Servicios Personalizados
Revista
Articulo
Indicadores
Links relacionados
-
Similares en
SciELO
Compartir
Investigación económica
versión impresa ISSN 0185-1667
Inv. Econ vol.68 no.270 Ciudad de México oct./dic. 2009
El pago del salario
The payment of wages
Alberto Benítez Sánchez*
Universidad Autónoma Metropolitana, Unidad Iztapalapa (UAMI), besa@xanum.uam.mx.
Manuscrito recibido en noviembre de 2008
Aceptado en agosto de 2009
Resumen
Este artículo estudia los efectos que sobre la distribución del ingreso tienen los cambios en la fracción del salario pagado al principio de un programa de producción, el cual permanece constante cuando la porción restante se paga al final. Entre otros resultados se encuentra que aquella fracción permite determinar algunas restricciones sobre la forma que adopta la curva salarioganancia y también otras que inciden en los efectos Wicksell sobre los precios.
Palabras clave: modelos de producción lineal, curva de salarioganancia, efectos Wicksell sobre los precios, modelo de Sraffa.
Clasificación JEL:** C67, D33, E11, E13
Abstract
This article studies the effects on income distribution caused by changes in the fraction of wages paid at the beginning of a production program, when the remaining wage is paid at the end. Among other results, it is found that this fraction permits the definition of certain restrictions affecting the form of the wageprofit curve as well as other constraints influencing Wicksell effects on prices.
Keywords: linear production models, wageprofit curve, Wicksell price effects, Sraffa's model.
Introducción
En este artículo se estudia el modo en que el calendario de pagos salariales vigente en la economía afecta a la distribución del ingreso. Normalmente, los cambios en este calendario inducen modificaciones en el programa de producción por la vía de las variaciones en la demanda agregada en los distintos mercados, mientras que un programa de producción constante permite aislar los efectos de estos cambios sobre las variables investigadas. Con el propósito de preservar esta última condición, consideramos una situación en la cual todos los mercados se hayan en equilibrio y todas las ramas industriales obtienen la misma tasa de ganancia. En este marco, se analizarán las relaciones entre la tasa de ganancia, el salario, la ganancia y el calendario de pagos salariales que son compatibles con el programa de producción dado.
Como suele hacerse al investigar la interdependencia entre precios y costos de producción, se considerará un modelo lineal de producción simple sin capital fijo semejante a los que presentan Hawkins (1948), Dorfman et al. (1958), Sraffa (1983), Leontief (1966), Morishima (1973), Broome (1983) y Roemer (1983), que también han sido investigados por otros autores. Un rasgo común de estos trabajos es que los salarios se pagan en una sola fecha, ya sea al principio o al final de la producción, pero con la intención de explorar el tema de investigación se supondrá que una fracción t (0 ≤ t ≤ 1) de los mismos se paga al comenzar la producción y el resto al final. Otras peculiaridades del modelo estudiado, menos exclusivas que la anterior, son dos supuestos relacionados con el trabajo: se supone que es el único insumo empleado forzosamente en cada industria y que no es necesariamente homogéneo. Asimismo, se presenta un breve resumen del modelo en la segunda sección y en la tercera se dan algunos comentarios acerca de ciertas características de éste que son relevantes para la investigación. Los resultados principales se presentan en el siguiente orden.
En un teorema introducido en la segunda sección y probado en el Apéndice A, se establece que el sistema de precios relativos correspondiente a cualquier nivel de la tasa de ganancia (r) tanto como el nivel máximo de esta variable (R) son independientes de t. Sin embargo, como se muestra en la cuarta sección, para cada r ∈ ]0,R[ la unidad de salario medida con el ingreso neto (w) es una función monótona decreciente de t. Esto implica que por cada r ∈]0,R[ y por cada w ∈]0,1[ existe respectivamente un intervalo de valores posibles de w y de r determinados por los diferentes niveles de t. Además, existe una restricción particular señalada en la quinta sección sobre la magnitud de cada una de las variables w y r que es independiente de la técnica usada en el sistema y que es determinada respectivamente por los valores de r y t (para w) y por w y t (para r).
