Servicios Personalizados
Revista
Articulo
Indicadores
-
Citado por SciELO -
Accesos
Links relacionados
-
Similares en
SciELO
Compartir
Agrociencia
versión On-line ISSN 2521-9766versión impresa ISSN 1405-3195
Agrociencia vol.50 no.4 Texcoco may./jun. 2016
Socioeconomics
The usefulness of real options to assess fisheries investments: application to the fishery of hake (Merluccius spp.)
1Departamento de Administración de Empresas. Universidad de Cantabria (España). Avenida de los Castros s/n. 39005 Santander, Cantabria, España.
The high degree of uncertainty inherent to the price of the fishing resources and the investment to initiate the activity in the sector show that fisheries need an instrument of valuation of the viability of each project that helps them make adequate investment decisions. The Real Options Valuation helps valuate the flexibility in decisions and include the possibility of the temporary abandonment of the fishing activity if the price conditions are not favorable. This study applied the Real Options Valuation on the economic valuation of an investment for the purchase of ships for hake fishing (Merluccius spp.) in the port of Santander (Spain).The value through real options turned out to be higher than the value through the traditional method, therefore accepting the decision to invest, which would have been rejected using the second method. This result was maintained after the sensitivity analyses developed, which considered variations in the volatility of the price of the resource, in the risk-free interest rate and in the convenience fee. Also, the value of the investment, including the option of the temporary abandonment of the activity was adjusted to a greater degree to the real value observed later on. In particular, the value of the option of abandoning the activity temporarily implied an additional value of 42.4 % of the cash flows generated by its use. This study showed the need to apply real options for the adequate valuation of investment projects related to this sector.
Palabras clave: Renewable natural resources; fishing; Merluccius spp.; investment; net present value; real options
El grado alto de incertidumbre inherente al precio de los recursos pesqueros y la inversión para iniciar la actividad en el sector muestran que las empresas pesqueras necesitan un instrumento de valoración de la viabilidad de cada proyecto que les permita tomar decisiones adecuadas de inversión. La Teoría de Opciones Reales permite valorar la flexibilidad en las decisiones e incluir la posibilidad de abandono temporal de la actividad pesquera si las condiciones de precio no son favorables. En este estudio se aplicó la Teoría de Opciones Reales a la valoración económica de una inversión para la compra de buques destinados a la explotación de la pesquería de merluza (Merluccius spp.) del Puerto de Santander (España). El valor a través de opciones reales fue mayor al del método tradicional, aceptando por lo tanto la decisión de inversión, que con el segundo método se hubiera fechazado. Este resultado se mantuvo tras los análisis de sensibilidad desarrollados, que consideraron variaciones en la volatilidad del precio del recurso, en el tipo de interés sin riesgo y en la tasa de conveniencia. Además, el valor de la inversión incluyendo la opción de abandono temporal de la actividad se ajustó mejor al valor real observado a posteriori. En particular, el valor de la opción de abandono temporal de la actividad supuso un valor adicional de 42.4 % de los flujos de caja generados por la explotación de la misma. El estudio mostró la necesidad de aplicar opciones reales para la valoración adecuada de proyectos de inversión relacionados con este sector.
Palabras clave: Recursos naturales renovables; pesca; Merluccius spp.; inversión; valor actual neto; opciones reales
Introduction
The attention of economists on renewable natural resources is recent, and until the mid-20th Century, theoretical studied focused mostly on non-renewable resources, since, given the intensity and abundance of renewable resources, there was a predominant idea of the action of humans on them was of little importance. This perception began to change after World War II, due to the high technological development and the increase in pressure on renewable natural resources. In this way, in fishing, the technological innovations brought about a greater mobility of vessels, which, with the increase in their radius of action, the efforts of fisheries on the fish populations also increased, leading to overfishing in most fisheries (Varela et al., 2003).
Fishing plays a relevant part in the economies of some member states of the EU, including Spain, yet overfishing in many fishing populations makes the fishing sector face an uncertain future as a consequence of the reductions in the capture and loss in profitability of the sector (Cordón and García, 2014).
