SciELO - Scientific Electronic Library Online

 
vol.34 número2Efecto del envejecimiento artificial de semillas de maíces criollos azules en su germinación y huella genómicaVariación morfológica de semillas de Taxus globosa Schltdl. provenientes de dos regiones geográficas de México índice de autoresíndice de materiabúsqueda de artículos
Home Pagelista alfabética de revistas  

Servicios Personalizados

Revista

Articulo

Indicadores

Links relacionados

  • No hay artículos similaresSimilares en SciELO

Compartir


Revista fitotecnia mexicana

versión impresa ISSN 0187-7380

Rev. fitotec. mex vol.34 no.2 Chapingo abr./jun. 2011

 

Artículos Científicos

 

Rendimiento de grano y sus componentes en maíces nativos de Tamaulipas evaluados en ambientes contrastantes

 

Grain yield and yield components of native maize populations from Tamaulipas state evaluated under contrasting environments

 

J. Agapito Pecina Martínez1, Ma. del Carmen Mendoza Castillo1*, J. Alberto López Santillán2, Fernando Castillo González1, Moisés Mendoza Rodríguez3† y Joaquín Ortiz Cereceres1†

 

1 Postgrado en Recursos Genéticos y Productividad, Colegio de Postgraduados, Campus Montecillo. Km 36.5 Carr. México–Texcoco. 56230, Montecillo, Texcoco, Estado de México. Tel. 01 (595) 952–0200 Ext. 1524. * Autor para correspondencia (camen@colpos.mx)

2 División de Estudios de Postgrado, UAM Agronomía y Ciencias, Universidad Autónoma de Tamaulipas. 87149, Cd. Victoria, Tamaulipas.

3 Departamento de Fitotecnia, Universidad Autónoma Chapingo. Km 38.5 Carr. México – Texcoco. 56230, Chapingo, Estado de México.

 

Recibido: 09 de Diciembre del 2008.
Aceptado: 16 de Agosto del 2010.

 

Resumen

Entre las poblaciones nativas de maíz (Zea mays L.) del Estado de Tamaulipas, México, algunas destacan por su alto potencial de rendimiento de grano, pero se han aprovechado en grado limitado. En el presente trabajo se evaluó el rendimiento y sus componentes en 29 poblaciones nativas de maíz de Tamaulipas (colectadas durante los años 2001 al 2004), más seis variedades mejoradas, en tres ambientes contrastantes en altitud y temperatura. El objetivo fue identificar poblaciones sobresalientes que pudieran ser utilizadas en programas de fitomejoramiento. Los ambientes de evaluación fueron Trópico Seco (TS), Transición (TRN) y Valles Altos (VA), a altitudes de 200, 1950 y 2250 m, respectivamente. Con base en el origen geográfico de las poblaciones nativas se formaron cuatro grupos (Grupos 1 a 4), y dos grupos de variedades mejoradas (Grupos 5 y 6), uno de zona tropical y el segundo de zonas templadas. Entre ambientes hubo diferencias (P ≤ 0.05) en rendimiento de grano, con la tendencia de dar mayor rendimiento a mayor altura y menor temperatura; entre TRN y VA las diferencias no fueron significativas para los componentes del rendimiento. Las poblaciones nativas de la zona montañosa de Tamaulipas (Grupo 4), de altitud intermedia, fueron las de mayor rendimiento en TRN y VA, entre las que destaca la C–4031 con 8.3 t ha–1, estadísticamente igual a las variedades mejoradas de los Valles Altos Centrales de México. Las poblaciones nativas de Tamaulipas mostraron mazorcas largas con alto número de granos por hilera, olotes delgados, buen rendimiento de grano y alto índice de desgrane, lo que pone de manifiesto que estas poblaciones nativas aportarán diversidad genética y caracteres agronómicos sobresalientes que pueden ser aprovechados en la mejora de la producción de este grano.

Palabras clave: Zea mays, maíces nativos, ambientes contrastantes, diversidad genética.

