Servicios Personalizados
Revista
Articulo
Indicadores
-
Citado por SciELO -
Accesos
Links relacionados
-
Similares en
SciELO
Compartir
Estudios fronterizos
versión On-line ISSN 2395-9134versión impresa ISSN 0187-6961
Estud. front vol.17 no.33 Mexicali ene./jun. 2016
Articles
An analysis of Mexican consumers' purchases in the United States based on households spending
Eliseo Díaz González * and Gabriel GonzálezKönig **
* El Colegio de la Frontera Norte, Departamento de Estudios Económicos. Address: Carretera Escénica TijuanaEnsenada, Km 18.5, San Antonio del Mar, C.P. 22560, Tijuana, Baja California, Mexico. E-mail: ediaz@colef.mx
** El Colegio de la Frontera Norte, Departamento de Estudios Económicos. Address: Carretera Escénica TijuanaEnsenada, Km 18.5, San Antonio del Mar, C.P. 22560, Tijuana, Baja California, Mexico. E-mail: ggkonig@colef.mx
Received: October 30, 2014.
Approved: October 12, 2015.
Abstract
Using microdata, consumer choice models, and fiscal competition, this study analyzes the reasons for crossborder shopping by Mexicans in the U.S. market by examining whether the incentive for consumers to cross the border is an inverse function of the distance from the border. Assuming rational consumers and given the differences in prices and consumption taxes between the two countries, this study finds that the location of consumers in border states and migratory traditions are the main determinants of crossborder shopping.
Keywords: transborder shopping, border, border crossings, visa, taxes.
Introduction
This research uses information from household spending in 2012 to analyze the consumer goods purchases made by Mexican consumers in the U.S. and determine the factors that cause these transactions. These transactions are considered direct imports, i.e., imports made by the consumers themselves, and such transactions do not enter into the accounting of foreign trade; beyond their quantitative importance, these transactions represent more than 1.5% of the total monetary expenditures by households in Mexico. Figures from the Encuesta Nacional de Ingreso y Gasto de los Hogares (ENIGH) developed by the Instituto Nacional de Estadística y Geografía (INEGI, 2012b) are relevant to this analysis because they suggest that there is reduced demand in the commercial sector of Mexican border cities, where the value of those purchases represents approximately onethird of household spending.
Border trade theory emerged from the study of the European Union, where the elimination of physical and tariff barriers led to differences in consumer tax rates in different countries (and frontier regions) in addition to regulations covering the sale of certain products spurring demand for consumer goods from neighboring tax jurisdictions with higher tax rates. The analysis of the determinants of Mexican consumers' demand for consumer goods in the U.S. market is based on figures from ENIGH and the Encuesta Nacional de Gasto de los Hogares (ENGASTO), both developed by the INEGI for 2012.
The methodology consists of applying a probit model to find economic and social factors that determine the demand for consumer goods abroad. This study consists of three sections and a conclusion. The first section describes the assumptions regarding the behavior of consumers that buy goods abroad purchases that are outside of domestic demand and analyzes the theories that have addressed crossborder shopping and identified the factors of tax competition, tax evasion and smuggling. In addition, the first section describes the assumptions that support the analysis and defines the theoretical model. The second section analyzes crossborder shopping figures, highlighting the type of goods that are purchased across the border, the factors that enable this process and the limiting factors used to avoid or limit the flow. The relationship among economic openness, customs and border control is analyzed in part three, highlighting the contradictory interactions with crossborder shopping, which seem to be both incentivized and weakly constrained by these factors. Finally, the estimation results of the probit model are collected in the final section, which concludes that the levels of total household expenses are the main determinant of crossborder purchases although these levels vary depending upon the distance from the border, as assumed by the theory and that the migratory tradition in various states is a factor that increases the demand for U.S. products.1 The results confirm the validity of the models of tax competition in which the appeal of crossborder shopping is reduced as the distance to the border increases because of transportation costs.
Theoretical perspective
The analysis of crossborder transactions generated an abundant literature called the tax competition literature (Kanbur and Keen, 1993; Nielsen, 2001). To a large extent, these studies stem from the attempt to create a common market in those countries that gave birth to the European Union and the differentials found in the rate of value added tax, which is a huge obstacle to the goal of integrating a single internal market.
In neighboring countries with internationally mobile buyers, it is assumed that states engage in tax rate competition to earn tax revenues from the sales. This competition leads to the creation of more efficient tax regimes (Hines and James, 2004) and to the establishment of regionally differentiated tax rates in the countries with higher tax rates (Clark, 1994). In addition, Knight and Schiff (2012) highlight the consequences that arise from the size differences of neighboring countries, where price and tax rate sensitivity depend upon the population density on the border of the smaller country.
