Introducción
Los canales iónicos de membrana regulan y controlan la mayoría de las funciones biológicas de los seres vivos. En el contexto biomédico, actualmente es muy importante el conocimiento fisiológico de los canales; ya que son la clave para comprender los mecanismos fisiopatológicos de múltiples y diversas enfermedades neurológicas, cardiovasculares, musculares, neuromusculares, metabólicas, neoplásicas, genéticas, autoinmunes; renales y sensoriales, catalogadas en general como canalopatías 1,2. Se estima que alrededor del 30% de las canalopatías son multisistémicas, por lo que requieren del abordaje multidisciplinario en investigación básica para encontrar los métodos potenciales de diagnóstico y tratamiento eficaz.
La electrofisiología estudia la cinética y dependencia de voltaje de los canales iónicos; se trata de una disciplina que es esencialmente experimental y cuantitativa. Su enseñanza y aprendizaje implica un conocimiento multidisciplinario; donde convergen principios de física, química, biología, medicina, electrónica, computación y matemáticas, entre otras. Los procesos de enseñanza-aprendizaje implicados resultan relativamente complejos. Por esta razón, la introducción del tema es muy importante, puede ser el punto de partida o el punto final. La explicación teórica de los conceptos básicos resulta difícil para los alumnos de licenciatura del área biomédica. Contar con herramientas interactivas de apoyo didáctico facilita significativamente la comprensión del tema 3.
Descripción del problema
La temática de la electrofisiología se incorpora actualmente en los cursos de las carreras de ingeniería biomédica, física médica, medicina y es común en biología. Para la educación médica se está pasando del estilo pedagógico de hechos a un aprendizaje basado en problemas, que propicia una participación activa en el proceso de enseñanza-aprendizaje 4. Las prácticas de laboratorio propician un aprendizaje activo. Sin embargo, el trabajo de laboratorio es muy costoso. Esta situación se agrava por el rápido aumento de estudiantes. En China, por ejemplo, ha habido una reducción gradual de la exposición de los estudiantes a clases de laboratorio experimental y un aumento hacia la simulación 5. En México, en la Facultad de Medicina de la UNAM (Universidad Nacional Autónoma de México) las prácticas electrofisiológicas son realizadas con simuladores 6.
En las neurociencias, el trabajo de modelado puede clasificarse con dos criterios: (1) la complejidad del modelo que puede ir de modelos muy simples a muy complejos y (2) La dirección del flujo de trabajo e ir de la escala microscópica a la macroscópica y viceversa 7. Existen varios simuladores útiles para la investigación y la enseñanza como GENESIS y NEURON, entre otros 8,9,10,11. Todos los simuladores reportados están basados en modelos matemáticos. Este tipo de modelos están apoyados en los trabajos de Hodgkin y Huxley 12,13,14,15 y particularmente, en el trabajo donde hacen una descripción cuantitativa de las corrientes de membrana y sus implicaciones en la conducción y excitabilidad en el axón 15, donde: (1) predicen la existencia de canales iónicos, que fueron hallados posteriormente, (2) describen un modelo eléctrico de la membrana, (3) derivan un modelo matemático. Este modelo es de tipo fenomenológico e incluye en todo detalle la forma experimental cuantitativa y se ha convertido en un trabajo toral en las neurociencias. El estudio de este artículo a nivel licenciatura resulta muy complicado, sobre todo en licenciaturas que no contienen en su currícula las materias de física y matemáticas; a nivel de posgrado todavía es considerado difícil. Sin embargo, comprender cómo se realizaron los experimentos, cómo se llegó a describir la cinética y dependencia de voltaje de apertura y cierre de los canales iónicos y cómo se pueden cuantificar las variables, es fundamental para comprender la electrofisiología de células únicas. El análisis cuantitativo de las corrientes y conductancias iónicas en el axón gigante de calamar se logró con la técnica conocida como fijación de voltaje (“voltage clamp”). Consiste en insertar dos electrodos: uno para medir el voltaje de membrana y otro para inyectar la corriente necesaria para mantener fijo este voltaje a un valor determinado, llamado voltaje comando. Los electrodos, tanto el de voltaje como el de corriente, son largos filamentos de plata enrollados 15.
