INTRODUCCIÓN
En la actualidad, la mayor parte de los países emergentes operan bajo un esquema de libre flotación del tipo de cambio, pese a que el banco central conserva la potestad de intervenir cuando considera que la evolución del mismo puede representar algún tipo de riesgo para los sectores real y financiero de la economía.
Colombia no es la excepción a esta modalidad. Desde septiembre de 2000 abandona el esquema de banda cambiaria, que había operado en el país a partir de septiembre de 1994, y deja flotar el tipo de cambio, aunque conserva la autonomía para realizar intervenciones puntuales en el mercado a través de distintos mecanismos como opciones put o call (de acumulación o desacumulación de reservas, y para el control de la volatilidad), la intervención discrecional y las subastas directas.1
Estas intervenciones se llevan a cabo cuando el banco central: 1) considera que el tipo de cambio se encuentra alejado de sus valores fundamentales de equilibrio, 2) desea corregir tendencias "excesivas" en el tipo de cambio o 3) quiere modificar el nivel de las reservas internacionales, o demás objetivos de política, el nivel de largo plazo de la cuenta corriente o de la cuenta de capital. Una fuente que describe de manera detallada los motivos por los cuales los bancos centrales, en general, intervienen en el mercado y la razón por la que lo hace el Banco de la República de Colombia, en particular, es Echavarría, Vásquez y Villamizar (2010).
Tratar de estabilizar mediante intervenciones puntuales el proceso estocástico que describe el tipo de cambio se conoce en la literatura como luchar contra el viento (lean against the wind ); una lucha con alto riesgo de que sea inefectiva. Es decir, el banco central de una economía pequeña y abierta utiliza recursos públicos para influir sobre el tipo de cambio pero logrando efectos imperceptibles.
Para el caso colombiano, la apreciación a la que se ha visto sometido el tipo de cambio nominal peso-dólar durante gran parte del periodo en el que se concentra este estudio (septiembre de 2000-diciembre de 2013) es, desde ninguna perspectiva, un fenómeno idiosincrático. Es más bien el producto del flujo de capitales internacionales que han buscado refugio en las economías emergentes relativamente sólidas, como las latinoamericanas, después de la crisis global de 2007-2010, y de la crisis europea, aún en curso. Estos capitales han propiciado procesos de revaluación notables en toda la región (García-Herrero et al. , 2014) e incluso la posible aparición de burbujas especulativas en los mercados financieros de las economías emergentes de América Latina (Uribe y Fernández, 2014). En ese orden de ideas, nuestra hipótesis de partida es que la dinámica del tipo de cambio en Colombia responde más a flujos financieros que a fundamentales macroeconómicos o intervenciones programadas en el mercado. De ahí la poca efectividad en la actuación del banco central por revertir su evolución, siendo nuestro objetivo el de mostrar empíricamente que las intervenciones directas de dicha institución en el mercado cambiario colombiano han sido inefectivas.
Determinar si las intervenciones del Banco de la República son luchas inefectivas contra el viento es de gran importancia, puesto que éstas no son gratis para la Nación. Por ejemplo, una intervención directa del banco en el mercado cambiario puede generar pérdidas de portafolio para el país. Un incremento en su posición en dólares (buscando revertir una apreciación) lleva a una pérdida de valor del portafolio en caso de que la apreciación siga su rumbo después de la intervención (cada nuevo dólar dentro del portafolio valdrá menos), esto a su vez reduce el valor de las reservas internacionales y compromete, por ende, la capacidad futura de atención de la deuda de la Nación. Además, tales intervenciones podrían derivar en oportunidades de arbitraje indeseables dentro del valor de la moneda nacional, al ser generadoras de ineficiencia informacional en los mercados, tal y como lo documentan Restrepo (2012) o García-Suaza y Gómez (2011).
Las intervenciones también pueden malograr el objetivo de la autoridad monetaria en materia de estabilidad de precios, al inducir presiones innecesarias sobre los precios internos, mediante el incremento continuo de la oferta monetaria, si las compras no fueren esterilizadas, como es el caso para cerca de la mitad de las intervenciones en Colombia (Echavarría, Vásquez y Villamizar, 2010).
En este documento se referencia un modelo teórico que tiene en cuenta a los flujos financieros como determinantes de la volatilidad del tipo de cambio. En términos econométricos, se emplea un modelo flexible y adecuado teóricamente para analizar la evolución de tal volatilidad. Este modelo, conocido como SWARCH (un modelo ARCH de volatilidad por regímenes), brinda entre sus ventajas el capturar la transición entre regímenes de la volatilidad no condicional y, a la vez, la evolución diaria de la volatilidad condicional a partir de un proceso autorregresivo de heterocedasticidad condicional (ARCH). El modelo es lo suficientemente flexible como para permitir la identificación endógena de dos regímenes en los datos: uno de volatilidad "baja" y otro de volatilidad "alta". Los regímenes de volatilidad alta coindicen en gran medida con los de otras economías de la región (Brasil, Chile, Perú y México) y no parecen verse afectados por las intervenciones del Banco de la República.
Lo anterior lleva a pensar que la volatilidad del tipo de cambio en Colombia está más relacionada con factores internacionales como los flujos de inversión extranjera, suscitados después de la crisis global de 2007-2010 y la crisis Europea aún en marcha. Estos factores han afectado, en general, a las economías latinoamericanas y el banco central de Colombia parece ejercer poco contrapeso ante la materialización de este tipo de eventos. Ante ello, se sugiere replantear el esquema de intervenciones del banco, sobretodo en periodos de apreciación de la moneda, buscando la maximización de valor de portafolio de las reservas internacionales de la Nación o, alternativamente, incrementar la efectividad de las intervenciones en el mercado, al complementar esta medida con otras regulaciones de carácter macroprudencial.
