Servicios Personalizados
Revista
Articulo
Indicadores
-
Citado por SciELO -
Accesos
Links relacionados
-
Similares en
SciELO
Compartir
Ciencias marinas
versión impresa ISSN 0185-3880
Cienc. mar vol.47 no.4 Ensenada oct./dic. 2021 Epub 09-Dic-2022
https://doi.org/10.7773/cm.v47i4.3143
Artículos
Aspectos biológicos y uso de hábitat del calamar dedal, Lolliguncula panamensis, capturado en el golfo de California
1Facultad de Ecología Marina, Universidad Autónoma de Guerrero, Av. Gran Vía Tropical, no. 20, Fraccionamiento Las Playas, 39390 Acapulco, Guerrero, Mexico.
2Programa de Investigadoras e Investigadores por México, Consejo Nacional de Ciencia y Tecnología, 03940, Mexico City, Mexico.
3Instituto Nacional de Pesca y Acuacultura, Centro Regional de Investigación Acuícola y Pesquera-Guaymas, Calle 20, no. 605 Sur, 85400 Guaymas, Sonora, Mexico.
4Instituto Nacional de Pesca y Acuacultura, Centro Regional de Investigación Acuícola y Pesquera-La Paz, km 1 carretera a Pichilingue, s/n, Col. Esterito, 23020 La Paz, Baja California Sur, Mexico.
Se analizaron aspectos biológicos, talla, peso e indicadores reproductivos, del calamar dedal. Se analizaron 2,354 individuos capturados en 7 cruceros de pesca exploratoria y en muestreos de 5 bahías en el golfo de California de 2014 a 2017. Los individuos se agruparon en 2 sistemas: frentes costeros (programas de crucero Calamar gigante, Camarón, Merluza y Pelágicos menores) y lagunas costeras (bahías de Agiabampo, Yavaros, Tóbari, Lobos y Las Guásimas). En los frentes costeros se capturaron 1,687 individuos (44.2% hembras, 25.7% machos y 30.1% indeterminados) y en las lagunas costeras, 667 individuos (59.7% hembras, 36.7% machos y 3.6% indeterminados), y las hembras fueron las de mayor abundancia en ambos ecosistemas. Las hembras dominaron en tallas >60 mm de longitud de manto (LM) y los machos, en tallas <60 mm de LM. El tipo de crecimiento fue alométrico negativo para ambos sexos (b = 2.59). La talla promedio de primera madurez (LM50) indicó que las hembras maduran a longitudes mayores que los machos. La frecuencia de los estadios de desarrollo gonádico por sistema mostró que las fases inmaduras en ambos sexos fueron las más frecuentes. La proporción sexual fue 1.7H:1.0M. De acuerdo con nuestros resultados, podemos concluir que el calamar dedal habita ambos sistemas, los frentes costeros y las lagunas costeras, donde los machos maduros parchan a las hembras inmaduras en las lagunas costeras y estas migran a los frentes costeros para madurar y desovar.
Palabras clave: golfo de California; calamar dedal; Lolliguncula panamensis; laguna costera; desarrollo ovárico
The biological aspects size, weight, and reproductive indicators of the Panama brief squid were analyzed. A total of 2,354 individuals caught during 7 exploratory fishing cruises and 5 sampling events in bays in the Gulf of California from 2014 to 2017 were studied. The individuals were grouped by system: coastal fronts (fishing cruises for Jumbo squid, Shrimp, Hake, and Small pelagics) and coastal lagoons (Agiabampo, Yavaros, Tóbari, Lobos, and Las Guásimas Bays). In the coastal fronts 1,687 individuals were sampled (44.2% females, 25.7% males, and 30.1% unsexed), and in the coastal lagoons 667 individuals (59.7% females, 36.7% males, and 3.6% unsexed), with females being the most abundant in both ecosystems. Females were most abundant in sizes >60 mm mantle length (ML), while males were most abundant in sizes <60 mm ML. Negative allometric growth was evidenced for both sexes (b = 2.59). Mean size at first maturity (LM50) showed that females matured at larger sizes than males, and the frequency of gonad development stages by system showed that the immature stages were the most frequent in both sexes. The sex ratio was 1.7F:1.0M. According to our results, the Panama brief squid inhabits both systems, the coastal fronts and the lagoons, with mature males using coastal lagoons to pass sperm packets to immature females during mating and females then moving to coastal fronts to mature and spawn.
Key words: Gulf of California; Panama brief squid; Lolliguncula panamensis; coastal lagoon; ovarian development
Introducción
A nivel mundial los calamares de la familia Loliginidae están representados por alrededor de 47 especies, que se agrupan en 10 géneros y 9 subgéneros (Jereb et al. 2010). Se distribuyen en las zonas neríticas de mares tropicales, subtropicales y templados (Roper et al. 1984). En las costas mexicanas del Pacífico, se tienen registradas 5 especies de la familia Loliginidae: Lolliguncula panamensis, Lolliguncula argus, Lolliguncula diomedeae, Doryteuthis opalescens y Pickforditeuthis vossi (Fischer et al. 1995). Los loligínidos son organismos capturados de manera directa e incidental (Staudinger 2006); sus volúmenes de captura en 2002 alcanzaron 275,024 t, que representa el 9% de la captura total de calamares a nivel mundial (Rodhouse 2005). Biológicamente, son organismos importantes en las tramas tróficas, ya sea como depredadores de peces pequeños e invertebrados o como presas de mamíferos marinos y peces demersales y pelágicos de importancia comercial (Rosas-Luis et al. 2008).
Lolliguncula panamensis se distribuye en el Pacífico oriental, en la costa occidental de Baja California Sur y desde el golfo de California hasta Perú (Fischer et al. 1995). Se le puede encontrar hasta los 70 m de profundidad, aunque es más abundante entre los 5 y 30 m, a temperaturas de 21 a 27 ºC y salinidades de 15 a 23 (Fischer et al. 1995, Sánchez 2003, Arizmendi-Rodríguez et al. 2012b). Presenta dimorfismo sexual, donde las hembras, que son de mayor tamaño, alcanzan los 110 mm de longitud de manto (LM) y maduran a los 80 mm de LM, y los machos alcanzan hasta 80 mm de LM y maduran a los 40 mm de LM (Fischer et al. 1995); de acuerdo con Squires y Barragán (1979), el dimorfismo sexual lo presentan antes de su madurez sexual. En las costas mexicanas del Pacífico, L. panamensis se captura como parte de la fauna asociada a la pesca de camarón realizada por la flota artesanal y de altura (Alejo-Plata et al. 2001).
