Chemistry will become a branch of applied mathematics, but it will not cease to be an experimental science.
(Brown, 1864)
Introducción
La solución de muchos problemas que recaen en la aplicación de la química, parte de la comprensión de la información estructural ponderando diferentes efectos estéricos, electrónicos y geométricos de las moléculas involucradas. El químico, en su necesidad de conocer y comprender la estructura molecular, construye modelos que buscan ser los más apegados a la realidad y esta construcción juega un papel muy importante en la ciencia y la tecnología. Los modelos abarcan desde construcciones físicas a escala (maquetas y modelos moleculares) hasta construcciones abstractas conformadas por sistemas de ecuaciones (modelos matemáticos). Un modelo científico es, necesariamente, una representación simplificada de un fenómeno de interés en el que únicamente se toman en cuenta las propiedades que resultan relevantes y, por otro lado, se ignoran aquellas que complican de manera innecesaria la representación (Suckling et al., 1978; Maksi´c, 1987); estos modelos se aplican para plantear relaciones entre la estructura de una molécula y propiedades asociadas a su reactividad o actividad biológica. En general, la comprensión de los elementos que definen la estructura de la materia es un proceso complejo que conlleva el desarrollo de habilidades intelectuales que trascienden al conocimiento básico que se puede obtener de cualquier libro de química a nivel universitario, donde, normalmente, se presenta una visión sencilla de la estructura de una molécula. En principio, la estructura molecular parte de su concepción como una figura geométrica dentro de un espacio bidimensional o tridimensional, en donde esta geometría nos permite estudiar las propiedades que se mantienen invariantes, para ello, a tales objetos geométricos se les debe aplicar diferentes transformaciones como son: la rotación alrededor de un eje, la reflexión a través de un plano, la traslación del origen de referencia, la multiplicación por un número positivo (escalamiento) o bien, transformaciones obtenidas como resultado de la composición de dos o más de aquellas.
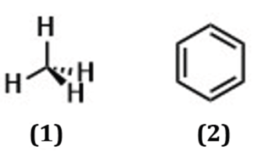
En este enfoque, las características geométricas de una molécula, tales como las distancias y ángulos de enlace y los correspondientes ángulos diedros, son propiedades fundamentales para caracterizar a las moléculas como objetos geométricos con propiedades como el volumen, momento dipolar, punto de ebullición, etc. Como consecuencia, es común pensar en la estructura de las moléculas como objetos geométricos simples, así, el átomo de carbono tetraédrico del metano (1) y la planaridad del benceno (2) son objetos con los que nos familiarizamos sin ampliar nuestra visión de ellos (Figura 1). Sin embargo, otras propiedades moleculares no dependen de la geometría, del tamaño o de la forma, y quedan determinadas esencialmente por la manera en que los átomos constituyentes se conectan unos con otros, sin tener en cuenta su naturaleza ni el tipo de enlace entre ellos, lo que introducimos como “topología molecular”. Además de la conectividad, se puede afirmar que, la construcción de un modelo topológico de la materia, a partir de nuestra concepción geométrica, se puede convertir en una generalización que puede resultar muy útil para el químico en formación.
De esta manera, la topología es una rama de las matemáticas que tiene que ver con la noción de cercanía y continuidad entre objetos matemáticos, de tal manera que aporta criterios para determinar si dos objetos son equivalentes o no, lo que se verifica mediante la idea de transformar uno en otro mediante transformaciones continuas llamadas homeomorfismos, estas transformaciones pueden tener ciertas propiedades, las cuales, de existir, se llamarán propiedades topológicas, o invariantes topológicos (Brown, 1864; Sylvester, 1878; Ayers et al., 2015).
En términos simples, la topología estudia las propiedades de ciertos objetos matemáticos conocidos como espacios topológicos, los que pueden imaginarse como objetos hechos de un material elástico ideal, en ese sentido, una banda elástica es, sólo, un ejemplo de este tipo de objetos en nuestra experiencia cotidiana. Un objeto topológico puede transformarse en otro mediante alargamientos y torsiones, siempre y cuando no haya rupturas, desconexiones y/o nuevas conexiones. De esta manera, un objeto simple como el etano (3) se concibe como un objeto con propiedades geométricas bien definidas, sin embargo, desde su equilibrio conformacional, se pueden generar sus correspondientes representaciones topológicas, siempre y cuando su conectividad se mantenga constante (Esquema 1). En la representación de los espacios topológicos del etano, se observa que, a todo punto de uno de los objetos le corresponde uno y sólo uno del otro, y a dos puntos vecinos de uno, corresponden dos puntos vecinos en el otro; así, se dirá que ambos objetos son topológicamente equivalentes y las propiedades que se mantienen invariantes en ambos son sus propiedades topológicas, o invariantes topológicos, en consecuencia, en el caso de existir rupturas o desconexiones al transformar uno en otro, habría que aceptar que se trata de objetos topológicamente no equivalentes (Mendelson, 1963; Prasolov, 2000).