De lo anterior se derivan algunas consecuencias respecto a la forma de la curva salarioganancia, demostrando que puede ser recta o bien estrictamente cóncava sólo si respectivamente R ≤ 1/t y R < 1/t. Además, se demuestra que dicha curva sólo puede ser estrictamente convexa si tiene un perfil único en todo el intervalo [0,R] cuando R > 1/t. También se desarrolla una fórmula para estimar el monto del capital avanzado medido con el producto neto (K) dados los valores de r y de t.
Harcourt (1972:3946) explica que un cambio en el capital causado por una reducción de la tasa de ganancia que tiene lugar cuando la técnica permanece inalterada se conoce en la literatura moderna como un efecto Wicksell sobre los precios (PWE); es negativo, neutral o positivo si el capital respectivamente disminuye, permanece constante o aumenta. Con relación a temas estrechamente relacionados Broome (1983:viix, 56) sostiene que cuando los salarios se pagan por adelantado es más adecuado considerarlos como parte del capital. Se adoptan estas definiciones para identificar en la sexta sección tres condiciones relacionadas con la forma de la curva salarioganancia, las cuales son necesarias y suficientes para que K(r) sea una función monótona respectivamente constante, creciente y decreciente. También se muestra que cuando el PWE es de un solo tipo sobre todo el intervalo [0,R[ en un sistema de producción dado puede ser neutral sólo si R ≤ 1/t, negativo sólo si R < t y si R > 1/t puede ser únicamente positivo. Sin embargo, normalmente el PWE no es de un solo tipo. Considerando el caso general se presenta una fórmula que depende sólo de t y de R, la cual permite calcular, con un supuesto particular, una cota superior para la proporción entre los PWE no necesariamente positivos y los positivos si R > 1/t.
Es conveniente notar que wt se incrementa en forma monótona cuando r disminuye, mientras que simultáneamente el valor de los medios de producción medido con el producto neto puede crecer, disminuir o permanecer constante. Por esta razón parece conveniente en este contexto referirse a dicho valor como el acervo de capital (KS). Por lo tanto, se distingue un PWE del efecto de una reducción en la tasa de ganancia en el acervo de capital; se tratará del mismo fenómeno sólo si t = 0. Como se demostrará en la misma sección, esta consecuencia no está sujeta a las restricciones señaladas más arriba.1 En la última sección se presentan algunos comentarios de carácter general.
EL MODELO
El modelo representa un sistema de producción integrado por n ramas industriales, cada una de las cuales produce un bien particular distinguido por un índice i o j, de tal modo que i, j = 1, 2, ..., Sean D ≥ 1 y d = 1, 2, ...,D, refirámonos a un conjunto de índices {j1, j2, ... , jD} como un conjunto D si contiene D bienes diferentes.2 Todos los procesos de producción son simultáneos y de igual duración, las cantidades de cada bien son medidas con el monto producido del bien correspondiente y las cantidades de salarios con la suma de los salarios pagados. Para cada par (i, j) de índices, aij y lj representan respectivamente las cantidades de i y de salarios consumidos en la industria j durante la producción de una unidad de j; se trata de números no negativos que verifican para cada j que lj > 0 mientras aij > 0 al menos para un i3 Un bien i produce directamente un bien j (no necesariamente diferente) si aij > 0 e indirectamente si hay un conjunto D que no contiene a i ni a j y que verifica ai,j1, aj1,j2, aj2, j3, aj2,j3,... ajD,j > 0.