The tax competition models are based on the Hotelling model (Cremer and Gahvari, 2000; Hsu, 2005; Kanbur and Keen, 1993; Wooders and Zissimos, 2003), which has also been extended to other areas of knowledge, including the structural analysis of health services provided by two hospitals (Aiura and Sanjo, 2010).
On a related note, the issue of tax evasion in connection with taxes on goods has been the subject of prior academic study. For instance, Lovely (1994) uses the comparison method of discrete balances that was originally proposed by Dixit (1985), which is able to identify changes in consumption, lost resources due to tax evasion and costs from compliance enforcement. Furthermore, studies of smuggling based on the pioneering work by Bhagwati and Hansen (1973) propose that the welfare effects from smuggling are generally undetermined because smuggling can diminish welfare even by circumventing distortive government policies (Thursby, Jensen and Thursby, 1991).
In the most recent literature, Christiansen (1994) introduces imperfect competition in determining optimal taxes for purchases in an economy in the presence of crossborder shopping. Ramsey's inverse elasticity rule for determining the optimal tax is modified by imperfect competition. An important contribution of this paper is to consider that imperfect competition may be the reason why prices differ and people engage in crossborder shopping. In the case of tax differences, the price differentials resulting from the presence of monopolies in a neighboring country might be an additional cause of crossborder shopping.
In an empirical analysis of crossborder shopping, Ferris (2010) makes use of border crossings in a single day from Canada to the U.S. and assumes that the costs of crossborder shopping are independent of the volume of purchased goods and that purchases occur at a discrete time. The study of retail pricing on the borders of two countries derives from the crossshopping literature. For Gopinath, Gourinchas, Hsieh and Li (2011, p. 2450), "relative prices at the retail level across countries, expressed in a common currency, comove closely with the nominal exchange rate" " because of certain economic forces that may cause retail prices to differ between countries and because of crossborder costs that cannot be arbitraged using the exchange rate. In this sense, the literature interprets the price gaps of similar goods across borders as a measure of transaction costs.
As an extension of the model developed by Christiansen (1994), the process can be understood as a partial analysis of the implementation of a tax on a single product, which is designated as a taxed product. For simplicity, it is assumed that consumers in these economies demand only taxed products and that there are no exempt products. The population of the origin country is considered as a single representative consumer who maximizes a profit function subject to a budget constraint.
Buying goods abroad involves the real cost in terms of the loss of free time and transportation costs, among others. It is assumed that the amount of goods purchased abroad is subject to increasing marginal costs. This is a simple way to model the fact that it is increasingly costly for people living further away from the border to shop abroad without explicitly introducing the population distribution across the country.
Following Lovely (1994), we assume that all economic agents behave competitively. Companies choose net production to maximize profits using technologies that do not involve externalities. There are no benefits because all companies use technology with constant returns to scale. All products are marketed and because there is free trade between jurisdictions and, in particular, between the country of origin and the foreign country the producerprices of the traded goods are identical everywhere. The tax jurisdiction is economically small, which means that changes in a jurisdiction's tax rates do not affect the producer prices of the traded goods. In addition, companies are legally responsible for tax collection and for delivering collected taxes to the tax authority, and the businesses in a tax jurisdiction fully comply with this law (Lovely, 1994).
Finally, as the origin jurisdiction is small, it is assumed that the neighboring jurisdiction does not respond to changes in incomeneutral taxation by the government of the origin jurisdiction. Furthermore, the tax base of this country is assumed not to be affected by the behavior of the residents of the neighboring jurisdiction (Chiristiansen, 1994; Kanbur and Keen, 1993; Lovely, 1994).
Following Chiristiansen (1994), we presume that the consumer in the country of origin demands x amount of the good in question. An amount h is purchased within the country, while an amount a is purchased abroad. This function is represented by:

The price of the good in the country of origin is p and the price of the good abroad is P. It is assumed that the good is supplied at a constant unit cost. The real cost of buying an amount a of the good abroad (in addition to the price paid in the store) is denoted by k, which is an increasing convex function of a:

Given the above, we can write this profit function as:

where the second argument reflects the cost of buying amount h (= x a), and a reduces the budget available for other goods. Consumer income is denoted by I, which we consider exogenous in this case. Optimally, the consumer would be indifferent to the margin between buying inside the country or abroad:

From the implicit function theorem, it follows that a can be expressed as an increasing function of a(p P). Then, the savings obtained by the representative consumer (g) is defined as:

which can be interpreted as the private income saved by the consumer for buying amount a abroad rather than in the country of origin. Using g, the profit function can be rewritten as:

Maximizing with respect to x, it follows that the total consumer demand can be expressed by the function:

Notably, if effective income is zero, then total demand is independent of the foreign price. The intuitive reason is that, in the margin, the price is always equal to the price in the country of origin because of (4). A change in the foreign price redistributes the purchases between the two markets such that a marginal price equal to p is maintained in both. By contrast, a change in price of the country of origin (p) does not have the same effect because demand abroad is affected by the real cost (k), unless its value remains fixed.