En México, los estudios de calamar dedal se han realizado, principalmente, en el golfo de California y han abordado aspectos de hábitos alimenticios, reproducción, abundancia y distribución (Arizmendi-Rodríguez et al. 2011, 2012a, 2012b). En el golfo de Tehuantepec, se realizó un estudio sobre la distribución, la talla y la proporción sexual de L. panamensis (Guzmán-Intzin et al. 2020). Todos los estudios sobre aspectos biológicos de L. panamensis se han realizado en los cuerpos oceánicos y frentes costeros. A pesar de que los miembros de la familia Loliginidae pueden encontrarse en bahías y estuarios, se desconoce cuál es su comportamiento dentro de estos ecosistemas. El presente trabajo tiene como objetivos analizar la relación longitud-peso, los aspectos reproductivos, la distribución y el uso de los ecosistemas lagunares y frentes costeros de L. panamensis partiendo de la hipótesis de que los sistemas lagunares son utilizados solo como área de crianza.
Materiales y métodos
La recolecta de las muestras se realizó durante 7 cruceros de investigación en el golfo de California, México, de 2014 a 2017. Dichas prospecciones son parte de las actividades de los programas del Instituto Nacional de Pesca y Acuacultura (INAPESCA): Calamar gigante (1 crucero), Camarón (1 crucero), Merluza (3 cruceros) y Pelágicos menores (2 cruceros). También se obtuvo material biológico de muestreos realizados durante la veda de camarón por el INAPESCA en las bahías de Agiabampo, Yavaros, Tóbari, Lobos y Las Guásimas de 2014 a 2016. Para el caso de los muestreos en bahías, los especímenes de calamar dedal fueron capturados con red de arrastre (chango camaronero) abordo de una embarcación menor, mientras que en los cruceros se empleó potera para Calamar gigante, red de arrastre de fondo para Camarón y Merluza, y red de media agua para Pelágicos menores. Los individuos del calamar dedal fueron separados de la especie objetivo del crucero o del muestreo de bahía, guardados en bolsas de plástico debidamente etiquetadas y conservados en hielo o congelados. Fueron trasladados al laboratorio del Centro Regional de Investigación Acuícola y Pesquera en Guaymas para su procesamiento. Los muestreos fueron realizados en frentes costeros y lagunas costeras entre los 25.0º N y 31.5º N de latitud (Fig. 1).

Figura 1 Área de estudio, golfo de California (México) y lagunas costeras, donde se indica la posición geográfica de la zona de muestreo.
Con el propósito de concentrar la información biológica, esta se agrupó por frente costero (cruceros Calamar gigante, Camarón, Merluza, Pelágicos menores) o laguna costera (bahías Agiabampo, Yavaros, Tóbari, Lobos y Las Guásimas), según la proveniencia; se define frente costero como el frente de línea de costa en las partes externas de cualquier cuerpo lagunar o bahía (frente costero superior, medio y alto). Los organismos fueron medidos de su LM (la distancia entre el borde anterior y el ápice posterior del manto, ±0.1 cm) con un vernier, y su peso total (PT, ±0.1 g) se registró con una báscula Ohaus. Cada organismo se disecó por la parte ventral, y de manera macroscópica se identificó el sexo; algunos organismos fueron asignados como indeterminados debido al mal estado del aparato reproductor. El estadio gonádico (inmaduro [I], en desarrollo [II], maduro [III] y desovado [IV]) de los individuos sexados se asignó de acuerdo con la escala morfocrómatica de Lipiński y Underhill (1995).
Estructura de tallas
La estructura de tallas se analizó por sexo agrupando la LM en intervalos de 10 mm. La normalidad de las distribuciones se evaluó con la prueba de Kolmogorov-Smirnov, y las diferencias de LM entre ecosistemas y por sexo se determinaron con la prueba de Kruskal-Wallis. Para ambas pruebas, se utilizó el ambiente R (R Core Team 2020).
Relaciones biométricas
La relación LM-PT fue estimada para la población y por sexo, mediante el ajuste del modelo potencial (PT = a × LM b ), donde a es el intercepto (factor de condición) y b es el coeficiente de alometría. Los datos pares de LM/PT fueron transformados a logaritmo natural antes del análisis de regresión para identificar datos fuera de rango; una vez localizados, los datos fuera de rango fueron excluidos del análisis (Froese 2006). El coeficiente de determinación (R 2 ) fue utilizado como una medida de bondad de ajuste en cada una de las regresiones. Para el parámetro b, se estimaron los intervalos de confianza al 95%; posteriormente, para determinar si L. panamensis presentaba un crecimiento isométrico (H0: b = 3, α = 0.05), se utilizó la prueba t de Student (Zar 2014). Luego de comprobar la homocedasticidad de pendientes (paralelismo) en los datos transformados a logaritmo (Zar 2014), se aplicó un análisis de covarianza (ANCOVA) para determinar si las relaciones entre hembras y machos mostraban diferencia significativa (Zar 2014). El análisis estadístico fue realizado mediante el software IBM-SPSS Statistics 20.
Aspectos reproductivos
El estado reproductivo de hembras y machos fue definido analizando la información de madurez gonadal. Utilizando los datos de hembras y machos en los estadios en desarrollo y maduro, se determinó la frecuencia relativa acumulada por intervalos de longitud de manto. Posteriormente, con el modelo logístico, a través del ajuste de las frecuencias relativas, se calculó la talla promedio de primera madurez (LM50) (Sparre y Venema 1995). El modelo se ajustó a través de la maximización del logaritmo negativo de verosimilitud (negative log likelihood, -LL):
donde n es el número total de individuos en la clase i y m es el número de organismos maduros en la clase i.
