Servicios Personalizados
Revista
Articulo
Indicadores
-
Citado por SciELO -
Accesos
Links relacionados
-
Similares en
SciELO
Compartir
Investigaciones geográficas
versión On-line ISSN 2448-7279versión impresa ISSN 0188-4611
Invest. Geog no.58 Ciudad de México dic. 2005
Geografía humana
El concepto de Temperatura Efectiva aplicado a las tarifas eléctricas domésticas en el oriente de México
The concept of Effective Temperature applied to the housing electrical prices in the East of Mexico
Adalberto Tejeda-Martínez* Irving R. Méndez-Pérez** Alberto Utrera-Zárate** y Luis Rodríguez-Viqueira***
* Grupo de Climatología Aplicada, Ciencias Atmosféricas, Universidad Veracruzana. E-mail: atejeda@uv.mx
** Maestría en Geografía (Extensión UV). E-mail: menpez@yahoo.com.mx y autreraz@hotmail.com
*** Instituto de Ingeniería, UNAM, Circuito Escolar, Cd. Universitaria, 04510, Coyoacán, México, D. F. E-mail: lrv@pumas.iingen.unam.mx
Recibido: 12 de agosto de 2004
Aceptado en versión final: 25 de julio de 2005
Resumen
La legislación mexicana establece que las tarifas eléctricas domésticas se asignan en función de la temperatura media mensual durante el semestre más cálido. En este artículo se presenta un procedimiento que estima las temperaturas medias mensuales del verano a partir de la altitud, de modo que se pueda asignar la tarifa a cualquier sitio aun careciendo de una estación climatológica en su vecindad. Además, ante la necesidad de establecer las tarifas en función de una temperatura representativa de la sensación térmica, como es la llamada Temperatura Efectiva, se incluye una corrección adicional que debería incluirse para tomar en cuenta este criterio. Finalmente, se incluye una estimación de los impactos de esta propuesta para las finanzas de la Comisión Federal de Electricidad.
Palabras clave: Bioclima humano, tarifas eléctricas domésticas, oriente de México.
Abstract
The Mexican legislation establish that the prices of electrical power in hot/warm zones of Mexico are related with mean monthly temperatures during warmer six-months. Because the number of climatological stations is not enough to associate locations with measured temperatures, this paper proposes a linear regression procedure for estimate the mean monthly temperature as a function of altitude. In view of the evidence of the atmospheric humidity influence on human comfort perception, an additional correction by means of the Effective Temperature is presented. Finally, we estimate the financial impact of this proposal on the Federal Electricity Company.
Key words: Human bioclimate, housing electrical prices, East Mexico.
ANTECEDENTES
En México la producción, distribución y venta de energía eléctrica es una facultad exclusiva del Estado desde 1960, lo que ha permitido que a algunos sectores se les subsidie el consumo eléctrico con recursos del Gobierno Federal. La cantidad implícita en los subsidios a las tarifas eléctricas y al agua representaron más del 1% del PIB para 1998 y 0.5% para 1999, lo que equivale a dos mil millones de dólares. Un estudio realizado en el 2000 por la Organización para la Cooperación y el Desarrollo Económico (OCDE) sobre la asignación de subsidios a la energía eléctrica en México, arrojó que los tres deciles de población de menores ingresos captaron sólo 23% del subsidio, mientras que los tres más altos recibieron en conjunto un 33%. Por lo anterior, la OCDE hizo la recomendación al Gobierno Federal de revisar los subsidios de energía eléctrica, debido a que la mayor parte se otorga a las familias de consumos (e ingresos) medios y altos (OCDE, 2000).
Por su parte, la Secretaría de Hacienda y Crédito Público (SHCP) realizó un estudio similar y encontró que el decil I captó el 0.6% del subsidio a la electricidad y los hogares más ricos pertenecientes al decil X captaron el 20.3%. Los deciles I, II y III concentraron el 8.7%, mientras que los deciles VIII, IX y X captaron el 53.9% (SHCP, 2001).
En suma, ambas instituciones concluyeron que quienes obtenían un mayor beneficio en términos absolutos en la distribución de los subsidios a la electricidad son los grandes consumidores y no los hogares más pobres.
Con el argumento de minimizar esta desigualdad, la SHCP publicó en el Diario Oficial de la Federación (DOF, 2002a), un Acuerdo que autoriza el ajuste, modificación y reestructuración a las tarifas para suministro y venta de energía eléctrica y reduce el subsidio a las tarifas domésticas.
A decir de la SHCP (2002), el incremento de las tarifas eléctricas incidiría en el ingreso de los hogares de la siguiente manera: en el 2002 existían 22 millones (100%) de hogares en México con subsidio. Con el incremento a las tarifas, no se afectaría a 16.5 millones de hogares (75% del total), ya que consumen 140 kWh o menos electricidad al mes. Al 20% se le reduciría el subsidio entre 1 y 3 pesos diarios. El 5% restante, que es el de mayor consumo, quedaría sin subsidio.
El esquema de tarifas para el servicio doméstico considera entonces dos periodos del año en regiones cálidas: verano y fuera de verano. Fuera del verano se aplica en todo el país la Tarifa 1, llamada de Servicio Doméstico. El verano se define como:
... el periodo que comprende los seis meses consecutivos más cálidos del año, los cuales serán fijados por el suministrador de acuerdo con los reportes elaborados por la Secretaría del Medio Ambiente y Recursos Naturales...