Los simuladores existentes permiten reproducir el potencial de acción y las corrientes iónicas en general, no se detienen en enfocarse a la enseñanza de los métodos de cuantificación propiamente dicho. A diferencia de estos simuladores, en este trabajo se describe un programa diseñado específicamente para estudiar los principios de las corrientes iónicas en el axón gigante de calamar, para reproducir paso a paso los experimentos cuantitativos realizados por Hodgkin y Huxley 15 en 1952. El diseño del programa está inmerso en el programa del curso de biofísica. Desde su construcción se especificaron los objetivos de enseñanza y aprendizaje que se pueden alcanzar:
Objetivos generales de enseñanza: (1) facilitar los principios del método cuantitativo en la electrofisiología. (2) enseñar la asociación de los resultados experimentales con los modelos matemáticos.
Objetivos generales de aprendizaje: (1) determinar los factores que influyen en los resultados; (2) determinar los parámetros utilizados y cómo se miden; (3) apreciar la base de los experimentos de Hodgkin y Huxley 15; (4) percibir el alcance que tuvo el trabajo de Hodgkin y Huxley15 en la neurociencias; (5) reproducir los experimentos de Hodgkin y Huxley15) con su nomenclatura original, para entender el artículo; (6) reproducir los experimentos de Hodgkin y Huxley con la nomenclatura actual para comprender los textos actuales.
Metodología
Para el diseño y desarrollo de este simulador se utilizó el lenguaje Visual Basic ver. 5.0, para ambiente Windows® , desde XP a Windows 8, con una resolución de pantalla de 1,366 x 768 pixeles.
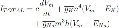
Para la simulación de las corrientes iónicas de sodio (INa +) y potasio (IK +), cada una por separado o de modo conjunto, se utilizó la ecuación 1.
con dVm/dt = 0, significa que el voltaje se mantiene fijo en el experimento.
Donde:
En los experimentos de fijación de voltaje se consideró que:
VC |
voltaje comando |
Vh |
voltaje “holding” con Vh = 0 |
|
conductancia máxima de potasio y de sodio, respectivamente. |
EK y ENa |
potencial de equilibrio de K+ y de Na+, respectivamente. |
Para ajustar las curvas de conductancia con respecto al tiempo se introdujeron variables dimensionales: para ɡK +, n; y para ɡNa +, m y h.
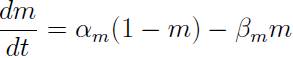
Las funciones con respecto del tiempo n(t), m(t) y h(t) deben satisfacer las siguientes ecuaciones diferenciales, con el supuesto de que la cinética de estos canales es de primer orden:
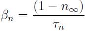
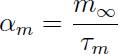
Las constantes de velocidad se obtienen con las siguientes ecuaciones, bajo el supuesto de que estas siguen una cinética de primer orden, de la misma manera que una reacción química:
El ajuste de los datos experimentales para las constantes de velocidad se realizó con las siguientes ecuaciones (experimentos de Hodgkin y Huxley)15:
Las conductancias iónicas se obtienen con las siguientes ecuaciones:
Para el ajuste de las conductancias iónicas se usaron las ecuaciones 21 y 22, derivadas de las ecuaciones 19 y 20, respectivamente, en términos de los datos experimentales 15:
Donde:
Las ecuaciones usadas en el módulo con la nomenclatura actual son las mismas; pero el voltaje negativo 16.
Para generar los potenciales de acción se resolvieron todas las ecuaciones de manera simultánea con dVm/dt ≠ 0.
Resultados
En este apartado se describe el simulador, al mismo tiempo que se presentan ejemplos de la simulación de los experimentos de Hodgkin y Huxley15, con la nomenclatura actual. Se sigue un orden conveniente didácticamente.