Se estimaron los intervalos de confianza para la LM50 con base en los perfiles de verosimilitud y la distribución chi cuadrada (χ2) (Venzon y Moolgavkar 1988). El intervalo de confianza se definió como todos los valores de
donde
Se consideraron inmaduros (juveniles) los individuos que estuvieron en las fases de desarrollo gonadal I y II, y sexualmente maduros (adultos) a los individuos en las fases III y IV. De acuerdo con la escala morfocromática de desarrollo, el criterio para la definición de hembras juveniles y adultas se basó principalmente en el color y el tamaño de las glándulas nidamentales, al ser un órgano que aumenta y mantiene su tamaño una vez alcanzada la madurez sexual. En machos, el criterio se basó en la diferenciación del aparato reproductor (adultos), principalmente en los órganos sexuales accesorios (Lipiński y Underhill 1995). Se determinó la proporción sexual total por sistema (laguna costera, LC; frente costero, FC). En cada sistema se contrastó por sexo a los organismos inmaduros con los maduros, y se hicieron comparaciones de hembras maduras contra machos inmaduros y hembras inmaduras contra machos maduros. La prueba χ2 fue utilizada para comparar si existía diferencia significativa entre las proporciones de sexos, tomando como hipótesis nula la proporción de sexos reportada por Arizmendi-Rodríguez et al. (2012a)) para L. panamensis de 4 hembras por 1 macho (4.0H:1.0M). El valor observado fue comparado con el valor teórico de χ2 con un 95% de nivel de confianza (Zar 2014). Se aplicó este mismo análisis estadístico para determinar diferencias en el número de juveniles y adultos en la población, por sexo y por ecosistema.
Resultados
Estructura de tallas
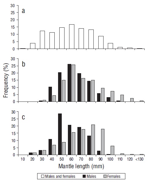
Se capturaron en total 2,354 individuos, de los cuales 1,144 (48.6%) fueron hembras, 677 (28.8%) machos y 533 (22.6%) indeterminados. En general, las tallas oscilaron entre 9 y 125 mm de LM (Fig. 2a). Ambos sexos estuvieron representados en todo el intervalo de tallas; sin embargo, las hembras dominaron en las tallas >60 mm de LM (80.0%) y los machos en las tallas <60 mm de LM (62.0%).

Figura 2 Distribución de frecuencia de longitud de manto del calamar dedal (Lolliguncula panamensis): (a) ambos sexos de lagunas costeras y frentes costeros, (b) machos y hembras de lagunas costeras y (c) machos y hembras de frentes costeros.
En los sistemas lagunares se cuantificaron 667 individuos, de los cuales 398 (59.7%) fueron hembras, 245 (36.7%) machos y 24 (3.6%) indeterminados. Los machos mostraron tallas de 29 a 101 mm de LM y una moda de 60 mm de LM, mientras que las hembras presentaron tallas de 28 a 123 mm de LM y una moda de 60 mm de LM (Fig. 2b). A partir de los 7 cruceros (FC), se capturaron 1,687 calamares, de los cuales 746 (44.0%) fueron hembras, 433 (26.0%) machos y 508 (30.0%) indeterminados. En los FC, los machos mostraron tallas de 11 a 94 mm de LM y una moda de 50 mm de LM, mientras que las hembras presentaron tallas de 11 a 125 mm de LM y una moda de 80 mm de LM (Fig. 2c). El análisis de Kruskal-Wallis mostró que no hubo diferencias en las LM entre los ecosistemas, ni para machos (H = 0.1, P = 0.6) ni para hembras (H = 2.5, P = 0.1).
Relaciones biométricas
La relación LM/PT para ambos sexos mostró una relación del tipo potencial (R 2 > 0.95) (Tabla 1, Fig. 3). Los valores de la pendiente b estuvieron en el rango de 2.50 a 2.59, lo cual demuestra un crecimiento del tipo alométrico negativo en los 3 casos (P < 0.05, Tabla 1). El ANCOVA mostró diferencias significativas en la relación LM/PT entre hembras y machos (P < 0.05) (Tabla 1).
Tabla 1 Resumen de los valores de la regresión longitud de manto vs peso total para hembras, machos y ambos sexos de Lolliguncula panamensis. Se muestran los valores de F y P del análisis de covarianza (ANCOVA). CI, intervalo de confianza.
| Sex | a | b ± CI 95% | R2 | P for t test (b) | F (ANCOVA) | P (ANCOVA) |
| Females | 0.000473 | 2.59 ± 0.07 | 0.984 | 0.002 | ||
| Males | 0.000690 | 2.50 ± 0.20 | 0.951 | 0.002 | ||
| Both | 0.000464 | 2.59 ± 0.08 | 0.967 | 0.001 | 4.050 | 0.006 |
Aspectos reproductivos
De los 2,354 individuos de L. panamensis analizados, 750 eran maduros. Con el modelo, se estimó una LM50 poblacional de 68.3 mm de LM (Fig. 4a), y los perfiles de verosimilitud indicaron que los individuos alcanzan la madurez sexual entre los 64.6 a 72.2 mm de LM (Fig. 4b). Los machos alcanzan su LM50 a los 64.0 mm de LM (Fig. 4c), y los perfiles mostraron que pueden madurar a tallas de entre 62.8 y 64.6 mm de LM (Fig. 4d). Las hembras maduran a los 71.4 mm de LM (Fig. 4e), y los perfiles indicaron que pueden madurar a tallas de entre 70.4 y 72.4 mm LM (Fig. 4f).

Figura 4 Talla promedio de primera madurez (ML50) y perfiles de verosimilitud para Lolliguncula panamensis: (a, b) población, (c, d) machos (♂) y (e, f) hembras (♀).
El comportamiento de los estadios gonadales mostró que, en las LC, las fases inmaduras (I y II) fueron las más frecuentes en ambos sexos (machos, 44.5% y 41.6%; hembras, 61.3% y 20.9%, respectivamente), con menor proporción de machos y hembras en las fases maduras (III y IV) (Fig. 5, Tabla 2). En el FC, ambos sexos presentaron la menor proporción de organismos inmaduros, con una mayor proporción de machos y hembras (49.0% y 58.0%, respectivamente) en fase madura (III) (Fig. 5b, Tabla 2).