 

Abstract

Among native maize (Zea mays L.) populations of the State of Tamaulipas, México, some stand out in grain yield; however their utilization in breeding programs has been limited. With the aim to identify outstanding populations for potential use in maize breeding programs, 29 native populations of Tamaulipas (collected from 2001 to 2004), plus six improved varieties, were evaluated for grain yield and yield components under three environments contrasting in altitude and temperature. Environments were: Dry Tropical (DT), Transition (TRN) and High Valleys (HV), located at altitudes of 200, 1950 and 2250 m, respectively. Based on their geographic origin, four groups were defined (Groups 1 to 4) for native populations; two groups of improved varieties were added (Groups 5 and 6), one for the tropical region and the other for the temperate zones. There were differences among environments (P ≤ 0.05) for grain yield, so that grain yield tended to be higher at higher altitude and lower temperature; no statistical differences were detected for grain yield components between TRN and HV. Among native maize populations from Tamaulipas, the ones collected from the mountain region (Group 4), located at intermediate altitude, showed higher yield in the TRN and HV; locations, population C–4031 showed the highest yield (8.3 t ha–1), statistically similar to that of improved varieties used in the central Valleys of México. Native populations from Tamaulipas developed longer ears with high number of kernels per row, thin cobs, good yield and high proportion of grain per ear. There results show that these native populations may contribute to broadening genetic diversity and could enhance for enhancing agronomic traits in of maize breeding.

Key words: Zea mays, native maize, contrasting environments, genetic diversity.

 

INTRODUCCIÓN

Maíz (Zea mays L.) es el cereal básico de la alimentación en México, y el de mayor consumo per capita en el mundo (Ortega et al., 1991), con 127 kg (Nadal y Wise, 2005). El conocimiento de la variación morfológica y genética, su relación con el ambiente y las implicaciones sociales determinan la estrategia de conservación y aprovechamiento de la diversidad genética del maíz (Ortega et al., 1991). El estudio de la variación genética existente permite formar poblaciones de amplia base genética, las cuales pueden servir como material base en los programas de mejoramiento genético para incrementar el rendimiento y los caracteres agronómicos de interés al generar nuevas variedades mejoradas, sintéticas o híbridos (García et al., 2002).

Sin embargo, en los últimos decenios se ha registrado una importante erosión de la diversidad genética in situ en diversas regiones del país, hecho particularmente significativo en las razas Celaya, Chalqueño y Tuxpeño de alta capacidad productiva y consideradas como parte del germoplasma más importante para el fitomejoramiento a nivel mundial, pero cuya siembra se ha reducido en el país (Goodman y Brown, 1988). Si bien en los bancos de germoplasma de maíz en México existe una importante representación de la diversidad del maíz a nivel nacional, aún hay regiones que han sido escasamente exploradas como Baja California, Tabasco, norte de Chiapas y la región montañosa de Tamaulipas, por lo que tampoco hay información sobre los riesgos de degradación, pérdida (Ortega et al., 1991) o contaminación con maíz transgénico (Quist y Chapela, 2001) en estas regiones. En Tamaulipas, el germoplasma nativo conservado por los agricultores ha sido reconocido por su alto potencial de rendimiento y otras ventajas agronómicas, como reportaron Estrada et al. (1987) para la población Llera III. Además, ha habido poco trabajo de investigación y mejoramiento genético en el germoplasma nativo de Tamaulipas en los últimos 20 años (Reyes y Cantú, 2006).

El rendimiento de grano del maíz puede calcularse con el producto del número de granos por unidad de superficie por el peso por grano; el número de granos es el principal componente del rendimiento, ya que el peso del grano ha mostrado ser un componente poco afectado por el ambiente (Andrade et al., 1996; Borras y Otegui, 2001). El rendimiento de grano por unidad de área de suelo, también se puede expresar en términos de la cantidad de energía usada para su producción. En la actualidad es de interés hacer que los cultivos mantengan su capacidad para rendir en diferentes tipos de estrés ambiental a los que son sometidos (Evans, 1993).

El presente trabajo tuvo como objetivo conocer los cambios en el rendimiento y sus componentes en poblaciones nativas de Tamaulipas al evaluarlas en ambientes contrastantes en altitud y temperatura, en comparación con los atributos de algunas variedades mejoradas, a fin de detectar las poblaciones factibles de ser utilizadas como fuente de genes para aumentar la diversidad genética, tanto en los Valles Altos Centrales de México como en el Estado de Tamaulipas.

