Servicios Personalizados
Revista
Articulo
Indicadores
-
Citado por SciELO -
Accesos
Links relacionados
-
Similares en
SciELO
Compartir
Ciencias marinas
versión impresa ISSN 0185-3880
Cienc. mar vol.35 no.1 Ensenada mar. 2009
Notas de investigación
Effect of darkness on the early postlarval development of Haliotis corrugata abalone fed different diatom densities*
Efecto de la oscuridad sobre el desarrollo postlarval inicial del abulón Haliotis corrugata alimentado con diferentes densidades de diatomeas
E GorrostietaHurtado, R SearcyBernal*, C AnguianoBeltrán, Z GarcíaEsquivel, E ValenzuelaEspinoza
Instituto de Investigaciones Oceanológicas, Universidad Autónoma de Baja California, Km 103 Carretera TijuanaEnsenada, Apartado postal 453, Ensenada CP 22860, Baja California, México. * Email: rsearcy@uabc.mx
Recibido en junio de 2008.
Aceptado en febrero de 2009.
Abstract
Fourdayold postlarvae of the abalone Haliotis corrugata were exposed to different diatom densities (Navicula incerta, 0 to 8000 cells mm2) under two illumination conditions: constant light (1921 µmol quanta m2 s1) and darkness. The effect of these two factors on postlarval grazing rate, survival, and growth was evaluated. The experiment was conducted for 14 days in 10mL sterile wells following a splitplot experimental design with three replicates per treatment. The highest grazing rate was observed in the 2000 cells mm2 density treatment and it was higher in darkness (196 ± 67 cells pl1 h1) than in constant light (139 ± 36 cells pl1 h1). Mean survival was also higher in darkness (59%) than under constant light (44%), as was mean growth rate (20 and 14 |am d1, respectively). Growth rate at the end of the experimental period tended to decrease with the increase in diatom density. Higher grazing and growth rates in darkness reinforce the hypothesis that the nocturnal habits of abalone develop soon after metamorphosis and not at juvenile stages as usually considered.
Key words: abalone, darkness, growth, Haliotis corrugata, postlarvae.
Resumen
Se realizó un experimento con postlarvas del abulón Haliotis corrugata de cuatro días de edad en dos condiciones de iluminación, luz continua (19 a 21 µmol quanta m2 s1) y oscuridad, y alimentados con diferentes densidades de diatomeas (Navicula incerta, 0 a 8000 cél mm2), para evaluar el efecto de estos dos factores sobre la tasa de pastoreo, la supervivencia, y la tasa de crecimiento postlarvales. El experimento se llevó a cabo durante 14 días en cámaras estériles de 10 mL siguiendo un diseño de parcelas divididas con tres réplicas por tratamiento. El promedio máximo de la tasa de pastoreo se presentó con una densidad de 2000 cél mm2, siendo mayor en la oscuridad (196 ± 67 cél pl1 h1) que en la luz (139 ± 36 cél pl1 h1). El promedio de supervivencia también fue mayor en la oscuridad (59%) que en la luz (44%), al igual que la tasa media de crecimiento (20 µm d1 y 14 µm d1, respectivamente). Al final del periodo experimental la tasa de crecimiento tendió a disminuir con el aumento de la densidad de diatomeas. Las mayores tasas de pastoreo y crecimiento en la oscuridad refuerzan la hipótesis de que los hábitos nocturnos en los abulones se desarrollan poco después de la metamorfosis y no hasta estadios juveniles como generalmente se considera.
Palabras claves: abulón, crecimiento, Haliotis corrugata, oscuridad, postlarvas.
Introducción
Los abulones juveniles y adultos tienen hábitos nocturnos y su periodo de alimentación más activo inicia al oscurecer y continúa hasta saciarse (Leighton 2000). Los estudios realizados con juveniles y adultos de diferentes especies de abulón han demostrado que la tasa de alimentación puede ser de 0.9% a 24.1% mayor en cultivos en la oscuridad con respecto a cultivos en la luz. La tasa de crecimiento también puede alcanzar valores entre 16% y 259% mayores en la oscuridad (Kim et al. 1997, Huchette 2003, GarcíaEsquivel et al. 2007). Se desconoce si las postlarvas de abulón tienen hábitos nocturnos similares a los abulones juveniles y adultos; sin embargo, a nivel experimental se ha encontrado que la tasa de pastoreo de las postlarvas de Haliotis rufescens de seis días de edad es 37% mayor en condiciones de oscuridad que en la luz (1933 µmol quanta m2 s1) (SearcyBernal y GorrostietaHurtado 2007).