Descripción del simulador: menú principal
Al ejecutar el programa se presenta la interfaz de inicio, que muestra el menú principal que consta de cuatro módulos (ventanas). Una ventana superior: donde el usuario puede realizar la simulación de las corrientes de potasio (IK +), de sodio (INa +) y total (IT ). La segunda ventana: para reproducir los experimentos clásicos de fijación de voltaje de Hodgkin y Huxley, tal como fueron descritos en su artículo 15. Con la tercera ventana, se pueden realizar los mismos experimentos con la nomenclatura actual y con la cuarta ventana se simulan los potenciales de acción. En las primeras tres ventanas se presentan dos secciones: del lado izquierdo de la pantalla, las simulaciones para el canal de K+ y del derecho, para el canal de Na+ (Figura 1).

Figura 1: Pantalla de inicio del simulador. De arriba hacia abajo se agrupan en recuadros los módulos de las corrientes iónicas, la versión clásica, la versión actuallizada y los potenciales de acción. Para fines de enseñanza-aprendizaje del tema se sugiere seguir la secuencia del artículo; pero no existe una ruta preestablecida de navegación, el usuario puede acceder libremente a la sección de interés, en el orden deseado.
I. Módulo de simulación de las corrientes iónicas
Este módulo consta de tres botones: simulación de la corriente de K+<IK>, simulación de la corriente Na+ <INa> y simulación de la corriente total <CORRIENTE TOTAL> (Figura 1).
II. Módulo de la versión clásica del modelo de Hodgkin y Huxley
Este módulo consta de cuatro botones: simulación de la conductancia de K+ (ɡK+ ) <gK>, cálculo de las constantes de velocidad para los canales de K+ <VELOCIDADES (K)>; simulación de la conductancia de sodio (ɡNa +) <gNa> y cálculo de las constantes de velocidad de los canales de Na+ <VELOCIDADES (Na)>. Desde cada uno de los botones de conductancia, se accede a una interfaz para realizar los experimentos correspondientes. Con los botones de constantes de velocidad se accede a las ventanas para graficar las constantes de velocidad para cada canal (Figura 1).
III. Módulo de la versión actual del modelo de Hodgkin y Huxley
El tercer módulo corresponde a los experimentos con la nomenclatura actual, contiene los cuatro botones equivalentes descritos en el módulo dos (Figura 1).
IV. Módulo de potenciales de acción
El módulo inferior corresponde a la generación de potenciales de acción. Consta de dos botones: <POTENCIALES DE ACCIÓN> y <TRENES DE POTENCIALES>. Con el primer botón se puede estudiar el umbral de disparo y con el segundo botón se produce un tren de potenciales de acción ante un estímulo de larga duración.
Simulación de las corrientes iónicas
En esta sección el alumno puede obtener los trazos de las corrientes iónicas de K+, Na+, total y encontrar el potencial de inversión de la corriente de Na+. Las tres interfaces son semejantes (Figura 2). Los experimentos se realizan con la técnica de fijación de voltaje. El axón es llevado a 0 mV, y a partir de este voltaje se aplican pulsos con duración de 20 ms y amplitudes que pueden ser modificadas para obtener las corrientes respectivas. En la Figura 2 se muestra un ejemplo de cada caso.

Figura 2: Pantallas de interfaz para la simulación de las corrientes iónicas totales. (A): Interfaz para simular la corriente total. En el recuadro superior se presenta la pantalla del osciloscopio que muestra la corriente total, en el recuadro inferior se muestran los pulsos de voltaje. El usuario debe ingresar los valores de tiempo “clamp” y voltaje “clamp”. Con el botón <SIMULAR> se inicia la simulación para cada estímulo. (B) Registros de la IK +. (C) Registros de la INa +. Para este ejemplo de simulación se utilizaron los siguientes valores de Vc: 25, 30, 35, 40, 45, 50 y 55 mV.