To approximate a regional approach to the problem of the representative consumer involved in crossborder shopping, we use the model from Nielsen (2001), who expands upon the original model by Kanbur and Keen (1993). Two countries, one big and one small, are defined in the range (1, 1) and point b, which describes the border between them. The relative size of the small country is measured by the radius (1b)/(1+b). There is a compound good, and each individual buys a unit of the good when its reserve price exceeds the price of the good. The reserve price in the big country is V, and the reserve price in the small country is v. The reserve price is assumed to be high enough such that all individuals would want to buy such goods for the prices of the goods subject to tax in both countries.
T is the tax rate in the big country and t is the tax rate in the small country. As the sellers do not have market power, the prices of goods are simply taxes because cost=0 is assumed, or in the case of the representative consumer, the cost is fixed. An individual who travels to the border to buy a foreign good incurs a transport cost=d per unit of distance traveled. The consumer in the big country will buy the good at the border if the surplus obtained, VtdS (where S is the distance between the two locations), exceeds the surplus of buying at home, VT. Consequently, those consumers at a distance

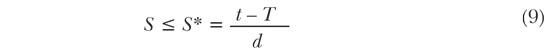
will choose to cross the border to buy (when T > t; but not if T ≤ t). Similarly, the consumers from the small country for whom the distance from the border is S will choose to buy abroad.

For the tax competition model, the maximization of tax income for the government is given by the tax rate applied to the purchases by consumers in their country plus the purchases from foreign consumers, given the collection model described above and given that there is no arbitration or cooperation between the tax systems of both countries.
The inspection and penalty costs for the border control and prosecution of tax evasion are represented by fining f(Tt) for the big country, with a probability of P. Assuming that the residents of the big country are risk neutral, the marginal crossborder purchases for a consumer that moves a distance S* from the border is characterized by the equality T = t + Pf ( T - t ) + dS*. Therefore, the amount of crossborder purchases would be determined by:

The probability of detection at the border reduces the amount of crossborder shopping. The same applies to the fines for tax evaders and, most importantly, to the crossing costs or costs associated with the enabling or legal requirements for crossing the border, such as visas or documentation of legal residency or naturalization in the foreign country for consumers of another country.
With these models, we are able to define the criteria for analyzing MexicoU.S. crossborder purchases, based on the information available. We know that the border consumers have incentives to make purchases in the neighboring country to maximize their profit level. In addition, we assume the effects of the Hotteling principle, i.e., that the influence of the incentive diminishes with increasing distance from the border and that there is a geographical location in which the consumer is indifferent between buying inside the country or abroad.
Moreover, in addition to the price differences (which also vary with exchange rate fluctuations), the tax differentials and the transaction costs, the decision to make crossborder purchases is determined by the implicit penalty when legally restricted goods are involved. With these factors, we construct an estimation model based on microdata and a cross section. As it is a model that applies to only a single cross section and not to a time series we can omit the effects of changes in some of the variables that we know are determinants in crossborder purchases, such as prices, exchange rates, tax differentials, etc.
Crossborder shopping and determining factors
The purchase of consumer goods by Mexican consumers in the U.S. remains an important phenomenon in the foreign trade of both countries, notwithstanding the free trade agreement and the increase in the value of imports. ENGASTO revealed that the number of people in Mexican households who made purchases abroad in 2012 increased to 10.2 million, which is equivalent to 8.9% of the total population. Of the 29.7 million households responding to the survey, 2.8 million (9.6% of the total), made purchases abroad (INEGI, 2012a).
Most of these purchases are made in the northern border states, so it follows that these purchases are primarily made in the U.S. Based on fundamental economic principles and differentials between border cities that are also driven by currency fluctuations, differences in sales taxes, or by the influence of marketing strategies of large retail companies in the U.S., border consumers are a constituent of a stable market for purchases made outside of the country (See Table 1).