ANTECEDENTES
En la literatura sobre los determinantes del tipo de cambio en Colombia, aparecen dos categorías de artículos. Los primeros se preocupan por la técnica usada para valorar la efectividad de las intervenciones del banco central en la evolución del tipo de cambio (nivel y volatilidad), mientras que en los segundos se intenta realizar un balance entre fundamentación teórica, hechos estilizados y metodología de estimación, llevando la explicación más hacia la identificación de los determinantes del tipo de cambio.
Modelación de la volatilidad y efectividad de las intervenciones
La intervención del banco central sólo se justifica si logra afectar el rumbo o, al menos, la volatilidad del tipo de cambio. En términos estadísticos, cuando se plantea afectar el rumbo se dirige el análisis hacia la capacidad de la autoridad monetaria para generar un "quiebre estructural" en la tendencia del tipo de cambio nominal, mientras que el segundo caso corresponde a un análisis de su capacidad para influir sobre la varianza no condicional de la serie. Para este segundo caso, los estudios hechos por el banco central en Colombia buscan determinar el grado de injerencia sobre la varianza condicional del tipo de cambio (véase, por ejemplo, el citado estudio de Echavarría, Vásquez y Villamizar, 2010; Echavarría et al. , 2013a); Toro y Julio, 2005; Echavarría, Melo Velandia y Villamizar, 2013b, al interior del Banco Central; o Montenegro, 2010; Kamil, 2008, por fuera del mismo).
Las conclusiones en estos estudios no son contundentes. Por ejemplo, en el primero de estos se utiliza un modelo ARCH exponencial generalizado (EGARCH) ampliado con variables exógenas para determinar el impacto de las intervenciones del banco sobre el tipo de cambio nominal. Los autores concluyen que la intervención es efectiva en cualquier horizonte temporal que se analice y que tiene los signos esperados (revierte las tendencias de apreciación y disminuye la volatilidad). No obstante, la aproximación econométrica empleada está sujeta a múltiples críticas que ponen en duda los resultados del estudio. Sus hallazgos pueden deberse al uso de un modelo EGARCH (1,1) con posibles estimaciones espurias de los parámetros de persistencia, ante una incorrecta especificación, que no considera cambios de régimen en la volatilidad no condicional del sistema.
Lo anterior llevaría a una sobrestimación del verdadero efecto de las intervenciones e incluso podría revertir el signo real de los coeficientes. A pesar de que los autores tratan de verificar la estabilidad de los parámetros del sistema para hacer frente a esta posible crítica, el uso de estadísticos como los que ellos plantean (por ejemplo el de Andrews, 2003),2 es inapropiado en este contexto debido a la no linealidad de la varianza. Este estadístico fue diseñado para detectar cambios estructurales en media e ignora muchas de las complicaciones que surgen cuando se trata de poner a prueba la hipótesis de cambios en la varianza. Adicionalmente, buscar cambios estructurales en los coeficientes de la volatilidad condicional equivale a buscar un cambio en la "forma" de la varianza condicional y no, como sería deseable en este contexto, un cambio en el "nivel" de la varianza no condicional.
El estudio de Echavarría, Vásquez y Villamizar (2010) aproxima la significancia de los parámetros en media y varianza haciendo uso de los errores estándar robustos propuestos por Newey y West (1987), ignorando la documentación en la literatura que advierte sobre lo inapropiado del uso de este método para la construcción de una matriz de varianzas y covarianzas de largo plazo, ante efectos ARCH que describen los segundos momentos (Hamilton, 2008). Finalmente, la mezcla de frecuencias distintas en los datos (los autores utilizan datos diarios desde noviembre de 1999 hasta agosto de 2008, pero también utilizan la inflación anualizada durante el mismo periodo y diferenciales de la tasa de interés que se presumen mensuales) sugiere posibles complicaciones en la estimación, sobre las cuales se han hecho importantes avances recientemente en la literatura (Foroni y Marcellino 2013), pero sobre los que no se hace ninguna discusión en ese documento.
Según Arbeláez y Steiner (2009) el tipo de cambio en Colombia no ha sido persistentemente más volátil que en otros países, como México, Brasil y Chile e incluso que en la zona del euro, aun cuando la volatilidad en Colombia aumentó en forma importante durante 2005 a tasas superiores a las registradas en estos países. También sostienen que la volatilidad ha sido mayor en periodos de depreciación que de apreciación. Por otra parte, a pesar de que existe una relación positiva entre la operación de las Administradoras de Fondos de Pensiones Obligatorias en el mercado cambiario y la volatilidad del peso, estos agentes no parecen ser los responsables de la mayor volatilidad que se ha registrado en la serie. En ese estudio se hace uso de la metodología ARMA-GARCH -modelo autorregresivo con medias móviles y modelo ARCH generalizado- para estimar la volatilidad del tasa representativa del mercado (TRM).3
Hernández y Mesa (2006), basándose en el modelo de balance de portafolio, analizan la forma en que se determina el tipo de cambio nominal. Estos autores proponen verificar los efectos de las intervenciones del banco central en la evolución del tipo de cambio durante 2003-2006, un periodo de revaluación del peso colombiano. De esta forma, procuran explicar la trayectoria del tipo de cambio y evaluar la efectividad de las intervenciones mediante un modelo GARCH, y al mismo tiempo medir el impacto temporal de tales intervenciones mediante un análisis de impulso-respuesta de un modelo de vectores autorregresivos (VAR). Ellos encuentran que el efecto de la intervenciones tiene un rezago de hasta tres días en el ciclo del tipo de cambio y que se trata de un impacto transitorio (siete días), poco significativo.