The scientific progress in the economic analysis of fisheries revolve around a series of elements grouped into three sections: institutional conditions, biological conditions, and factors related to economic valuations (Varela and Garza, 2002). The acceptance or rejection of an investment project may be conditioned by the technique used for its evaluation. The classic valuation models provide a rigidness in calculation such that they underestimate the value of an investment, since they only consider the expected cash if such an investment is undertaken; however, it does not consider the benefits derived from other strategically fundamental factors, such as the operational flexibility or the right to decide according to the circumstances of the market (Weston and Copeland, 1995; Brealey and Myers, 2006). In this sense, the analysis of the investment from the Real Options Valuation faced with the traditional approach of cash flow discounts has given rise to a new way of understanding the evaluation and selection of business investments. Acknowledging the flexibility and the strategic side of the investments that characterizes the focus of real options helps overcome, to a great extent, the limitations of the criterion of the net present value (NPV), used in business practices (Andrés et al., 2006; Valencia-Sandoval et al., 2010).
The methodology of real options to value renewable natural resources was applied by Engel and Hyde (2003), Odening et al. (2005), Rocha et al. (2006), and Putri and Fujiwara (2014). In the case of a fishery, several factors move the use of the Theory of Real Options (Murillas and Chamorro, 2006; Fenichel et al., 2008; Ewald et al., 2015). In the first place, the investment costs of a fishery are irreversible, since they are allocated mainly for the construction or purchase of ships that cannot be used in other activities. Secondly, the stock and the price of the fishing resource are highly uncertain. Likewise, the decision to invest/produce in a fishery can be postponed or stopped.
The importance of fishing for Spain, which is third place in terms of European fishing fleets, and first in captures, highlights the need to properly value the investments related to fisheries in the midst of uncertainty, reductions of total catches, and reductions in community aid for fishing in Spain. There was a decrease of about 46 % in the number of ships, between 1994 and 2012, which reduced the fishing capacity by 40 %, and a decrease of 30.2 % in total catches of the Spanish fleet between 1994 and 2012 (Cordón and García, 2014). The amount of community aid to the Spanish fishing industry fell by 48.4 % from the period of 2000 to 2006 to that of 2007 to 2013.
Considering the high levels of uncertainty inherent to the price of the fishery resource, and to respond to the concerns and needs of fishing businesses and institutions implied in the administration of this resource, the aim of this work was to offer the businesses of the sector and the administration an instrument with which to value the feasibility of each fishing project that may help them measure and judge their situation, with the use of the Theory of Financial Options in this sector. This objective will allow: 1) simplify the administration of strategic investments in a changing and uncertain fishing sector and, 2) make decisions with greater flexibility regarding the ideal moment to carry out an investment or the possibility of abandoning the investment project as it is being carried out, in order to reduce losses.
This study carried out a Real Options Valuation on the economic value ofan investment aimed at hake fishing (Merluccius spp.) to respond to the objective. The investment to be valuated consists in the purchase of three ships on December 31st, 2007 to be used for catching hake in the port of Santander, located in the region of Cantabria, North of Spain, for 7 years.
According to data from the Cantabrian Institute of Statistics (Instituto Cántabro de Estadística-ICANE), the port of Santander accounts for 2 % of the fishing supplied in Cantabria (in value). For hake, it accounts for 88 % in amount and 85 % in value. The supplies of this species were 4 114 t, worth 11 179 889.5 €, between 2007 and 2014. An increase of 42 % was also observed in this period in terms of amount, and 19 % in value.
In this context of volatility the net present value of the project, obtained using the traditional methodology of cash flow discount, was compared with that of the methodology of real options, which includes flexibility in administration to the evaluation of the investment project, and the conclusion concerns which model best fit the observed reality, and therefore, the most valid model for making decisions regarding investment in the sector.
The option analyzed was that of temporarily abandoning the activity, the importance of which, in natural resource industries, such as mining or fishing, was analyzed by Brennan and Schwartz (1985), McDonald and Siegel (1985, 1986), Trigeorgis and Mason (1987), and Pindyck (1988).
In this type of industries it is possible to temporarily stop all activities when the income obtained is insufficient to cover costs, and resume production when the situation is restored. The analysis can extend to a series of closures and reopenings, depending on which cost is lower, or higher, to the variable costs[1].
The possibility of extracting the fishery resource or temporarily abandoning the activity in a particular period has an analogy with a European call option (McDonald and Siegel, 1985). The ownership of a vessel and the corresponding rights for fishing give the shipowner the right to extract the resource (though not the obligation) incurring into a variable production cost (similar to the price of exercising the option), and receiving the sale price of the resource (similar to the price of the underlying asset). The shipowner will not exercise its right of exploitation if at the time of expiry the cost of production is higher than the price of the underlying asset, or in other words, it will temporarily stop its activity if the variable production costs are higher than the sale price of the resource, and will resume catching when such conditions change.