ENIGH figures show that 0.83% of Mexican household spending in Mexico involves purchases made abroad (INEGI, 2012b). The expanded values of the sample figures from the ENIGH show that each trimester, there are 736.9 billion pesos spent on purchased goods made abroad by Mexican households. The amount seems low it is less than 1% of total household expenditures in the country but its importance is even more relevant if we consider that nearly 33% of total expenditures are spent on nontraded goods, such as rent, housing, and other payments. If we subtract this cost from the total, then the purchases abroad represent 1.23% of the total spending on goods.
To properly assess the transactions described above, it should be noted that their figure is 64% greater than the value of purchases made in establishments called convenience stores, a form of commercialization that has gained a certain dominance in the country in recent years.
To understand these transactions, it is important to consider that they usually involve some goods, particularly articles of clothing and appliances, among many other products, but seldom all the household purchases (which in ENGASTO it is termed as "the great purchase"). For example, in northern border states alone, 51 thousand families report making the great purchase in the U.S. In contrast, 960 thousand families report making purchases in the category of clothing items, which represents 17% of the total households in the six border states. Thus, less than 5% of the families that make purchases in the U.S. and that reside in border states purchase all of the goods they consume in the U.S. The behavior of most households fits the behavior of the described phenomenon: they buy goods with large price differences, from consumer goods to electronics, clothing, controlled or forbidden goods or goods with special taxes, such as beverages and tobacco.
Figure 1 shows the main goods that are purchased abroad by Mexican consumers grouped into three geographical categories: households in border states, high migration states, and the remainder of the states. In the list of the top 12 consumer goods purchased in the U.S., clothing items or textiles in general occupy the top 5 positions, and the next 7 positions correspond to electronic appliances.
Thus, one factor expected to be important in explaining crossborder purchases is geographical proximity to the U.S. Moreover, families in states with high migration lassified using the migratory intensity index from the Consejo Nacional de Población (CONAPO, 2013) are also expected to be important. In addition to the proximity to the border and state migration patterns, crossborder purchases are also expected to be affected by certain sociodemographic variables related to income, by education level, and by the gender of the head of household. Migratory intensity indices greater than 0.5, also tend to explain crossborder shopping.2
In summary, the analysis of the figures in ENGASTO reveals different assessments of crossborder shopping, depending on whether the focus is on products, regions, or income structure. These types of transactions do not involve a group of purchases made by consumers in the country; in that sense, it is a marginal issue for private consumption figures of the country but not for the border regions. In any event, it not only is a border regional phenomenon but also involves the families in the highest income decile of the rest of the country. It involves only some not all of the goods consumed in Mexico, even in the border states, which is different from border regions in European countries or on the CanadaU.S. border. Moreover, the purchases are distributed among durable and nondurable consumer goods, consisting primarily of textiles, consumer electronics, and home appliances. Finally, the highest incidence occurs in the income structure of the society crossborder consumption is a characteristic of higher income groups.
The MexicoU.S. border is one of the few crossborder regional production systems involving a developed economy and one or more lessdeveloped economies. According to Shen (2003), other similar systems include the Hong Kong region and the Pearl River delta in China and the growth triangle, which consists of Indonesia, Malaysia and Singapore.
The reality of MexicoU.S. integration, which assumes collaboration in the economic structures of both countries, is determined by restrictions on the international mobility of people. This restriction plays a key role in Mexican consumers' purchase volume in the country. We distinguish two types of factors affecting crossborder shopping: first, the Unites States visa requirement for Mexicans and the dynamics of the formation of a nucleus of a binational population living in Mexico; second, the persistence of the physical control of product movement between the countries through customs control, which was one of the first items eliminated in processes such as the European Union.
The homologation of the tax rates in the member states of the European Union was a resulted from the elimination of the customs control. In Mexico, customs control continued because the tax differences remained, even when a lower VAT rate was implemented in the northern and southern border states than in the rest of the country.
According to figures from the U.S. Department of Transportation, the number of border crossings between 2003 and 2012 fell by 35%, from 246 million in 2003 to 159 million border crossings in 2012 (United States Department of Transportation [USDOT], 2012). In contrast, the number of visitors under the tourist and business (I94) category increased such that Mexico, with 16 million tourism and business visitors in 2012, accounted for more than 30% of the visitors to the U.S. (United States Department of Homeland Security [USDHS], 2012).