Figura 5 Proporción de los estadios gonadales de Lolliguncula panamensis proveniente de lagunas costeras (a) y frentes costeros (b).
Tabla 2 Proporción sexual del calamar dedal por combinación de estadios gonadales: general (G), frente costero (CF), laguna costera (CL), CF e individuos inmaduros (CFINM), CF e individuos maduros (CFMAT), CF y hembras maduras y machos inmaduros (CFMFIM), CF y hembras inmaduras y machos maduros (CFIFMM), CL e individuos inmaduros (CLINM), CL e individuos maduros (CLMAT), CL y hembras maduras y machos inmaduros (CLMFIM) y CL y hembras inmaduras y machos maduros (CLIFMM).
| Comparison | Females | Males | Probability | Ratio (F:M) |
| G | 1,144 | 677 | <0.05* | 1.7 |
| CF | 746 | 433 | <0.05* | 1.7 |
| CL | 398 | 245 | <0.05* | 1.6 |
| CFINM | 308 | 221 | <0.05* | 1.4 |
| CFMAT | 438 | 212 | <0.05* | 2.1 |
| CFMFIM | 438 | 221 | <0.05* | 2.0 |
| CFIFMM | 308 | 212 | <0.05* | 1.5 |
| CLINM | 327 | 211 | <0.05* | 1.5 |
| CLMAT | 71 | 34 | <0.05* | 2.1 |
| CLMFIM | 71 | 211 | <0.05* | 0.3 |
| CLIFMM | 327 | 34 | <0.05* | 9.6 |
*Significant difference
Proporción sexual, juveniles y adultos
Durante el periodo de estudio, se pudo observar una proporción de sexos de 1.7H:1.0M, significativamente diferente (χ2 = 319.6, P < 0.05) al comparar con el valor hipotético de 4.0H:1.0M (Arizmendi-Rodríguez et al. 2012b). Al comparar por sistema, sexo y estadios gonadales, se encontraron diferencias (P < 0.05) en la mayoría de las combinaciones. En general, las hembras fueron más abundantes que los machos, pero al comparar hembras maduras contra machos inmaduros en las LC (0.3H:1.0M), los machos inmaduros fueron más abundantes (Tabla 2). Las abundancias de juveniles y adultos por sistema se muestran en la Tabla 3. La prueba χ2 mostró que los juveniles fueron dominantes en relación con los adultos en las LC, tanto para la población (χ2 = 39.3, P < 0.05) como para las hembras (χ2 = 28.2, P < 0.05) y los machos (χ2 = 11.5, P < 0.05) por separado. En el FC, se observaron diferencias para la población (χ2 = 44.9, P < 0.05), las hembras (χ2 = 6.9, P < 0.05) y los machos (χ2 = 57.8, P < 0.05). Por lo tanto, la cantidad de juveniles en ambos ecosistemas es significativamente mayor que la cantidad de adultos.
Discusión
Los calamares de la familia Loliginidae se encuentran en aguas tropicales, templadas y subpolares, principalmente en los márgenes continentales (Brakoniecki 1986, Vecchione y Young 1998, Anderson 2000, Jereb et al. 2010, Alejo-Plata et al. 2015). Se han reportado 2 especies de loligínidos que habitan estuarios, lagunas costeras y bahías: Lolliguncula brevis y Uroteuthis noctiluca (Jereb et al. 2010). En la presente investigación, se reporta el primer registro de L. panamensis en los sistemas lagunares del golfo de California (GC). En su área de distribución conocida, se había documentado la presencia de L. panamensis en aguas marinas de entre 7 y 180 m de profundidad (Fischer et al. 1995, Arizmendi-Rodríguez et al. 2012b). Considerando que L. panamensis es especie residente del GC, es pertinente analizar su importancia en los diferentes sistemas del golfo, como los FC y las LC, definiendo y entendiendo sus procesos biológicos.
En el presente trabajo, el número de individuos de L. panamensis encontrados fue mayor en los FC (n = 1,687), en comparación con las LC (n = 667). Esta diferencia se puede atribuir a un mayor esfuerzo de muestreo y, por lo tanto, no es representativo realizar una comparación de abundancias entre los sistemas. En los FC, donde los lances de captura fueron mayores, se realizaron muestreos en agosto de 2014; mayo, noviembre y diciembre de 2015; mayo, junio y octubre de 2016; y mayo de 2017. En cambio, en las LC, los lances se realizaron en mayo de 2014; marzo, abril y julio de 2015; y abril, mayo y junio de 2016. En 3 de los cruceros se utilizaron redes de arrastre y en un mismo crucero se empleó red de cuchara y potera. El análisis de Kruskal-Wallis indicó que no hubo diferencias en las LM entre artes de pesca. Las diferentes artes de pesca permitieron registrar tallas de 9 a 125 mm de LM, y en el caso del calamar dedal, se había reportado individuos de 29 a 120 mm de LM (Arizmendi-Rodríguez et al. 2012b). Si comparáramos entre las artes de pesca empleadas en este trabajo, por efecto de la selectividad del arte, se podría detectar un sesgo en las tallas de los organismos, en el número de individuos por sexo y en los estadios gonadales.
La presencia de L. panamensis en las LC sugiere que es un organismo plástico, es decir, que tiene la capacidad de adaptarse a cambios ambientales, lo cual ha sido reportado para otros calamares (Pecl et al. 2004, Nevárez-Martínez et al. 2006). Los sistemas lagunares donde fueron recolectados los calamares presentan un intervalo de temperatura de 14.2 a 33.9 ºC y un amplio intervalo de salinidad que varía de 26.8 a 42.3 (Romero-Sedano et al. 2004, Padilla-Serrato et al. 2017, Ruiz-Ruiz 2017). Por tanto, podemos considerar que los intervalos de temperatura y salinidad que tolera L. panamensis son más amplios que lo reportado (21-27 ºC de temperatura y 15-23 de salinidad) (Jereb et al. 2010, Arizmendi-Rodríguez et al. 2012b). En general, la salinidad, la temperatura y la profundidad son factores que están asociados a los procesos migratorios de los calamares (Herke y Foltz 2002). Sin embargo, su abundancia y distribución espacial en estuarios (lagunas costeras) están fuertemente relacionadas con las altas salinidades y la estructura del hábitat (Rodrigues y Gasalla 2008). Esto explicaría la presencia de L. panamensis en las lagunas de Sonora, donde las altas salinidades, reportadas la mayor parte del año, crean condiciones adecuadas para que esta especie se distribuya en estos ecosistemas.