Esquema 1 Equilibrio conformacional del etano (3) y la formación de sus correspondientes objetos topológicamente equivalentes.
En este sentido, el desarrollo de la teoría cuántica y su uso para realizar una descripción más acertada del mundo de los átomos y moléculas ha traído consigo la necesidad de agregar temas avanzados de análisis funcional, teoría de grupos, matemáticas discretas, variable compleja, estadística, probabilidad, y, finalmente, de topología, tema de interés en este trabajo. Hoy en día, se reconocen muchos fenómenos cuya representación a través de objetos topológicos puede ser sumamente útil para describir relaciones a través del espacio; por ejemplo, la distribución de la densidad electrónica y su construcción, a partir de la simetría de los orbitales y de toda la química que se ha logrado desarrollar a partir de esta propuesta, ha permitido relacionar un mecanismo de reacción con la concepción de los orbitales moleculares. La construcción de objetos topológicos adecuados para describir estos conceptos podría ayudar de manera significativa al químico a continuar y ampliar su visión de fenómenos optoelectrónicos, de reactividad, etc. El objetivo de este trabajo es describir, de manera informal e intuitiva, cómo la topología se utiliza en el estudio de moléculas mediante el concepto de invariante topológico en la fórmula estructural de un compuesto. Lo anterior conduce a la topología en espacios discretos, esto es, en conjuntos finitos cuyos elementos se pueden numerar o contar.
Moléculas, Grafos y Topología
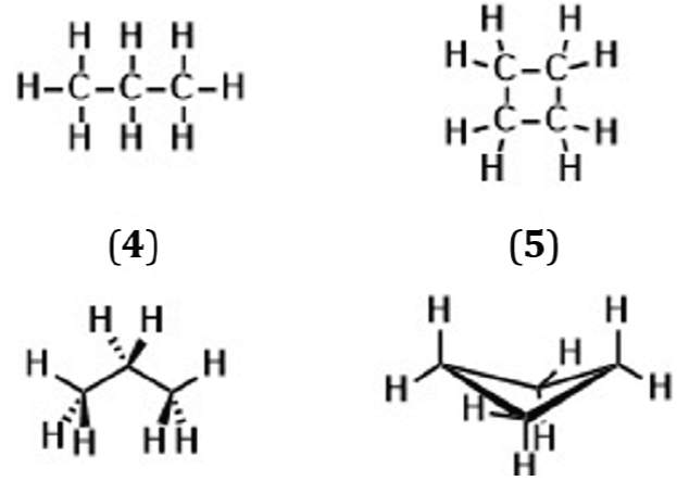
Un concepto básico asociado a la química es el de fórmula estructural o constitucional de un compuesto, la cual incluye información sobre la composición y estructura molecular del mismo. En la fórmula estructural, una molécula se representa como un conjunto de átomos identificados por letras en un arreglo espacial bien definido mediante líneas que indican los enlaces entre ellos; así, la fórmula estructural tiene una representación gráfica conocida como estructura de Lewis (Prelog, 1975/76; Polansky, 1989; Diudea y Lorentz, 1999). Los químicos orgánicos Couper, Butlerov y Kekulé fueron los pioneros en representar un enlace covalente entre dos átomos como una línea que une a dos puntos. De esta manera, es normal describir moléculas sencillas mediante este tipo de representaciones; por ejemplo, a continuación, se muestran las estructuras de Lewis del propano (4) y del ciclobutano (5) con sus respectivas representaciones conformacionales (Figura 2).

Figura 2 Estructuras de Lewis (arriba) y representaciones conformacionales (abajo) de las moléculas de propano (4) y ciclobutano (5).