 

MATERIALES Y MÉTODOS

A partir de 2001, la Universidad Autónoma de Tamaulipas inició un programa de rescate de germoplasma y mejoramiento genético de maíz, cuyo primer objetivo fue colectar, evaluar, conservar y usar poblaciones nativas que poseen los campesinos del Estado, en especial de la región centro–sur. Se colectaron aproximadamente 250 poblaciones nativas de 12 municipios del centro y suroeste del estado, las cuales se evaluaron en Tamaulipas (2004) y en los Valles Altos de México (2005) para conocer su variabilidad y potencial productivo. Con base en los resultados se seleccionaron 29 poblaciones sobresalientes en rendimiento, sanidad de planta y mazorca, número de hileras, número de granos por mazorca, peso de grano y volumen de mazorca. Para el presente estudio esas 29 poblaciones se clasificaron por su origen ecológico en cuatro grupos, y como testigos se agregaron dos variedades mejoradas de Tamaulipas y cuatro de los Valles Altos Centrales de México (Cuadro 1).

Se establecieron tres ensayos bajo un diseño de bloques completos al azar con tres repeticiones, en los que la unidad experimental consistió de dos surcos de 5 m de longitud y 0.80 m de ancho. Durante el ciclo primavera–verano 2006 se estableció, en condiciones de riego, un ensayo uniforme en cada uno de los tres ambientes contrastantes en altitud y clima: I) Trópico Seco (TS): se sembró el 9 de marzo en el municipio de Güemez, Tamaulipas, ubicado a 23° 56' LN y 99° 06' LO, con altitud de 200 m; durante el ciclo de cultivo las temperaturas fueron: máxima de 49 °C, media de 30 °C y mínima de 14.3 °C; II) Transición (TRN): se sembró el 27 de marzo en el municipio de Mixquiahuala, Hidalgo, localizado a 20° 14' LN y 99° 12' LO, con altitud de 1950 m; en el ciclo de cultivo las temperaturas fueron: máxima de 39 °C, media de 22 °C y mínima de 10 °C; y III) Valles Altos (VA): sembrado el 11 de mayo en el municipio de Texcoco, Edo. de México, ubicado a 19° 29' LN y 98° 53' LO, con una altitud de 2250 m; en este ambiente la temperatura máxima fue de 34 °C, la media de 18.5 °C y la mínima de 1 °C.

La siembra se hizo de manera manual en las tres localidades, a una densidad de 100 000 semillas ha–1; posteriormente se arraló a una densidad de 50 000 plantas ha–1. En TS y TRN se sembró en húmedo, con riego de presiembra; en VA, en suelo seco y se regó inmediatamente después de sembrar. Se aplicó la dosis de fertilización 120N–60P–00K, con la mitad del nitrógeno y todo el fósforo al momento de la siembra y la otra mitad de N al realizar la primera de dos escardas; el control de maleza e insectos se hizo de acuerdo con las recomendaciones para maíz en cada ambiente (Reyes et al., 1990).

En una muestra de cinco mazorcas por unidad experimental y en cada ambiente se registraron las siguientes variables: longitud de mazorca (LMz), en cm; diámetro de mazorca (DMz), en cm, tomado en la parte media de la misma; diámetro de olote (DO), en cm, tomado en la parte media; índice de desgrane (IDg), calculado como porcentaje del grano respecto al peso de mazorca; número de hileras por mazorca (NHM); número de granos por hilera (NGH), en promedio de las hileras; número de granos por mazorca (NGM), como el producto de NHM x NGH; peso individual de grano (PIG), como el promedio de 100 granos tomados al azar de una muestra de cinco mazorcas. El rendimiento de grano (RG) se estimó con el peso de las mazorcas cosechadas por unidad experimental, cuyo contenido de humedad fue ajustado a 12 %, multiplicado por el índice de desgrane y transformado a rendimiento por hectárea.