En el estudio de Kamil (2008) se encuentra que para el periodo de septiembre de 2004 a marzo de 2006 las intervenciones discrecionales del banco fueron efectivas estabilizando el tipo de cambio, mientras que para el periodo eneroabril de 2007 las intervenciones discrecionales no tuvieron un efecto estadísticamente significativo apaciguando la volatilidad de la TRM. De hecho, Kamil (2008) sugiere que la efectividad de la intervención en el mercado cambiario se da cuando es consistente con los objetivos generales de la política monetaria, en el sentido de que las compras de reservas internacionales, realizadas bajo una postura expansionista de la política monetaria, estabilizan las presiones hacia la apreciación pero no tienen efecto si se realizan bajo una política monetaria contractiva. Es por lo anterior que entre septiembre de 2004 y marzo de 2006 las intervenciones tuvieron efecto no sólo sobre la volatilidad, sino también sobre el nivel de la TRM, contrario a lo que ocurrió entre enero y abril de 2007, según el mismo autor.
El tipo de cambio en Colombia y sus determinantes
El ejercicio realizado por Arteaga, Granados y Ojeda (2012) es un buen ejemplo de esta segunda categoría de estudios, al explorar las relaciones de largo plazo (1994-2012) del tipo de cambio real con: 1) los activos externos netos, 2) la productividad relativa de la industria colombiana respecto a la estadounidense, 3) los términos de intercambio y 4) el consumo del gobierno. Proponen estudiar la evolución de este tipo de cambio bajo el enfoque de cointegración de Johansen, para lo cual se hace necesario estimar un modelo de corrección de errores en su versión multivariada. Los autores utilizan el componente de alta frecuencia del modelo para analizar, mediante las funciones de impulso-respuesta, las fluctuaciones de corto plazo del tipo de cambio real. De acuerdo con este análisis, concluyen que la apreciación de éste se debió a sus fundamentales, en especial a los términos de intercambio. Mientras que en el corto plazo, los activos externos netos tuvieron mayor incidencia en la varianza del error de pronóstico del tipo de cambio real, y en el mediano plazo fue el consumo del gobierno el que pasó a ponderar en mayor medida.
Arteaga, Granados y Ojeda (2012) presentan al efecto Balassa-Samuelson, en el contexto de una economía abierta, como determinante del tipo de cambio real. Los autores exponen cómo incrementos de la productividad en el sector transable se traducen en salarios reales más altos en este sector, lo cual incentiva el alza de los salarios en el sector no transable, pero sin aumentos en su productividad. De esta forma, el incremento en los costos de producción del sector no transable se compensa con un aumento de los precios de los bienes no transables en la economía local, de manera que se llega a una apreciación del tipo de cambio real, para garantizar la ley del precio único en los mercados globales.
En un intento por responder a las inquietudes de por qué fluctúa diariamente el dólar, por qué su volatilidad, por qué la tendencia persistente de la revaluación del peso y a quiénes afecta, Carranza y González (2009) exponen algunas consideraciones argumentando que, dado el peso de la economía colombiana en la economía mundial, el tipo de cambio nacional actúa como un precio más dentro del gran portafolio global de activos financieros. Desde esta visión, y mostrando a través de gráficas, encuentran que la fluctuación diaria del tipo de cambio responde a los mismos factores ante los cuales varían las acciones en los índices Dow Jones o SyP500, de manera que incrementos en el índice llevan a apreciaciones del tipo de cambio colombiano, afectando a quienes reciben dólares como ingresos y favoreciendo a quienes pagan en dólares los costos o las deudas adquiridas en el extranjero, todo ello en Colombia.
El presente estudio es una extensión natural de la literatura en Colombia, principalmente en la primera categoría. Nos apoyamos en el modelo teórico de Gabaix y Maggiori (2014) para sustentar la hipótesis de partida, vinculándonos tangencialmente con los estudios del segundo grupo. Se pone a prueba la efectividad de la política de intervenciones del Banco de la República en épocas recientes mediante el uso de modelos SWARCH. En la literatura internacional existen diversos estudios que hacen uso de la metodología planteada para analizar la volatilidad del tipo de cambio, dentro de los cuales se pueden contar los de Colavecchio y Funke (2009), Chang, Cho y Hong (2010) para el caso asiático; o Wilfling (2009), Marcucci (2005), Brunetti et al. (2008) o Haas, Mittnik y Paolella (2004) para varios países emergentes no asiáticos.
La motivación general de este estudio parte de la necesidad de señalar lo inadecuado que resulta analizar el impacto de las intervenciones del banco central basándose en modelos de volatilidad que presumen un solo régimen de los momentos no condicionales. Tales estimaciones poco dicen sobre las posibilidades del banco central de afectar las condiciones de mayor plazo del mercado, medidas por los segundos momentos no condicionales de la serie. En otras palabas, de poco sirve afectar la varianza de uno o dos días si ésta ha de converger rápidamente a la varianza no condicional que predominaba en el mercado, o peor aún, de poco sirve estimar persistencias muy altas de las intervenciones basadas en estimaciones espurias de los parámetros, las cuales surgen ante la presencia de cambios en el régimen de volatilidad o quiebres estructurales en la misma (Lamoureux y Lastrapes, 1990; Hamilton y Susmel, 1994). Tal multiplicidad de regímenes ha sido documentada, para distintos mercados cambiarios emergentes, por autores como Rapach y Strauss (2008), por lo que se sospecha de su existencia a priori en el mercado cambiario colombiano.
La estimación adecuada de la efectividad de las intervenciones es de suma importancia, puesto que puede servir como insumo para evaluar posibles ajustes en las prácticas actuales del Banco Central de Colombia, que puede estar operando de forma no óptima al respecto, lo cual podría generar pérdidas importantes para la economía nacional.