As a consequence, the hypothesis was that the volatility of the price of fish does not make the investment attractive, but if it does give flexibility to the catching process, and operations can allowed to stop temporarily in adverse price conditions, its resumption when they are favorable will make the investment in fishing profitable.
This study will help broaden the investigation on the Theory of Options in aquaculture (Ewald et al., 2015), in the introduction of fish species to new environments (Fenichel, 2008), or the theoretical modeling of a fishing system based on non-transferrable invididual fees in a context of administration flexibility (Murillas, 2004), applying it to the case of hake (Merluccius spp.) fishing.
Materials and Methods
Data
In order to value real investment projects, one must have the primary information that helps quantify the different variables of the valuation model. This study used the following as information sources: the Organization of Producers of Deep Sea Fishing of Cantabria (Organización de Productores de Pesca de Cantabria - OPECA); the fish auction hall of Santander (lonja de Santander), and the Bank of Spain (Banco de España). In this way, based on real information, it was possible to simulate a fictitious investment by a shipowner.
The particular investment up for valuation consisted in the purchase, in 2007, of four gillnet fishing vessels by a shipowner, with fishing licenses, for the capture of hake between 2008 and 2014. The initial payment was of 4 278 818 € (1 069 704.5 € per vessel).
The calculation of the variable costs of the use of an average gillnet fishing vessel of the port of Santander included independent professional services, transportation, premium and insurance, supplies (diesel, oil, phone, water, electricity), other services, other fees, wages and salaries, social security by the company, other financial expenses, purchase of goods (ice, groceries, nets, boxes, naval effects) and expenses in RDI. According to data from OPECA, the total operation costs amounted to 890 323.31 € in 2007, with the final operation cost for every kilogram of hake fished being 3.28 € kg-1. The average annual growth rate of the operation costs in the last five years was 2.64 %. Based on this growth rate, operation costs were calculated for the rest of the practices of the period analyzed.
Regarding the price of the fishery resource, the average price in 2007 of the auctions carried out in the fish auction hall of Santander was taken as a starting point; it amounted 4.36 € kg-1 and according to the option valuation model hypotheses, it varied in the later years, following a Brownian geometric process[2].
The stock of the fishery resource was also calculated, taking as a reference the hake catches auctioned in the fish auction hall of Santander, considering as the amount of catch as an average for the period analyzed the equivalent to the average value observed during the 7 years before the exploitation of the project analyzed. Considering that the investment presented of the acquisition of four vessels would have, depending on its fishing rights and its capacity, the possibility of catching 60 % of the total, a value was established for the amount of resource captured of 359 012.4 kg.
The risk-free rate was considered exogenous with a value of 3.50 %, which corresponds to the average interest rate of the five-year bonuses issued by the Spanish government during the five years before the decision of investment analyzed.
Methods
The investment to be analyzed was carried out under conditions of uncertainty regarding the price of the fishery resource. In each one of the j periods of exploitation of the resource, the shipowner made a similar contingent decision: to decide whether to extract the resource or not at the beginning of the j periods of exploitation, based on the changing economic and biological conditions, which influence on the price of the resource. The shipowner had, in each one of the j periods that the concession lasted, the right, but not the obligation, to extract the resource. This right has a value, known in financial literature as the option to call [3].
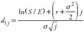
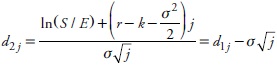
The analysis included the formula by Black and Scholes (Black and Scholes, 1973 and Merton, 1973) (1). For each j period of exploitation, we obtained the value of the corresponding call, which takes into account the cash flow for each period, and also the option of temporarily abandoning the exploitation of the resource:
where N(.) is the function of distribution of probabilities accumulated from a normal variable with an average of zero and variance of one, which is key in this valuation; T is the time until expiry (7 years, with December 31st, 2007 as the date in which the valuation of future production was carried out); S is the price of the underlying asset (price of the fishery resource); E is the strike price on the date of expiry of the option (variable exploitation costs); r is the risk-free rate; s is the volatility of the price of the underlying asset, measured as a standard deviation; j is each of the moments under analysis; and e is the exponential.