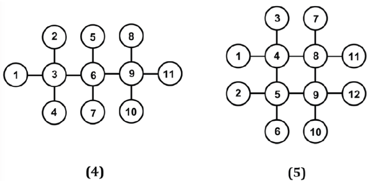
Si en una estructura de Lewis se hace caso omiso de la naturaleza de los átomos y del tipo de enlace entre ellos, se tiene un ejemplo de lo que, en matemáticas discretas, se conoce como un grafo. Un grafo es un objeto matemático que describe con líneas las interconexiones entre objetos. En el caso de las gráficas de Lewis, los objetos son los átomos y las líneas son los enlaces químicos; en la Figura 3, podemos ver los grafos de las moléculas 4 y 5, respectivamente. Los grafos simplifican el esquema molecular, ya que sólo muestran como propiedad relevante, la conectividad en la molécula, es decir, los enlaces químicos entre los átomos, haciendo a un lado otras características estructurales tales como la geometría, la estereoquímica y la quiralidad.

Figura 3 Grafos de las moléculas (4) y (5). Los átomos son los vértices y los enlaces, los lados, la numeración es arbitraria.
Un grafo simple, G (Polansky, 1989; Harary, 1969), es un par ordenado de conjuntos no vacíos, V y E:
El primero, V, es el conjunto de vértices, mientras que el segundo, E, es el conjunto de lados que se definen como parejas no ordenadas de vértices distintos. El tratamiento matemático de los grafos se conoce en la literatura como teoría de grafos.
A una fórmula estructural molecular se le puede asociar de manera única un grafo, si cada uno de los átomos de la molécula, sin importar su naturaleza, queda representado mediante un pequeño círculo, formando así el conjunto de vértices del grafo, V, y el conjunto de lados, E, que es un conjunto de pares no ordenados de vértices distintos que se representa como líneas o aristas que unen a cada par de átomos enlazados, es decir con cada enlace entre dos átomos distintos. En este contexto se dice que la fórmula estructural de una molécula queda modelada mediante un grafo molecular completo (Figura 3).
Dos vértices en el grafo se llaman adyacentes si son el par que define a un lado; de tal manera que el grado de un vértice se define como el número de sus vértices adyacentes y, dos lados se dicen adyacentes si tienen un vértice común. Tomando en cuenta que, una trayectoria, es una sucesión de pares de vértices adyacentes distintos, es decir, una sucesión de lados distintos y el número de lados que la forman es la longitud de la trayectoria; entonces, un grafo se dice conexo si para cada par de vértices en el grafo, existe por lo menos una trayectoria que une un vértice con el otro.
Dado un grafo conexo G, es posible definir la distancia, d, entre dos de sus vértices, u y v, como la longitud de la trayectoria más pequeña entre u y v, es decir, la longitud de la trayectoria con menos lados que se puede construir para unir los vértices u y v. Esta definición de distancia satisface las propiedades que definen el concepto matemático de métrica (Iribarren, 1973). Así, el par formado por el grafo conexo, G, y la distancia, d, definida entre los vértices del grafo, conforman un objeto matemático conocido como un espacio métrico (Iribarren, 1973).
Las propiedades de un grafo molecular completo, G, se corresponden con propiedades de la molécula, M, modelada tal y como se describe a continuación.
El número de vértices del grafo es igual al número de átomos de M.
El grado de un vértice de G y el número de coordinación del correspondiente átomo en M, son numéricamente iguales.
Un lado corresponde a un enlace covalente en M.
Como G es conexo, se cumple que el número de lados (enlaces en M) es mayor o igual al número de vértices (átomos de M), menos uno.
Hasta aquí podemos decir que se ha modelado la molécula M como un espacio métrico, el cual está asociado a su grafo molecular. ¿Qué hace falta para tener un modelo topológico de la molécula? Se tendrá un modelo topológico cuando al modelo de grafo conexo, como espacio métrico, se le pueda ver y tratar como un espacio topológico (Mendelson, 1963; Prasolov, 2000). Este objeto matemático, en términos generales, se define también como una pareja, (V, τ), formada por un conjunto no vacío, por ejemplo: el conjunto, V, de vértices del grafo conexo junto con una familia o conjunto de subconjuntos, τ de V, en donde la familia τ de subconjuntos debe satisfacer las propiedades que la definen como una topología. Existen diversas formas de seleccionar una familia de subconjuntos de un conjunto no vacío para obtener una topología. Cuando el conjunto de interés es un grafo conexo, cada uno de los subconjuntos de interés reciben el nombre de subgrafo.