El crecimiento de las postlarvas de Haliotis fulgens es favorecido por la luz de baja intensidad (6 µmol quanta m2 s1) (SearcyBernal et al. 2003) y las postlarvas de H. rufescens crecen hasta tres veces más en la oscuridad que en la luz. Este efecto se puede observar desde la primera semana de edad (GorrostietaHurtado y SearcyBernal 2004, SearcyBernal y GorrostietaHurtado 2007). En general, el crecimiento de las postlarvas depende de la cantidad de alimento suministrado, pero esta dependencia también se puede modificar por la iluminación proporcionada. GorrostietaHurtado y SearcyBernal (2004) encontraron que en condiciones de oscuridad la tasa de crecimiento de las postlarvas de H. rufescens de 2 a 12 días de edad es mayor a una densidad de la diatomea Navicula incerta de 1000 cél mm2, y se mantiene más o menos constante hasta 3000 cél mm2, a diferencia de la condición de luz, donde la tasa de crecimiento fue similar en densidades de diatomeas de 250 a 3000 cél mm2. En un segundo periodo de evaluación, estos autores reportan que las postlarvas de 12 a 20 días de edad incrementaron su crecimiento hasta la densidad máxima probada (3000 cél mm2) en la oscuridad, mientras que en condiciones de luz el crecimiento fue similar con diferentes densidades de diatomeas.
El incremento de las tasas de pastoreo y de crecimiento postlarval de H. rufescens en condiciones de oscuridad son elementos que sugieren que los abulones pueden desarrollar hábitos nocturnos poco después de la metamorfosis; es decir, mucho antes de llegar a la etapa juvenil tardía como se ha considerado hasta ahora. Este trabajo se realizó con la finalidad de conocer la tasa de pastoreo, supervivencia y tasa de crecimiento de las postlarvas de Haliotis corrugata durante las dos primeras semanas de edad en condiciones de oscuridad y luz, alimentadas con densidades de hasta 8000 cél mm2 de N. incerta, para determinar si estas tasas son favorecidas por las condiciones de oscuridad.
Materiales y métodos
Las larvas de H. corrugata fueron suministradas en diciembre de 2002 por la granja comercial BC Abalone, localizada en el Ejido Eréndira, Baja California, México. Las diatomeas N. incerta fueron proporcionadas por el Laboratorio de Microalgas del Instituto de Investigaciones Oceanológicas (IIO) de la Universidad Autónoma de Baja California (UABC).
La metamorfosis larval se indujo con ácido gammaaminobutírico (GABA) 1.5 µM (SearcyBernal y AnguianoBeltrán 1998). Un día después se agregó una mezcla de diatomeas Nitzschia sp., Amphora sp. y N. incerta, como alimento de las postlarvas hasta el inicio del experimento. Se realizaron recambios de agua diarios con agua de mar filtrada hasta 1 µm e irradiada con luz ultravioleta.
Se analizó el efecto de la condición de luz y oscuridad así como de cinco diferentes densidades de diatomeas N. incerta sobre la supervivencia, la tasa de pastoreo y el crecimiento mediante un diseño experimental de parcelas divididas (Steel et al. 1997). El sistema experimental consistió de seis cajas de cultivo celular con seis cámaras con capacidad de 10 mL (9.45 cm2, Falcon 3046) que fueron mantenidas a 17 ± 1°C. Se inocularon cinco cámaras de cada caja con diatomeas a densidades de 0, 500, 750, 1000 y 2000 cél mm2 y un día después se transfirieron con un pincel de 10 a 14 postlarvas de cuatro días de edad a cada una de las cámaras, después de mantenerlas durante 12 h en inanición. Las tres cajas de cultivo en condiciones de oscuridad fueron cubiertas individualmente con una bolsa de polietileno negro y las cajas en condiciones de luz estuvieron iluminadas por luz fluorescente a20 ±1 µmol quanta m2 s1. A cada cámara se le cambió el agua de mar diariamente con 10 mL de agua de mar filtrada hasta 1 µm, irradiada con luz ultravioleta y esterilizada.