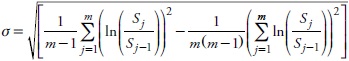
The calculation of the volatility of the underlying asset used the formula of historical volatility shown below (4), obtaining a value of 8.31 %. Given a sample of "m+1"[4] consecutive annual prices for hake (S j ), annual volatility is (Hull, 2002, p. 269):
The price in cash for the resource extracted, or output, S, was given by the following geometric Brownian process (5), as suggested by Hull (2009)[5]:
where μ: expected value of the change in price of the resource; σ: volatility of the unexpected change in the price of the resource; dz: differential of a Gauss-Wiener or a Brownian process. This process is characterized by the following relation:
The value in the current moment of the exploitation was obtained as the sum of the j call options identified for the total of the j periods of fishing (7):
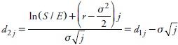
The difference between each of the real options described lies in their expiry dates (j=1, 2, 3,..., T), moment 1 being the year 2008, and moment T, the year 2014. The value of the exploitation per unit of output was calculated using equation (8) and the global value of the exploitation, using equation (9):
hj being the amount resource extracted.
The value of the exploitation calculated in this way (per unit and in global terms) included both the basic value and the value of the option of temporary abandonment of the activity, which would resume when the conditions of the price of hake become more favorable.
At first, the convenience rate was negligible to value the decision of investing in the scenario presented, i.e., there were no expectations regarding scarcity of the resource. Later, a sensitivity analysis was performed on the model to contrast the stability of the conclusions obtained, as well as the introduction of the convenience rate, which made it necessary to redefine the equation (1).
The convenience rate is a parameter that reflects the expectations in the market on the future availability of the resource[6] (Murillas, 2004). When the resource stock is high, the convenience rate tends to be low. Likewise, the rate will increase with the expectations of scarcity.
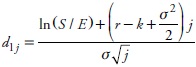
The calculation of the values of the options, incorporating the effect of the convenience rate (k) made it necessary to redefine the expression (1) to the following:
where N(.) is the function of accumulated distribution of probabilities of a normal variable with an average of zero and a variance of one; T is the time to expiry; S is the price of the underlying asset (price of the resource); E is the strike price on the date of expiry of the option (variable exploitation costs); k is the convenience rate; r is the risk-free rate; s is the volatility of the price of the underlying asset; j is each of the moments under analysis, and e is the exponential.
Results and Discussion
When considering the opportunity of exploitation hake in the port of Santander for 7 years (until 2014), the value of the exploitation obtained for December 2007, using the methodology of real options, expressed in € kg-1, presented continuous peaks and valleys throughout the period analyzed, reaching its highest values in the years 2009 and 2010, and its lowest in 2014. The total value of the fishery for the 7 years of concession 4 739 270.37 € (Table 1) and included the option of temporary abandonment of the fishery in each one of the j periods of exploitation and considered the volume of catches expected for this period by average, which was 359 t.
Table 1 Calculation of the value of the opportunity of exploitation of hake fishery using the methodology of real options and discounted cash flow (traditional method).
Using this information, the extended Net present value (NPV) was calculated for the investment project, which includes the option of temporarily abandoning the activity, considering the decision of investment taken by the shipowner in 2007: investing 4 278 818 € (A0) in the purchase of four gillnet fishing vessels, with the corresponding fishing licenses, which gave it the possibility to catch hake between 2008 and 2014.
The NPV of the project, which includes the option of abandoning operations temporarily in each of the j exploitation periods, acquired a positive value; therefore it was profitable for the shipowner to undertake the investment.
The value of the option and the traditional methods
The comparison of the value of the exploitation obtained with real options with the one obtained by traditional cash flow discount methods showed that the former was always above the latter, increasing the difference between both values as the expiry date increased (Table 1). This difference is explained by the value of the option of temporary abandonment included in the valuation by real options and ignored by the traditional valuation methods. That is to say that the highest value obtained for the exploitation by real options does not mean that the desire to exploit the fishery increased, but rather that the increase in the value of the opportunity of exploiting the resource was due to the possibility of abandoning it temporarily.
The total cash flows produced by the project by the traditional method, not including the option of temporary abandonment, was 3 329 210.4 € (Table 1), considering the value per unit (€ kg-1 of hake) of the discounted cash flows obtained for each of the j exploitation periods, as well as the catch of hake in this period. The NPV of the investment project in this case, considering the payment made by the shipowner in 2007 was:
Therefore, in conformity with the traditional evaluation of the project, with a negative NPV the shipowner would not have invested in the purchase of the four vessels, whereas applying the Theory of real options, the shipowner would have undertaken such an investment.