Mediante el ejemplo de la Tarifa 1A, a continuación se explica cómo se establecen las tarifas domésticas de verano (DOF, 2002a):
... Esta tarifa (la 1A) se aplicará a todos los servicios que destinen la energía para uso exclusivamente doméstico, para cargas que no sean consideradas de alto consumo de acuerdo con lo establecido en la Tarifa DAC, conectadas individualmente a cada residencia, apartamento en condominio o vivienda, en localidades cuya temperatura media mensual en verano sea de 25 grados centígrados como mínimo. Estos servicios se suministrarán en baja tensión y no deberá aplicárseles ninguna otra tarifa de uso general...
... Se considerará que una localidad alcanza la temperatura media mínima en verano, cuando alcance el límite indicado durante tres o más años de los últimos cinco de que se disponga de la información correspondiente. Se considerará que durante un año alcanzó el límite indicado cuando registre la temperatura media mensual durante dos meses consecutivos o más, según los reportes elaborados por la Secretaría de Medio Ambiente y Recursos Naturales...
A partir de lo anterior, se pueden desprender consecutivamente el resto de las tarifas eléctricas mencionadas en la Tabla 1.
El beneficio de las tarifas así establecidas no se plasmó claramente en los recibos eléctricos, lo que generó movimientos de resistencia civil marchas y suspensión de los pagos de recibos de energía eléctrica en varios estados, principalmente costeros y fronterizos como Veracruz, Tabasco, Tamaulipas, Campeche, Chiapas, Chihuahua, Sonora, Baja California, Nayarit, Sinaloa y otros (Cornejo y Carrizales, 2002; Gómez et al., 2002).
Dicha inconformidad tuvo eco en el Congreso de la Unión, donde se han presentado iniciativas de modificaciones al procedimiento de definición de las tarifas eléctricas.
El 10 de abril de 2003 se aprobó en la Cámara de Senadores el:
Dictamen con proyecto de decreto que reforma y adiciona la fracción X, del artículo 31, de la Ley Orgánica de la Administración Pública Federal; que reforma y adiciona diversas disposiciones de la ley de servicio público de energía eléctrica y reforma la fracción I del artículo 3 de la Ley de la Comisión Reguladora de Energía (Cámara de Senadores, 2003).
Por tratarse de una iniciativa del Senado, será aplicada hasta que sea aprobada por el pleno de la Cámara de Diputados, lo que todavía no ocurre.
Entre otros aspectos, ese Dictamen propone crear una nueva tarifa que otorgue un trato especial a las localidades y municipios en zonas de pobreza extrema y a las comunidades indígenas; establece una tarifa especial aplicable a localidades, municipios o regiones donde están ubicadas las instalaciones de generación eléctrica; considera una tarifa horaria para usuarios residenciales con altos niveles de consumo que soliciten suministro en media tensión; propone un descuento a los jubilados y pensionados del 20% sobre el servicio doméstico facturado en los intervalos básico e intermedio; la temporada de verano comprendería los seis meses consecutivos más cálidos del año, pero podría ampliarse dos meses más; se eleva a rango de Ley la estructura tarifaria vigente (Tarifas 1A a 1F), basándose en los factores de temperatura y humedad, que determinan el índice de calor o Temperatura Aparente propuesta por Steadman (1979).
De lo esbozado anteriormente, resaltan dos temas a estudiar: primero, que la aplicación de la normatividad vigente tiene la dificultad de asignar tarifas en sitios carentes de información termométrica. Este problema consiste en encontrar un método de interpolación que a partir de la red de estaciones climáticas existentes pueda asignar tarifas a sitios carentes de datos de temperatura media mensual. El segundo, lleva a buscar una forma práctica de evaluar la sensación de confort humano, que depende fundamentalmente de la dupla temperatura/humedad atmosférica, a pesar de que la información higrométrica no se recaba de manera corriente en las estaciones climáticas de México. Como región piloto para el análisis se escogió el oriente del país (los estados de Tabasco, Veracruz y Tamaulipas) en virtud de ser de interés para la Comisión Federal de Electricidad (CFE), quien solicitó el estudio a los autores.
A estos análisis se agrega una estimación de los impactos financieros de las propuestas de este artículo sobre la CFE y se discuten varios inconvenientes de establecer las tarifas con criterios climáticos.
ZONA EN ESTUDIO
La zona en estudio comprende los estados de Tamaulipas, Veracruz y Tabasco, cuyas coordenadas van de 17° a 28° N y de 91° a 100° W. En conjunto, los tres estados abarcan la mayor parte mexicana de la vertiente del Golfo de México, como se muestra en la Figura 1.
México se encuentra en la franja de desiertos y sabanas, pero la evolución geológica ha ido formando un territorio en el que la altitud juega un papel primordial. En la zona en estudio se localiza parte de la Sierra Madre Oriental, la cual limita a la vertiente del Golfo de México. La Sierra Madre Oriental es un sistema cordillerano plegado; es decir, un conjunto de cadenas montañosas más o menos paralelas con las que se asocian valles, cuencas, planicies, mesas, entre otros, plegados a diversos tipos de montañas tectónicas formadas por dislocaciones placativas. La vertiente del Golfo de México es muy compleja, por su origen físico, su riqueza biológica y por las transformaciones sociales y culturales que la población le ha impreso (Lugo, 1989).
