While its structure is not that of a typical research paper, this work by Krozer, Moreno and Rubio (2015) makes a contribution to the recent debate about raising the minimum wage in Mexico. The paper provides a comprehensive account of the evolution of income distribution in Mexico as measured by the Gini index, poverty headcount, income per capita across deciles, top and bottom income shares, and, most importantly, the functional distribution of household income (labor, capital and transfer income components). In general, in this policy-oriented paper the authors argue in favor of a minimum wage raise and advocate in the conclusions for a minimum wage initiative approval in the near future.
A number of interesting results emerge from the analysis presented by the authors. In Figure 2, for instance, the comparison of the top 1% and the bottom 40% of the distribution in general, and following the financial crisis in particular, is striking. While some more work needs to be done on this matter, somehow the figure might suggest that economic growth in Mexico is pro-rich rather than pro-poor. Despite all the interesting findings in Krozer, Moreno and Rubio (2015), there are caveats and facts that are missing from the authors' outline. In this comment I would like to bring three issues to the attention of the readers.
The first of the facts left aside by Krozer, Moreno and Rubio (2015), and many others in the debate about the minimum wage, is that of the regional differences that exist across Mexico. While wages in Mexico differ across the country, there are only two official geographical wage areas, A and B, recognized by Comisión Nacional de Salarios Mínimos (CONSAMIN).1 The differences between the two official rates are very subtle. In order to appreciate the true difference of wages across Mexico, the use of other wage measures is more appropriate. In Figure 1 we observe the daily wage received by permanent and temporary formal workers affiliated to Instituto Mexicano del Seguro Social (IMSS) during July 2015.2 The first striking fact to notice is that, at nearly 300 pesos, the average national salary is way above the minimum. There is roughly a five-fold difference with respect to the minimum wage of $70.1 and $68.28 pesos in areas A and B, respectively. Second, even though the IMSS salaries are for workers in the formal sector, the difference between the extremes is remarkable. The daily salary in Campeche is 80% higher than in Yucatán; in Querétaro 52% higher than in Sinaloa.3 Third, in Distrito Federal, the salary is 51% and 58% higher than in the neighboring states of Hidalgo and Tlaxcala, respectively. Indeed, other factors like the differences in workers' skills and education play a role in the unequal distribution of wages across Mexico.
Interestingly, the evolution of the IMSS formal sector wages and the minimum wage is not radically different. Figure 2 plots both the minimum wage and IMSS formal wage rates, from 1994 to 2015 in pesos of 2010. It is clear in this graph how both wage rates were heavily hit by the 1994 peso devaluation and subsequent recession in 1995. However, following this shock, IMSS real wages started to recover slowly, reaching a real higher level than in 1994 only by the beginning of 2015.4 Meanwhile, the minimum wage has stabilized below its 1994 level and under $60 real pesos since 2003.
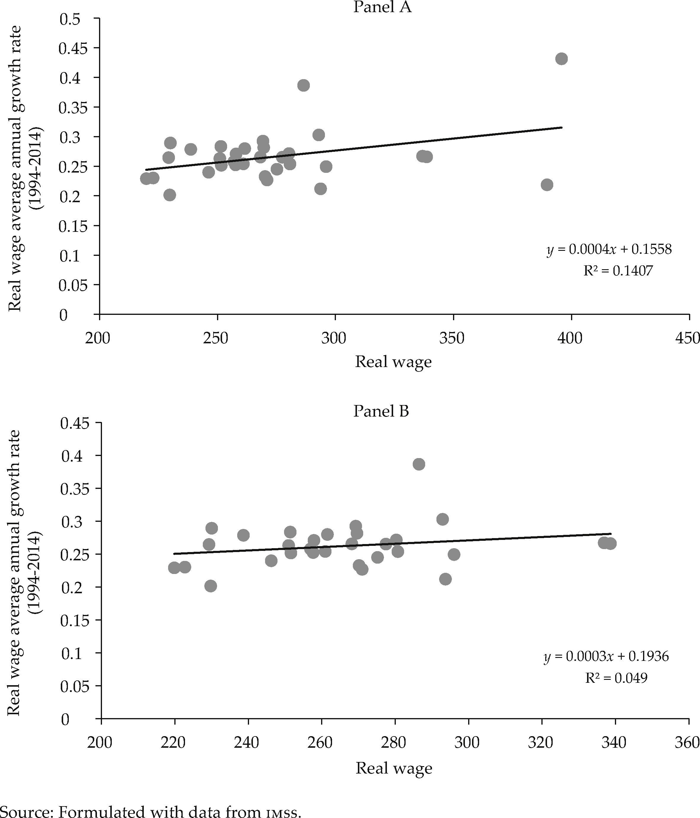