Simulación de la conductancia de K+
En la Figura 3 se muestra la pantalla de interfaz para realizar la simulación de la ɡ K+ . Esta interfaz consta de dos partes: una superior donde se muestran tres gráficas, que corresponden de izquierda a derecha, a la probabilidad de apertura del canal de K+, la gráfica central corresponde a la conductancia de K+ en unidades m-mho/cm2 conductancia de K+ en unidades m-mho/cm2 y la gráfica del lado derecho corresponde la gráfica del lado derecho corresponde a la conductancia de potasio en unidades nS/cm2. Del lado izquierdo de cada gráfica se lado izquierdo de cada gráfica se encuentra un recuadro que muestra el valor de la conductancia en la región estable de cada trazo (ɡ∞ ).

Figura 3: Pantalla de interfaz para la simulación de las de las conductancias de K+. Los dos últimos trazos conductancias de K . Los dos últimos trazos de mayor amplitud corresponden a un Vc de 100 y 109, respectivamente. En este apartado se puede observar cómo los valores obtenidos de conductancia cambian muy poco a partir de 100 mV de estímulo. El estudiante puede estimular con valores de 120 o mayores y observar los pequeños cambios en la amplitud de la conductancia. Por convención, se establece la conductancia máxima como aquella alcanzada a estímulos de 100 mV más el 20% (15).
En la parte inferior se localiza un recuadro para ingresar los valores del estímulo (amplitud del voltaje comando Vc). Debajo, se muestra el botón <EXPERIMENTO> que sirve para iniciar la simulación, y el botón <AJUSTE MATEMÁTICO> que traza la función que ajusta los datos experimentales.
Una vez explicado cómo se obtiene la conductancia a partir de corrientes iónicas, por medio de la Ley de Ohm; con ayuda del simulador, se realizan los experimentos con pulsos de voltaje, con valores de Vc: 26, 32, 38, 51, 63, 76, 88, 100 y 109 mV.
El estudiante puede observar las conductancias respectivas para cada estímulo y obtener la conductancia infinita para cada trazo. Al ajustar los datos experimentales con la función correspondiente (ecuación 21). La constante de tiempo se muestra en el recuadro inferior izquierdo, que se obtiene de las ecuaciones 2 5, y 6.
Cálculo de las constantes de velocidad para los canales de K+
Con los datos obtenidos en el simulador de la conductancia infinita y la constante de tiempo para un valor de Vc en particular y con la conductancia máxima obtenida, se pueden calcular las constantes de velocidad del canal para cada Vc. En la Figura 4 se muestra un ejemplo, al estimular el axón con un voltaje de 63 mV, la conductancia infinita alcanzada (valor de la conductancia en el estado estable) se muestra en el recuadro del eje de gK. La constante de tiempo para ese trazo se muestra en el recuadro correspondiente. El valor de la conductancia máxima es la conductancia de potasio, en el estado estable, con un estímulo de 100 mV más el 20% de este valor. Los módulos de cálculo se abren en el submenú de “ayuda” de la barra superior. Se incluye un módulo para calcular el valor de n ∞ y otro módulo para calcular las velocidades αn y βn (Figura 4).

Figura 4: Pantallas de interfaz para el cálculo las constantes de velocidad de los canales de K+. Los trazos superiores de conductancias corresponden a un estímulo de 63 y 100 mV respectivamente; los valores obtenidos de conductancia infinita y conductancia máxima son 0.16 y 0.25 nS/cm2, respectivamente. El valor de n ∞ se obtiene de la conductancia infinita para el voltaje de estímulo entre la conductancia máxima, elevada a (1/4), el resultado es de 0.89. Con este valor y la constante de tiempo 1.69 ms se calculan las velocidades αn y βn , los valores calculados fueron 0.53 y 0.07, respectivamente. Las flechas indican donde son usados cada uno de los valores experimentales y de cálculo.