Para la zona en estudio sigue siendo válido el ciclo climático anual bosquejado por Domínguez (1941):
Primavera (marzo a junio): caluroso, seco y calmoso.
Verano (junio a septiembre): caluroso, húmedo y calmoso.
Otoño (octubre y noviembre): frío, húmedo y ventoso.
Invierno (diciembre a marzo): se alterna el tiempo seco frío y ventoso, con el frío húmedo y calmoso.
No obstante lo certero de la descripción anterior, la diversidad de climas en la vertiente del Golfo de México es amplia, desde los cálido húmedos hasta los templados húmedos en la zona centro de Veracruz y secos en la parte norte de Tamaulipas, mientras que la mayor parte de Tabasco tiene un clima cálido húmedo.
De acuerdo con Tejeda et al. (1989), la presencia de aire polar en la vertiente del Golfo de México puede ocurrir de octubre a mayo, presentándose como un frente frío (llamado norte), que consiste en un desprendimiento de masas de aire polar por el norte del Golfo que se extiende en la vertical hasta los 700 mb (aproximadamente 3 500 m de altitud), y provocan una disminución sensible en la temperatura superficial (hasta de 15° C en 24 horas).
Las semanas con menor frecuencia y cantidad de precipitación suelen presentarse de mediados de marzo a mediados de mayo. Durante el verano, en esta zona cesa la presencia de masas de aire polar y dominan los fenómenos tropicales: vientos alisios, ondas tropicales u ondas del este y tormentas tropicales, con el consecuente aumento de temperatura y lluvias.
En ocasiones los vientos alisios viajan en forma de ondas del este, en cuyo eje el viento cambia la dirección e intensidad provocando la inestabilidad atmosférica. Para la zona en estudio las ondas del este tienen su frecuencia máxima entre agosto y septiembre. Se forman en el Atlántico e ingresan al territorio continental después de cruzar la península de Yucatán. El paso de una de ellas deja una secuela de tres a cuatro días con lluvias, seguidos por días despejados cuando pasa la parte más sureña de la onda (Tejeda et al., 1989).
En algunos casos, a finales del verano y principios del otoño, los ciclones tropicales provenientes del Golfo de México y del mar Caribe tocan las costas o incluso penetran al territorio de Tamaulipas, Veracruz o Tabasco, provocando cambios en el régimen de lluvias, que para algunas zonas son benéficos (centro de Tamaulipas, donde generalmente preceden a esta temporada fuertes sequías que se extienden desde febrero hasta junio), mientras que para otras regiones pueden provocar severas inundaciones (principalmente en el estado de Tabasco y las partes planas de Veracruz). Según Jáuregui (2003), de los tres estados, Tamaulipas tiene la mayor incidencia de huracanes (siete en el periodo 1951-2000) comparado con Veracruz (cinco) y Tabasco (uno).
En Tamaulipas con aproximadamente 2.5 millones de habitantes en un área de 78 932 km² según el Censo 2000 (INEGI, 2003) los climas van de los subhúmedos y húmedos con lluvias en verano en la zona sur-sureste, hasta climas templados y secos en el altiplano tamaulipeco. En la zona centro existe un clima semi-seco y semi-cálido con lluvias escasas todo el año (la precipitación media anual es de 891mm) y éstas se presentan con mayor frecuencia e intensidad entre los meses de junio a octubre. La humedad relativa media es de 67.5%. En la planicie costera y en la zona centro (zona de clima cálido subhúmedo) durante el verano la temperatura llega a sobrepasar los 40° C. De los 23° N hacia el norte, hay una mayor presencia de climas tipo Bs1(h)hw cálidos y muy cálidos semisecos- y Bs0(h)hw cálidos y muy cálidos semiáridos (García, 1981).
En términos de la clasificación climática de Köppen, García (op. cit.) muestra que en la mayor parte del estado de Tabasco y sur de Veracruz se presentan los climas Am cálidos y muy cálidos húmedos; para las partes bajas del centro de Veracruz hay una mayor presencia de climas Aw cálidos y muy cálidos subhúmedos y en las partes altas (A)C(fm)a(e) semicálidos y templados húmedos. Particularmente el estado de Veracruz 6.7 millones de habitantes en 71 735 km² (INEGI, 2003) se localiza en la franja inter-tropical y cuenta con una gran diversidad de climas debido a que su territorio posee grandes diferencias de altitud: desde el nivel del mar hasta la altura máxima del país (5 700 msnm, que corresponde al volcán Pico de Orizaba). El resultado es que los climas se distribuyen fundamentalmente paralelos a la costa de la siguiente manera: cálidos húmedos (en la costa), cálidos subhúmedos (planicie costera), templados húmedos (parte este de la vertiente del Golfo, a barlovento), templados subhúmedos (parte oeste de la vertiente, a sotavento) y frío (en los picos de las montañas).