The total value was estimated for the option of temporarily abandoning the hake fishing activity given by the difference between the extended net present value and the basic net present value of the investment project. Thus, the additional value given to the investments by the valuation by real options could be calculated, and therefore, the added value of flexibility (Table 2):
The results showed that the option of temporarily abandoning hake fishing activities meant an additional value of 42.4 % of the cash flows generated by its exploitation. This value is extremely important, since its disregard could give way to the rejection of investment feasible projects if flexibility in its management is considered, and particularly the temporary suspension of activities. Analyzing each period, it was possible to notice that as the temporary horizon of the exploitation increased, the percentage representing the option of temporarily abandoning operations also increase on the current value of the cash flows, since the uncertainty regarding the price of the fishery resource was higher (Table 2).
The comparison of the values of theoretical models with the empirical value observed, in other words, the value reached in the market every year of the period, showed that the value obtained with the methodology of real options was readjusted with greater precision to the empirical value observed in the market between 2008 and 2014 than the discounted cash flow method, which underestimated the value of the exploitation, since it did not consider the value of the option of temporary abandonment. Although the methodology of options did present an overestimation of the real value of the opportunity to exploit the resource, the traditional methods did underestimate it further (Figure 1).
Sensitivity analysis
The model of valuation by real options shown has two strengths. The model does not need estimations of the probability of the possible future prices of the resource, since these are included in the estimation of volatility and in the current price of the resource. Neither does the model need to adjust the type of discount for risk, because do to the fact that valuation is independent to the preferences, one only needs to know the risk-free interest rate (Varela, 2003).
However, given the importance of both variables in the model of valuation of real options, a sensitivity analysis was performed on the results obtained in the light of changes in volatility and the type of risk-free interest.
Higher volatility increases the valuation obtained with options (Brealy, et al., 2006). The explanation for this type of behavior is based on the traditional profitability-risk binomial, according to which both variables move in the same direction for an asset. Also, the more volatile the price of the asset, the higher the probability of important movements taking place in it which favor the value of the option.
In the particular case analyzed, a higher price volatility for hake led to a higher value for exploitation between 2008 and 2014, or in other words, a greater uncertainty related to the price of the fishery resource did not mean a reduction but a generation of value (Table 3). Similar results were obtained by Alonso et al. (2005) for forestry exploitations.
Table 3 Sensitivity of the cost per unit (€ kg-1) and global (€) of the fishery, calculated with real options in the face of changes in the volatility of the fish price.
Based on a scenario with a volatility of 8.3 % we observed how a variation in 15 % in volatility meant a variation of 6.3 % in the final valuation of the fishery exploitation. A variation of 30 % in volatility increased the final valuation by 18.4 %, showing a reduced sensitivity of the valuation model applied to changes in the volatility of prices.
Regarding the risk-free interest rate, the theory of valuation of options foresees a positive relation between this variable and the value ofthe option, since a rise in the interest rate exerts a negative influence on the current strike price, having a positive effect on the value of the option to purchase (Fernández and García, 1992). The sensitivity analysis showed that the higher the value of the risk-free interest rate, the higher the value of the opportunity of exploitation, and therefore increases in the latter were related to increases in the expected profitability, final cause for the generation of greater value for fish exploitation (Table 4). This result is common in literature on options (Murillas, 2004). In particular, based on an average scenario in which the risk-free interest rate was 3.5 %, we could see that the 1.5 % variation in the rise of the interest rate meant an increase in the value of the exploitation of 7.8 %, whereas an equivalent reduction in the interest rate reduced the value of the exploitation by 8.2 %.
Introduction of the convenience yield
The introduction of convenience yields conditioned de valuation of the opportunity of exploitation of the fishery. By rising the convenience yield, the benefit related to the property of the resource stock increased, and the value ofthe operative option decreased[7] (Table 5). Parameter k can also be understood as a cost of the opportunity to delay the exploitation keeping the option of exploitation (the greater k, and therefore the opportunity cost is, the value of exploitation will be lower). This result is also observed in another type of exploitations (Bjerksund and Ekern, 1990; Murillas, 2004; Alonso et al., 2005).
In sum, the sensitivity analysis showed that uncertainty creates values in projects that, like fish exploitation, have flexibility. In this way, we observed that the value of the option increases (decreases) if the volatility and/or interest rate increase (decrease) and the convenience yield decreases (increases).