El análisis estadístico se efectuó con el paquete estadístico SAS (SAS Institute, 1996), mediante un análisis de varianza por ambiente y uno combinado a través de ambientes. El modelo estadístico fue:

Yijkl= µ + Ak + Rl(k)+ Gi + Pj(i)+ AGik+ APkj(i)+ £ijkl

donde, Yijkl= respuesta de la j–ésima población de maíz correspondiente al i–ésimo grupo de poblaciones por origen ecológico, al ser evaluada en el k–ésimo ambiente en la l–ésima repetición; µ = media general; Ak = efecto atribuido al k–ésimo ambiente; Rl(k) = efecto de repetición anidada en el k–ésimo ambiente; Gi= efecto del grupo de poblaciones de maíz por su origen ecológico; Pj(i)= efecto de poblacion anidada en grupo; AGik = efecto de intaracción de grupo de poblaciones x ambientes; APkj(i) = efecto de ambiente por población anidada en grupo; £ijkl = efecto aleatorio atribuido al error experimental.

Para la significancia entre ambientes se consideró como término de error a las repeticiones anidadas en ambientes, mientras que las otras fuentes de variación se probaron contra el error experimental. Se aplicó la comparación de medias entre ambientes, entre grupos y entre poblaciones dentro de grupos. Para la prueba de Tukey (P ≤ 0.05) entre grupos, se calculó la media armónica del número de observaciones a través de grupos.

 

RESULTADOS Y DISCUSIÓN

Los análisis de varianza combinados (Cuadro 2) mostraron diferencias (P ≤ 0.05) entre ambientes, entre grupos de poblaciones y entre poblaciones dentro de grupos, para todas las variables. Las interacciones ambientes x grupos de poblaciones y ambientes x poblaciones anidadas en grupos, también fueron significativas (P ≤ 0.05) para la mayoría de las variables, excepto para el diámetro de mazorca y el número de hileras por mazorca.

El rendimiento de grano fue mayor (P ≤ 0.05) en VA, que superó a TRN, y éste al de TS. Los componentes del rendimiento fueron estadísticamente iguales en los ambientes TRN y VA, y superiores a los obtenidos en TS (Cuadro 3). En TRN y VA la temperatura ambiental fue adecuada (medias de 18.5 a 22 °C) para el desarrollo del cultivo del maíz, lo cual favoreció que los grupos de poblaciones presentaran en promedio la mejor expresión en todas las variables. Las altas temperaturas prevalecientes en el ambiente TS, que oscilaron entre 30 y 39 °C con máximas de hasta 49 °C, incidentes en las etapas de floración y llenado de grano, redujeron el rendimiento de grano y sus componentes en todas las poblaciones de maíz. Al respecto, en TS la siembra se realizó 22 d después de la fecha óptima recomendada para la región (20 de enero al 15 de febrero), por lo cual el cultivo se expuso a temperaturas altas en las etapas fenológicas críticas, con las consecuentes pérdidas considerables en el rendimiento, como lo indicó Reyes (1990). En este mismo estudio se evaluó la cantidad y la calidad del polen, así como la receptividad de los estigmas, variables en las que se encontró un efecto negativo de las altas temperaturas prevalecientes (datos no presentados), que explican en parte el bajo rendimiento obtenido.

Hubo efectos de interacción ambiental sobre los grupos de poblaciones, ya que se observaron cambios significativos en su comportamiento a través de ambientes. En los tres ambientes se detectó una separación de los grupos de poblaciones, en función de su origen ecológico; el Grupo 6, formado por variedades de VA mejoradas, presentó en TRN y VA el rendimiento de grano más alto, seguido por el Grupo 4 (con maíces de la montaña de Tamaulipas); en cambio, en TS los Grupos 1, 2 y 3 mostraron los rendimientos más altos, debido a su mejor adaptación (Cuadro 4).

El diámetro de mazorca de los grupos de poblaciones nativas de Tamaulipas fue similar al reportado por Carrera y Cervantes (2006) en líneas S3 derivadas de poblaciones de maíz tropical adaptadas a los Valles Altos. Las poblaciones nativas de Tamaulipas presentaron olotes más delgados que los de las variedades mejoradas, especialmente en TRN y TS (Cuadro 4), característica representativa de las razas Olotillo y Tuxpeño.

Los Grupos 4 y 6 presentaron los valores más altos de índice de desgrane (IDg) y granos de mayor tamaño en los ambientes de TRN y VA, mientras que el Grupo 5 presentó el IDg más bajo y los granos más pequeños en estos ambientes. En TS, todos los grupos disminuyeron sus IDg a valores inferiores a 80 %. Un IDg superior a 85 % es ideal en maíz, por ser un factor que influye en el rendimiento. Esta variable fue afectada por la interacción con el ambiente; por ejemplo, el Grupo 6 fue el mejor en TRN y VA, pero el peor en TS. Los valores de IDg registrados en VA, de 81.5 a 88.3, son muy parecidos a los encontrados por Hernández y Esquivel (2004), lo cual indica que existe variación en la relación grano–olote en este germoplasma.