Los climas cálidos húmedos cubren aproximadamente el 80% del territorio veracruzano y comprenden las llanuras costeras del Golfo norte y el Golfo sur, hasta una altitud aproximada de 1 000 msnm. La temperatura media anual en estas regiones es de 22° C, mientras que la más baja es de 18° C en el mes más frío (enero). Las zonas ubicadas a una altitud de entre 1 600 y 2 800 msnm poseen climas templados. Estos climas se encuentran en el área más occidental del estado y se caracterizan por una temperatura media anual que oscila entre 12 y 18° C, con lluvias esencialmente en verano. Por otro lado, el obstáculo que forman las elevaciones del Eje Neovolcánico y la Sierra Madre Oriental, no permite la llegada de aire húmedo con igual intensidad en la zona de Perote y al oeste de la huasteca, y el clima que resulta es semi-seco templado con lluvias en verano, donde la temperatura media anual es de 14° C (Tejeda et al., 1989).
Finalmente, Tabasco 1.7 millones de habitantes en 24 578 km² se caracteriza por sus extensas llanuras costeras, pantanos y lagunas, que son responsables del clima prevaleciente en el estado. La temperatura media mensual va de 17° C en los meses de invierno a 40° C en los meses de verano, con una media anual de 26.8° C. El clima es considerado como cálido húmedo con abundantes lluvias en verano (75% de la precipitación anual ocurre de junio a octubre), aunque llueve parcialmente durante todo el año. En otoño e invierno se presentan los nortes, tormentas acompañadas de fuertes vientos provenientes del Golfo de México. Además, Tabasco concentra la tercera parte de los recursos hídricos del país. Existen cerca de 22 000 ha de lagunas costeras y 110 000 ha de aguas interiores, 65 000 ha de manglares, así como 4 000 km de ríos y casi 2 200 mm de lluvia al año (INEGI, 2004).
DATOS Y MÉTODO
Se utilizaron datos de la Comisión Nacional de Agua (CNA) de temperaturas medias mensuales de los cinco años más recientes para 46 estaciones del estado de Tamaulipas, 110 para Veracruz y 32 para Tabasco para el periodo 1999-2003, y se agregaron dos localidades del estado de Texas (Brownsville y Corpus Christi) para el mismo periodo, tomadas del boletín climático del Departamento de Ciencias Atmosféricas de la Universidad de Texas (Texas A&M University, 2003).
A pesar del número de estaciones utilizadas, se está lejos de resolver la necesidad de asignar de manera confiable una temperatura media mensual observada a cada usuario (toma) de energía eléctrica, por lo que se buscó modelarla estadísticamente en función de la altitud.
Las estaciones utilizadas (Figura 1) para la obtención de los modelos de regresión fueron divididas en tres franjas: la primera va de 17.0 a 18.9° N, la segunda de 19.0 a 22.9° N, y tercera de 23.0 a 28.0° N. Esas franjas fueron identificadas principalmente por dos razones: una estadística y otra climática. El criterio estadístico buscó lograr un buen ajuste entre los datos observados de temperatura contra la altitud; las estaciones climatológicas del sur del estado de Veracruz se incorporaron a las del estado de Tabasco, ya que este último tiene poca variación altitudinal y los modelos de regresión lineal no lograban un buen ajuste, a menos que se agregaran estaciones a altitudes mayores, de modo que la franja 1 comprende parte de la región de Los Tuxtlas en el estado de Veracruz.
La razón climática responde a los patrones de temperatura en la zona en estudio, que presentan configuraciones y comportamientos diferentes para cada franja: en la franja 1 predominan los climas cálidos húmedos y tiene como mes más cálido mayo, mientras que para la franja 2 dominan los cálido subhúmedos con junio como mes más caluroso, y la tercera se reparte entre secos y templados subhúmedos con agosto como el más caluroso (Tejeda et>al., 1989; Coll, 2000). Esta marcha anual de la temperatura media mensual en la zona en estudio se puede apreciar en la Figura 2.
a) Estimación de la temperatura media mensual
Para cada sección latitudinal se determinó el semestre de verano, que en su mayoría resultó ser de abril a septiembre, generalizándose así en este estudio para los tres estados, pues los casos que no cumplen con este patrón (veranos marzo-agosto, franja 3; y mayo-octubre, franjas 1 y 2 en la Figura 1) son excepcionales (7% de las estaciones climatológicas estudiadas).
Con el total de los datos (190 estaciones de los tres estados, incluyendo las dos del estado de Texas), se calculó el coeficiente de correlación lineal (R) de las temperaturas medias mensuales (Tm) contra las coordenadas geográficas de cada estación: la latitud, la longitud y la altitud. La relación entre la temperatura y la altitud es clara, ya que los coeficientes de correlación entre estas viables durante el verano van de -0.92 a -0.96, mientras que para la latitud y la longitud los coeficientes de correlación fueron relativamente bajos (Tabla 2).

A partir de esos resultados se obtuvieron modelos de regresión simple para estimar las temperaturas medias mensuales (Tm) en función de la altitud (Z en metros), con a y b los coeficientes de regresión estimados para cada franja y cada mes (36 ecuaciones en total):

Las ecuaciones fueron generadas para el quinquenio 1999-2003, información suficiente para determinar tarifas eléctricas domésticas según el criterio de la SHCP (DOF, 2002a). Los coeficientes de correlación lineal, R, estuvieron entre -0.64 (abril de 1999, zona 3) y -0.99 (octubre de 2002, zona 1), con errores estándar de estimación (ESR) de 0.56° C (julio de 2003, franja 1) a 2.0° C (agosto de 1999, franja 2, y abril de 1999, franja 3; Figuras 3 a y 3b).