Conclusions
The classic valuation methods tend to underestimate the value of an investment by considering only the expected cash flows if it undertakes the investment; valuation by real option methods helps include flexibility in the management and decide on the temporary abandonment of the exploitation if the conditions of the price of the fishery resource are not favorable, offering an additional value to the investment. The analyzed valuation through options adjusted more to the reality that was observed in the hake fishing sector than the traditional model. Shipowners are offered a valuation tool that helps them determine their investment decisions beforehand, with the possibility of suspending activities if the price of the fishery resource does not help face the variable costs.
The decision of temporarily abandoning the activity comes with the maintenance of the gillnet fishing vessels and fishing licenses, which would imply fixed costs during the time of abandonment, yet it would avoid additional investments every time the activity is resumed. During the period of abandonment, the workers would also suspend their contractual relation with the shipowner. This would have implications on the valuation, since in most companies, workers are hired seasonally or they are family-owned businesses. However, the dynamic analysis implied by the valuation with real options mandates a strict follow-up of the particular investment in each moment.
The high level of investment required to begin fishing activities requires the use of valuation models that incorporate flexibility in the management and deciding on the temporary abandonment of the exploitation if the conditions of the price of the fishery resource are not favorable.
Applying the Real Options Valuation to the process of planning and management of strategic investments in fishing helps fisheries and public administrations evaluate the feasibility of each project with the possibility of temporarily abandoning activities. This methodology reinforces the capacity of management of fisheries, promoting the improvement of economic valuations by displaying both competitive advantages and the capacity of adaptation to the market, which is crucial to avoid jeopardizing the future of the market.
REFERENCES
Alonso B., S., E. Vallelado G., y J. M. Xavier H. 2005. La flexibilidad como creadora de valor. El caso de una explotación forestal en Portugal. Documento de Trabajo 11/05. Universidad de Valladolid y Universidad de Salamanca. [ Links ]
Andrés A., P., V. Azofra P., and D. Fuente H. 2006. The real options components of firm market value: the case of the technological corporation. J. Bus. Fin. Acc. 33: 133-149. [ Links ]
Bjerksund, P., and S. Ekern. 1990. Managing investment opportunities under rice uncertainty: from "last chance" to "wait and see" strategies". Finan. Manage. 19: 65-83. [ Links ]
Black, F., and M. Scholes. 1973. The pricing of options and corporate liabilities. J. Polit. Economy 81: 637-654. [ Links ]
Brealey R., A., y S. C. Myers. 1998. Fundamentos de financiación empresarial. 5a. ed. McGraw-Hill. Madrid. 888 p. [ Links ]
Brealy, R., S. C. Myers, and F. Allen. 2006. Principios de Finanzas Corporativas. 8a. ed. McGraw Hill, España. 1138 p. [ Links ]
Brennan, M. J., and E. S. Schwartz. 1985. Evaluating natural resource investments. J. Bus. 58: 135-157. [ Links ]
Cordón L., E., y F. García O. 2014. Subsidiariedad en el sector pesquero español: Impacto y efectividad de la política comunitaria de pesca. Est. Econ. Aplic. 32: 1133-1160. [ Links ]
Cortazar, G. E., and E. S. Schwartz. 1993. A compound option model of production and intermediate inventories. J. Bus. 66: 517-540. [ Links ]
Cortazar, G. E., E. S. Schwartz, and M. Salinas. 1998. Evaluating environmental investments: a real options approach. Manage. Sci. 44: 1059-1070. [ Links ]
Cox, J. C., and S. A. Ross. 1975. The valuation of option for alternative stochastic processes. J. Finan. Econ. 3: 145-166. [ Links ]
Engel, P. D., and J. Hyde. 2003. A real options analysis of automatic milking systems. Agric. Resource Econ. Rev. 32: 282-294. [ Links ]
Ewald, C. O., R. Ouyang, and T. K. Siu. 2015. On the market consistent valuation of fish farms: using the real option approach and salmon futures. Available at SSRN 2575316. [ Links ]
Fenichel, E. P., J. I. Tsao, M. L. Jones, and G. J. Hickling. 2008. Real options for precautionary fisheries management. Fish Fish. 9: 121-137. [ Links ]