Un subgrafo, G de un grafo G es, a su vez, un grafo en el que su conjunto de vértices, V’ está contenido en el conjunto de vértices, V, del grafo, G, y el conjunto de lados, E’, está contenido en el conjunto, E, de lados del grafo. Intuitivamente, se puede decir que a partir de un grafo podemos construir un subgrafo eliminando algunos de los vértices y lados del grafo original. Si se elimina un vértice, entonces también se eliminan los lados que inciden a este vértice. En el modelado de compuestos como son los hidrocarburos saturados, o completamente conjugados, se acostumbra a quitar del grafo completo los vértices que representan átomos de hidrógeno y obtener un subgrafo.
Ahora bien, una manera de construir una topología a partir del conjunto de vértices de un grafo es mediante el concepto de vecindad de cada uno de sus vértices. Consideremos un vértice cualquiera, v del grafo, intuitivamente se puede decir que una vecindad de v es un subconjunto de vértices del grafo que están “suficientemente cerca” de v; pero ¿cómo se precisa “suficientemente cerca”? En esta parte es donde se aprovecha que ya se tiene definida una distancia entre los vértices, la que se definió arriba como el número de lados de la trayectoria más corta que se puede trazar entre un vértice y otro. Así, los vértices “suficientemente cerca” del vértice v forman un conjunto que recibe el nombre de bola-vecindad de radio ε > 0 del vértice v y que es el conjunto de vértices s que se encuentran a una distancia de v menor que ε. Una vecindad, U, de un vértice v del grafo G, es un subconjunto del conjunto de vértices con la propiedad de que para algún ε > 0, la bola-vecindad de radio ε está contenida en U. Cada vértice del grafo tendrá una colección de vecindades y el conjunto de todas las vecindades de todos los vértices es la clase τ de subconjuntos del conjunto de vértices que forma una topología del grafo G. τ, construida de esta manera, es una topología de vecindades definida sobre el conjunto de los vértices del grafo conexo porque satisface las siguientes propiedades.
El conjunto vacío, φ, y el conjunto V de todos los vértices están en τ.
Cada vértice del grafo pertenece a todas sus vecindades.
Si U es una vecindad del vértice v y U’ contiene o es igual a U, entonces U’ es una vecindad del vértice v.
La intersección de dos vecindades del vértice v es también una vecindad de v.
La unión de cualquier número de vecindades de un vértice v es también una vecindad de v.
El conjunto de vértices, V, del grafo simple conexo asociado a la molécula a través de su fórmula estructural, estructura de Lewis, junto con la topología de vecindades, τ, forma un objeto matemático conocido como espacio topológico y es a esta estructura a la que se llama espacio topológico molecular, del mismo modo, es a lo que se llama la topología de la molécula en cuestión.
Se toma como ejemplo al siguiente grafo G, que un químico puede asociar fácilmente a la representación del grupo alilo, un sustituyente que tiene como estructura base al propeno, un compuesto hidrocarbonado de tres átomos de carbono con una insaturación (H2C=CHCH3) (Figura 4); en la Figura 4 se muestra el subgrafo obtenido al suprimir, para mayor claridad, los átomos de hidrógeno.

Figura 4 Grafo G = (V(G) = {a, b, c}, E(G) = {ab, bc}). Esta representación describe una cadena hidrocarbonada con una insaturación, se definen los átomos de carbono como a, b, c y se suprimen los átomos de hidrógeno para mayor claridad. Las líneas representan la conectividad entre estos átomos, el modelo no requiere hacer referencia explícita a enlaces σ o π.
Es claro que G es conexo y las distancias entre sus vértices son d (a,b) = d(b,a) = d(b,c) = d(c,b) = 1, d(a,c) = d(c,a) = 2, de modo que las bolas abiertas de cada vértice de G son:
B(a)1 = {a}, B(a)2 = {a,b}, B(a)3 = {a,b,c} = V(G),
B(b)1 = {b}, B(b)2 = {a,b,c} = V(G), y
B(c)1 = {c}, B(c)2 = {b,c}, B(c)3 = {a,b,c} = V(G).
Y para cualquier vértice i se tiene que B(i)ε = V(G), para todo ε ≥ 3.