Moreover, following Wasem (2011), assuming that visas issued to Mexicans between 2003 and 2012 had a term of 10 years and are still valid in 2013, the cumulative total of these documents for that year would amount to 10.8 million (USDHS, 2012), equivalent to 9.2% of the Mexican population during that year. If we add this to the employed population working abroad or for international organizations from the Encuesta Nacional de Ocupación y Empleo (ENOE) (INEGI, 2012c), plus the amount of Mexican residents born in the U.S. from the Census of Population and Housing 2010, it is estimated that the total population from Mexico entitled to enter the U.S. totals more than 11.9 million people, which is concentrated in a greater proportion in the northern border states.
From a regulatory point of view (Servicio de Administración Tributaria [SAT], 2014), crossborder purchases by Mexicans in the U.S. are somewhat tolerated by the authorities. The customs duty (150 dollars per person, 300 dollars per holiday period) is broad and lacks effective action to prevent the introduction of items whose import is prohibited or restricted by law, such as cigarettes, alcohol and textile fibers and footwear from China. It is possible that this tolerance is preferable to the proliferation of smuggling and the crime generated by this activity (it used to happened prior to the economic openness of Mexico in the early nineties) and that the smallscale smuggling that is "tolerated" results in a better equilibrium than the massive smuggling that was the standard in the past. Moreover, this equilibrium is the price that must be paid for maintaining and increasing the gap in excise taxes between Mexico and its northern neighbor.
Determinants of crossborder shopping
To provide a functional form to the crossborder shopping model represented in Equation 10, subject to the behavior of the representative consumer and based on the information available in the database used in the investigation, it was decided to estimate a probabilistic model to assess the probability that households would purchase products abroad.
The tax competition model is summarized in the above equation, which synthesizes the influence of the variables in the model, such as differential tax rates, the cost of obtaining the visa to enter the neighboring country, the chances of tax evasion and the penalties for smuggling. The distance to the border in our model is represented by three regional areas: northern border states, states with strong immigration traditions, and the remaining states.
The estimate is made on purchases abroad and declared in ENGASTO; as independent variables, the household expense level is used (which approximates the household income level), distance to the border (a vector that contains three dimensions) and sociodemographic variables. It uses the sample of the total of all the Mexican households in one year and estimates a single cross section: the year 2012. Therefore, no time series variables are included, such as price, tax or transportation costs differences, because we are not attempting to determine the value of purchases in the U.S. but to identify what causes a family to buy consumer goods in that country.
The dependent variable is a dichotomous variable, Purchase_US, which takes the value of 1 when the family bought a good abroad and zero when it did not. Total annual household expenditures is used as an explanatory variable, first as a monetary value, then in logarithm form, which provides significant improvement to the estimates.
To check the influence of the educational and cultural levels of the population, we also add the education of the head of household as a sociodemographic variable, which takes four different values: (1) incomplete primary, (2) complete primary, (3) complete secondary and (4) higher education. The gender and age of the head of household are also included.
According to the models discussed previously, one of the factors that we hope will be more important in explaining the completion of crossborder shopping is geographical proximity to the U.S. Because the data are representative at the state level and to incorporate the factor of distance in our estimation, a dichotomous variable was constructed: border, which takes the value of 1 for the samples that live in a state bordering the U.S. and 0 otherwise.
Another factor that we expect to have a positive effect is the migration of Mexicans to the U.S. Migration implies a circular flux of population between both countries, which shows the consumption pattern and market information that may be included in crossborder shopping flows. To capture this effect, we determined which states have a high migration intensity using the Índice de Intensidad Migratoria 2010 (INEGI, 2010). Migration = 1 for the samples in those states and 0 for the rest of the sample. Thus, the country can be separated into three mutually exclusive interest groups: border states (border=1, migration=0), states with high migration (border=0, migration=1) and the remaining states (border=0, migration=0). This manner of separating the sample will be used in all the figures.
Of heads of household, 25.9% are women (variable woman=1 if female, 0 if male) and the average age of the heads of household is 48.4 years (age variable). For all figures, tables and estimates, there are 57 756 samples representing 29.7 million homes: 5.6 million in the border region (11 551 samples), 7.1 million in states with high migration (18 432 samples), and 17.1 million in the remaining estates (27 773 samples).
The population distribution according to the education level of the heads of household for the three abovementioned regions reveals that in nonborder states there is a larger proportion of heads of household without complete primary education, particularly in those states with high migratory intensity. Conversely, the border states have a higher average education level, and states with high migratory intensity have a lower average education level than the other groups.
Figure 2 shows the proportion of households that made purchases in the U.S. by education level. In the border states, we find a much larger proportion than in the other two regions. Although the difference is much smaller, the states with high migration have a larger proportion of the population that shops in the U.S. In addition, for all regions, there is a greater proportion of households with higher education levels that make a purchase in the U.S.