OTRA VISIÓN SOBRE LOS DETERMINANTES DE LA VOLATILIDAD DEL TIPO DE CAMBIO EN COLOMBIA
Referenciamos la propuesta teórica de Gabaix y Maggiori (2014) que sirve para sustentar que los flujos de capital internacional, como factores externos, pueden ser la principal fuerza detrás de la dinámica del tipo de cambio colombiano y no los fundamentales macroeconómicos, por lo que las intervenciones del Banco de la República en el mercado cambiario tendrían un impacto muy restringido sobre tal dinámica. La modelación empírica sobre los efectos de tal intervención se revisará por medio de un modelo SWARCH.
Como lo plantean Gabaix y Maggiori (2014), en el marco de un mercado financiero imperfecto, la demanda y oferta de activos en distintas monedas y la capacidad de los sistemas financieros para absorber los posibles desequilibrios son los causantes de los tipos de cambio. Los administradores de portafolios (los financieros) deben ser compensados mediante una apreciación esperada de los mismos por mantener el riesgo de las monedas locales. Lo anterior lleva a que el tipo de cambio dependa conjuntamente de los flujos de capital y de la capacidad de los financieros para mantener el riesgo, siendo esta última la que afectará tanto el nivel como la volatilidad del tipo de cambio.
Aunque en los anexos de este documento se explora el modelo teórico de forma mucho más detallada, para el lector interesado ofrecemos las particularidades más sustanciales de la propuesta teórica de Gabaix y Maggiori (2014), la cual presenta una economía con dos países abiertos al comercio tanto de bienes como de activos financieros, en un horizonte temporal de dos periodos. Dos agentes son los principales en este modelo: los hogares y los financieros.
Los hogares cuentan con una utilidad en función del consumo de bienes no transables, bienes nacionales y bienes del otro país. En la primera etapa del modelo deben decidir, dado el presupuesto para este primer periodo, el nivel de consumo de los tres tipos posibles de bienes. En la segunda etapa deben decidir cuánto consumirán y cuánto ahorrarán.
Del problema de maximización de la utilidad de los hogares, en ambos países se deducen los niveles de exportaciones netas de cada uno de ellos, los cuales quedan en función del tipo de cambio (e t ). Hablando en términos del país local, su tipo de cambio dependerá de su demanda por los tres tipos de bienes, de manera que se enfrentará a una depreciación de su moneda si como local importa más bienes del otro país o si baja el nivel de exportaciones hacia la otra nación.
Si se supone entonces un contexto de depreciación de la moneda local, el papel de los financieros se determina en cuán dispuestos están a asumir el desequilibrio entre las monedas (exceso de oferta de la local). Si lo están, de la maximización de su ejercicio, en términos de la cantidad demandada por la moneda local en ambos periodos, se obtiene que la apreciación de dicha moneda queda en función del flujo de capitales y de la capacidad de los financieros para asumir el riesgo de una sobreoferta de moneda local. Por lo que, en última instancia, los fundamentales macroeconómicos pierden protagonismo en la determinación y en el comportamiento del tipo de cambio.
Como ya se mencionó, en la sección empírica de este documento se hará uso de una modelación a través de cadenas de Markov para la volatilidad condicional del tipo de cambio. Esta estrategia, si bien no se desprende directamente del modelo teórico aquí usado, el cual se relaciona de forma más directa con la intuición teórica que respalda la evidencia del caso colombiano, es coherente con la misma, toda vez que las cadenas de Markov son procesos flexibles, sin memoria, que permiten dilucidar de forma nítida posibles cambios en los regímenes operantes en la economía, que a su vez estarían condicionados a los flujos de capital internacionales, siguiendo la ecuación [10] de los anexos.
De esta manera, de acuerdo con el modelo teórico tomado, revisaremos informalmente algunos determinantes financieros del tipo de cambio en Colombia con el fin de motivar el análisis empírico. En este caso, gran parte de los determinantes del tipo de cambio de dicho país no serían factores fundamentales idiosincráticos, sino flujos externos de capitales contra los cuales la actuación del banco central puede resultar insuficiente e inefectiva.
Según la reciente historia económica de Latinoamérica, después de las crisis económicas de finales del siglo XX, el crecimiento de la región se consolidó en niveles relativamente homogéneos, lo cual se evidenció en una mayor sincronización de las tasas de crecimiento del producto de los países latinoamericanos, tal y como se puede apreciar en la gráfica 1. Estas tasas se mantuvieron estables hasta el 2007, cuando la crisis financiera global incidió considerablemente sobre las economías regionales. Dentro de los países en la gráfica, Colombia fue el que presentó una tasa de crecimiento más alta para el 2009 y México la mayor caída (-5%).
Una exploración preliminar de los tipos de cambio regionales respecto al dólar estadounidense (véase la gráfica 2), permite constatar cómo los países de la región presentan, una vez más, cierto grado de sincronización. Estos movimientos comunes entre los países llevan a pensar que a pesar de los intentos de los bancos centrales, de los respectivos países, por controlar los movimientos y la volatilidad del tipo de cambio, este puede estar respondiendo a choques y factores externos análogos que difícilmente pueden ser controlados por las respectivas autoridades monetarias. Factores tales como los flujos de capitales extranjeros y las variaciones en los precios de commodities como el petróleo, que se traducen en variaciones en los movimientos de capital enfrentados por las economías nacionales.
Para el caso colombiano, los flujos de capital se incrementaron considerablemente durante la década más reciente. Con la crisis financiera global de 2007, los capitales abandonaron en gran proporción la economía estadounidense, de gran volatilidad y bajas tasas de interés, buscando una mejor relación riesgo-retornos en los mercados emergentes con altos rendimientos, tasas de referencia más altas y menor riesgo en términos relativos (Caballero, Farhi y Gourinchas, 2008).