El número de granos por mazorca es un componente importante del rendimiento (Andrade et al., 1996). Todos los grupos de poblaciones mostraron mayor número de granos en TRN y VA, que en TS. El Grupo 6 fue el más afectado por la interacción con el ambiente, ya que tuvo el valor más bajo en TS y los valores más altos en TRN y VA (Cuadro 4). En cuanto a otro componente importante, los Grupos 1, 2 y 3 de origen tropical, en el ambiente TS presentaron valores de peso individual de grano (PIG) más altos que los Grupos 4 y 6 de origen templado, debido probablemente a una mejor adaptación a ese ambiente y a una mayor tolerancia a las altas temperaturas que prevalecieron. Sin embargo, en los sitios TRN y VA los Grupos 4 y 6 mostraron expresiones superiores a 100 % de los obtenidos en TS (Cuadro 4); en los demás grupos, con ese mismo cambio de ambiente el incremento fue de sólo 20 %. El Grupo 5 presentó valores bajos en los tres ambientes (Cuadro 4). Si bien algunos autores (Andrade et al., 1996; Borras y Otegui, 2001; Rincón et al., 2006) consideran que el PIG es una variable poco afectada por el ambiente, los resultados obtenidos en este trabajo muestran que el PIG fue afectado por el ambiente de manera diferencial entre los grupos de poblaciones, debido posiblemente al fuerte contraste entre los ambientes de prueba.

El Grupo 6 (variedades mejoradas de VA) presentó mayor número de hileras por mazorca y número menor de granos por hilera, que las poblaciones nativas de Tamaulipas en TRN y VA; estas diferencias se explican en parte por el tipo de raza a la que pertenecen. En las poblaciones nativas de Tamaulipas predomina la raza Tuxpeño, que se caracteriza por ser de mazorcas largas, cilíndricas, con pocas hileras (12 a 14) y un alto número de granos por hilera; en cambio, el Grupo 6 de la raza Chalqueño, forma mazorcas de menor longitud y con mayor número de hileras que las tropicales (Wellhausen et al., 1951). El Grupo 5 (variedades mejoradas de Tamaulipas, de la raza Tuxpeño) mostró un comportamiento intermedio entre las poblaciones nativas y el Grupo 6 de VA.

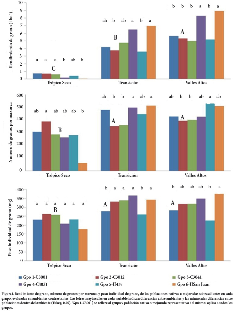
En la Figura 1 se presenta el comportamiento individual de poblaciones representativas de cada Grupo en los tres ambientes, respecto a rendimiento de grano y a sus dos componentes principales (Andrade et al., 1996). En el ambiente TS las poblaciones tropicales C–3001, C–3012 y C–3041, de los Grupos 1, 2 y 3, respectivamente, superaron a la población C–4031 del Grupo 4 (montaña de Tamaulipas) y al material mejorado "H–San Juan" (Grupo 6); además, en los sitios de mayor altitud y menor temperatura, el rendimiento de estos materiales fue alto (6.5 y 7 t ha–1 en TRN, y 8.3 y 8.9 t ha–1 en VA, respectivamente). Los otros tres grupos de poblaciones también mostraron incrementos del rendimiento en los ambientes altos y frescos, con respecto al sitio bajo y cálido, pero en menor proporción (rendimientos máximos de 4 a 5 t ha–1).

El menor rendimiento de las poblaciones tropicales en los ambientes de TRN y VA puede ser debido a limitaciones de adaptación, ya que al ser evaluadas en clima contrastante con el de su origen, presentan cambios fenológicos y morfológicos, algunos de los cuales pueden ser agronómicamente indeseables. No obstante, mediante mejoramiento genético es posible obtener nuevas poblaciones en las que se mantengan caracteres deseables y se superen los problemas de adaptación de los maíces introducidos (Pérez–Colmenares et al., 2000). Según Carrera y Cervantes (2002), mediante selección en Valles Altos se logró la adaptación de poblaciones tropicales de maíz, adaptación que se manifestó en precocidad, sanidad de planta y rendimiento de grano en niveles similares a la de híbridos comerciales de ciclo intermedio propios de la región.