Estructura de tallas
En calamares loligínidos como Loligo gahi (d’Orbigny, 1835), Loligo sanpaulensis (Brakoniecki, 1984) y Loligo plei (Blainville, 1823), las diferencias en la estructura de tallas entre hembras y machos se han considerado como dimorfismo sexual (Pineda et al. 1998b, Alvarez-Perez et al. 2002), donde los machos alcanzan mayores tallas que las hembras. En nuestra investigación encontramos que las hembras son las que alcanzan las mayores tallas. Esta diferencia se atribuye a que las hembras maximizan su éxito reproductivo (capacidad para desarrollar y alojar ovocitos) a tallas más grandes, mientras que los machos obtienen el éxito a longitudes menores, puesto que pueden parchar a varias hembras (Emery et al. 2001).
Boyle y Rodhouse (2005) mencionaron que las diferencias en talla entre sexos se deben a que las hembras necesitan ser más grandes para el desarrollo del ovario durante la madurez sexual. Se confirma el mismo comportamiento para L. panamensis en el presente estudio, donde las hembras alcanzaron una madurez a los 71.4 mm de LM y los machos a los 64.0 mm de LM. Pineda et al. (1998a) observaron que, para Loligo sanpaulensis, la madurez gonadal en los machos aumenta conforme crecen, mientras que en las hembras, la maduración es más lenta y cambia abruptamente con respecto al crecimiento al alcanzar los 60 mm de LM. Collins et al. (1995) asociaron las diferencias en tallas de calamares loligínidos entre sexos a una distribución diferencial, la cual ocurre durante la reproducción, o a la mortalidad de las hembras después del desove y de los machos después de la cópula.
Relaciones biométricas
La relación LM-PT entre hembras y machos de L. panamensis fue significativamente diferente. Este comportamiento responde a las tallas menores de los machos y al bajo número de organismos con tallas >60 mm de LM, además del mayor peso que alcanzan las hembras debido a que su ovario representa el 50% de su peso corporal (Arizmendi-Rodríguez 2010). La alometría negativa de L. panamensis indica que primeramente crece en longitud y posteriormente aumenta de peso. En la costa colombiana del Pacífico, Squires y Barragan (1979) observaron este tipo de crecimiento en L. panamensis, con valores de b = 2.72 para hembras y b = 2.69 para machos, y enfatizaron que este coeficiente es mayor en hembras debido al mayor tamaño de su aparato reproductor respecto al de los machos. En esta investigación, las hembras presentaron un valor de b = 2.59 y los machos un valor de b = 2.50; los coeficientes de alometría por debajo de 2.70 son característicos de los calamares neríticos de la familia Lolliginadae y están asociados a sus patrones migratorios en la columna de agua (Flores y Garland 2002). Las diferencias de b entre los sexos están asociadas a las diferencias en la talla de madurez y la maduración, lo cual fue observado para L. panamenisis en la costa del Pacífico del sur de México (Guzmán-Intzin et al. 2020).
Aspectos reproductivos
El comportamiento de la LM50 por sexo observado en el presente estudio indicó que las hembras alcanzan la madurez a longitudes mayores (71.4 mm de LM) en comparación con los machos (64.0 mm de LM), lo cual coincide con lo reportado por Arizmendi-Rodríguez et al. (2012a). Alejo-Plata et al. (2016) también reportaron que los machos maduros de L. argus eran de menor tamaño que las hembras. Una mayor LM50 en las hembras les da mayor capacidad de almacenar ovocitos (Arizmendi-Rodríguez et al. 2012a); además, la habilidad que tienen las hembras para almacenar los espermatóforos estando inmaduras incrementa su éxito reproductivo (Hanlon y Messenger 1996), y esto impacta positivamente el potencial reproductivo de la población (Arizmendi-Rodríguez et al. 2012a).
La diferencia en la LM50 entre sexos permite que los machos copulen durante más tiempo con varias hembras (Boyle y Rodhouse 2005). En este trabajo, se registró al macho maduro más pequeño con una LM de 40 mm y una LM50 de 64 mm, lo que indica que los machos que se encontraban muy por debajo de la LM50 ya estaban copulando. La copulación genera un desgaste fisiológico que propicia que mueran los machos por su incapacidad para cazar a sus presas (Arizmendi-Rodríguez et al. 2012b).
En las LC, los individuos de ambos sexos eran inmaduros. En los FC, predominaron los individuos maduros y las hembras fueron las más abundantes. Los resultados sugieren que los individuos realizan su evento reproductivo (i.e., cortejo, parchado o desove) principalmente en los FC, mientras en las LC posiblemente se resguardan y crecen. Este comportamiento coincide con lo reportado por Roper et al. (1995), quienes mencionaron que las hembras maduras de Ommastrephes bartramii migran a aguas costeras para reproducirse. Giese y Pearse (1974) mencionaron que, para la selección de la época de puesta, los organismos consideran la disponibilidad de alimento y condiciones abióticas favorables (luz, temperatura). Se ha documentado que los individuos maduros del calamar dedal en el GC migran latitudinalmente con base en la disponibilidad de alimento (Arizmendi-Rodríguez et al. 2011). Además, se sabe que el FC provee protección de los depredadores y es adecuada para fijar la capsulas de huevos que liberan las hembras al desovar (Sevilla 1977). Por otra parte, se ha reportado que Loligo sanpaulensis realiza migraciones hacia el norte a lo largo de la plataforma de Brasil para buscar áreas de desove, crianza y alimentación, las cuales están influenciadas por las corrientes de Brasil y Malvinas (Andriguetto y Haimovici 1996). También, se ha reportado que la presencia de masa de huevos de Loligo forbesi a 507 m de profundidad sugiere que la especie realiza migraciones esporádicas a la zona oceánica para desovar, o bien, que las corrientes arrancan y arrastran sus huevos a tales profundidades (Lordan y Cassey 1999).