Además de su búsqueda por rendimientos financieros, gran parte de los flujos de capital hacia las economías emergentes, en especial Colombia, constituyen entradas de capital provenientes de las exportaciones de petróleo y otros commodities. Como se puede ver en la gráfica 4, el periodo comprendido entre 2002 y 2008 se caracterizó por una constante alza en el precio del crudo, coherente con las variaciones en los tipos de cambio latinoamericanos, especialmente del colombiano.
Con la caída de las tasas de interés aumenta la demanda de los activos financieros provenientes de los países emergentes, tal y como lo plantean Caballero, Farhi y Gourinchas (2008). Colombia es un país caracterizado por ser un exportador neto de petróleo, tomando fuerza como su principal activo de exportación. La venta de estas materias primas conlleva significativas entradas de dólares para el país, los cuales son tranzados en el mercado local generando apreciación en la moneda. Los efectos de las exportaciones de commodities , en especial de los minerales, sobre el tipo de cambio han sido bastante documentados en la literatura con trabajos como el de Chen, Rogoff y Rossi (2010), Amano y van Norden (1998) y Frankel (2007).
METODOLOGÍA
Para medir la efectividad de las intervenciones del Banco de la República en el mercado cambiario, se usará el modelo SWARCH de Hamilton y Susmel (1994). Esta metodología consiste en ponderar por distintos factores una estimación de la volatilidad condicional, calculada mediante el uso de modelos ARCH, dependiendo del régimen en el que se encuentre la variable. Los factores en dicha ponderación dependerán de estados no observables (regímenes) que gobiernan la trayectoria de la variable aleatoria, los cuales en general pueden ser descritos por una cadena de Markov. Considérese entonces el modelo AR(p )-SWARCH- L (K ,q ) en [1]:
La primera ecuación en [1] corresponde a la media condicional, la cual sigue un proceso autorregresivo de orden p . Los residuales de esta ecuación están en función de gst y
La probabilidad de ubicarse en un régimen determinado estará gobernada por un proceso markoviano del tipo:
para i , j = 1, 2, ...K , con matriz de transición de probabilidad en donde cada columna suma 1.
La variable
El estimador utilizado para calcular los parámetros del modelo descrito en [1] es el de máxima verosimilitud, descrito en el apéndice de Hamilton y Susmel (1994). En términos generales, el proceso consiste en evaluar la función de log de verosimilitud muestral, hasta lograr un máximo global. Tal función está dada por:
y esta puede ser maximizada numéricamente respecto a los parámetros poblacionales del modelo, sujeta a las restricciones
Conviene resaltar que los modelos con cambio de régimen, gobernados por cadenas de Markov -como los originalmente propuestos por Hamilton (1989), en los cuales se basa la metodología expuesta- no permiten como un caso especial los modelos GARCH (p ,q ), con p > 0. Por esta razón se decidió incluir sólo efectos ARCH en la modelación de la varianza, lo cual resulta adecuado en términos empíricos, como se verá posteriormente.
ANÁLISIS EMPÍRICO
Datos
En la estimación se utilizaron las series de los tipos de cambio del peso colombiano, el real brasilero, el peso chileno, el peso mexicano y el nuevo sol peruano, frente al dólar estadounidense. Todas las series fueron tomadas de Datastream Internacional (Thomson Reuters). Estas series corresponden a 3 654 días de transacción entre enero de 2000 y diciembre de 2013.
Al observar la serie, son notables las variaciones que ésta ha tenido, desde prolongados periodos de depreciación entre 2000 y 2003, cuando la serie alcanza niveles superiores a los 2 900 pesos colombianos (COP) por dólar (USD), hasta intervalos de apreciación importantes entre 2003 y 2008, cuando el dólar se cotiza por debajo de los 1 900 COP (véase la gráfica 5).
Por otra parte, en la gráfica 6 se presenta evidencia preliminar sobre la posible existencia de varios regímenes de volatilidad en el tipo de cambio, ya que es posible intuir, a simple vista, que la serie de los retornos del tipo de cambio presenta una mayor volatilidad entre 2007 y 2010 que en el resto de la muestra.
Prueba de quiebre estructural en la varianza
Con el fin de poner a prueba la hipótesis de quiebre estructural en la varianza no condicional de la serie de los retornos logarítmicos del tipo de cambio en Colombia, es decir, la presencia de al menos dos regímenes en la volatilidad de la variable, se llevó a cabo una de las alternativas descritas por Aue y Horváth (2013), quienes llaman la atención sobre el hecho de que una forma relativamente sencilla de poner a prueba la presencia de quiebres estructurales en los segundos momentos de una serie consiste en aplicar una prueba de CUSUM (cumulative sum ) sobre la serie de las volatilidades esperadas E [σ2]. En este caso, la hipótesis que se quiere probar corresponde a:
contra la alternativa de que H 0 es falsa y que, por tanto, la volatilidad ha cambiado al menos una vez durante el periodo de observación. El proceso de CUSUM reescalado está dado por:
donde [·] denota la parte entera, n el número de observaciones y Y t la variable observada (para nuestro caso de retornos de la TRM). Como lo señalan Aue y Horváth (2013), es importante aclarar que en este caso el teorema funcional del límite central clásico, como es descrito, por ejemplo, en Billingsley (1968), no puede ser aplicado directamente para aproximar el comportamiento asintótico del estadístico bajo la hipótesis nula debido a la dependencia que existe entre las observaciones (por ejemplo del tipo GARCH). La convergencia débil ha sido estudiada en investigaciones más recientes (Bradley, 2007; Dedecker et al. , 2007; Wu, 2007), que en general hacen uso de las estimaciones de la varianza de largo plazo, como las descritas por Liu y Wu (2010). Las condiciones que garantizan la aplicación de estos resultados, en el caso de los segundos momentos, se pueden encontrar en Berkes et al. (2008). Para el presente estudio, el estadístico de prueba fue calculado en 4.6945, a 1% de significancia se rechaza la hipótesis nula.4
Lo anterior alerta sobre la necesidad de incluir en la modelación de la varianza del tipo de cambio en Colombia al menos dos regímenes de volatilidad no condicional. Esto con el fin de evitar la estimación de persistencias espurias en los modelos de la volatilidad condicional de la serie.