Table 2 presents three estimates, a base model, which is identified as a simple model, then another model that uses explanatory variables to record the samples corresponding to the border states, heavy migration states, and the remaining states. Finally, the third column adds spending on border states and spending in high migration states to the specific weight of these variables as explanatory variables in determining crossborder shopping.
In the base model, which only includes the expenditure variables (log_10_expenditure), age, education and gender of the head of household (age, education, woman), all the included variables have a positive coefficient, such that an increase in the variable will increase the probability that the dependent variable, purchase_US, takes the value of 1 in other words, the probability that a household shops in the U.S. The only notable aspect that stands out at this juncture is that if the head of household is female, then the household is more likely to make purchases in the U.S. This effect is not very large, but it is consistent in all estimates. For the base model, if the other variables take the average value, the probability that purchases are made in the U.S. increases by 0.6% in the households headed by women, which is similar in the remaining estimates. In the base estimate, the log_10_expenditure variable has the greatest impact on the estimated probability to shop in the U.S., which leads to the conclusion that crossborder shopping is a function of income level.
Statistically, all the coefficients are individually and jointly significant with pvalues lower than 0.0001, which is also true of the next two models. McFadden's pseudoR2 was calculated, which was very low (0.06) in the base estimate, although the high X2 confirms that the model is statistically significant.
Then, we decided to increase the border and migration variables to include proximity to the border and possible family ties with residents of the U.S. The estimate significantly improves all the statistics. The Χ2 is multiplied by more than four and the pseudo R2 by just under four.
The maximum likelihood also increases considerably, and the coefficients of both variables are statistically significant and have a positive effect on estimated probability. In the mean values of all the variables, living on the border increases the probability of shopping in the U.S. by 31.1%, and living in states with high migration increases it by 5.4%, both with respect to living in the other states.3
Finally, we want to check whether expenditures which together with living in a border state, is the main determinant of shopping in the U.S. has different effects in the regions. For this, we created two more variables, which are the interactions between log_10_expenditure and the region variables (border and migration), i.e., border_expenditureand migration_expenditure.
An increase in household expenditures on the border (or in states with high migration) affects the probability of buying in the U.S. in two ways: first, through increased spending, as in any other region and, second, an additional effect that only influences household expenditures in border states (or high migration). In this way, we allow the model to incorporate different effects of household spending in the regions. This estimate, labeled as Final in Table 2, significantly improves those estimates above.
We can calculate the minimum (border_expendituremin) such that the effect of living on the border is positive, using the results from column "Final: (Table 2)" (where bi is the coefficient in the table of the i variable):
Bborder+b border_expenditure * border_expendituremin=0
border_expendituremin= (bexpenditure)/(b boder_expenditure)
border_expendituremin=(2.736)/(0.818)=3.345
With this, we conclude that only 0.014% of the households in the border states have border_expenditure lower than the minimum. Thus, for the vast majority of the households, the effect of living in a border state is positive. Similarly, the extra effect from the income for the case of states with high migration is negative, although the effect from the migration is positive. Following the same logic, we see that that living in a state with high migration is negative only for migration_expenditure greater than 6.410 (only one sample and less than 0.001% of the population).
Marginal effects that were not constant in the case of probit estimates were evaluated at the medians of the variables, and in the case of the gender, border and migration variables that are not continuous, the effect of a discrete change from 0 to 1 in the value of the variable is estimated. The impact of total expenditures is different for households of different regions. The effects of the border_expenditure (for the households in the border) and migration_expenditure (for households in high migration states) variables are added to the effect of all households.
In Figure 3, we graphed the estimated probability vs. the total expenditure (in log10). We separated the population in three regions and calculated the median of the estimated expenditures for each probability interval.
We can see that the estimated probabilities are clearly higher for households that live on the border and that as the spending increases, the difference increases considerably. By contrast, for those households in highmigration regions, the difference between the rest of the states remains more or less the same even in the households with lower expenditures, where the difference disappears.
The effect resulting from greater income is positive on the estimated probability in all regions, with the greatest effect in the border regions and the least effect in the high migration regions. The rest of the variables have the expected coefficient sign, except for gender, which has a positive coefficient if the head of household is female, as in the base model. As shown, the effect of a female head of household, evaluated using the medians, increases the probability of shopping abroad by 0.7%.
Age also has a positive effect, although small by itself. However, if higher income is accompanied by greater age which is what we expect because greater age is often accompanied by greater experience part of the effect that is really from the age could be the result of the effect that total expenditure has.