Cada vez que se ejecuta una simulación se genera un nuevo axón, con conductancias diferentes en los canales y en consecuencia los valores en la simulación, aunque del mismo orden, son diferentes. El propósito es que cada alumno simule un axón diferente y los resultados que obtenga serán ligeramente distintos.
En la Tabla 1 se muestra la comparación de las variables ɡK ∞, n∞ , τn , αn y βn de los experimentos reportados en uno de los axones registrados experimentalmente por Hodgkin y Huxley 15 contra los generados en uno de los axones simulados (con el módulo de experimentos clásicos, para poder comparar). Aunque los valores obtenidos por la simulación son ligeramente diferentes, la variabilidad es similar a la biológica. Esto se logra al generar valores de conductancias iónicas al azar para el axón a simular.
Simulación de la conductancia de Na+
La interfaz para la simulación de las ɡNa + se muestra en la Figura 5. La ventana tiene un recuadro (osciloscopio) donde se muestra cada una de las ɡNa + en respuesta a Vc: 26, 32, 38, 51, 63, 76, 88, 100 y 109 mV. El valor pico de cada trazo se muestra en el recuadro del eje gNa+. Abajo y a la izquierda se muestran las constantes de tiempo tm y th para cada trazo. El botón <BORRAR> borra los trazos, el botón <REGRESAR A MENÚ PRINCIPAL> regresa a la ventana de menú principal. En cualquier momento se puede salir del simulador con <SALIR>.

Figura 5: Pantalla de interfaz para la simulación de las ɡNa +. En la parte superior se muestra la ventana de simulación de la ɡNa +. La conductancia máxima de obtiene con un Vc de 100 mV + el 20%. Las constantes de tiempo τm y τh aparecen después de ajustar los datos generados (círculos) con la ecuación 22 (líneas continuas).
Cálculo de las constantes de velocidad para los canales de Na+
En la Figura 6 se muestran las simulaciones de la conductancia del canal de Na+ para un Vc de 50 mV. La conductancia al pico fue de 0.54 nS/cm2.

Figura 6: Pantallas de interfaz para el cálculo de las constantes de velocidades para los canales de Na+. Ejemplo de simulación para calcular los valores de m ∞, αm y βm para un pulso de Vc = 50 mV. Las ventanas para los cálculos se abren desde el submenú de ayuda de la barra superior. Los valores calculados para αm y βm fueron 2.53 y 0.41, respectivamente. Las flechas indican donde son usados cada uno de los valores experimentales y de cálculo.
La conductancia máxima se obtuvo de un pulso Vc de 100 mV + el 20% de este valor, dando como resultado 0.84 nS/cm2 . Las constantes de tiempo τm = 0.34 y τh = 1.13 ms. La ecuación para calcular m∞ se muestra en el módulo de cálculo y corresponde a la raíz cúbica de la conductancia al pico del pulso entre la conductancia máxima, el valor resultante es 0.86. La velocidad αm y βm se calculan con el módulo correspondiente con las ecuaciones 7 y 8 (Figura 6). El estudiante puede repetir paso a paso los experimentos realizados por Hodgkin y Huxley en su nomenclatura original y actualizada, y con ellos realizar una gráfica con Excel® directamente desde el simulador, o bien usar otro programa para graficarlos y ajustar las ecuaciones 13 y 14. Los valores calculados para cada uno de los parámetros con los voltajes correspondientes a los experimentos originales fueron muy próximos (tabla no presentada).
Graficado de las constantes de velocidad para el canal de K+
Cada uno de los experimentos realizados con el módulo actualizado, se pueden reproducir de la misma manera con el módulo de nomenclatura original. Los resultados para las variables calculadas son iguales; sin embargo las gráficas de n ∞, αm y βm con respecto del voltaje tienen trayectorias opuestas. A partir del botón <VELOCIDADES (K)> se ingresa a la interfaz para el granizado de n ∞, αm y βm (Figura 7). En este caso se presentan dos recuadros, uno izquierdo donde se grafican las velocidades αn y βm . El recuadro del lado derecho muestra la gráfica para n ∞.