De las diez poblaciones nativas que conforman el Grupo 4 (zona montañosa de Tamaulipas), la población C–4031 presentó el rendimiento de grano más alto en los ambientes de TRN y VA (6.5 y 8.3 t ha–1, respectivamente), valor igual (P ≤ 0.05) a la población mejorada de los Valles Altos (Figura 1). Tal comportamiento pudiera deberse a que proviene de una zona con altitudes de 1600 a 1800 m y con condiciones ecológicas parecidas a las de TRN y VA, lo cual implica nuevos problemas de adaptación y más capacidad para mostrar su máximo potencial de rendimiento. El Grupo 4 al que pertenece esta poblacion, presenta similitud morfológica y fenológica con los materiales mejorados del Grupo 6 en los ambientes TRN y VA (Pecina–Martínez et al., 2009). Por sus características morfológicas, esta población posiblemente pertenece a razas como Vandeño o Tepecintle (Wellhausen et al., 1951), y sería importante estudiarla con más detalle porque proviene de una zona de Tamaulipas donde no se tienen antecedentes de colectas previas (Ortega et al., 1991). Al respecto, Hernández y Esquivel (2004) consideran que el uso de germoplasma diferente al que generalmente se ha venido usando en los Valles Altos, podría aportar alelos diferentes, ampliar la diversidad genética y permitir nuevos patrones heteróticos.

La poblacion C–3012 del Grupo 2 presentó valores muy parecidos en los tres ambientes para la variable número de granos por mazorca; en contraste, el híbrido del Grupo 5 mostró diferencias entre ambientes al producir el valor más alto en VA, incluso por encima de la población local. Poblaciones como C–3001 y C–4031 (de los Grupos 1 y 4, respectivamente) dieron mayores valores en el ambiente TRN que en VA (Figura 1).

En el ambiente TS el peso individual de grano no presentó diferencias (P ≤ 0.05) entre las poblaciones sobresalientes de cada grupo (Figura 1). Sin embargo, todas las poblaciones, con excepción de la mejorada del Grupo 5, mostraron valores más altos de PIG en los ambiente TRN y VA que en TS; la población mejorada del Grupo 6 tuvo un PIG de 177 mg en TS, de 342 mg en TRN y de 374 mg en su ambiente de origen (VA).

Una utilidad inmediata de las poblaciones nativas de Tamaulipas que resultaron sobresalientes en los Valles Altos, podría ser como variedades ya que algunas produjeron hasta 8.3 t ha–1 de grano; por su parte, las poblaciones tropicales presentaron plantas altas con alto número de hojas, tallos gruesos y fuertes, con potencial para la producción de forraje (Pecina–Martínez et al., 2009). Debido al contraste entre sitios de procedencia, es probable que exista divergencia genética entre estas poblaciones y la de Valles Altos, por lo que también pudieran usarse para formar líneas endogámicas y hacer hibridación entre ambas. Se ha reconocido que líneas endogámicas con germoplasma tropical no sólo son una fuente útil para aumentar la diversidad genética, sino también que al cruzarse con materiales de áreas templadas pueden producir híbridos de alto rendimiento y caracteres agronómicos aceptables (Montenegro et al., 2002; Carrera y Cervantes, 2006).

Se ha documentado que el cruzamiento de materiales locales con exóticos es útil en la formación de híbridos, debido a la heterosis que se genera por la divergencia genética (Ghaderi et al., 1984), por lo cual es conveniente continuar los estudios sobre las respuestas heteróticas del germoplasma tropical x templado. Al respecto, Brewbaker (1974) reportó que este esquema ha sido usado en el programa de mejoramiento de maíz en Hawaii, EE. UU. También Efron (1985) y Kim (1990) enfatizaron la necesidad de adaptar líneas de la zona templada de Nigeria a las condiciones tropicales, para utilizar el alto nivel de heterosis que posee el germoplasma tropical x templado.