La proporción sexual encontrada en el presente estudio (1.7H:1.0M) es similar a la reportada para Loligo plei por Alvarez-Perez et al. (2002), quienes atribuyeron la proporción a un evento de cópula al momento del desove de la hembra o también a la migración de las hembras. Partiendo de la hipótesis de estos autores, las hembras de calamar dedal no sólo migran para realizar el evento de cópula, sino también se mueven a otras áreas para protegerse, crecer y alimentarse, eventos en los cuales la proporción sexual es cercana a 1.0H:1.0M. Este comportamiento migratorio se relaciona con el potencial reproductivo a nivel poblacional, el cual incluye aspectos como el desarrollo ovárico, la talla de madurez y la proporción sexual (Saborido 2004). Arizmendi-Rodríguez et al. (2012a)) reportaron una predominancia de hembras con respecto a machos (4.0H:1.0M) y la asociaron al hecho de que un macho puede parchar hasta a 4 hembras; no obstante, los resultados en este trabajo muestran que la proporción sexual del calamar dedal que habita los FC y las LC del GC puede variar dependiendo del evento que el calamar realice (alimentarse, crecer, protegerse y reproducirse) de tal manera que optimiza su éxito en su ciclo de vida.
En nuestro estudio se realizaron una serie de combinaciones, y en ningún caso la proporción fue 1.0H:1.0M. Siempre predominaron las hembras con respecto a los machos excepto en la combinación de hembras maduras vs machos inmaduros en las LC (0.3H:1.0M). La baja presencia de hembras maduras sugiere que las hembras no habitan las LC cuando están sexualmente maduras; estas se encuentran en los FC para realizar las puestas (desovar). En Loligo vulgaris reynauddi se ha observado que las hembras migran a zonas específicas de los FC antes y después del desove (Sauer et al. 1992). Por otra parte, con la combinación hembras inmaduras vs machos maduros en las LC, la proporción sexual fue de 9.6H:1.0M, lo que indicaría que los machos maduros que están en las LC parchan hasta a 9 hembras inmaduras. Esta táctica reproductiva ha sido reportada por Emery et al. (2001), quienes realizaron pruebas genéticas en Loligo forbesi y encontraron que las hembras habían sido parchadas hasta por 4 machos; así, estos autores comprobaron que la proporción sexual cargada a las hembras es un comportamiento reproductivo normal y que las hembras son las que definen el éxito reproductivo.
La presencia de machos maduros y hembras inmaduras en las LC indica que los machos solo parchan a las hembras en estos sitios y, posteriormente, estas migran a los FC para madurar y desovar, ya que tienen la capacidad de almacenar los espermatóforos estando en estadio inmaduro, una estrategia para el éxito reproductivo en la población (Hanlon y Messenger 1996, Pineda et al. 1998a, Boyle y Rodhouse 2005). De acuerdo con los resultados, los juveniles predominaron en las LC y los adultos en los FC, por lo que consideramos que L. panamensis puede realizar migraciones entre ambos ecosistemas como juveniles y adultos. Este es el primer trabajo que documenta la presencia del L. panamensis, mayoritariamente, en las LC del margen continental del GC, con una predominancia de machos y hembras juveniles.
Agradecimientos
Agradecemos al Instituto Nacional de Pesca y Acuacultura el financiamiento de los programas Calamar gigante, Camarón, Merluza y Pelágicos menores. JGPS agradece al programa Investigadoras e Investigadores por México del CONACYT. Los autores agradecen a Jennifer Denton-Castillo sus comentarios al documento.
REFERENCIAS
Alejo-Plata MC, Cárdenas-Ladrón de Guevara G, Herrera-Galindo JE. 2001. Cefalópodos loligínidos en la fauna de acompañamiento del camarón. Ciencia y Mar. 14:41-46. [ Links ]
Alejo-Plata MC, Gómez-Márquez JL, Herrera-Galindo JE. 2015. Size, sex and maturity of the squid Lolliguncula diomedeae (Cephalopoda: Loliginidae) in the Gulf of Tehuantepec, México. UNED Research Journal. 7(1):79-87. https://doi.org/10.22458/urj.v7i1.867 [ Links ]
Alejo-Plata MC, Urbano-Alonso B, Ramírez-Castelán IA. 2016. New records and biological data of Lolliguncula (Lolliguncula) argus Brakoniecki & Roper, 1985 (Myopsida: Loliginidae) in the Gulf of Tehuantepec, Mexico = Nuevos registros y datos biológicos de Lolliguncula (Lolliguncula) argus Brakoniecki & Roper, 1985 (Myopsida: Loliginidae) en el Golfo de Tehuantepec, México. Lat Am J Aquat Res. 44(4):855-859. https://doi.org/10.3856/vol44-issue4-fulltext-22 [ Links ]
Alvarez-Perez JA, Cordella-de-Aguiar D, Cavalcante-Oliveira U. 2002. Biology and population dynamics of the long-finned squid Loligo plei (Cephalopoda: Loliginidae) in southern Brazilian waters. Fish Res. 58(3):267-279. https://doi.org/10.1016/S0165-7836(01)00397-6 [ Links ]
Anderson FE. 2000. Phylogenetic relationships among loliginid squids (Cephalopoda, Myopsida) based on analyses of multiple data sets. J Linn Soc London, Zool. 130(4):603-633. https://doi.org/10.1111/j.1096-3642.2000.tb02203.x [ Links ]
Andriguetto JM, Haimovici M. 1996. Reproductive cycle of Loligo sanpaulensis Brakoniecki, 1984 (Cephalopoda; Loliginidae) in southern Brazil. Sci Mar. 60(4):443-450. [ Links ]