Estimación del modelo SWARCH
Esta estrategia empírica consistió en la estimación de diferentes modelos SWARCH para medir el ajuste de los mismos: las alternativas incluyen modelos que siguen un proceso autorregresivo con ρ = 1,2,3 siendo el orden del proceso en media; k = 1,2,3 el número de regímenes, consistente con al menos un cambio estructural, y β = 1,2,3 los términos ARCH en la modelación de la varianza. Además, se supuso que los errores del modelo (v t ) siguen un proceso idéntico e independientemente distribuido (i.i.d) gaussiano o t-student. Para la selección del mejor modelo se usaron dos criterios de información tradicionales: el criterio de información de Akaike (1976), AIC, y el criterio de información bayesiano de Schwarz (1978), BIC. La estimación se realizó de manera conjunta para las ecuaciones de media y varianza, de forma tal que el orden de los procesos autorregresivos en cada una responde a criterios de selección globales. Los resultados se presentan en el cuadro 1.
Cuadro 1 Modelos SWARCH estimados

Nota: las celdas sombreadas corresponden a los valores de mejor ajuste para cada criterio usado. El criterio de Akaike es construido como el logaritmo de máxima verosimilitud (ℒ) menos la cantidad de parámetros estimados en el modelo. El criterio de información bayesiano (BIC) es construido siguiendo la formula ℒ - (k/2) · ln T, donde k son el número de parámetros estimados y T la cantidad de datos estimados. Los guiones representan modelos que no se pudieron estimar. Para todos los casos, los modelos que mejor se ajustan siguen un proceso autorregresivo de orden uno, por eso sólo se incluyen los resultados en el cuadro 1.
Fuente: elaboración propia.
Siguiendo estos criterios de información, se encuentra que el modelo que mejor se ajusta a los datos es el t- SWARCH (2,3) que sigue un proceso autorregresivo de orden uno:
donde g st corresponde a la varianza asociada con el régimen s t en el que se encuentra la serie, y v t es un proceso i.i.d que se distribuye t-student con 4.9 grados de libertad. Se puede afirmar entonces que la serie posee dos regímenes de volatilidad, el régimen uno (g s1 ), de baja volatilidad, y el régimen dos (g s2 ), de alta volatilidad.
Al estimar la matriz de transición de dimensión (K × K ) entre regímenes:
se señala que la probabilidad de pasar del régimen de baja volatilidad al de alta volatilidad es de 1.63%, mientras que en la dirección contraria desciende a 1.29%. Según esto, se esperaría que el régimen uno durará en promedio
Con el fin de poner a prueba la correcta especificación del modelo t-SWARCH (2,3), se realizaron pruebas de autocorrelación (Ljung-Box) y de efectos ARCH (LM de Engle) sobre los residuales estandarizados del sistema. Los estadísticos Q de autocorrelación de los rezagos 1 a 12 se estimaron entre 3.7 y 17.55, y en todos los casos fue imposible rechazar la hipótesis nula de no autocorrelación. Por su parte, el estadístico LM de Engle se calculó en 0.98, con lo cual fue imposible rechazar la hipótesis nula de ausencia de efectos ARCH en los residuales estandarizados (con un p -valor de 0.32).
En la gráfica 7 se presentan los regímenes de volatilidad encontrados en las variaciones diarias del logaritmo del tipo de cambio en Colombia entre enero de 2000 y diciembre de 2013. En esta gráfica se puede apreciar que el régimen de mayor prevalencia en el mercado del tipo de cambio, durante la muestra analizada, es el de volatilidad alta, aproximadamente 2.78 veces mayor que el de volatilidad baja.

Gráfica 7 Regímenes de: (a) volatilidad alta y (b) volatilidad baja Corresponden las probabilidades suavizadas de cada régimen
Los periodos claramente identificables en la muestra, en los cuales prevalece el régimen de mayor volatilidad, se extienden de julio de 2002 a febrero de 2003, de abril de 2006 a septiembre de 2006 y de marzo de 2007 a marzo de 2012. Mientras que el mercado cambiario está mejor descrito por una baja volatilidad no condicional, de julio de 2000 a julio de 2002, de mayo de 2003 a enero de 2004 y de mayo de 2012 a mayo de 2013. En las otras regiones los periodos de alta y baja volatilidad se suceden entre sí con mayor frecuencia, haciendo más difícil identificar la prevalencia de un sólo régimen.
Con los resultados anteriores podemos comparar los regímenes de volatilidad con los montos de intervención diarios del Banco de la República (véase la gráfica 8) y con la dinámica del tipo de cambio (véase la gráfica 9).
Como se puede apreciar, los mayores montos de intervención del banco central, registrados entre 2004 y 2005 y agosto de 2006 a mayo de 2007, no parecen estar asociados con ningún cambio de régimen del tipo de cambio. Ni preceden un cambio ni tampoco le suceden. De hecho, no están asociados con ningún régimen en particular; a veces las mayores intervenciones ocurren en los regímenes de volatilidad alta, pero otras veces, y de hecho de forma más notable, en los de volatilidad baja.