Del mismo modo, las vecindades de cada uno de los vértices son los conjuntos:
por lo que la τ-topología asociada con el conjunto de vértices del grafo conexo G está dada por el conjunto vacío y la colección de las vecindades de cada vértice, τ U = {G (i) } con i = a,b,c; misma que se puede visualizar como una familia de subgrafos de la gráfica original.
En la Tabla 1 se muestra la influencia formativa del patrón de lados del espacio topológico del grafo conexo de la Figura 4 que consiste en tres vértices y dos lados al aplicar el formalismo descrito. Las vecindades de los vértices están representadas por los correspondientes subgrafos G X ⊆ G, X = 0,1…6. Hay siete subgrafos, incluyendo el grafo vacío, G0. Todos ellos forman la colección G de subgrafos de G; además, la colección de todas las vecindades G (i) de cada uno de los vértices i (i = a,b,c) son subconjuntos de G (en la Tabla 1 se muestran con el vértice correspondiente en negrita). Las vecindades y las colecciones de vecindades de todos los vértices del grafo G cumplen con las propiedades (1)-(5), por lo que representan la τ-topología de G.
Tabla 1 Vecindades y el conjunto de todas las vecindades de los vértices del grafo conexo de la Figura 5 (visualización de la topología asociada al grafo y a la estructura molecular del sistema alilo).
Suponiendo que una molécula se somete a la acción de agentes externos, por ejemplo, la temperatura o el efecto de un disolvente, o bien que pasa de un estado inicial a uno final debido a interacciones intramoleculares, y en este proceso no se crean o destruyen enlaces químicos, desde el punto de vista del modelo, es decir del grafo simple conexo asociado se puede plantear que el grafo de su estructura de Lewis, G, se transforma en un grafo, F, mediante transformaciones consistentes en extensiones, contracciones, doblamientos o torsiones, pero sin que se creen nuevos lados, ni se eliminen algunos de los existentes, transformaciones que introdujimos como ejemplos intuitivos de lo que, en topología se llama un homeomorfismo.
En este ejemplo es claro que el etiquetado de los vértices es arbitrario y que bien se pudo usar un orden distinto. Si se etiquetaran los vértices del grafo en un orden distinto, simplemente se haría una permutación de sus vértices manteniendo el patrón de conectividad, es decir, se aplicaría un homeomorfismo a uno de ellos y se tendría otro que sólo difiere en la manera de etiquetar los vértices, ambos son grafos topológicamente isomorfos que esencialmente representarían el mismo espacio topológico.
Modelos de Regresión
En química, son de interés las características numéricas asociadas a un grafo G que tienen el mismo valor para todos los grafos isomorfos a G. A tales características se les conoce como invariantes o índices topológicos del grafo (Gutmann y Polansky; 1986). Algunos ejemplos de estos invariantes son el número de vértices y de aristas, la distancia entre pares de vértices, el número de aristas que llegan a un vértice y el número de trayectorias de una longitud dada. Ante una transformación en la que no se crean ni destruyen aristas, estos invariantes caracterizan al patrón de conectividad del grafo. Por lo tanto, también caracterizan a la u-topología del grafo G que modela a la molécula; así, se esperaría que los índices topológicos del grafo contengan información para entender la estructura química de la molécula que representa, es decir, se espera que exista un componente topológico en la descripción de la estructura química de la molécula. La relevancia de este componente topológico para determinar propiedades fisicoquímicas o biológicas de la molécula se puede identificar empíricamente con modelos estadísticos de regresión de la siguiente forma. Sean X 1 ,X 2 ,…,X p p índices topológicos del grafo G, y sea Y alguna propiedad fisicoquímica o biológica de la molécula modelada por G. La idea clave de la modelación estadística es considerar que la propiedad Y es una variable aleatoria cuyo valor esperado varía en función de los índices topológicos X 1 ,X 2 ,…,X p. Esto se expresa formalmente con lo que se conoce como el modelo de regresión aditivo
En la expresión anterior, a f se le conoce como función de regresión. El componente es un vector de dimensión k cuyos elementos se conocen como coeficientes de regresión o parámetros de la función de regresión. El término ε es una variable aleatoria que describe la variabilidad inherente a la molécula que no es explicada por los índices topológicos; a este componente se le conoce como error, tiene valor esperado de 0, varianza constante. Generalmente, se supone que sigue una distribución normal. En Estadística, a Y se le llama variable respuesta a variables predictoras a los índices topológicos X 1 ,X 2 ,…,X p. Establecer relaciones empíricas de la forma estructura-propiedad o estructura-actividad con propiedades fisicoquímicas o actividades biológicas de moléculas mediante el uso de modelos de regresión permite responder a la pregunta: ¿cómo varía la propiedad fisicoquímica cuando varían los índices topológicos X 1 ,X 2 ,…,X p?