Después de siete días en el tratamiento, con un pincel se eliminó la biopelícula de diatomeas y se enjuagó con agua de mar para posteriormente reinocular densidades de 0, 1000, 2000, 4000 y 8000 cél mm2 de N. incerta en las cámaras de 0, 500, 750, 1000 y 2000 cél mm2, respectivamente, para compensar el crecimiento postlarval. Las postlarvas permanecieron en estas condiciones durante otros siete días.
Para estimar la tasa de pastoreo inicial se videograbó el área clareada de la biopelícula de diatomeas después de 2 h de colocar las postlarvas en los recipientes, mediante una cámara de video (Sony SSCC374) conectada a un microscopio invertido (Meiji Techno) y las imágenes fueron digitalizadas en una computadora con el programa WinTV Hauppauge USB para Windows. Posteriormente, con ayuda de un microscopio invertido, se contaron las diatomeas presentes en la biopelícula y en tres campos (0.031 mm2) del área clareada, seleccionados al azar. Para evitar sobreestimar la tasa de pastoreo se restó la densidad de diatomeas del área clareada a la densidad de diatomeas de la biopelícula. La tasa de pastoreo (cél pl1 h1) se obtuvo mediante:

El porcentaje de supervivencia se evaluó por conteo directo de las postlarvas a los 6 y 14 días (10 y 18 días de edad). Para evaluar la tasa de crecimiento se realizaron videograbaciones de la longitud de las postlarvas a los 0, 8 y 14 días (4, 12 y 18 días de edad). Las mediciones y conteos (área clareada, longitud y número de diatomeas) se realizaron con el programa Scion Image (4.0.2).
Para evaluar el efecto de las condiciones de luz y oscuridad, la densidad de N. incerta y la interacción de estos factores en las postlarvas, se llevó a cabo un análisis de varianza de parcelas divididas utilizando el programa JMP (versión 3.2.6, SAS Institute Inc.). Los porcentajes de supervivencia fueron transformados a la raíz cuadrada de su arco seno antes del análisis de varianza. Las pruebas estadísticas se efectuaron con un nivel de significancia de 0.05. Después de los análisis de significancia se realizaron pruebas de Tukey. Cuando se encontró que la interacción era significativa se realizaron pruebas por separado para cada factor (Steel et al. 1997).
Resultados
Tasa de pastoreo
El promedio máximo de la tasa de pastoreo se observó en el tratamiento con 2000 cél mm2, tanto en la luz (139 ± 36 cél pl1 h1) como en la oscuridad (196 ± 67 cél pl1 h1) (fig. 1). No se detectaron diferencias significativas con respecto al factor luzoscuridad; sin embargo, en tres de las cuatro densidades de diatomeas el pastoreo fue mayor en la oscuridad. Con respecto a la densidad de diatomeas las diferencias fueron significativas (tabla 1) y la prueba de Tukey indicó que el pastoreo en presencia de 2000 cél mm2 fue significativamente mayor que con 500 cél mm2.

Supervivencia
El promedio de supervivencia de las postlarvas de 4 a 10 días de edad fue superior a 83% y no se observaron diferencias significativas entre tratamientos (fig. 2, tabla 1). Durante la segunda semana (edades de 10 a 18 días) la supervivencia media fue significativamente mayor en la oscuridad (63%) que en la luz (43%) (fig. 2, tabla 1). En este segundo periodo la mayor supervivencia en la oscuridad se dio con 2000 cél mm2 y en la luz con 1000 cél mm2 (fig. 2) de diatomeas. La supervivencia acumulada durante todo el experimento fue casi idéntica a la del segundo periodo.

Tasa de crecimiento
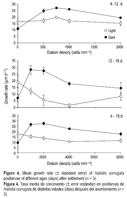
En general la longitud de las postlarvas fue mayor en el tratamiento en la oscuridad (fig. 3). Estas diferencias fueron significativas al día 12 (F = 6.012, P = 0.021) y al final del experimento (F = 9.143, P = 0.006), cuando la longitud en la oscuridad fue 17.6% mayor que bajo luz continua. La tasa media de crecimiento fue de 14 µm d1 y 20 µm d1 en la luz y en la oscuridad, respectivamente, y difirió significativamente respecto a todos los factores y en todos los periodos evaluados (tabla 1).