Como parte del control de calidad en los datos, se eliminaron los casos en que las temperaturas medias mensuales se alejaron de las rectas de regresión en más de 4° C, es decir, que siguiendo un criterio climático más que estadístico, fueron considerados como puntos aberrantes (Utrera, 2004).
En algunos trabajos (Tejeda et al., 2003; Utrera, 2004) se ha intentado proponer una corrección a las tarifas eléctricas por el calentamiento urbano, el fenómeno conocido como isla de calor. Como no existen mediciones para las principales ciudades de la zona en estudio, en esos trabajos se ha propuesto estimar la intensidad máxima del calentamiento urbano en términos de la población de la ciudad (Jáuregui, 1986), pero como la isla no abarca a toda la ciudad ni es permanente, ese valor máximo ha sido dividido entre cuatro (considerando que el fenómeno ocurre la mitad del tiempo en la mitad de la ciudad). Como sea, la estimación es arbitraria y aquí sólo se menciona pero se reconoce que la modelación del impacto de las islas de calor en las tarifas eléctricas es un asunto pendiente.
BIOCLIMATOLOGÍA
La Sierra Madre Oriental actúa como una barrera que impide el paso hacia occidente de los vientos húmedos procedentes del Golfo de México. A barlovento queda atrapada la humedad o se condensa y descarga como precipitación, y en combinación con las temperaturas elevadas se generan condiciones bioclimáticas diferentes a las que se dan en el Altiplano. A partir de los datos de las Normales Climatológicas 1961-1990 (CNA, 2003), se observa que la humedad relativa mensual durante todo el año, en la zona en estudio, está por encima del 70%, intensificándose en el periodo de verano.
La humedad atmosférica en cantidades elevadas impide o dificulta la transpiración del humano, y consecuentemente la sensación de calor se intensifica, dando por resultado que los usuarios de energía eléctrica en zonas altamente húmedas se vean obligados a un mayor consumo de energía en ventilación, y aire acondicionado para mitigar la sensación de incomodidad térmica, y en refrigeración para preservar el buen estado de los alimentos; por lo tanto, es importante considerar el uso de un índice bioclimático que considere a la humedad ambiente.
Lo anterior se confirma con los estudios de bioclima humano publicados durante el siglo XX, que coinciden en enlistar a la temperatura, la radiación solar y la emitida por los alrededores, el viento y la humedad atmosférica, como los principales elementos ambientales en la sensación térmica del humano (Auliciems y De Dear, 1998). Evidentemente, en el interior de una edificación el viento y la radiación solar pueden controlarse, quedando entonces como las más importantes la temperatura y la humedad atmosférica.
Uno de los principales objetivos de la bioclimatología humana es la estimación de una zona de bienestar o confort térmico, definido como el conjunto de condiciones en que la mente expresa satisfacción con el "ambiente térmico" (ASHRAE, 1966) o con el medio que le rodea (Fanger, 1970); es decir, la ausencia de irritación o de malestar térmico (Givoni, 1997). La cuantificación de las sensaciones térmicas en escalas que permitan determinar las respuestas del individuo ante condiciones climáticas específicas resulta en índices, diagramas o cartas bioclimáticas, algunas veces mediante modelos computacionales (Auliciems y De Dear, 1998).
En una revisión de índices bioclimáticos que se han utilizado en México en los últimos 40 años, se encontró que la Temperatura Efectiva (TE) es el más utilizado en regiones tropicales (Méndez, 2004).
En el Dictamen aprobado el 10 de abril del 2003 por la Cámara de Senadores se propone la Temperatura Aparente (Steadman, 1979) como índice bioclimático para el establecimiento de tarifas, por lo que se comparan ambos índices: la Temperatura Aparente y Temperatura Efectiva, utilizando los datos medios mensuales de temperatura ambiente (T) en grados centígrados y humedad relativa en porcentaje (%), de los 66 observatorios meteorológicos del país, tomados de las Normales Climatológicas del periodo 1961-1990 (CNA, 2003), resultando una correlación de 0.96, lo que indica que es indistinto utilizar cualquiera de ellos. Sin embargo, de acuerdo con Auliciems y De Dear (1998), el Predicted Mean Vote (PMV, índice basado en el balance energético del cuerpo humano; Fanger (1970) junto con la TE, representan físicamente el mejor intento para cuantificar la respuesta fisiológica humana al medio térmico. Misma conclusión encontraron Jáuregui et al. (1997) para la Ciudad de México al obtener un alto coeficiente de correlación (0.96) entre la TE y el PMV, si para el cálculo de éste se fijan las condiciones de actividad física, arropamiento, estatura y peso de la persona.