Conclusions
In this research, we used a simple model to represent the direct imports by Mexican consumers from the U.S., in the form of crossborder shopping. While this phenomenon affects the whole country, subject to the restrictions or determining factors that the Mexican people have to enter that country, as the model predicts, it is in the northern border regions where the phenomenon is most common and of greater economic importance.
Purchases of consumer goods in the U.S. by border residents is a historical phenomenon that relates to the operation of these cities, as described in Arreola (1996), that is related to the formation of the current multicultural features of the region. Estimates suggest that the likelihood that a family makes purchases abroad decreases as its location moves further from the border. However, households in regions with high migration have a higher probability of buying assets than the rest of the country because, according to Wang and Lo (2007), the consumption pattern of immigrants is not only influenced by preimmigration purchasing habits but also by transnational behavior after immigration. In all regions, the probability is a function of income and other sociodemographic attributes related to income, with some variations between the regions as described in the previous section.
These results confirm the influence of the distance to the border as the most important factor explaining the purchases in the neighboring country. These results also confirm tax competition theory as well as consumer profit theory. Moreover, this theory explains that the results obtained match the differentials in tax rates levied on purchases in both countries, which are offset by transaction costs, transportation costs, the influence of the probability of being penalized and other determining factors. In addition, the probability of shopping abroad decreases as transaction costs increase (k value), which tends to equalize domestic and foreign prices and minimizes consumer profits as a result.
For purposes of simplifying the model, we assume that there are no price differences and that there is a common currency; in addition to eliminating the influence of the exchange rate, this step allows us to leave aside differences in sales or in consumption taxes. Thus, the estimation model prevents knowledge of the values of the parameters of Equation 10 and instead helps explain expenditures abroad by Mexican families, which can be understood according to the postulates of this theoretical model and by means of probabilities. Given the constraints of the model and the assumptions of the behavior of the representative consumer, the theories can explain these results using price and tax rate differentials between both countries.
Offsetting this differential with transaction and transportation costs, the weight of other determining factors and the probability of customs detection, the probability that Mexican consumers buy directly from the U.S. market will extend further than the northern border. As the price difference and tax rates increase, it is possible that in addition to increasing the external demand for goods by border consumers, consumers further from the border will join the flow of buyers in the neighboring country. In the case of regions with migrant populations, we note that its introduction into the estimated model enriches this relationship. This phenomenon is explained by knowledge about the neighboring country, modification of the original consumption patterns and reduced penalties for customs rules violations, in addition to the detection probability when returning to the country of origin.
However, distance is not the only factor restricting foreign purchases the variable S in the model and the value of the k variable is more extensive, which gives content to all restricting and determining factors.
References
Aiura, H. y Sanjo, Y. (2010). Privatization of local public hospitals: effect on budget, medical service quality, and social welfare. International Journal of Health Care Finance and Economics, 10(3), 275299. [ Links ]
Arreola, D. D. (1996). BorderCity Idee Fixe. Geographical Review, 86(3), 356369. [ Links ]
Bhagwati, J. y Hansen, B. (1973). A theoretical Analysis of Smuggling. Quartely Journal of Economics, 81, 172187. [ Links ]
Christiansen, V. (1994). CrossBorder Shopping and the Optimum Commodity Tax in a Competitive and a Monopoly Market. The Scandinavian Journal of Economics, 96(3), 329341. [ Links ]
Clark, T. (1994). National Boundaries, Border Zones, and Marketing Strategy: A Conceptual Framework and Theoretical Model of Secondary Boundary Effects. Journal of Marketing, 58(3), 6780. [ Links ]
