 3.5 % de materia orgánica, pH neutro < 7.3, potencial redox > 200 mV y bicarbonatos < 119 mg/kg.
Considerando lo reportado sobre el comportamiento del mercurio ante ciertas propiedades químicas del suelo: la materia orgánica favorece su acumulación e inmovilización (Lacerda et al., 2004), los pH alcalinos y los bicarbonatos ayudan a su neutralización y estabilización (Higueras et al., 2003) y el potencial redox en ambientes muy bien oxidados benefician a su solubilidad (Adriano, 2001). Se podría indicar que las áreas con mercurio total superior a 100 mg/kg presentaron las mejores condiciones de retención e inmovilización del mercurio (materia orgánica > 3.5%; pH > 7.4; bicarbonatos > 120 mg/kg; redox < 199 mV). Las áreas de mercurio total entre 23 a 99 mg/kg y menores a 23 mg/kg mostraron variabilidad en algunas propiedades, pero con niveles muy adecuados para considerarse áreas no propensas a la movilidad del mercurio en el suelo.
Únicamente el 2% del área mostró pH menores a 7.3. Cabe señalar que cuatro muestras presentaron pH fuertemente ácido (< 5), lo cual podría deberse al origen de las muestras de tipo intrusivo composición granodiorítica (roca ácida), que de acuerdo al Servicio Geológico Minero (1998) solo se presenta en pequeñas proporciones dentro del área de estudio. Esta área presenta contenidos de mercurio menor a 23 mg/kg, por lo cual podría considerarse un área susceptible a la movilidad del mercurio en el suelo.
4. Conclusiones
Con base en el análisis CART, de las diez propiedades analizadas, la materia orgánica, el pH, los bicarbonatos y el potencial redox fueron relacionados en mayor grado con el mercurio total, en comparación con la capacidad de intercambio catiónico, la conductividad eléctrica, los carbonatos, los cloruros, los sulfatos y la arcilla.
Existe una correspondencia entre el resultado de la regresión con árboles de decisión y los mapas elaborados con métodos geoestadísticos, observándose que en donde existen las mayores concentraciones de mercurio total hay mayor cantidad de materia orgánica, pH y bicarbonatos, en cambio, en las menores concentraciones de mercurio total, hubo mayor nivel de potencial redox.
La integración espacial de las propiedades permitió distinguir la distribución en el suelo del mercurio total a diferentes concentraciones y su relación con el pH, la materia orgánica, los bicarbonatos y el potencial redox. El 46 % del área de estudio mostró concentraciones de mercurio total superior (23 mg/kg) a la NOM-147 (SEMARNAT, 2004). Sin embargo, los altos contenidos de materia orgánica favorecen la retención; un pH de neutro a alcalino, a la poca movilidad y los bicarbonatos, a la estabilización. Aunado a un potencial redox intermedio, la región de estudio podría considerarse estable a la movilidad del mercurio en el suelo.
Únicamente el 2% del área de estudio podría ser susceptible a la movilidad del mercurio en el suelo. La regionalización de la zona de estudio, con atributos específicos de propiedades químicas del suelo y del mercurio, permitió entender el comportamiento de este metal en el suelo e indicar las áreas prioritarias para futuros trabajos de remediación.










nueva página del texto (beta)