Por todo lo anterior, y debido a la complejidad y requerimientos de datos de entrada en los modelos de balance energético humano como el PMV, es válido utilizar índices bioclimáticos "simples", como la Temperatura Efectiva, que además ha sido ampliamente utilizada en estudios bioclimáticos en regiones tropicales, particularmente en México como se puntualizó anteriormente, no obstante que Tromp (1980) ha criticado su insensibilidad a altas humedades en climas cálidos.
a) Temperatura Efectiva
Missenard (1937) definió a la TE como el equivalente a la temperatura de aire en calma que experimentaría un sujeto sedente, sano, a la sombra, vestido con ropa de trabajo, si la humedad relativa fuera del 100%. Su expresión matemática es:

donde Ta es la temperatura del aire en grados centígrados y HR la humedad relativa en porcentaje.
Para proponer una estimación de las tarifas eléctricas domésticas a partir de la TE es necesario contar con valores medios mensuales de la temperatura y humedad relativa. Sin embargo, en la zona en estudio y su vecindad inmediata únicamente se cuenta con diez observatorios meteorológicos, que rutinariamente registran datos de humedad atmosférica (Tabla 3).
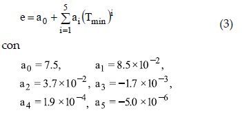
Una manera de estimar la humedad relativa media mensual es el procedimiento de Tejeda y Rivas (2003). Primero, se estima la presión de vapor e (hPa) promedio mensual mediante una ecuación de regresión polinomial de quinto grado:

donde Tmin es el promedio mensual de temperatura mínima en grados centígrados. El error estándar de estimación es de 3.1 hPa y el coeficiente de correlación lineal de 0.91 (para 67 observatorios meteorológicos en México y 12 meses, es decir, 804 casos).
La presión de vapor de saturación es (en hPa) se puede calcular con la ecuación de Adem (1967):

con bo = 6.115, b1 = 0.42915, b2 = 1.4206 x 10-2, b3 = 3.046 x 10-4, b4 = 3.2 x 10-6.
La humedad relativa (HR en %):

se obtiene sustituyendo las ecuaciones 3 y 4 en la 5.
Para evaluar la bondad del procedimiento anterior en la región en estudio, se hizo la comparación de la humedad relativa media mensual registrada en los observatorios meteorológicos (CNA, 2003) con la humedad estimada con las ecuaciones 3, 4 y 5, y se obtuvo un error estándar de estimación de aproximadamente 3% de humedad relativa, valor que está dentro del error instrumental (Tablas 4, 5 y 6).
El promedio de la humedad relativa media mensual en verano se obtuvo considerando el valor medio estimado en las estaciones climatológicas promediado con el medido por los observatorios meteorológicos para las Normales Climatológicas 1961-1990. Para las franjas 1 y 2 fue del 77% y para la franja 3 del 69%.
De los trabajos de Fanger (1970), Givoni (1997) y Auliciems y De Dear (1998) se desprende el consenso de que el valor de la humedad relativa promedio para que el ser humano esté en confort térmico es alrededor del 60%.
Sustituyendo este valor en la ecuación 2 se tiene la TE en situación de bienestar en términos de humedad relativa (TE60):

Tomando en cuenta la humedad relativa media de cada franja, se tendrían las siguientes expresiones de la TE:
En la franja 1 (con HR del 77%):

Se encontraron los incrementos de la sensación térmica por TE para cada franja, resultado de restar la ecuación 6 de las 7a, 7b y 7c (Méndez, 2004):
Para la franja 1:

RESULTADOS Y SUGERENCIAS
Para los estados de Tabasco, Veracruz y Tamaulipas, este artículo propone un método con alto grado de confiabilidad, que permite estimar la temperatura media mensual en función de la altitud del lugar, aun cuando no exista ahí una estación termopluviométrica.
De este modo se pueden determinar las tarifas eléctricas de cualquier usuario o vivienda electrificada o por electrificar, aun en poblaciones o localidades no reconocidas por el Instituto Nacional de Estadística, Geografía e Informática (INEGI), ya que únicamente son necesarios los datos de latitud y altitud. La Tabla 7 resume la escala de tarifas en la zona en estudio a partir de las temperaturas medias mensuales durante el quinquenio 1999-2003, sin considerar el efecto de la humedad. En la franja 1 y 2 se alcanza la tarifa 1C en localidades que están desde el nivel del mar hasta los 149 m de altitud, mientras que para la franja 3 se alcanza la tarifa 1D en localidades que están entre el nivel del mar hasta los 49 m.
Si se parte de la información de usuarios al 2002 (CFE, 2003), la reclasificación de tarifas propuesta en la Tabla 7 tendría un impacto financiero para la CFE en los tres estados (Tamaulipas, Veracruz y Tabasco) de aproximadamente de 800 millones de pesos anuales.
En razón de las condiciones hígricas de la zona en estudio y del efecto de la humedad en la sensación de confort térmico del humano, se propuso una forma de incorporar la humedad atmosférica a través de un índice bioclimático que tiene una alta respuesta fisiológica al confort térmico humano en regiones tropicales (como la vertiente del Golfo de México): la Temperatura Efectiva, que ha tenido una amplia aplicación en nuestro país, ha mostrado una alta correlación con modelos basados en la ecuación de balance de energía en el humano, y tiene una expresión algebraica simple. Sin embargo, este índice requiere como datos de entrada la temperatura y la humedad relativa, por lo que en este trabajo se aplicó un procedimiento ya probado anteriormente (Tejeda y Rivas, 2003) para estimar la humedad relativa en estaciones climatológicas de México, y que en la región en estudio tuvo un error estándar de estimación del 3% de humedad relativa.
