Servicios Personalizados
Revista
Articulo
Indicadores
-
Citado por SciELO -
Accesos
Links relacionados
-
Similares en
SciELO
Compartir
Agricultura técnica en México
versión impresa ISSN 0568-2517
Agric. Téc. Méx vol.35 no.1 México ene./mar. 2009
Ensayos
Óptimos analíticos y económicos de modelos aplicados en experimentación agrícola*
Optimal analytical and economic of models applied in agricultural experimentation
Florencio Briones Encinia1
, Sergio Castro Nava1, José Alberto López Santillán1 y Antonio Trinidad Santos2
1 Unidad Académica Multidisciplinaria Agronomía y Ciencias, Universidad Autónoma de Tamaulipas. Centro Universitario Adolfo López Mateos. C. P. 87149. Ciudad Victoria, Tamaulipas. Tel. y Fax. 01 834 3181721 Ext. 2120. scastro@uat.edu.mx , jalopez@uat.edu.mx .
2 Posgrado de Recursos Naturales, Colegio de Postgraduados, km. 36.5 carretera MéxicoTexcoco. C. P. 56230 Montecillo, Texcoco, Estado de México. Tel. 01 595 9520200 Ext. 1241. trinidad@colpos.mx.
Autor para correspondencia:
fbriones@uat.edu.mx.
* Recibido: Diciembre, 2007
Aceptado: Enero, 2009
RESUMEN
En investigaciones relacionadas con dosis de fertilización de cultivos, es frecuente la aplicación de un modelo pseudocuadrático como una aproximación de una superficie de respuesta. Sin embargo, la determinación del rendimiento óptimo analítico o económico, puede presentar dificultades, particularmente cuando los óptimos generados corresponden a valores que están fuera del intervalo de exploración, se obtiene un punto silla o cuando no es posible llegar a una solución analítica de las ecuaciones. La obtención del óptimo económico en un modelo pseudocuadrático, requiere la aplicación de métodos de cálculo numérico y el acceso a un sistema de cómputo estadístico. Los objetivos del presente trabajo fueron: presentar un procedimiento para el cálculo de los óptimos analíticos o económicos en un modelo pseudocuadrático general con uno y dos factores. El modelo se desarrolló en la Unidad Académica Multidisciplinaria Agronomía y Ciencias de la Universidad Autónoma de Tamaulipas durante 2006 y se aplicó en datos experimentales obtenidos de estudios de fertilización en maíz de temporal efectuados en dos localidades del estado de Puebla, México. Para un factor de estudio, el rendimiento óptimo económico determinado fue 4 569.45 kg ha1 de maíz con una dosis de 138.95 kg ha1 de nitrógeno. Para dos factores, el rendimiento óptimo (2 295.20 kg ha1) se observó en las dosis de 110 kg ha1 de nitrógeno y 0 kg ha1 de fósforo.
Palabras clave: económico, óptimo analítico y modelo pseudocuadrático.
ABSTRACT
In research on crop fertilization it is frequent the application of pseudocuadratic models as a response surface approach. However, the determination of analytic and economic optimum yields may present difficulties, particularly when the corresponding values lie out of the exploration range, when a saddle point is obtained or when is impossible to reach an analytic solution for the equation. To obtain the economic optimums in a pseudocuadratic model, the use of numerical calculation methods and a statistic computer system, is required. The objectives of this work were: to present a procedure for calculating the analytical and economic optimum yields on a pseudocuadratic general model with one and two factors and to test it with real experimental data. The model was developed at the Unidad Académica Multidisciplinaria Agronomía y Ciencias de la Universidad Autónoma de Tamaulipas, in 2006 and was applied on experimental data obtained from maize fertilization trials carried out under rainfed conditions at two sites in the state of Puebla, Mexico. For one factor, the optimal economic yield (4 5 69.45 kg ha1) was obtained with 13 8.95 kg ha1of nitrogen. For two factors, the optimal yield was 2 295.20 kg ha1 with 110 kg ha1 of nitrogen and 0 kg ha1 of phosphorous.
Key words: analytic and economic optimum, pseudocuadratic model.
INTRODUCCIÓN
A través del tiempo los polinomios de orden bajo (menor o igual a 3) son los que más se han utilizado para estimar la superficie de respuesta (González et al., 2000; Colmenares et al., 2002; Hernández et al., 2006), debido principalmente a su fácil interpretación y cálculo de los estimadores. Con el desarrollo tecnológico y científico, en los últimos años se ha desarrollado equipos y programas de cómputo con capacidad para realizar cálculos de mayor magnitud, precisión y rapidez, lo cual permite ajustar modelos más complejos. Con base en lo anterior, es posible proponer modelos alternativos con mayor ajuste a la superficie de respuesta y expliquen la relación entre las variables de estudio utilizadas en experimentación agrícola. Los modelos pseudocuadráticos representan una alternativa y comprenden al modelo raíz cuadrada que se ha utilizado ampliamente en experimentos relacionados con dosis de fertilización.
Los modelos pseudocuadráticos han sido objeto de estudio en trabajos orientados a determinar algunas características del ajuste de la superficie, como eficiencia de estimación de los coeficientes de regresión y varianza, así como sesgo de la respuesta estimada (Díaz et al., 1991; Castillo et al., 1996; Briones y Martínez, 2002). En general, el propósito de la estimación de una superficie de respuesta es obtener los niveles de los factores que optimicen la respuesta en las variables de interés. En ocasiones, la dificultad que se presenta en el caso de los modelos pseudocuadráticos es el procedimiento de cálculo para determinar los puntos extremos o la estimación de los coeficientes de regresión.
Los objetivos del presente trabajo fueron: presentar un procedimiento para el cálculo de los óptimos analíticos o económicos en un modelo pseudocuadrático general con uno y dos factores y aplicar el procedimiento generado a los datos obtenidos en dos experimentos de fertilización en maíz bajo condiciones de temporal.
La metodología de superficies de respuesta involucra en sus propósitos, determinar un modelo que aproxime una relación funcional desconocida η=f ( ξ1 ,ξ2,...,ξp), esto es, entre una variable respuesta η, y p variables explicativas ξ1,ξ2,...,ξp . En esta investigación se asumió que η se puede aproximar en alguna región de interés por medio de un modelo pseudocuadrático en términos de p variables x1, x2 ,... xp, las cuales son funciones lineales simples de las variables explicativas:

donde, las β's son los parámetros a estimar, xij es el nivel del factor j para la observación i, yi es la respuesta de la observación i experimental de η, y εi es el error de ajuste del modelo, correspondiente a la observación i, con E((εi=)0, E(εi2)=σ2, E((εi εj)=0 si i ≠ j, y aj y ak están en el intervalo (0,1). Cuando en el modelo (Ecuación 1) aj y ak son diferentes de uno, se obtiene la superficie de respuesta pseudocuadrática (Briones y Martínez, 2002). En esta investigación se implementó y se aplicó un procedimiento para determinar los óptimos analíticos y económicos de la respuesta estimada para cada uno de los dos casos, p= 1 y p= 2, uno y dos factores.
Los cálculos se realizaron con el paquete Mathematica (1999), que contiene un programa computacional que manipula operaciones matemáticas en forma simbólica y el paquete SAS (1998). El procedimiento para identificar los puntos óptimos analíticos u óptimos económicos cuando se ajusta un modelo como la Ecuación 1, comprende el uso del criterio de optimización de la segunda derivada (Bers y Karal, 1985).
Para un factor:
1) se identifica el modelo pseudocuadrático:

con mayor ajuste a la variable respuesta (yi) en función del factor o variable independiente (xi). Este modelo pseudocuadrático es no lineal en α .Para determinar el mejor ajuste se requiere de un equipo de cómputo con un programa específico para ajustar este tipo de modelos, como el procedimiento NLIN de SAS (SAS, 1998), que permite ajustar modelos no lineales.
Para determinar el mejor ajuste de ese modelo; primero, se calcula el estimador del exponente a, para lo cual se puede utilizar el procedimiento NLIN de SAS mediante el programa siguiente:
DATA MAIZ;
INPUT x y;
CARDS;
DATOS
PROC NLIN METHOD=GAUSS;
PARAMETERS β0=8201.59, β1=2129.57 β2=88.75 a=0.5;
MODEL y= β0+ β1*x**a+ β11*x**(2*a);
DER. β0=l;
DER. β1=x**a;
DER.β2=x**(2*a);
DER.a=β1=*x**a*LOG(x)+2*β11*x**(2*a)*LOG(x);
RUN;
La opción METHOD comprende los métodos: GAUSS, MARQUARDT y DUD; los dos primeros requieren del comando DER, el cual implica que se deben de incluir las derivadas de los parámetros involucrados en el modelo (β0, β1, β11 y α parámetros, para el modelo en consideración). El método DUD no requiere de dichas derivadas.
El modelo pseudocuadrático es no lineal en α , pero es lineal en los parámetros β0, β1 y β11 por lo que con base en los resultados obtenidos, se sugiere sólo estimar α con un procedimiento no lineal y determinar los estimadores lineales por regresión lineal, después de estimar α . Al aplicarlo de esta manera a los datos del ejemplo utilizado para ilustrar el procedimiento y determinar los óptimos analíticos y los óptimos económicos, se logró disminuir el cuadrado medio del error.
El comando PARAMETERS requiere que se especifiquen los valores iniciales de cada parámetro del modelo por ajustar. Un criterio que se puede aplicar en experimentos con fertilizantes, es asignar el valor de 0.5 al parámetro a y estimar los parámetros lineales por medio de regresión lineal y los estimadores obtenidos usarlos como valores iniciales; la propuesta anterior se justifica, debido a que se han realizado trabajos con fertilizantes en los que el modelo pseudocuadrático con valores de a's igual a 0.5 son los mejores; resultados similares que se observaron en este trabajo.