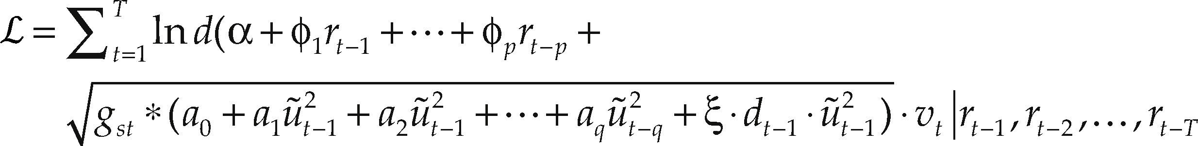
Con el fin de presentar evidencia estadística más robusta sobre la anterior observación, se estimó un VAR bivariado entre el vector de probabilidades suavizadas, estimado para el régimen de volatilidad alta (la probabilidad de que cada dato perteneciera al segundo estado, estimada haciendo uso de toda la muestra), y las intervenciones netas del Banco de la República en el mercado. Se construyó la función de impulso respuesta (FIR) utilizando el hecho de que el banco central es el que reacciona contemporáneamente a la mayor volatilidad, y no al revés, con lo cual se puede acudir a la descomposición de Cholesky para identificar el efecto de los choques estructurales sin imponer restricciones cuestionables. Los intervalos de la FIR se construyeron por bootstrapping , siguiendo las recomendaciones de diferentes autores, que son aun de mayor relevancia (si cabe) en el presente contexto, puesto que el vector de probabilidades es producto de una estimación previa.
Como se puede apreciar en la gráfica 10, no existen efectos identificables de las intervenciones del Banco de la República sobre los regímenes de volatilidad encontrados (panel a). Todos los puntos de la FIR son estadísticamente iguales a cero. Es decir, la política cambiaria de intervención ha sido inefectiva. Por otra parte, existe evidencia de que el banco reacciona ante el cambio del régimen de volatilidad (panel b). Es decir, una vez se presenta un incremento en la probabilidad de estar en un régimen de volatilidad alta, el banco central interviene en el mercado, como cabría de esperarse. Tales intervenciones tienen una persistencia de alrededor de 20 días (panel c).
De este ejercicio econométrico se desprende que aun cuando el banco central interviene en el mercado para controlar la volatilidad, tal y como lo argumenta en distintos comunicados y lo contempla en su normatividad, tales intervenciones se agotan rápidamente. Ante un incremento de la volatilidad no condicional, éste reacciona sólo dentro de los dos días siguientes. La persistencia de un choque sobre las intervenciones se prolonga alrededor de 20 días, es decir, una intervención está seguida de intervenciones de menor magnitud hasta que paulatinamente estas se estabilizan. Por su parte, lo más significativo del ejercicio radica en que el régimen de volatilidad no responde ante las intervenciones del banco central, puesto que no se produce un cambio estadísticamente significativo después de ocurrida la misma, como se hace evidente en la FIR del panel (a) en la gráfica 10, que es estadísticamente igual a cero en todos los puntos.
De otro lado, es evidente que las intervenciones cambiarias directas del banco central de Colombia han sido inefectivas para controlar la volatilidad del tipo de cambio. De esta forma, incluso si el fin último de la autoridad monetaria fuera el de estabilizar la inflación, más que el de controlar la volatilidad en el mercado cambiario per se , la actuación del banco carecería del efecto esperado. Esto es, el mecanismo de transmisión hacia los precios finales no sobreviviría siquiera al vínculo directo entre el mercado cambiario y la intervención centralizada.
Un ejemplo claro de este fenómeno son las recientes variaciones del tipo de cambio por fuera del rango estable que mantenía, producto de la caída del precio del petróleo en los mercados internacionales. En estos casos, los choques internacionales tienen un efecto directo sobre el tipo de cambio local, pero también sobre el nivel del precio interno, a través de varios mecanismos como el precio de las materias primas o la monetización de divisas.
Los resultados de esta sección muestran la incapacidad del banco central para determinar, en alguna medida, la volatilidad del tipo de cambio en el mercado a través de intervenciones directas. De esta forma, señalan la inconveniencia de utilizar tales intervenciones como instrumento de política en la consecución de la estabilidad de precios, que es mandato constitucional del Banco de la República.
Comparación con mercados de la región
Con el fin de ilustrar el punto explorado en la sección dos de este documento, en la cual se plantea que el tipo de cambio puede entenderse de forma más satisfactoria como el producto de un proceso de arbitraje continuo en los mercados financieros internacionales y no como la condensación de la información concerniente a los fundamentales internos del país (o las intervenciones del banco central), se presentan los cuatro paneles de la gráfica 11. En estos se muestran los productos de la probabilidad suavizada de los regímenes de volatilidad alta en parejas de países. Esto se puede interpretar (si se supone independencia) como la probabilidad condicional de que el tipo de cambio colombiano esté en un régimen de volatilidad alta, dado que el otro país (Brasil, Perú, Chile o México) también lo está.

Gráfica 11 Probabilidades condicionales de los regímenes de volatilidad alta con distintos países de la región
Algo que puede deducirse al apreciar estas gráficas es la posible sincronización de los mercados cambiarios en la región, especialmente en los periodos de abril a diciembre de 2002 y de junio de 2008 a febrero de 2010, donde cinco mercados registraron periodos de volatilidad alta. La aparente sincronización de los mercados es aún mayor si se excluye a México del análisis, extendiéndose el periodo de mayor duración de la sincronización, de junio de 2008 a junio de 2010, para los cuatro países restantes, incluido Colombia. Los anteriores hallazgos se contrastaron también mediante la construcción de un estadístico de sincronización, propuesto por Harding y Pagan (2002; 2006) Harding and Pagan, 2006, entre Colombia y cada uno de los cuatro países de la muestra. Esto se hizo de forma dinámica, es decir, usando ventanas móviles de 20 días, lo cual equivale a un mes de transacción aproximadamente. Los resultados se mantienen y están a disposición del interesado. Se presentan las probabilidades suavizadas puesto que su interpretación es más intuitiva y requieren menos transformaciones previas de los datos antes de la estimación.