El resultado de considerar el efecto de la humedad mediante la aplicación de las ecuaciones 8a, 8b y 8c son las escalas tarifarias de la Tabla 8. Mientras que actualmente el 63% de usuarios en Veracruz y el 0.2% en Tabasco tienen tarifa 1C y ninguno alcanza la 1D o de mayor rango alfabético, y escasamente el 32% alcanza la 1E en Tamaulipas, con la propuesta de esta tesis se estima que la tarifa 1E se debería aplicar al 97% de los usuarios en Tabasco, al 31% en Veracruz, y al 56% en Tamaulipas, y consecuentemente habría una repercusión negativa en las finanzas de la CFE. En total, se tendría una disminución promedio en los ingresos anuales por cada estado (Tabasco, Veracruz y Tamaulipas) de 200 a 300 millones de pesos, que sumados arrojan aproximadamente 900 millones de pesos; cien millones de pesos más que con el esquema que no incorpora el efecto de la humedad atmosférica.
Si bien el tema de las tarifas es de actualidad, tiene raíces añejas. Surgió cuando menos hace 80 años y en los últimos 30 ha girado en torno a criterios climáticos. De mantenerse este enfoque, se debería elaborar un estudio integral para todo el territorio mexicano, a fin de establecer un modelo nacional incorporando la humedad, y en esa lógica se deberían aprobar tarifas preferenciales de electricidad y gas doméstico, por ejemplo para localidades de climas templados y fríos, donde el consumo de energía se incrementa en el invierno por el uso de calefactores y porque el gas requerido para calentar agua también aumenta.
Otro aspecto a considerar es que la norma vigente para el cálculo de tarifas eléctricas domésticas, establece que se debe contar con la temperatura media mensual en el verano de los últimos cinco años de que se disponga de esta información, abriendo así la probabilidad de actualizar las tarifas cada año, pero en algunos casos hay un atraso de uno o más años en la información climática disponible, amén de que la actualización anual resulta conflictiva porque causa desorientación y malestar entre los usuarios. Una alternativa sería una reclasificación tarifaria cada diez años, tomando como referencia "las normales climatológicas" expedidas por la CNA cada década.
También debería considerarse la oscilación térmica diaria y/o anual o los promedios de temperaturas extremas o alguna medida de la variabilidad de la temperatura, ya que hay zonas en las que la temperatura media mensual no representa significativamente el clima térmico de la región; como el estado de Tamaulipas, que presenta una oscilación térmica mensual de casi 20°, lo que representa un gasto excesivo de electricidad, por la alternancia de uso de sistemas de enfriamiento o ventilación y en ocasiones de calefacción.
Pero como ya se insinuó anteriormente, el criterio climático para el establecimiento de tarifas eléctricas domésticas no necesariamente lleva a una justa distribución del subsidio, puesto que beneficia a los usuarios que necesitan consumir más energía eléctrica y en consecuencia propicia el consumo en lugar del ahorro. En resumen, el subsidio está dirigido a la población que se encuentra en el estrato de ingreso económico medio-alto, no subsidiando a la población que más lo necesita. Por lo anterior, se sugiere analizar una total reestructuración de las tarifas eléctricas de uso doméstico, tomando en cuenta, por ejemplo, el ingreso económico, el grado de marginación y el consumo de energía, buscando que los usuarios de alto subsidien a los de menor consumo, y consecuentemente fomentar así el ahorro de electricidad.
REFERENCIAS
Adem, J. (1967), "Parameterization of atmospheric humidity using cloudiness and temperature", Monthly Weather Review, 95:83-88. [ Links ]
American Society of Heating, Refrigerating and Air Conditioning Engineers, ASHRAE (1966), American Society of Heating, Refrigerating, and Air Conditioning Engineers Standard 55-56: Thermal environmental conditions for human occupancy, ASHRAE, Atlanta, Ga. [ Links ]
Auliciems, A. and R. de Dear (1998), "Thermal adaptation and variable indoor climate control", en Auliciems, A. (ed.), Advances in bioclimatology 5, Springer Verlag, Nueva York. [ Links ]
Cámara de Senadores (2003), "Dictamen con proyecto de decreto que reforma y adiciona la fracción X, del artículo 31, de la Ley Orgánica de la Administración Pública Federal; que reforma y adiciona diversas disposiciones de la ley de servicio público de energía eléctrica y reforma la fracción I del artículo 3 de la Ley de la Comisión Reguladora de Energía", Gaceta Parlamentaria No. 97 publicada el jueves 10 de abril de 2003. [ Links ]
CFE (2003), Página Web [en línea] www.cfe.gob.mx, visitada en diciembre de 2003. [ Links ]