La forma básica de modelo de regresión es el modelo de regresión lineal múltiple (MRLM),
El término múltiple hace referencia a la presencia de más de un índice topológico, mientras que el término lineal se refiere a que los coeficientes de regresión aparecen linealmente en la función de regresión. Cuando hay solo un índice topológico X se tiene lo que se conoce como el modelo de regresión lineal simple
Los parámetros β 0,β 1, …, β p en el MRLM son desconocidos, por lo que se deben estimar a partir de observar en n moléculas valores de los índices topológicos y de la característica Y. El MRLM es útil para modelar empíricamente una gran cantidad de fenómenos, sin embargo, también hay muchas situaciones para las cuales no es adecuado. Por ejemplo, cuando la relación entre la propiedad fisicoquímica y los índices topológicos sea una ecuación diferencial o la solución a una ecuación diferencial, la cual conduce a una f(X;β) no lineal en los coeficientes de regresión β. Esto nos lleva a los modelos de regresión no lineal. Existe una extensa bibliografía sobre los aspectos tanto teóricos como metodológicos de los modelos de regresión. En particular, para el MRLS véase la referencia de Montgomery, 2012.
Si bien se ha tenido éxito al encontrar consistencia teórico-experimental en la predicción del valor teórico de la propiedad Y, es muy común que la interpretación física tanto de la relación como de los índices topológicos no sea clara. No obstante, este tipo de relaciones son de mucha aplicación en áreas como la farmacología, toxicología, diseño de fármacos y la búsqueda de nuevos materiales (Kier y Hall,1986; García-Domenech, 2008; García-Domenech y Julián-Ortiz, 2002).
Análisis Espectral de Matrices de Adyacencia
En la sección anterior, se comentó que se puede obtener información química de una molécula a partir de los índices topológicos de su grafo; sin embargo, también se puede obtener información del siguiente modo. Sea G un grafo con m vértices, la matriz de adyacencia de G, A(G), es la matriz con elementos a ij, donde a ij = 1 si hay un lado entre los vértices i y j, y a ij = 0 si no hay lado. Por ejemplo, para la misma cadena de tres átomos de carbono que hemos mencionado, se tiene que m = 3 y la matriz de adyacencia es:
Recordemos que el espectro de la matriz A(G) es el conjunto de sus eigenvalores, es decir, los valores λ para los cuales existe un vector x ≠ 0 tal que A(G)x = λx (Lang, 1970). Los eigenvalores de la matriz A(G) son los números λ que hacen cero a su polinomio característico p(λ) = det(A(G) - λ I). En donde det, indica el determinante de la matriz e I es una matriz unidad con el mismo número de renglones y columnas que A(G). De tal manera que, para calcular los eigenvalores se desarrolla el determinante det(A(G) - λ I) y se obtiene un polinomio en λ. Este polinomio, de orden m, igual al número de vértices se iguala a cero y se resuelve para λ. Una vez que se han encontrado a los eigenvalores, los eigenvectores se calculan sustituyendo cada valor de λ, digamos λ i , y se resuelve cada uno de los sistemas homogéneos de ecuaciones lineales (A(G) - λ i I)x i = 0, i = 1,2,…,m, y se obtiene el i-ésimo vector propio x i = (a 1 i , a 2 i ,… a i m), Ahora bien, sean G y F grafos topológicamente isomorfos y dado que los vértices de G se han permutado para obtener a F, la matriz de adyacencia de F es diferente de la de G, por lo que la matriz de adyacencia no es un invariante topológico. Sin embargo, las matrices de adyacencia A(G) y A(F) tienen los mismos eigenvalores y eigenvectores, es decir, tienen el mismo espectro. Por lo anterior, en este caso el espectro de una matriz de adyacencia sí es un invariante topológico.