Consejo Nacional de Población (CONAPO). (2013). Geografía e intensidad migratoria MéxicoEstados Unidos 2010. Boletín de Migración Internacional, (año I, Número Especial). México, Distrito Federal: Secretaría de Gobernación. [ Links ]
Cremer, H. y Gahvari, F. (2000). Tax evasion, fiscal competition and economic integration. European Economic Review, 44(9), 16331657. [ Links ]
Dixit, A. (1985). Tax Policy in open economies. En A. J. Auerbachy y M. Feldestein (Eds.), Hanbook of Public Economics (Vol. I). Amsterdam, Holanda Septentrional: ELSEVIER. [ Links ]
Ferris, J. S. (2010). Quantifying NonTariff Trade Barriers: What Difference Did 9/11 Make to Canadian CrossBorder Shopping. Canadian Public Policy / Analyse de Politiques, 36(4), 487501. [ Links ]
Gopinath, G., Gourinchas, P.O., Hsieh, C.T. y Li, N. (2011). International Prices, Costs, and Markup Differences. The American Economic Review, 101(6), 24502486. [ Links ]
Himes, Jr y James, R. (2004). Review of Andreas Haufler Taxation in a Global Economy. Journal of Economic Literature, 41(1), 193194. [ Links ]
Hsu, L. C. (2005). A Hotelling model of fiscal competition. Public Finance Review, 33(4), 520535. [ Links ]
Instituto Nacional de Estadística, Geografía e Informática (INEGI). (2010). Censo de Población y Vivienda 2010. México, Distrito Federal: Autor. [ Links ]
Instituto Nacional de Estadística, Geografía e Informática (INEGI). (2012a). Encuesta Nacional de Gasto de los Hogares (ENGASTO), 2012. México, Distrito Federal: Autor. [ Links ]
Instituto Nacional de Estadística, Geografía e Informática (INEGI). (2012b). Encuesta Nacional de Ingreso y Gasto de los Hogares (ENIGH), 2012. México, Distrito Federal: Autor. [ Links ]
Instituto Nacional de Estadística, Geografía e Informática (INEGI). (2012c). Encuesta Nacional de Ocupación y Empleo, 2012. México, Distrito Federal: Autor. [ Links ]
Kanbur, R. y Keen, M. (1993). Jeux Sans Frontières: Tax Competition and Tax Coordination When Countries Differ in Size. The American Economic Review, 83(4), 877892. [ Links ]
Knight, B. y Schiff, N. (2012). Spatial Competition and CrossBorder Shopping: Evidence from State Lotteries. American Economic Journal: Economic Policy, 4(4), 199229. [ Links ]
Lovely, M. E. (1994). Crossing the Border: Does Commodity Tax Evasion Reduce Welfare and Can Enforcement Improve It? The Canadian Journal of Economics / Revue canadienne d'Economique, 27(1), 157174. [ Links ]
Nielsen, S. B. (2001). A Simple Model of Commodity Taxation and CrossBorder Shopping. The Scandinavian Journal of Economics, 103(4), 599623. [ Links ]
Shen, J. (2003). CrossBorder Connection between Hong Kong and Mainland China under 'Two Systems' before and beyond 1997. Geografiska Annaler: Series B, Human Geography, 85(1), 117. [ Links ]
Servicio de Administración Tributaria (SAT). (2014). Información aduanera. Dirección General de Aduanas. Recuperado de http://www.aduanas.gob.mx/aduana_mexico/2008/pasajeros/139_10076.html [ Links ]
Thursby, M., Jensen, R. y Thursby, J. (1991). Smuggling, Camouflagin, and market structure. Quarterly Journal of Economics, 106(3), 789814. [ Links ]
United States Department of Homeland Security (USDHS). (2013). 2012 Yearbook of Immigration Statistics. Recuperado de http://www.dhs.gov/sites/default/files/publications/ois_yb_2012.pdf [ Links ]
United States Department of Transportation (USDOT). (2014). Border crossing/Entry data: Query detailed statistics. Recuperado de http://transborder.bts.gov/programs/international/transborder [ Links ]
Wang, L. y Lo, L. (2007). Global connectivity, local consumption, and Chinese immigrant experience. Geo Journal, 68(2/3), 183194. [ Links ]
Wasem, R. E. (28 de febrero de 2011). U. S. Immigration Policy on Temporary Admissions (75700, RL31381). Recuperado del sitio de Internet de Congressional Research Service, Report for Congress: https://www.fas.org/sgp/crs/homesec/RL31381.pdf [ Links ]
Wooders, M. y Zissimos, B. (Abril, 2003). Hotelling Tax Competition. Cesifo (Documento de trabajo No. 932 Category 1: Public finance). Alemania: CESifo. [ Links ]
Footnotes 1 Wang and Lo (2007) studied immigrant consumer behavior and established that in certain classes of real goods including electronics preferences are complementary, in spite of the popular belief that foreigners retain their original tastes and preferences. In the case of Mexican migrants, the data show the demand and preference for foreign foods from their hometowns. 2 The 2010 Migratory Index (IIM_2010) of the (CONAPO, 2013), is estimated by means of the principal components method based on data from the 2010 INEGI census. The following are high migration states: Aguascalientes, Durango, Guanajuato, Guerrero, Hidalgo, Michoacán, Nayarit, Oaxaca, San Luis Potosí and Zacatecas. 3 The figure does not include marginal effects except for the final estimation.










texto en 