CNA (2003), Normales Climatológicas Estándar y Provisionales 1961-1990, Subdirección General Técnica de la Unidad del SMN, Página Web [en línea] www.smn.cna.gob.mx, visitada en diciembre de 2003. [ Links ]
Coll-Hurtado, A. (2000), México: una visión geográfica, Colección Temas Selectos de Geografía de México (II.1), Plaza y Valdez e Instituto de Geografía, UNAM, México. [ Links ]
Cornejo, J. y D. Carrizales (2002), "Movilizaciones de usuarios contra la CFE en el norte del país por las nuevas tarifas eléctricas", La Jornada en línea: www.lajornada.com.mx, Sección Política, martes 28 de mayo. [ Links ]
Diario Oficial de la Federación (DOF; 2002a), Acuerdo que autoriza el ajuste, modificación y reestructuración a las tarifas para suministro y venta de energía eléctrica y reduce el subsidio a las tarifas domésticas, Poder Ejecutivo/Secretaría de Hacienda y Crédito Público, publicado el jueves 7 de febrero de 2002, pp. 2-13. [ Links ]
Diario Oficial de la Federación (DOF; 2002b), Acuerdo que autoriza el ajuste, modificación y reestructuración a las tarifas para suministro y venta de energía eléctrica. Poder Ejecutivo/Secretaría de Hacienda y Crédito Público, publicado el lunes 8 de abril de 2002, pp. 6-8. [ Links ]
Domínguez, E. (1941), Elementos de previsión del tiempo en México, Centro de Previsión del Golfo, Veracruz, mimeografiado. [ Links ]
Fanger, P. O. (1970), Thermal comfort, Danish Technical Press, New York. [ Links ]
García, E. (1981), Modificaciones al sistema de clasificación climática de Köppen, 3ª. edición, Ed. Larios, México. [ Links ]
Givoni, B. (1997), Climate considerations in building and urban design, John Wiley and Sons, Inc., New York. [ Links ]
Gómez, C., D. Sosa y J. Narváez (2002), "Se multiplican protestas por alza de tarifas eléctricas", La Jornada en línea: www.lajornada.com.mx, Sección Política, viernes 30 de agosto. [ Links ]
INEGI (2004), Página Web [en línea] www.inegi.gob.mx, visitada en noviembre 2004. [ Links ]
Jáuregui, E. (1986), "The urban climate of Mexico City", Urban climatology and its applications with special regard to tropical areas, World Meteorological Organization, 652:63-85. [ Links ]
Jáuregui, E., J. Cervantes y A. Tejeda (1997), "Bioclimatic conditions in Mexico City: an assessment", Int. J. Biometeorol., 40:166-177. [ Links ]
Jáuregui, E. (2003), "Climatology of landfalling hurricanes and tropical storms in Mexico", Atmósfera, 16:193-204. [ Links ]
Lugo, J. (1989), Diccionario Geomorfológico, Instituto de Geografía, UNAM, México. [ Links ]
Méndez, I. R. (2004), Consideraciones bioclimáticas para el establecimiento de las tarifas eléctricas domésticas en los estados de Tabasco, Veracruz y Tamaulipas, tesis de Maestría en Geografía, Facultad de Filosofía y Letras, UNAM (extensión UV), México. [ Links ]
Missenard, A. (1937), L'Homme et le climat, Eyrolles, París. [ Links ]
OCDE (2000), Estudios Económicos de la OCDE, Organización para la Cooperación y el Desarrollo Económico, México. [ Links ]
SHCP (2001), "Distribución del pago de impuestos y recepción del gasto público por decibles de ingreso de las familias", Gaceta Parlamentaria de la Cámara de Diputados del 15 de marzo de 2001, Secretaría de Hacienda y Crédito Público, México. [ Links ]
SHCP (2002), "¿En qué consiste la disminución del subsidio?", Boletín de prensa emitido por la SHCP y la SE, el 7 de febrero de 2002, Secretaría de Hacienda y Crédito Público, México. [ Links ]
Steadman, R. G. (1979), "The assessment of sultriness, Part I: a temperature-humidity index base on human physiology and clothing science", J. Appl. Meteorol., 18: 861-873. [ Links ]
Tejeda, A., F. Acevedo y E. Jáuregui (1989), Atlas climático del estado de Veracruz, Universidad Veracruzana, México. [ Links ]
Tejeda, A. y D. Rivas (2003), "El bioclima humano en urbes del sur de México para condiciones de 2CO2 atmosférico", Investigaciones Geográficas, Boletín, núm. 51, Instituto de Geografía, UNAM, México, pp. 37-52. [ Links ]
Tejeda, A., I. R. Méndez y A. Utrera (2003), "Bases (bio)climáticas para la determinación de las tarifas eléctricas domésticas en el estado de Veracruz", Reporte Técnico, Universidad Veracruzana, Comisión Federal de Electricidad (División Oriente) y Gobierno del Estado de Veracruz. [ Links ]
Texas A & M University (2003), Boletín climático del Departamento de Ciencias Atmosféricas, Página Web [en línea] http://www.met.tamu.edu/osc/tx/txyear.html, visitada en noviembre de 2003. [ Links ]
Tromp, S. (1980), Biometeorology, Heyden, London. [ Links ]
Tudela, F. (1982), Ecodiseño, UAM-Xochimilco, México. [ Links ]
Utrera, A. (2004), Consideraciones climáticas para la determinación de las tarifas eléctricas domésticas en los estados de Tamaulipas, Veracruz y Tabasco, tesis de Maestría en Geografía, Facultad de Filosofía y Letras, UNAM (extensión UV), México. [ Links ]