De las mismas gráficas también se puede inferir que de existir la sincronización entre los mercados, ésta es mayor precisamente en los regímenes de volatilidad alta, lo que presumimos está asociado con flujos de capitales entrantes que son comunes a toda la región y no producto de condiciones idiosincráticas. Esto implica, para el caso colombiano, que la volatilidad está asociada con factores externos a la economía y no con una intervención directa del Banco de la República en el mercado.
CONCLUSIONES Y DISCUSIÓN
Para mostrar la poca efectividad de las intervenciones del Banco de la República sobre la evolución del tipo de cambio en Colombia, en el presente estudio se estiman los regímenes de volatilidad de dicha variable. En ese orden de ideas, se ofrece una perspectiva de análisis más amplia que la encontrada hasta el momento en la literatura nacional, con miras a permitir una evaluación más acertada de la política cambiaria en Colombia, en particular en lo referente a las intervenciones del banco central en el mercado. Hasta ahora la literatura se ha concentrado en: 1) abordar los fundamentales macroeconómicos como determinantes del tipo de cambio y 2) ajustar modelos estadísticos que muchas veces no consideran las particularidades propias de las series financieras, como el tipo de cambio nominal. Estos modelos han ignorado reiteradamente los posibles cambios de régimen en la volatilidad no condicional de la serie.
Con la información diaria de la serie del tipo de cambio peso colombianodólar, y su análisis en un modelo SWARCH, se identifican, de forma endógena, dos regímenes de volatilidad en el mercado, los cuales tienen poca relación con la actuación del banco central, según se comparan las fechas de las intervenciones del banco con los periodos de volatilidad de dicha variable. De hecho, al verificar la hipótesis de que la varianza no condicional de la serie de los retornos logarítmicos del tipo de cambio tiene al menos un quiebre estructural, se detectan dos regímenes en la serie: un régimen que se ha denominado de alta volatilidad y otro de volatilidad baja. Si bien el banco central parece responder ante un incremento de la probabilidad de estar en el primer régimen, y tales intervenciones son persistentes, las mismas son incapaces de inducir un cambio de régimen. Esto es, ante intervenciones del Banco de la República, permanece inalterada la probabilidad de estar en el régimen de volatilidad alta.
Uno de los atractivos de este hallazgo es que la posibilidad de un quiebre estructural en la serie de la volatilidad se puso a prueba de forma endógena, es decir, es un producto de la estrategia de modelación econométrica, más que una imposición de ésta. De la misma forma, los periodos de alta y baja volatilidad son establecidos siguiendo la información que la serie de tiempo brinda, lo cual evita sesgos en la estimación y permite realizar un análisis riguroso de las fechas de sincronización del mercado, con otros referentes internacionales o con la actuación del banco central.
Los resultados empíricos son coherentes con la modelación teórica que empleamos, según la cual el tipo de cambio depende poco de los fundamentales o la política de cada país. Por el contrario, la dinámica de esta variable se encuentra determinada por factores financieros como los flujos de capitales transnacionales, que afectan simultáneamente a varias economías de la región, o los precios de las materias primas exportadas, que como el petróleo afectan ampliamente los ingresos de las balanzas de pagos nacionales.
La inefectividad de las intervenciones en el mercado obliga a revaluar los alcances del banco central de Colombia para controlar la volatilidad del tipo de cambio nominal mediante mecanismos de intervención directa. Lo anterior no apunta, en términos de política, necesariamente a un esquema de total libertad en el mercado, el cual puede estar también sujeto a periodos de ineficiencia informacional. Lo que sí hace es que invita a las autoridades a explorar nuevos mecanismos de control y prevención en el mercado, distintos a la intervención directa a través de la compra y venta de divisas y opciones.
Estas alternativas pueden encontrarse en medidas de carácter macro-prudencial, e incluyen, por ejemplo, la creación de fondos de divisas en épocas de liquidez internacional que ayuden a estabilizar la economía en periodos de menor liquidez; mayor control a la entrada de capitales de portafolio a la economía; una mayor esterilización monetaria de los recursos entrantes; una delimitación más concreta de las actuaciones de los inversionistas institucionales, como los bancos comerciales, en el mercado de divisas, entre otras. O incluso abre la puerta para evaluar intervenciones discrecionales por parte del banco central, que no se valgan de una regla predeterminada, la cual muchas veces ha llevado a que la autoridad cambiaria intervenga en los regímenes de volatilidad baja, cuando teóricamente no debería hacerlo.
Explorar un esquema efectivo para la corrección de las tendencias del tipo de cambio, o la consecución de niveles de volatilidad óptimos, es un tópico amplio que queda fuera de los alcances del presente documento. El aporte del mismo va más en la dirección de señalar la inefectividad de las intervenciones directas y, sobre todo, pretende aportar claridad sobre la necesidad de una correcta medición de los regímenes de volatilidad en el mercado.
Si bien se reconoce la importante función del banco central como agente que propende por la estabilidad financiera y de precios, para lo cual la estabilidad del mercado cambiario es crucial, se llama la atención sobre la necesidad de concentrar los recursos públicos del banco en forma efectiva y la necesidad de medir adecuadamente las variables de seguimiento, como la volatilidad cambiaria.
Se debe hacer un esfuerzo por definir lo que es un periodo de volatilidad alta en el mercado cambiario, por ejemplo, mediante la detección de cambios estructurales en las varianzas no condicionales de las series bajo estudio, como se propone en este documento.
Los puntos anteriores son de crucial importancia, sobre todo cuando se considera la naturaleza pública de los recursos del banco central y el hecho de que las intervenciones directas en el mercado son costosas, por cuanto afectan el valor del portafolio que compone las reservas internacionales del país.










nueva página del texto (beta)






