Figura 7: Gráficas de las constantes de para el canal de K+. Graficado de αm , βn y n ∞. En círculos los datos calculados y el ajuste matemático en línea continua. Se observa como αm aumenta conforme el voltaje es menos negativo, hasta llegar a valores positivos. En cambio, βm disminuye. La gráfica de n ∞ aumenta.
Graficado de las constantes de velocidad para el canal de Na+
Los canales de Na+ dependientes de voltaje del axón gigante de calamar presentan una cinética de activación y de inactivación. Después de obtener los datos con el simulador, las velocidades αm, βm, m∞ y de αh , βh , h∞ se pueden graficar con Excel® directamente del programa o con Origin® para ajustar los datos a las funciones matemáticas correspondientes. Desde el menú principal, se selecciona el botón <VELOCIDADES (Na)>, se puede acceder a las ventanas correspondientes, para de manera predeterminada, graficar los datos y ajustar la función matemática. En la Figura 8 se muestran los resultados de un ejemplo simulado. En A y B se observa la simulación de los experimentos actualizados de Hodgkin y Huxley 15 de las curvas correspondientes a la activación y a la inactivación, respectivamente.
Simulación de los potenciales de acción
Con la solución simultánea de las ecuaciones del modelo, resultado de los experimentos con la técnica de fijación de voltaje, se puede reproducir el potencial de acción. La Figura 9, muestra el potencial de acción generado con un estímulo de corriente. En esta interfaz del simulador se puede estudiar de manera interactiva el umbral de disparo. El estudiante puede variar la duración y la amplitud del estímulo de corriente y determinar el umbral de disparo.

Figura 9: Potencial de acción. Se muestran dos trazos: (1) con un estímulo subumbral, el trazo muestra cómo se carga la membrana, pero no se produce el potencial de acción. La duración del pulso de corriente fue de 2 ms y su amplitud de 3 nA. (2) con un estímulo umbral, se observa el potencial de acción. La amplitud del pulso de corriente se incrementó a 4 Na.
La Figura 10, muestra la interfaz para generar un tren de disparos de potenciales de acción ante un estímulo de corriente de 200 ms de duración. Con estos ejemplos se muestra cómo el modelo matemático derivado del trabajo original de Hodgkin y Huxley reproduce los potenciales de acción.
Discusión
Las condiciones socioeconómicas actuales están influyendo en los sistemas educativos para ofrecer cursos semi-presenciales y a distancia. La disposición de simuladores propios en cursos a distancia son estrategias de enseñanza que se están implementando paulatinamente 17. La mayoría del aprendizaje basado en computadora presenta varios beneficios en común, que incluyen: la flexibilidad del tiempo (el estudiante puede realizar su práctica virtual individualmente, con tiempos y horarios propios a cada situación) 18; flexibilidad (se puede interrumpir y proseguir en cualquier momento) 18; control del ritmo de aprendizaje (se puede ocupar el tiempo necesario para comprender los conceptos) 19 y la disminución del sacrificio de animales de experimentación.
Existen varios estudios comparativos de eficiencia entre el uso de animales de laboratorio contra los medios alternativos 20,21,22,23. En estos trabajos se mostró que el uso de medios alternativos es igual de eficiente que los métodos tradicionales de laboratorio 24.
De acuerdo con Vinardell et al. 25 la elaboración de materiales docentes alternativos, implica trabajo arduo, dedicación prolongada y competencias computacionales. Es conveniente la integración de grupos multidisciplinarios para su desarrollo: expertos en el tema, en educación, programadores, diseñadores instruccionales y artistas gráficos 26. De acuerdo con Dewhurst et al. 27 la utilidad de un programa computacional alternativo (CAL), en cualquier plan de estudios, dependerá de la cercanía, del ajuste del programa con las necesidades del profesor y los alumnos. El uso de estos programas se incrementaría en gran medida si se tuviera la oportunidad de adaptarlos para satisfacer el contexto local de uso.