Arizmendi-Rodríguez DI. 2010. Biología del calamar dedal Lolliguncula panamensis Berry, 1911 (Teuthidae: Loliginidae) en el Golfo de California [dissertation]. [La Paz (Mexico)]: Centro Interdisciplinario de Ciencias Marinas del Instituto Politécnico Nacional. 91 p. [ Links ]
Arizmendi-Rodríguez DI, Cruz-Escalona VH, Quiñonez-Velázquez C, Salinas-Zavala CA. 2011. Feeding habits of the Panama brief squid (Lolliguncula panamensis) in the Gulf of California, Mexico. J Fish Aquat Sci. 6(2):194-201. https://doi.org/10.3923/jfas.2011.194.201 [ Links ]
Arizmendi-Rodríguez DI, Rodríguez-Jaramillo C, Quiñonez-Velázquez C, Salinas-Zavala CA. 2012a. Reproductive indicators and gonad development of the Panama Brief squid Lolliguncula panamensis (Berry 1911) in the Gulf of California, Mexico. J Shellfish Res. 31(3):817-826. https://doi.org/10.2983/035.031.0328 [ Links ]
Arizmendi-Rodríguez DI, Salinas-Zavala CA, Quiñónez-Velázquez C, Mejía-Rebollo A. 2012b. Abundance and distribution of the Panama brief squid, Lolliguncula panamensis (Teuthida: Loliginidae), in the Gulf of California = Abundancia y distribución del calamar dedal, Lolliguncula panamensis (Teuthida: Loliginidae), en el golfo de California. Cienc Mar. 38(1A):31-45. https://doi.org/10.7773/cm.v38i1A.1880 [ Links ]
Boyle P, Rodhouse P. 2005. Cephalopods: Ecology and Fisheries. Oxford (UK): Blackwell Science Ltd. 452 p. https://doi.org/10.1002/9780470995310 [ Links ]
Brakoniecki TF. 1986. A generic revision of the family Loliginidae (Cephalopoda: Myopsida) based primarily on the comparative morphology of the hectocotylus (zoogeography) [dissertation]. [Coral Gables (FL)]: University of Miami. 163 p. [ Links ]
Collins MA, Burnell GM, Rodhouse PG. 1995. Age and growth of the squid Loligo forbesi (Cephalopoda: Loliginidae) in Irish waters. J Mar Biol Assoc UK. 75(3):605-620. https://doi.org/10.1017/S0025315400039047 [ Links ]
Emery AM, Noble LR, Boyle PR. 2001. Squid family values: multiple paternity of Loligo forbesi egg strings examined. Bull Mar Sci. 71(2):1119. Poster abstract. [ Links ]
Fischer W, Krupp F, Schneider W, Sommer C, Carpenter K, Niem VH. 1995. Guía FAO para la identificación de especies para los fines de la pesca. FAO, Pacífico centro-oriental. Vol. 2, Vertebrados. Rome (Italy): Food and Agriculture Organization of the United Nations. 1813 p. [ Links ]
Flores LA, Garland DE. 2002. Statoliths descriptions and morphometrics and gravimetrics relationship in patagonian squid (Loligo gahi) (Cephalopoda: Loliginidae) = Descripción de los estatolitos y relaciones morfométricas y gravimétricas en el calamar patagónico (Loligo gahi) (Cephalopoda: Loliginidae). Rev Biol Mar Oceanogr. 37(1):15-24. http://dx.doi.org/10.4067/S0718-19572002000100004 [ Links ]
Froese R. 2006. Cube law, condition factor and weight-length relationships: history, meta-analysis and recommendations. J Appl Ichthyol. 22(4):241-253. https://doi.org/10.1111/j.1439-0426.2006.00805.x [ Links ]
Giese AC, Pearse JS. 1974. Introduction: General Principles. In: Giese AC, Pearse JS (eds.), Reproduction of Marine Invertebrates. Vol 1. New York: Academic Press. (p. 1-49). [ Links ]
Guzmán-Intzin HA, Alejo-Plata MC, González-Acosta AF, León-Guzmán SS. 2020. Distribution, size and sexual proportion of squid Lolliguncula panamensis from Gulf of Tehuantepec, Mexico = Distribución, tallas y proporción sexual del calamar Lolliguncula panamensis del Golfo de Tehuantepec, México. Ecosis Recur Agropec. 7(1):e2484. https://doi.org/10.19136/era.a7n1.2484 [ Links ]
Haddon M. 2001. Modelling and quantitative methods in fisheries. Boca Raton (FL): Chapman and Hall. 406 p. [ Links ]
Hanlon RT, Messenger JB. 1996. Cephalopod Behavior. Cambridge (UK): Cambridge University Press. p. 248. https://doi.org/10.1017/S0025315400044623 [ Links ]
Herke SW, Foltz DW. 2002. Phylogeography of two squid (Loligo pealei and L. plei) in the Gulf of Mexico and northwestern Atlantic Ocean. Mar Biol. 140(1):103-115. https://doi.org/10.1007/s002270100680 [ Links ]
Jereb P, Vecchione M, Roper CF. 2010. Family Loliginidae. In: Jereb P, Roper CF (eds.), Cephalopods of the world. An annotated and illustrated catalogue of species known to date. Vol. 2, Myopsid and oegopsid squids. Species Catalogue for Fishery Purposes, No. 4. Rome (Italy): Food and Agriculture Organization of the United Nations (FAO). p. 38-117. [ Links ]
Lipiński MR, Underhill LG. 1995. Sexual maduration in squid: quantum or continuum? S Afr J Marine Sci. 15(1):207-223. https://doi.org/10.2989/02577619509504844 [ Links ]
Lordan C, Casey J. 1999. The first evidence of offshore spawning in the squid species Loligo forbesi. J Mar Biol Assoc UK. 79(2):379-381. https://doi.org/10.1017/S0025315498000484 [ Links ]
Nevárez-Martínez MO, Méndez-Tenorio FJ, Cervantes-Valle C, López-Martínez J, Anguiano-Carrasco ML. 2006. Growth, mortality, recruitment, and yield of the jumbo squid (Dosidicus gigas) off Guaymas, Mexico. Fish Res. 79(1-2):38-47. https://doi.org/10.1016/j.fishres.2006.02.011 [ Links ]