Los fitomejoradores de maíz en los trópicos han usado sólo una parte de la diversidad genética y de las posibles combinaciones heteróticas disponibles en el germoplasma tropical, para el desarrollo de híbridos, de modo que aún hay razas y cultivares que deben ser estudiados, y no sólo usar modelos heteróticos y combinaciones ya conocidas (Paterniani, 1990). De lo anterior se deriva la importancia de continuar evaluando el potencial de las poblaciones nativas de maíz.

 

CONCLUSIONES

La mejor expresión del rendimiento de grano de todas las poblaciones se observó en el ambiente de Valles Altos, mientras que la expresión más pobre se obtuvo en el Trópico Seco. Todos los grupos de poblaciones mostraron componentes del rendimiento muy similares en dos ambientes, el de Transición y el de Valles Altos.

Las poblaciones nativas de la montaña de Tamaulipas (Grupo 4) y las variedades mejoradas de Valles Altos (Grupo 6) presentaron mayor interacción con el ambiente, ya que en Trópico Seco fueron las de menor expresión y en Transición y Valles Altos mostraron la mejor expresión. Las poblaciones provenientes de la montaña de Tamaulipas fueron sobresalientes en los sitios Transición y Valles Altos, por tener mazorca larga, olote delgado, alto número de granos por mazorca, alto rendimiento e índice de desgrane; destacó la población C–4031 con el mayor rendimiento de grano, estadísticamente igual al de las variedades mejoradas de Valles Altos.

En el Estado de Tamaulipas, México, existen poblaciones nativas de maíz con alto potencial agronómico para ser aprovechadas, tanto localmente como en otros ambientes.

 

BIBLIOGRAFÍA

Andrade F, A Cirilo, S Uhart, M E Otegui (1996) Ecofisiología del Cultivo de Maíz. Editorial La Barrosa y Dekalb Press, Buenos Aires, Argentina. 292 p.         [ Links ]

Borras L, M E Otegui (2001) Maize kernel weight response to postflowering source–sink ratio. Crop Sci. 49:1816–1822.         [ Links ]

Brewbaker J L (1974) Continuous genetic conversions and breeding of corn in a neutral environment. In: Proc. 29th Ann. Corn and Sorghum Ind. Res. Conf. December 10–12. Washington, DC. ASTA. pp:118–133.         [ Links ]

Carrera V J A, T Cervantes S (2002) Comportamiento per se y en cruzas de poblaciones tropicales de maíz seleccionadas en Valles Altos. Agrociencia 36:693–701.         [ Links ]

Carrera V J A, T Cervantes S (2006) Respuesta a densidad de población de cruzas de maíz tropical y subtropical adaptadas a Valles Altos. Rev. Fitotec. Mex. 29:331–338.         [ Links ]

Efron Y (1985) Use of temperate and tropical germplasm for maize breeding in the tropical area of Africa. In: Breeding Strategies for Maize Production Improvement in the Tropics. A Brandolini, F Salamani (eds). FAO, Rome, Italy. Istituto Agronomico per L'Oltremare. pp:105–131.         [ Links ]

Estrada G J A, C López C, A Muñoz O, H Hernández S (1987) Mejoramiento de la resistencia a sequía en Chiautla, Pue. I. Prueba de variedades de maíz y primer ciclo de selección. In: Mem. del Seminario: Cómo Aumentar la Producción Agropecuaria y Forestal en la Región Mixteca Oaxaqueña. A Muñoz O, B Dimas C (Comps). Tomo II. Agosto 13 y 14. Tiltepec, Oaxaca, México. pp:457–468.         [ Links ]

Evans L T (1993) Crop Evolution, Adaptation and Yield. Cambridge Univ. Press. 500 p.         [ Links ]

García Z J, J Molina G, J López R (2002) La selección masal como método para obtener líneas de alta aptitud combinatoria específica en maíz. Rev. Fitotec. Mex. 25:299–304.         [ Links ]

Ghaderi A, M W Adams, A M Nassib (1984) Relationship between genetic distance and heterosis for yield and morphological traits in dry bean and faba bean. Crop Sei. 24:37–42.         [ Links ]