Por otro lado, al estudiar la estructura electrónica del grupo alilo, y su relación con su estructura molecular, se le considera como un sistema electrónico molecular compuesto de dos partes: los electrones σ y los electrones π. En una primera aproximación es posible considerar a los electrones σ como congelados, al igual que las posiciones nucleares, y considerar explícitamente la dinámica del sistema π dentro de un campo de fuerza producido por los núcleos fijos y la nube electrónica σ. Cada átomo tiene una contribución neta a la nube electrónica π de sus electrones de valencia.
Así, para cada uno de estos electrones se tiene que resolver la ecuación de Schrödinger independiente del tiempo para un solo electrón (Trachanas, 2018; Lowe y Peterson, 2006),
En donde: Ĥ se le conoce como el operador Hamiltoniano que contiene información sobre la energía potencial y cinética del electrón π en el campo de los electrones σ y los núcleos congelados; Ψ es el vector de estado del electrón, es decir, el orbital molecular; y ε es la energía asociada al electrón debido a que se encuentra en el estado Ψ.
De acuerdo con una base apropiada, al operador Ĥ es posible representarlo como una matriz de la forma:
Por su parte, Ψ a se le puede expresar como una combinación lineal de orbitales atómicos:
en donde p i = 2p z i , i = 1,2,3. Es decir, se utiliza como base al conjunto de orbitales atómicos hidrogenoides 2p zi ortogonales al plano de la molécula y los coeficientes desconocidos a i , (i = 1,2,3), los cuales se deben determinar para caracterizar cada uno de los posibles estados electrónicos a lo largo del sistema π.
A partir de la ecuación de Schrödinger es posible despejar la energía promedio orbital, ε:
En donde Ψ* denota el conjugado complejo de Ψ.
Se puede observar que la integración es sobre todo el espacio y que la expresión de Ψ como combinación lineal de orbitales atómicos p 1 = 2p zi tiene como resultado que Ψ* = Ψ.
La sustitución de esta Ψ en la ecuación de la energía promedio orbital, permite escribir a esta en términos de integrales de la forma:
donde i, j = 1,2,3 y
A los parámetros atómicos H ii se les conoce como integrales de Coulomb y se interpretan como la energía promedio de un electrón cuyo estado está descrito por el orbital p i = 2p zi , i = 1,2,3, en el campo de fuerza producido por el resto de la molécula y se le asigna el valor α, H ii = α, i =1,2,3. En contraste, al parámetro de enlace H ij con i ≠ j se le conoce como integral de resonancia y representa la energía de un electrón que se mueve entre los estados 2p zi y 2p zj y se les asigna el valor β, de tal manera que H ij = β si i ≠ j.
En un cálculo de primera aproximación, conocido como Hückel simple (Coulson y Mallion, 1978; Dmitriev, 1981), se considera a β ≠ 0 cuando los átomos i,j son primeros vecinos y es cero de otra forma. A las integrales del tipo S ij se les conoce como integrales de traslape, y para la aproximación mencionada de traslape cero, S ii = 1 y S ij = 0 si i ≠ j. Bajo estas aproximaciones, la matriz de traslape S para nuestro sistema es igual a la matriz identidad de dimensión 3:
De esta forma, la matriz asociada con H queda como:
y se puede escribir en términos de la matriz de adyacencia del grafo A(G) y de la matriz identidad I, a través de la expresión:
Así, la matriz que contiene la información energética de la molécula se relaciona con la matriz de adyacencia del grafo, la cual además contiene información topológica. Un cálculo directo permite ver que las matrices H y A(G) conmutan,
por lo que, de acuerdo con el álgebra lineal, ambas tienen los mismos eigenvectores.
Al sustituir la expresión de H con respecto a I en la ecuación de Schrödinger, ĤΨ = εΨ, se obtiene
y rearreglando la expresión:
Como Ψ ≠ 0, α + βλ - ε = 0 de donde ε = α + βλ; si α se toma como la referencia de energía, α = 0, y si además β es la unidad de energía, entonces:
En esta aproximación, la energía orbital promedio de un electrón π (medida en unidades de β) coincide con el eigenvalor de la matriz topológica. La energía de los orbitales π en la aproximación de Hückel simple está determinada de manera única por la tao-topología de la molécula mediante los eigenvalores de la matriz de adyacencia del grafo correspondiente. Se pueden calcular los eigenvalores de la matriz de adyacencia del grafo y después relacionarlos con la energía electrónica de los electrones π.