2) una vez obtenido el mejor ajuste, calcule: 
3) luego evalúe la segunda derivada f ''
, en x0 del punto anterior.
Al evaluar f "(x) se obtiene como resultado uno de los siguientes casos:
a) que el valor obtenido sea mayor que cero, entonces se tiene un mínimo relativo en x0;
b) que el valor obtenido sea menor que cero, entonces se tiene un máximo relativo en x0;
c) que el valor obtenido sea igual a cero, entonces no se puede concluir. En este caso y cuando ocurra que el valor de x0 esté fuera del intervalo de exploración, se debe encontrar la mejor respuesta en la región de exploración. El procedimiento anterior conduce a la determinación del óptimo analítico. Para determinar el óptimo económico se debe resolver la ecuación:

donde, Px y Py son: el costo por unidad del factor x aplicado y el precio de venta por unidad del producto y respectivamente (Colmenares et al., 2002). La solución para x en la Ecuación 2, en general, se dificulta por métodos algebraicos ordinarios, por lo que se puede emplear un proceso iterativo como es el método de NewtonRampson para lo cual se requiere un sistema de cómputo que contenga este procedimiento. Con el paquete Mathematica es relativamente fácil encontrar la solución para x, mediante la siguiente instrucción:

El procedimiento de NewtonRampson requiere de valores iniciales de x; ya que en general, los óptimos analítico y económico están cercanos. Se pueden dar como valores iniciales de x, los valores determinados en el óptimo analítico.
En caso de que el valor de x obtenido con la instrucción dada en Ecuación 3, no se encuentre en el intervalo de exploración, aplicar el paso 3 c.
Para dos factores:
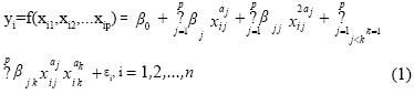
1) identifique el modelo pseudocuadrático:

que mejor ajuste la variable respuesta (yi) en función de los factores o variables independientes (x1 y x2). El ajuste se puede obtener con el procedimiento NLIN de SAS en forma similar al caso de un factor.
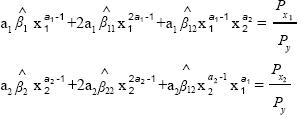
2) calcule los óptimos analíticos obtenidos de la primera derivada:

3) obtenga el Hessiano o matriz de segundas derivadas (Bers y Karal, 1985):

y defina D=f11(x01,x02)f22(x01,x02)
(x01,x02). Entonces, sí:
a) D<0, yi tiene un punto silla en (x01,x02)
b) D>0 y f11(x01,x02)<0, yi tiene un punto máximo relativo en (x01,x02)
c) D>0 y f11 (x01,x02)>0, yi tiene un punto mínimo relativo en (x01,x02)
En el caso a), y cuando el punto (x01,x02) esté fuera del intervalo de exploración, se debe determinar la mejor respuesta en la región de exploración.
Igual que en el caso de un factor, los pasos anteriores conducen a la determinación de un óptimo analítico. El cálculo del óptimo económico implica resolver el siguiente sistema de ecuaciones:

donde, Px1 , Px2 y Py son, respectivamente, el costo por unidad de los factores x1 y x2 aplicados y el precio de venta del producto y. También, como en el caso de un factor, la solución al sistema de ecuaciones anterior requiere de un proceso iterativo, como el del método de NewtonRampson. Con el paquete Mathematica se resuelve mediante la siguiente instrucción:

Para dirigir la búsqueda en la solución al sistema anterior, como se comentó para el caso de un factor, conviene asignar como valores iniciales a x1 y x2, los valores determinados en el óptimo analítico.
Cuando para un factor resulte 3c) o para dos factores se obtenga un punto silla, o los valores de x1 o x2 se ubiquen fuera de la región de exploración, ya sea con, uno o dos factores, el procedimiento a seguir consiste en aplicar un método numérico para determinar la mayor respuesta en la región de exploración de los factores en estudio. El método consiste en tomar una rejilla de puntos en la región de exploración y evaluar cada punto en el modelo ajustado hasta encontrar la mayor respuesta. El procedimiento puede efectuarse mediante de una hoja de cálculo o un paquete estadístico.
El programa en SAS de un método numérico es el siguiente (se utilizó el mejor modelo encontrado para dos factores).
DATA EXTREMO;
DO N=107 TO 110 BY 0.1;
DO P=0 TO1 BY 0.1;
Y=2626.49+916.81*(N**0.5)48.86*(P**0.9)44.78*N+0.14*(P**1.8)+ 4.75*(N**0.5)*(P**0.9);
OUTPUT; END; END;
PROC SORT; BY DESCENDING R;
DATA RESPUESTA; SET UNO; IF _N_ LE 50;
PROC PRINT;
RUN;
El programa debe ser aplicado varias veces para determinar los valores de los factores que generan la mayor respuesta. Primero, se toman los valores de los factores en toda la región de exploración y posteriormente se explora en la región donde se infiere que puede estar lamayor respuesta mediante incrementos menores en los factores cada vez que se corra el programa.
Para ilustrar los métodos descritos, se utilizaron datos proporcionados por el Colegio de Postgraduados, sobre investigaciones con dosis de fertilizantes en maíz de temporal efectuados en el estado de Puebla. Los trabajos comprendieron el estudio de los factores: nitrógeno, fósforo y densidad de población en un diseño de tratamientos Plan Puebla I.
El estudio comprendió el ajuste del mejor modelo pseudocuadrático para uno y dos factores.
Para un factor, el mejor modelo pseudocuadrático ajustado fue con a= 0.5 obtenido con los datos de un experimento en maíz realizado bajo condiciones de temporal en Quetzalapa, Ciudad Serdán, Puebla, en el cual se estudiaron los efectos de nitrógeno (N), fósforo (P), y densidad de población (DP), donde los efectos de F y DP no fueron significativos (p>0.05).
l)el modelo ajustado fue:
=8201.59+2129.57N0.588.75 N; R2=0.844yCV=8.85%
donde;
= rendimiento estimado (kg ha1), y N= nitrógeno aplicado (kg ha1). Los datos observados y el modelo ajustado se presentan en la Figura 1.
2) en este caso se tiene el punto:

3) al evaluar la segunda derivada en x0:
f"(x)=(αl)α
xa2+2α(2α1)
x2a2, se tiene f(143.94)= 0.5(0.5)(2129.57)(143.940.52)+2(0.5)(2(0.5)1)(88.75) (143.942(0.5)2=0.31
Esto implica que para N=143.94 kg ha1de Nitrógeno se obtiene el rendimiento máximo de maíz,
8201.59 + 2129.57(143.940.5)88.75(143.94)=4573.26 kg ha1.
Lo anterior no implica que sea la mejor opción, pues la mejor sería el óptimo económico. Éste se obtiene al resolver para N la ecuación:
a
Nai +2a
N2ai=
sustituyendo valores y se tiene: 0.5(2129.57) N0.51+2(0.5)(88.75)N2(0.5)1=
Al despejar N se encuentra el valor de 138.95 kg ha1de N lo cual implica que con esta dosis se obtiene el rendimiento óptimo económico. Al sustituir este valor en el modelo dado en (Ecuación 1), se obtiene el rendimiento óptimo económico de 4 569.45 kg ha1 de maíz.
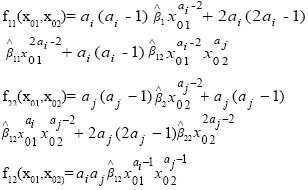
Para dos factores, se tiene:
El mejor modelo pseudocuadrático ajustado fue para a1=0.5 y a2= 0.9, obtenido con los datos de un experimento realizado en San José Guerrero, Ciudad Serdán, Puebla, en el cual se probaron diferentes dosis de nitrógeno, fósforo y densidad de población; ésta última no mostró efecto significativo (α >0.05). El modelo fue:
2626.49+916.81N0.548.86P0.9 4.66N+0.14P1.8+4.75N0.5P0.9; R2=0.91,CV=6.8%
Calcule:

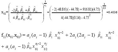
Obtenga:


Como el valor de D es negativo, se infiere que en el punto (105.273, 0.4036) el modelo ajustado tiene un punto silla. En estos casos se debe aplicar un método de exploración numérico, como el que se específica en Materiales y Métodos hasta determinar los niveles de los factores en la región de exploración que producen el mayor rendimiento.
El mayor rendimiento determinado con el programa en SAS, fue para 110 kg ha1 de nitrógeno y 0 kg ha1 de fósforo, con rendimiento de
= 2 295.2 kg ha1 de maíz. Colmenares et al. (2003) ajustaron un modelo pseudocuadrático con a1= 0.7 y a2= 0.9, ambos fijos, a datos de un estudio sobre dosis de nitrógeno y cantidad de semilla sobre el rendimiento maíz y encontraron la dosis óptima económica de nitrógeno de 118.97 kg ha1; con los mismos datos pero ajustando un polinomio de segundo grado, estos autores encontraron una dosis de nitrógeno mayor a 120 kg ha1, lo cual refleja la influencia del modelo propuesto.
AGRADECIMIENTOS
El autor principal agradece al Dr. Antonio Trinidad Santos, por haber proporcionado los datos experimentales de campo para ilustrar los métodos descritos en este documento
CONCLUSIONES
El modelo pseudocuadrático permite obtener una solución única para los óptimos analíticos de una superficie de respuesta, con valores de los exponentes en (0,1).
La utilidad práctica del modelo aplicado para un factor mostró que en Quetzalapa, Puebla, la aplicación de 13 8.95 kg ha1de nitrógeno produce un rendimiento óptimo económico de 4 569.45 kg ha1 de maíz. Para dos factores en San José Guerrero, Puebla, se determinó que sólo el nitrógeno tuvo efecto en el rendimiento de maíz y que la aplicación de 110 kg ha1produce el mayor rendimiento de 2 295.2 kg ha1.
LITERATURA CITADA
Bears, L. y Karal, F. 1985. Cálculo. 2ª Edición, traducción del inglés; Agut, A. V. 2ª Edición. Interamericana. México. 746 p. [ Links ]
Briones, E. F. y Martínez G., A. 2002. Eficiencia de algunos diseños experimentales en la estimación de una superficie de respuesta. Agrociencia 36:201210. [ Links ]
Castillo, V. M.; Martínez, G. A.; Castillo, M. A. y Santizo, R. J. A. 1996. Comparación de diseños a estimar superficies de respuesta. Agrociencia 30:7581. [ Links ]
Colmenares, C. B.; Martínez, G. A; Martínez, D. A. y Ramírez, G. M. E. 2002. Una región confidencial para óptimos económicos. Agrociencia 36:337:344. [ Links ]
Colmenares, C. B.; Martínez, G. A; Martínez, D. A.; Ramírez, G. M. E. y González, C. F. 2003. Región confidencial para óptimos económicos en modelos pseudocuadráticos. Agrociencia 37:177185. [ Links ]
Díaz, G. J. A.; Martínez, G. A.; González, C. F.; Castillo, M. A. y Santizo, R. J. A. 1991. La eficiencia de los diseños de tratamientos empleados en la investigación agrícola, considerando el ajuste de modelos pseudocuadráticos. Agrociencia 3:2747. [ Links ]
González, E. D. R.; Alcalde, B. S.; Ortiz, C. J. y Castillo, M. A. 2000. Dinámica de la acumulación de potasio por trigo cultivado en diferentes ambientes. Agrociencia 34:111. [ Links ]
Hernández, S. J.; Cuca, G. M.; Pró, M. A; González, A. M. y Becerril, P. C. 2006. Nivel óptimo biológico y económico de calcio en gallinas leghorn blancas de segundo ciclo de postura. Agrociencia 40:4957. [ Links ]
Mathematica. 1999. Users's Guide; release 4.01 Edition. Wolfram Research Inc. Champaign, IL. USA. 1470 p. [ Links ]
Statistical Analysis System (SAS). 1998. SAS/STAT Users's Guide; release 6.03 Edition. SAS Institute, Cary, N. C. USA. 1028 p. [ Links ]