One way of looking at how regional differences have evolved over time is by assessing absolute wage convergence. As in the neoclassical economic growth literature, the idea behind the simple analysis proposed here comes from the fact that states where income is low might see higher rates of growth in wages over time relative to those states with somewhat higher wages, leading to a convergence process. In order to revisit this hypothesis, Figure 3 panel A plots the average real growth rate of IMSS wages against the real wage rate in 2014. For the plot to suggest convergence, a negative sloped line is expected to emerge from fitting a linear regression, implying that states with smaller wage rates are also those that are growing faster. However, the regression line shows a positive slop which is rather consistent with wage divergence. Panel B in Figure 3 is similar to Panel A, but excludes Campeche and Distrito Federal from the sample.5 As can be observed, excluding these potential outliers does not significantly affect the slope of the regression line. While the absolute convergence analysis presented here is rather simplistic, addressing the issue of regional wage differences across Mexico and the potential divergence of wages is an important matter if the debate that is now taking place mainly in Distrito Federal is generalized to the rest of the country.
A second important point missed by Krozer, Moreno and Rubio (2015) is the recent and past evidence about minimum wage rates in Europe and the United States. Indeed, the recent debate about raising the minimum wage started there and not in Mexico City. Part of that debate has already produced important reforms in Germany and some areas of the United States. In Germany, a new minimum wage was introduced in January 2015 and some preliminary evidence points towards a rather positive effect on employment (Janssen, 2015). In the United States, the so-called 'Fight for $15' campaign has achieved the approval or minimum wage raises in Seattle, San Francisco, Los Angeles and the state of Washington. The campaign that has gained momentum in recent months aims to (gradually) improve minimum wages to $15 dollars per hour across the United States.
The existing literature addressing the effects of a minimum wage raise provides an account of the potential positive and negative effects of such policy. On the negative side, the major issue is that of job losses, particularly for low-skilled workers. The most referred experience is that of Great Britain's introduction of a new minimum wage in 1998. Studies find little evidence that jobs were lost following its introduction. Meanwhile, advocates of the minimum wage suggest that it creates some positive effects by increasing employees' loyalty and productivity. Overall, evidence seems to suggest that moderate minimum wage increases are not harmful (Economist, 2012). The experience in the United States and Germany will shed more light on the potential effects of fairly large minimum wage raises on the employment of unskilled labor.
The third and final point that could be mentioned as missing in the analysis of Krozer, Moreno and Rubio (2015) is the lack of a theoretical foundation for arguing in favor of a minimum wage raise. A recent paper by Guerrero de Lizardi and Lomelí Vanegas (2016) provides some thoughts on the theory of production and its inability to address wage adjustments adequately. Indeed, they argue that the theory of production is based on the assumption of perfect competition, but real life economics is not consistent with such an assumption, making the idea of equalization between real wages and marginal labor productivity inadequate. They also criticize the traditional adjustment of minimum wages based on Consumer Price Index (CPI) changes, arguing that this is only fair for the top decile of the income distribution in Mexico.
Ultimately, as Krozer, Moreno and Rubio (2015) suggest, politics will play a very important role in the success of a policy that leads to a minimum wage raise. A full backup of the minimum wage raise might require political momentum. In Germany, for instance, this momentum started in late 2011 during the first re-election campaign of Angela Merkel as prime minister, but the introduction of the minimum wage was not approved until 2014.










nueva página del texto (beta)