Tomando el caso del sistema ejemplo, su matriz de adyacencia es:
de tal manera que la ecuación de eigenvalores queda en la forma
que es equivalente al sistema homogéneo de ecuaciones lineales
Para que este sistema tenga una solución diferente a la trivial, el polinomio característico debe ser igual a cero:
Las soluciones de esta ecuación son λ 1 = √2, λ 2 = 0 y λ 3 = −√2. Por lo que se tienen tres niveles de energía de los orbitales que en este caso son: ε 1 = √2β, ε 2 = 0, y ε 3 = −√2β. Finalmente, la cuantificación de los niveles de energía orbital, ε 1, dependerá del parámetro β, al cual se le asigna un valor resultante de mediciones experimentales. Lo que se subraya aquí es que la descripción energética del sistema electrónico π se puede describir manipulando primero el modelo matemático dado por el grafo y su matriz de adyacencia (Figura 5).

Figura 5 Diagrama de energía de los orbitales obtenidos mediante el análisis de la matriz de adyacencia del grafo G del grupo alilo y la representación esquemática comúnmente introducida en los cursos de química.
El cálculo de los tres niveles energéticos para este sustituyente hidrocarbonado, hecho con álgebra lineal básica sobre la matriz topológica o de adyacencia, son los mismos que se obtienen con matemática mucho más complicada al resolver directamente la ecuación se Schrödinger. Lo anterior da una idea de la potencial aplicación de este modelo como auxiliar para que un químico pueda, en una primera aproximación, utilizar métodos basados en la topología de una molécula para obtener información estructural relevante, sin necesidad de recurrir al formalismo basado en obtener soluciones aproximadas a la ecuación de Schrödinger.
Conclusiones
El método topológico para una molécula discreta es una metodología para obtener información química de un modelo matemático abstracto de la estructura molecular. Un grafo, con la subyacente estructura matemática de una topología definida en términos del conjunto de vértices (los átomos que la forman) y del patrón de conectividad entre ellos, permite manipular el modelo mediante la teoría de gráficas y obtener propiedades que se mantienen invariantes bajo cierto tipo de trasformaciones que no crean ni destruyen lados del grafo (homeomorfismos) y, en su contraparte, que modelan (no crean ni destruyen) enlaces químicos. Estas propiedades invariantes se conocen como índices topológicos y el químico puede emplearlos para el modelado de propiedades fisicoquímicas del sistema molecular dentro del contexto de la relación estructura-actividad o estructura-función. De esta forma, para el químico, la topología en el caso discreto es sinónimo del patrón de conectividad molecular que queda representado por el grafo y sus índices topológicos asociados. Por lo anterior, la metodología topológica está dada, entonces, por la de la teoría de grafos, y el establecimiento de la relación estructura-actividad o estructura-función combina la teoría de gráficas y la estadística.
Este patrón de conectividad, de igual forma, se relaciona con la estructura electrónica de la molécula, especialmente en el caso de hidrocarburos y sistemas insaturados, todos ellos sistemas bien descritos desde el punto de vista de la mecánica cuántica bajo la aproximación del modelo de Hückel simple. Lo anterior se debe a que la matriz de adyacencia conmuta con la matriz de Hückel simple, de tal manera que, al determinar los vectores propios de la matriz de adyacencia, se pueden obtener los orbitales de Hückel del sistema y, así, las propiedades fisicoquímicas de interés serán los valores esperados de algún observable. En estas condiciones, la determinación de la estructura energética electrónica se puede hacer con cálculos sencillos al manipular la matriz de adyacencia del grafo molecular. Finalmente, es importante remarcar que el químico no necesita construir el espacio topológico para obtener la información, basta con que sepa que detrás de este hay una estructura topológica en el modelo de su sistema molecular. El estudio y descripción de esta construcción en espacios topológicos representa una primera aproximación para introducir al químico en el estudio de la topología molecular y, en este primer contacto, se pueden determinar propiedades moleculares sin la estricta necesidad de recurrir a la solución de modelos mecanocuánticos. El abordaje de este tema en un espacio discreto es un primer acercamiento al uso de la topología y puede ser una introducción intuitiva al estudio de la topología en un espacio continuo.










nueva página del texto (beta)