Durante el primer periodo de evaluación (edades de 4 a 12 días), las postlarvas en la oscuridad incrementaron su tasa de crecimiento al aumentar la densidad de diatomeas, hasta alcanzar un máximo de 28 µm d1 con la densidad de 750 cél mm2. La prueba de Tukey mostró que los organismos alimentados con 500 y 1000 cél mm2 presentaron un crecimiento similar, y éste fue mayor que en los tratamientos con 0 y 2000 cél mm2 (fig. 4). En la luz la tasa de crecimiento con las diferentes densidades de diatomeas fue casi constante (entre 15 y 20 µm d1) (fig. 4).

La tasa de crecimiento de las postlarvas cultivadas en la oscuridad durante el segundo periodo de evaluación (edades de 12 a 18 días) disminuyó al aumentar la densidad de diatomeas (fig. 4). La tasa de crecimiento máxima (28 d1) se presentó con 1000 cél mm2 de diatomeas. La prueba de Tukey mostró que las postlarvas cultivadas en la oscuridad y que no fueron alimentadas tuvieron un crecimiento menor que las cultivadas con 1000 y 2000 cél mm2 (fig. 4). La tasa de crecimiento en la condición de luz tendió a disminuir con el incremento de la densidad de diatomeas; sin embargo, mostró un ligero incremento con la mayor densidad. La prueba de Tukey indicó diferencias entre las tasas de crecimiento de las postlarvas cultivadas con 0 y con 4000 cél mm2.
La tasa de crecimiento total de las postlarvas con alimento tendió a disminuir con el incremento de la densidad de diatomeas (fig. 4). La tasa de crecimiento máxima (27 µm d1) se obtuvo en el cultivo con 2000 cél mm2 en la oscuridad, y la mínima (9 µm d1) en las postlarvas cultivadas sin alimento en condiciones de oscuridad. La prueba de Tukey mostró diferencias significativas en la tasa de crecimiento de las postlarvas cultivadas en la oscuridad y alimentadas con 1000 y 2000 cél mm2, con las cultivadas con 0 y 8000 cél mm2 (fig. 4). En la condición de luz la prueba de Tukey indicó que las tasas de crecimiento en los tratamientos con densidades de 4000 y 8000 cél mm2 son diferentes de la tasa de crecimiento de las postlarvas que fueron cultivadas sin alimento.
Discusión
Efecto de la condición de luz
Estudios con distintas especies de abulón han encontrado que la condición de oscuridad o baja intensidad de luz incrementan el crecimiento postlarval. Por ejemplo, Haliotis rubra creció 15.65% más en tanques sombreados que en los no sombreados (Huchette 2003), H. fulgens creció 76.2% más a una intensidad de 6 µmol quanta m2 s1 comparado con 49 µmol quanta m2 s1 (SearcyBernal et al. 2003) y H. rufescens puede incrementar su crecimiento de 11.8% hasta 300% más en la oscuridad que en la luz (GorrostietaHurtado y SearcyBernal 2004, SearcyBernal y GorrostietaHurtado 2007). Los resultados de la tasa de crecimiento en este estudio con postlarvas de H. corrugata apuntan en la misma dirección, con un incremento de 42.9% en la oscuridad.
El mayor crecimiento postlarval en la oscuridad o con baja intensidad de luz se puede deber, entre otros factores, a: (1) el incremento de la tasa de alimentación como un indicio que los organismos presentan hábitos nocturnos desde esta etapa; (2) diferencias en el valor nutricional de las diatomeas en distintas condiciones de luz; y (3) el efecto de la supersaturación de oxígeno en la capa límite de la biopelícula en condiciones de luz, que pudiera dificultar un crecimiento óptimo.
GorrostietaHurtado y SearcyBernal (2004) observaron que la producción de heces de postlarvas de H. rufescens fue cualitativamente mayor en la oscuridad que en la luz y mencionan que esto se puede deber a un incremento de la alimentación en la oscuridad. En un estudio realizado recientemente con postlarvas de esta especie de seis días de edad se encontró que la tasa de pastoreo fue 37.0% mayor en la oscuridad (SearcyBernal y GorrostietaHurtado 2007). De forma muy similar la tasa de pastoreo de H. corrugata de cuatro días también se incrementó 39.7% en la oscuridad con respecto a la tasa en presencia luz.