Fernández, A.I., y M. García. 1992. Las decisiones financieras de la empresa. Ariel, Barcelona. 364p. [ Links ]
Hull, J. C. 2002. Introducción a los Mercados de Futuros y Opciones. 4a. ed. Prentice Hall, España. 560 p. [ Links ]
Hull, J. C. 2009. Options, Futures, & Other Derivatives. 7a. ed. Prentice Hall, United States of America. 836 p. [ Links ]
McDonald, R. L., and D. R. Siegel. 1985. Investment and the valuation of firms when there is an option to shut down. Int. Econ. Rev. 26: 331-349. [ Links ]
McDonald, R. L., and D. R. Siegel. 1986. The value of waiting to invest. Quart. J. Econ. 4: 707-727. [ Links ]
Merton, R. C. 1973. The theory of rational option pricing. Bell J. Econ. 4: 141-183. [ Links ]
Murillas M., A. 2004. Common property under management flexibility: valuation, optimal exploitation, and regulation. Marine Resource Econ. 19: 173-194. [ Links ]
Murillas M., A., and J. M. Chamorro G. 2006. Valuation and management of fishing resources under price uncertainty. Environ. Resource Econ. 33: 39-71. [ Links ]
Odening, M., O. Mußhoff, and A. Balmann. 2005. Investment decisions in hog finishing: an application of the real options approach. Agr. Econ. 32: 47-60. [ Links ]
Pérez Fernández, D. 2015. Cálculo estocástico en finanzas: Aplicación del Modelo Browniano Geométrico para la predicción del activo subyacente FCC. MC en el IBEX-35. Universitat Politécnica de Valencia, España. 103 p. [ Links ]
Pindyck, R. S. 1988. Irreversible investment, capacity choice, and the value of the firm. Amer. Econ. Rev. 78: 969-985. [ Links ]
Putri, A., and T. Fujiwara. 2014. Real options analysis on ecosystem for agri-biotechnology start-ups in Indonesia. In: Management of Engineering & Technology (PICMET). Portland International Conference on. IEEE. pp: 1239-1251. [ Links ]
Rocha, K., A. Moreira, E. Reis, and L. Carvalho. 2006. The market value of forest concessions in the Brazil Amazon: a real option approach. For. Policy Econ. 8: 149-160. [ Links ]
Trigeorgis, L., and S. Mason. 1987. Valuing managerial flexibility. Midland Corp. Fin. J. 5: 14-21. [ Links ]
Valencia-Sandoval, K., J. J. Brambila-Paz, y J. S. Mora-Flores. 2010. Evaluación del nopal verdura como alimento funcional mediante opciones reales. Agro. 44(8): 955-963. [ Links ]
Varela L., M. M. 2003. La pesca gallega en el escenario internacional. Fundación Caixa Galicia. CIEF. Centro de Investigación Económica y Financiera. Santiago de Compostela. 277 p. [ Links ]
Varela L., M. M., y M. D. Garza G. 2002. Avances recientes en la economía de los recursos pesqueros. Ekonomiaz. 49: 98-121. [ Links ]
Weston, J. F., y T. E. Copeland. 1995. Finanzas en administración. Vol. I, 9a. ed. McGraw-Hill, México. [ Links ]
1The resumption of the activity can lead to reopening costs, therefore the price of the resource may have to surpass the variable costs by enough so as to compensate the costs of reopening and to considering recommendable to decide to resume activities. However, even in the case of temporarily abandoning the activity, there would be fixed costs, which would make it convenient to temporarily stop activities when the cash flow is ower than the fixed costs or to continue with the activity with negative cash flows if these are more favorable than the fixed costs (Carrasco, 2014).
2Based on the empirical evidence at hand, other functions and processes could be taken for the price of the resource (Murillas, 2004), such as Poisson processes or processes with jumps (Cox and Ross, 1975) or processes of reversion to the average for the price (Pyndyck, 1991).
3For simplicity purposes, we assumed there are no costs related to the temporary suspension of fishing operations.
5The Brownian process for the price of the output has been validated with the construction of trust intervals at 95 % (Pérez Fernández, 2015).
6When the main value of the good, in this case, the fishery resource, is its consumption and not its value as an investment, the owners of the consumer goods enjoy certain benefits that the owners of assets derived on them do not have. For example, one could consider the possibility of using the good in moments of serious supply restrictions (scarcity of the resource, fishing bans). These benefits are known as "convenience yield" (Murillas, 2004). See Brennan and Schwartz, (1985), Cortazar and Schwartz, (1993) or Cortazar et al. (1998) for more on this concept.
Received: July 2015; Accepted: April 2016









texto en 





