Padilla-Serrato J, López-Martínez J, Rodríguez-Romero J, Acevedo-Cervantes A, Galván-Magaña F, Lluch-Cota D. 2017. Changes in fish community structures in a coastal lagoon in the Gulf of California, México. Rev Biol Mar Oceanog. 52(3):567-579. [ Links ]
Pecl GT, Moltschaniwskyj NA, Tracey SR, Jordan AR. 2004. Inter-annual plasticity of squid life-history and population structure: ecological and management implications. Oecologia. 139:515-524. https://doi.org/10.1007/s00442-004-1537-z [ Links ]
Pineda SE, Brunetti NE, Scarlato NA. 1998a. Calamares loligínidos (Cephalopoda, Loliginidae). In: Boschi EE (ed.), El Mar Argentino y sus Recursos Pesqueros. Vol. 2, Los moluscos de interés pesquero. Cultivos y estrategias reproductivas de bivalvos y equinoideos. Mar de Plata (Argentina): INIDEP. p. 13-36. [ Links ]
Pineda SE, Hernández DR, Bruneit NE. 1998b. Statolith comparision of two south-west Atlantic loliginid squid: Loligo sanpaulensis and Loligo gahi. S Afr J Sci. 20(1):347-354. https://doi.org/10.2989/025776198784126566 [ Links ]
R Core Team. 2020. R: A language and environment for statistical computing. R Foundation for statistical Computing. Vienna (Austria): R Core Team. https://www.R-project.org/. [ Links ]
Rodhouse PG. 2005. Recursos mundiales de calamares. In: FAO Documento Técnico de Pesca No. 457. Rome (Italy): Food and Agriculture Organization of the United Nations (FAO). p. 194-207. [ Links ]
Rodrigues AR, Gasalla MA. 2008. Spatial and temporal patterns in size and maturation of Loligo plei and Loligo sanpaulensis (Cephalopoda: Loliginidae) in southeastern Brazilian waters, between 23ºS and 27ºS. Sci Mar. 72(4):631-643. https://doi.org/10.3989/scimar.2008.72n4631 [ Links ]
Romero-Sedano JC, Aragón-Noriega EA, Manzano-Sarabia MM, Salinas-Zavala CA, García-Juárez AR. 2004. Periodo reproductivo del camarón café Farfantepenaeus californiensis (Holmes, 1900) en la laguna costera de Agiabampo, Sonora/ Sinaloa, México = Reproductive period of the brown shrimp Farfantepenaeus californiensis (Holmes, 1900) in the Agiabampo coastal lagoon system, Sonora/Sinaloa, Mexico. Cienc Mar. 30(3):465-475. https://doi.org/10.7773/cm.v30i3.282 [ Links ]
Roper CFE, Sweeney MJ, Hochberg FG. 1995. Cephalopods. In: Fischer W, Krupp F, SchneiderW, Somer., Carpenter KE, Niem VH (eds.). Guía FAO para la identificación de especies para los fines de la pesca. Pacifico centro-oriental. Vol. 1, Plantas e invertebrados. Rome (Italy): Food and Agriculture Organization of the United Nations (FAO). p. 305-355. [ Links ]
Roper CFE, Sweeney MJ, Nauen CE. 1984. Species catalogue. Vol. 3, Cephalopods of the world. An Annotated and illustrated catalogue of species of interest fisheries. Rome (Italy): Food and Agriculture Organization of the United Nations (FAO). p. 1-277. [ Links ]
Rosas-Luis R, Salinas-Zavala CA, Koch V, Del Monte-Luna P, Morales-Zárate MV. 2008. Importance of jumbo squid Dosidicus gigas (Orbigny, 1835) in the pelagic ecosystem of the central Gulf of California. Ecol Model. 218(1-2):149-161. https://doi.org/10.1016/j.ecolmodel.2008.06.036 [ Links ]
Ruiz-Ruiz TM. 2017. Análisis comparativo de índices de eutrofización en lagunas costeras del estado de Sonora, México [dissertation]. [La Paz (Mexico)]: CIBNOR. 108 p. [ Links ]
Saborido F. 2004. Ecología de la reproducción y potencial reproductivo en las poblaciones de peces marinos [dissertation]. [Vigo (Spain)]: Universidad de Vigo. Inst. de Invest. Mar. 71 p. [ Links ]
Sánchez P. 2003. Cephalopods from off the Pacific coast of Mexico: biological aspects of the most abundant species. Sci Mar. 67(1):81-90. https://doi.org/10.3989/scimar.2003.67n181 [ Links ]
Sauer WHH, Smale MJ, Lipinski MR. 1992. The location of spawning grounds, spawning and schooling behaviour of the squid Loligo vulgaris reynaudii (Cephalopoda: Myopsida) off the eastern Cape coast, South Africa. Mar Biol. 114:97-107. [ Links ]
Sevilla ML. 1977. Introducción a la Ecología Marina. Mexico City: Instituto Politécnico Nacional. 220 p. [ Links ]
Sparre P, Venema SC. 1995. Introducción a la evaluación de recursos pesqueros tropicales. Parte I. Manual FAO Doc. Tec. De Pesca. No. 306.1. Rome (Italy): Food and Agriculture Organization of the United Nations (FAO). 440 p. [ Links ]
Squires HJ, Barragán JH. 1979. Lolliguncula panamensis from the Pacific coast of Colombia. Veliger. 22(1):67-74. [ Links ]
Staudinger MD. 2006. Seasonal and size-based predation on two species of squid by four fish predators on the Northwest Atlantic continental shelf. Fish Bull. 104:605-615. [ Links ]
Vecchione M, Young RE. 1998. The Magnapinnidae, a newly discovered family of oceanic squid (Cephalopoda: Oegopsida). S Afr J Marine Sci. 20(1):429-437. https://doi.org/10.2989/025776198784126340 [ Links ]
Venzon DJ, Moolgavkar SH. 1988. A method for computing profile-likelihood-based confidence intervals. Appl Stat. 37(1):87-94. https://doi.org/10.2307/2347496 [ Links ]
Zar JH. 2014. Biostatistical Analysis: Pearson New International Edition. Upper Saddle River (NJ): Pearson Education Limited. 5th ed. 760 p. [ Links ]
Recibido: 21 de Abril de 2020; Aprobado: 12 de Octubre de 2020










texto en 