El crecimiento en condiciones de luzoscuridad puede estar influenciado por el valor nutricional de las diatomeas, que puede ser diferente dependiendo de la intensidad luminosa. Por ejemplo, para Navicula jeffreyi se ha reportado que contiene 30% de proteína a intensidades de luz de 4.7 µmol quanta m2 s1, mientras que disminuye a 22% en intensidades de luz mayores (22 µmol quanta m2 s1) (Watson et al. 2005). En este sentido es probable que los organismos mantenidos en la oscuridad hayan ingerido una mayor cantidad de proteína por unidad de peso, que aquellos expuestos a la luz de manera continua. Por otro lado, N. perminuta produce más mucus en la oscuridad que en la luz (Smith y Underwood 1998, 2000), y el mucus secretado por diatomeas bentónicas puede representar un aporte muy importante en la nutrición inicial de las postlarvas (Kawamura et al. 1998).
La diferencia en el crecimiento postlarval en distintas condiciones de iluminación se puede deber a que la biopelícula de diatomeas en la oscuridad o en la luz propicia diferentes niveles de oxígeno en la capa límite como resultado de la respiración y fotosíntesis de las microalgas. Las intensidades altas de luz en una biopelícula ocasionan una supersaturación de oxígeno que pudiera afectar a las postlarvas (SearcyBernal 1996). Aunque hay evidencia de que éstas pueden tolerar hasta un 150% de saturación de oxígeno (Loipersberger 1996), no se conocen los efectos subletales potenciales. Roberts et al. (2007) encontraron que los niveles de supersaturación de oxígeno en la luz pueden ser más extremos que la subsaturación de oxígeno en la oscuridad. Aunque no se tiene información sobre el efecto de niveles bajos de oxígeno, los valores altos de supervivencia y crecimiento de las postlarvas en densidades altas de diatomeas en la oscuridad sugieren que no existe un efecto negativo importante sobre éstas (GorrostietaHurtado y SearcyBernal 2004).
En condiciones de luz, densidades de diatomeas mayores a 4000 cél mm2 suministradas a los organismos en las dos primeras semanas de vida tienen un efecto negativo en la supervivencia de las postlarvas de H. rufescens (GorrostietaHurtado y SearcyBernal 2004) y H. corrugata (este trabajo). Bajo estas condiciones la supervivencia es menor a 30%, lo que podría indicar un posible efecto de la supersaturación de oxígeno. En la oscuridad, la supervivencia de H. rufescens y H. corrugata fue similar con un óptimo entre 70% y 90% con la densidad de 2000 cél mm2, después de la cual la supervivencia de H. rufescens se mantiene constante (GorrostietaHurtado y SearcyBernal 2004) y la de H. corrugata disminuye, pero siempre con un promedio mayor que en los tratamientos con luz.
Efecto de la densidad de diatomeas
Para lograr un desarrollo postlarval óptimo es necesario suministrar la cantidad adecuada de diatomeas, la cual depende de la tasa de pastoreo y la edad de las postlarvas. Una presión de pastoreo debajo de la óptima incrementa la densidad de diatomeas en la biopelícula y puede ocasionar tasas de supervivencia bajas debido a la proliferación de bacterias y protozoarios y/o a una sobresaturación de oxígeno en la capa límite (MartínezPonce y SearcyBernal 1998, Roberts et al. 2007). En contraste, si la densidad de diatomeas es baja las postlarvas se alimentan de manera deficiente y su crecimiento es menor que con densidades mayores (Day et al. 2004).
La actividad de pastoreo es mínima durante la primera semana de vida de las postlarvas de H. rufescens y se incrementa abruptamente en la segunda y tercera semanas (MartínezPonce y SearcyBernal 1998). Durante la primera semana las postlarvas aún utilizan su reserva vitelina y materia orgánica disuelta, y se ha sugerido que en la segunda y tercera semanas dependen fundamentalmente de las bacterias y el mucus de las diatomeas presentes en la biopelícula, incrementando paulatinamente la dependencia sobre la ingestión de diatomeas (Kawamura et al. 1998, Takami y Kawamura 2003).