Goodman M M, W L Brown (1988) Races of corn. In: Corn and Corn Improvement. ASA. G F Sprague (ed). Agronomy Monograph N° 18. 3rd ed. pp:33–79.         [ Links ]

Hernández C J M, G Esquivel E (2004) Rendimiento de grano y características agronómicas en germoplasma de maíz de Valles Altos de México. Rev. Fitotec. Mex. 27:27–31.         [ Links ]

Kim S K (1990) Breeding of temperate maize germplasm for tropieal adaptation. In: Proc. 4th Asian Reg. Maize Workshop. C De Leon, G Granados, M D Read (eds). Islamabad, PARC, Bangkok, CIM–MYT–ARMP. pp:208–227.         [ Links ]

Montenegro T H, F Rincón S, N A Ruiz T, H de León C, G Castañón N (2002) Potencial genético y aptitud combinatoria de germoplasma de maíz tropical. Rev. Fitotec. Mex. 25:135–142.         [ Links ]

Nadal A, T A Wise (2005) Los costos ambientales de la liberalización agrícola: El comercio de maíz entre Méxieo y EE.UU. en el marco del NAFTA. In: Globalización y Medio Ambiente: Lecciones desde las Américas. H Blanco, L Togeiro A, K P Gallagher (eds). Santiago, Chile. RIDES – GDAE. pp:49–92.         [ Links ]

Ortega P R A, J J Sánchez G, F Castillo G, J M Hernández C (1991) Estado actual de los estudios sobre maíces nativos en México. In: Avances en el Estudio de los Recursos Fitogenéticos de México. R A Ortega P, G Palomino H, F Castillo G, V A González H, M Livera M (eds). SOMEFI. Chapingo, México. pp:161–185.         [ Links ]

Paterniani E (1990) Maize breeding in the tropics. Crit. Rev. Plant Sei. 9:125–154.         [ Links ]

Pecina–Martínez J A, M C Mendoza–Castillo, J A López–Santillán, F Castillo–González, M Mendoza–Rodríguez (2009) Respuesta morfológica y fenológica de maíces nativos de Tamaulipas a ambientes contrastantes de México. Agrociencia 43:681–694.         [ Links ]

Pérez–Colmenares A, J D Molina–Galán, A Martínez–Garza (2000) Adaptación a clima templado de una variedad de maíz tropical mediante selección masal visual estratificada. Agrociencia 34:533542.         [ Links ]

Quist D, I H Chapela (2001) Transgenic DNA introgressed into traditional maize landraces in Oaxaca, Mexico. Nature 414:541–543.         [ Links ]

Reyes C P (1990) El Maíz y su Cultivo. Editorial AGT Editor, S. A. México, D. F. 460 p.         [ Links ]

Reyes M C A, R Girón C, E Rosales R (1990) Guía para producir maíz en el norte de Tamaulipas. Secretaría de Agricultura y Recursos Hidráulicos, Instituto Nacional de Investigaciones Forestales y Agropecuarias, Centro de Investigaciones Forestales y Agropecuarias de Tamaulipas, Campo Experimental Río Bravo. Río Bravo, Tamaulipas, México. Folleto para productores Núm. 7. 32 p.         [ Links ]

Reyes M C A, M A Cantú A (2006) Maíz. In: Campo Experimental Río Bravo: 50 Años de Investigación Agropecuaria en el Norte de Tamaulipas, Historia, Logros y Retos. L A Rodríguez B (ed). Libro técnico No. 1. INIFAP. México. pp:55–74.         [ Links ]

Rincón T J A, S Castro N, J A López S, A J Huerta, C Trejo L, F Briones E (2006) Temperatura alta y estrés hídrico durante la floración en poblaciones de maíz tropical. Phyton 75:31–40.         [ Links ]

SAS Institute (1996) SAS User's Guide. Statistics. Release 6.12 ed. Cary, NC, USA. 1028 p.         [ Links ]

Wellhausen E J, L M Roberts, E Hernández X, P C Mangelsdorf (1951) Razas de Maíz de México. Su Origen, Características y Distribución. Secretaría de Agricultura y Ganadería–Oficina de Estudios Especiales. México, D. F. Folleto Técnico No. 5. 236 p.         [ Links ]

Creative Commons License Todo el contenido de esta revista, excepto dónde está identificado, está bajo una Licencia Creative Commons