Para la electrofisiología existen varias herramientas computacionales. Simuladores como NEURON y GENESIS son lenguajes de programación orientados a objetos para las neurociencias. Estos lenguajes permiten incluso simular neuronas específicas y redes neuronales para la investigación. NEURON 9 corre en ambiente Windows® y Linux y GENESIS 11 corre en Linux.
Si bien la electrofisiología está inmersa en los cursos de fisiología y biofísica para varias carreras de las ciencias de la vida, incluida la bioingeniería, los tiempos designados para su enseñanza son en realidad reducidos con respecto a la cantidad de principios básicos y de información que actualmente se tiene. Las herramientas descritas son muy grandes para ser usadas como apoyo didáctico. De manera que su empleo para fines de enseñanza queda comprometido por el tiempo necesario para aprender a usarlos. Sin embargo, se han realizado varios módulos de menor tamaño para ser usados en la enseñanza. Por ejemplo, se han preparado módulos más pequeños a partir de NEURON, como tutoriales (NeuroLab tutoriales y simulaciones usando NEURON) 28 o módulos para el estudio de los potenciales de acción del modelo de Hodgkin y Huxley, donde se pueden cambiar las propiedades geométricas del axón, efecto de la temperatura, cable y potenciales de acción (módulo SEMB, desarrollado por Hernández y Zurek 8); y simuladores más pequeños como HR2 y Rall1 para el estudio de las propiedades pasivas 29.
Una de las ventajas del desarrollo de materiales propios, es la posibilidad de modificarlos y actualizarlos constantemente, de acuerdo a la retroalimentación de los estudiantes. Este simulador forma parte de una colección que se desarrolla con la finalidad de cubrir un curso completo de biofísica con asistencia computacional. La extensión de cada simulador se limita para facilitar su uso, manejo y transferencia de archivos. El simulador desarrollado, a diferencia de los demás, permite al usuario seguir cada uno de los pasos del trabajo de Hodgkin y Huxley 15. Una descripción y derivación detallada del modelo matemático utilizado en este trabajo se puede encontrar en Cronin 30.
Conclusiones
El programa se desarrolló como una herramienta de apoyo didáctico para la comprensión de los mecanismos biofísicos de los canales iónicos dependientes de voltaje, responsables de la excitabilidad neuronal. El simulador está en idioma español, es ejecutable en ambiente Windows® y no requiere de programas adicionales para su ejecución, consta de diversas ventanas interactivas que permiten reproducir los experimentos de Hodgkin y Huxley (15) en el axón gigante de calamar; así como ventanas de ayuda para realizar los cálculos de las variables respectivas y para abrir un archivo de ayuda en pdf. El usuario puede realizar una cantidad ilimitada de experimentos virtuales que le facilitarán la comprensión del tema. Se recomienda usar el simulador al mismo tiempo que se estudia el artículo original. De esta manera, el usuario lo comprenderá mejor. Los módulos en su versión original y actualizada son independientes y el uso de cada uno de ellos es opcional y de acuerdo a los objetivos didácticos que se planteen.
Particularmente, el simulador fue diseñado para que el usuario pueda lograr los siguientes objetivos:
1. Simular corrientes iónicas: la corriente saliente de K+, la corriente entrante de Na+ y ambas al mismo tiempo; de utilidad para observar que la corriente de K+ no inactiva; así como la activación e inactivación de la corriente de Na+ y determinar su potencial de inversión.
2. Simular y calcular las conductancias iónicas de K+ y Na+, mediante el manejo de la Ley de Ohm.
3. Calcular los valores de las constantes de velocidad de los canales de K+ y Na+, mediante el ajuste de los datos de las conductancias, y obtener el valor de las constantes de tiempo respectivas.
4. Graficar las constantes de velocidad de los canales iónicos de K+ y Na+.










nueva página del texto (beta)





