La supervivencia de H. corrugata alimentado con diferentes densidades de diatomeas fue similar a la observada en H. rufescens (GorrostietaHurtado y SearcyBernal 2004). En la primera semana fue muy alta con todas las densidades de diatomeas; sin embargo, en la segunda semana, con la mayoría de las densidades de diatomeas se observó una supervivencia mayor en la oscuridad para ambas especies (GorrostietaHurtado y SearcyBernal 2004). Estas diferencias pueden deberse parcialmente a la utilización del mucus producido por las diatomeas en mayor cantidad en la oscuridad, y cuya secreción seguramente aumenta a densidades mayores de diatomeas.
El crecimiento de las postlarvas de H. rufescens y H. corrugata durante la primera semana muestra una dependencia significativa de la densidad de diatomeas en la oscuridad; sin embargo, en la condición de luz no se observa esa dependencia, a pesar que la tasa de pastoreo inicial aumenta con la densidad de diatomeas en ambas condiciones de iluminación (fig. 1). Esto sugiere que las postlarvas pueden estar utilizando el mucus de las diatomeas desde la primera semana, el cual pudiera ser más abundante en la oscuridad y en densidades altas de diatomeas. Por otro lado, es posible que en condiciones de iluminación constante existan problemas asociados a la capa límite que no favorezcan un crecimiento postlarval óptimo, aun con densidades bajas de diatomeas.
Es interesante observar que, en la oscuridad, el crecimiento postlarval disminuyó con la densidad mayor de diatomeas (2000 cél mm2) durante la primera semana del experimento (fig. 4), a pesar de que el pastoreo inicial fue mayor a esta densidad (fig. 1). Esto se podría deber a la subsaturación de oxígeno en densidades altas de diatomeas por debajo de los niveles óptimos para el crecimiento de las postlarvas en esta etapa.
La dependencia del crecimiento postlarval de la densidad de alimento se incrementa en la segunda semana de edad tanto para H. rufescens (GorrostietaHurtado y SearcyBernal 2004) como para H. corrugata. En condiciones de oscuridad la tasa de crecimiento se incrementa gradualmente con el aumento de la densidad de diatomeas hasta un máximo de entre 2000 y 3000 cél mm2 para las postlarvas de H. rufescens (GorrostietaHurtado y SearcyBernal 2004) y de 1000 a 2000 cél mm2 para H. corrugata. Estudios con diferentes especies de abulón reportan diferentes efectos del aumento de la densidad de diatomeas sobre el crecimiento postlarval en condiciones de iluminación constante: el crecimiento se incrementó en H. fulgens (SearcyBernal et al. 2001), se mantuvo constante en H. rufescens (GorrostietaHurtado y SearcyBernal 2004), y disminuyó en H. corrugata. Estas diferencias se deben posiblemente a la tolerancia a concentraciones extremas de oxígeno y/o a otras características, propias de cada especie.
Este estudio provee evidencias que refuerzan la hipótesis de que las postlarvas de abulón pueden tener hábitos nocturnos desde la primera semana de edad. Las posibles implicaciones de estos resultados en el cultivo de esta especie dependen de la posibilidad de proveer diatomeas suficientes en sistemas de cultivo con bajas intensidades de luz (GorrostietaHurtado y SearcyBernal 2004, SearcyBernal y GorrostietaHurtado 2007).
Agradecimientos
Los autores agradecen a la granja BC Abalone por la donación de las larvas de abulón y al Laboratorio de Microalgas del IIO por haber proporcionado las diatomeas N. incerta. Este estudio fue parcialmente financiado por la UABC (proyectos: 4403 y 585) y el Gobierno Mexicano (CONACYT: 37461B y SNI: 5532). Este artículo es parte de la tesis de doctorado del primer autor apoyado por CONACYT (becas 142912 y 6611).
Referencias
Day R, Gilmour P, Huchette S. 2004. Effects of density and food supply on postlarval abalone: Behaviour, growth and mortality. J. Shellfish Res. 23: 10091018. [ Links ]
GarcíaEsquivel Z, MontesMagallón S, GonzálezGómez M. 2007. Effect of temperature and photoperiod on the growth, feed consumption, and biochemical content of juvenile green abalone, Haliotis fulgens, fed on a balanced diet. Aquaculture 262: 129141. [ Links ]
GorrostietaHurtado E, SearcyBernal R. 2004. Combined effects of light condition (constant illumination or darkness) and diatom density on postlarval survival and growth of the abalone Haliotis rufescens. J. Shellfish Res. 23: 10011008. [ Links ]
Huchette S. 2003. Densitydependence in early life stage of abalone. Doctoral dissertation, Department of Zoology, University of Melbourne, Australia, 257 pp. [ Links ]
Kawamura T, Roberts R, Takami H. 1998. A review of feeding and growth of postlarval abalone. J. Shellfish Res. 17: 615625. [ Links ]
Kim B, Kim J, Wom S, Wi C, Park H. 1997. Effects of complete dark conditions on the growth of four species of juvenile abalones. Bull. Natl. Fish. Res. Dev. Inst. 53: 103110. [ Links ]
Leighton D. 2000. The Biology and Culture of the California Abalones. Dorrance Publishing Co., Pittsburgh, Pennsylvania, 216 pp. [ Links ]
Loipesberger M. 1996. The effect of enhanced oxygen levels on abalone survival and feeding behaviour. Presentation at the Third Annual Abalone Proceedings Aquaculture Workshop. August 1996. Port Lincoln, Australia. [ Links ]
MartínezPonce D, SearcyBernal R. 1998. Grazing rates of red abalone (Haliotis rufescens) postlarvae feeding on the benthic diatom Navicula incerta. J. Shellfish Res. 17: 627630 pp. [ Links ]
Roberts R, Revsbech P, Damgaard L. 2007. Effect of water velocity and benthic diatom morphology on the water chemistry experienced by postlarval abalone. J. Shellfish Res. 26: 745750. [ Links ]
SearcyBernal R. 1996. Boundary layers and abalone postlarval culture: Preliminary studies. Aquaculture 140: 129137. [ Links ]
SearcyBernal R, AnguianoBeltrán C. 1998. Optimizing the concentration of gammaaminobutyric acid (GABA) for inducing larval metamorphosis in red abalone Haliotis rufescens (Mollusca: Gastropoda). J. World Aquacult. Soc. 29: 463470. [ Links ]
SearcyBernal R, GorrostietaHurtado E. 2007. Effect of darkness and water flow rate on survival, grazing and growth rates of abalone Haliotis rufescens postlarvae. J. Shellfish. Res. 26: 789794. [ Links ]
SearcyBernal R, VélezEspino A, AnguianoBeltrán C. 2001. Effect of biofilm density on grazing and growth rates of Haliotis fulgens postlarvae. J. Shellfish Res. 20: 587591. [ Links ]
Searcy Bernal R, AnguianoBeltrán C, EsparzaHernández A. 2003. The effect of irradiance on the survival and growth of abalone postlarvae Haliotis fulgens fed Navicula incerta. Aquaculture 228: 237248. [ Links ]
Smith D, Underwood G. 1998. Exopolymer production by intertidal epipelic diatoms. Limnol. Oceanogr. 43: 15781591. [ Links ]
Smith D, Underwood G. 2000. The production of extracellular carbohydrates by estuarine benthic diatoms: The effects of growth phase and light and dark treatment. J. Phycol. 36: 321333. [ Links ]
Steel R, Torrie J, Dickey P. 1997. Principles and Procedures of Statistics: A Biometrical Approach. McGrawHill, New York, 666 pp. [ Links ]
Takami H, Kawamura T. 2003. Dietary changes in the abalone Haliotis discus hannai, and relationship with the development of the digestive organ. JarqJapan Agric. Res. Quart. 37: 8998. [ Links ]
Watson D, Daume S, Prince J, Beazley L, Knott B. 2005. The influence of culture conditions on the growth and biochemical composition of an algal feed for juvenile greenlip abalone (Haliotis laevigata). Molluscan Res. 25: 18. [ Links ]
* DESCARGAR VERSIÓN BILINGÜE (INGLÉSESPAÑOL) EN FORMATO PDF
Traducido al inglés por Christine Harris.