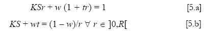
Para cada j, el precio del bien j en unidades de salario es pj y r es la tasa de ganancia del periodo. Dado el hecho que 1 t es la fracción del salario pagada al final de la producción, el costo del trabajo en cada rama j es l,jt(1 + r) + lj(1 t) = lj(1 + tr). En estas condiciones, si la tasa de ganancia es la misma en cada rama, los precios y los costos de producción están relacionados por el siguiente sistema de ecuaciones:

Diremos que [1] es viable si en cada conjunto D la suma de las cantidades de cada bien perteneciente a D, que son consumidas directamente en la producción de los bienes de D, no es mayor que uno y es menor que uno para al menos uno de ellos. En consecuencia, todo conjunto D verifica que Σdai,jd≤1 para cada i ∈ y D Σdai,jd≤1 para al menos un i ∈ D.
Supondremos que toda economía considerada en este trabajo es viable, lo cual, junto con las otras hipótesis adoptadas permite verificar las siguientes proposiciones para todo t.
Teorema 1. Existe un intervalo [0,R[ tal que: a) R es independiente de t y 0 < R < + ∞; b) para cada r ∈ [0,R[ la solución de [1] es única y estrictamente positiva; c) pj(r) es una función monótona creciente para todo j; d) al menos un precio tiende a infinito cuando r tiende a R; e) para cada r ∈ [0,R[, el cociente pi(r)/pj(r) es independiente de t ∀ (i, j).
Prueba. Véase el Apéndice A.
Se encuentran resultados cercanos a estos en los libros ya citados de Broome, Kurz y Salvadori, Morishima, Roemer, Sraffa y en algunos otros trabajos. Sin embargo, debido a las peculiaridades del sistema [1], mencionadas en la introducción, y como consecuencia del concepto de viabilidad adoptado aquí, probamos el teorema 1 siguiendo procedimientos algo distintos a los ya publicados.
Para cada i, ci = 1 Σjaij representa la cantidad del bien i producida en excedente sobre el monto del mismo bien consumido como medio de producción, dado que [1] es viable ci ≥ 0 ∀i y ci > 0 para al menos un i. Sumando las n ecuaciones de [1] obtenemos ΣjΣiaijpi(1+ r) + Σjlj (1 + tr) = Σjpj. Sustituyendo Σjlj y Σjpj con sus respectivos equivalentes (1 y + ΣjΣiaijpi + Σjcjpj) (1+ r) en la ecuación precedente resulta ΣjΣiaijpi (l + r) + (1 + tr) = ΣjΣiaijpi + Σjcjpj de tal modo que:

El primer término del lado izquierdo de esta ecuación es el volumen de ganancia obtenido con los medios de producción y el segundo el monto de los salarios junto con la ganancia que corresponde a la parte de estos que ha sido avanzada. Como el valor de la colección de bienes del lado derecho es igual al ingreso neto de la sociedad, refirámonos a esa colección como el ingreso real.4
EL SALARIO Y EL COSTO DEL TRABAJO
Medidos con el ingreso real, el acervo de capital y el valor de la unidad de salario están determinados respectivamente por las ecuaciones siguientes:

Para simplificar las referencias reservemos la denominación de salario para w y llamemos salario actualizado (w) al valor del salario actualizado al final de la producción. El primero consiste en la fracción del valor del ingreso neto que corresponde al trabajo y está integrado por wt y w(1 t), que son las fracciones del mismo pagadas respectivamente al principio y al final de la producción. Puesto que 1 w corresponde a la ganancia, [3.b] representa la distribución del ingreso neto entre salarios y ganancia. Por esta razón, cuando t = 1, la gráfica de w(r) es la curva salarioganancia de la economía tal como la define Broome (1983:14) o la frontera de los precios de los factores de acuerdo con Morishima (1973:56), quien sigue a Samuelson (1962) en este punto. En consecuencia, es posible identificar la gráfica de w(r) por medio de estas expresiones para cada t.
Además de w, los trabajadores reciben un beneficio adicional debido al adelanto de una parte de los salarios. Este puede ser considerado equivalente a la ganancia que se obtiene si wt se invierte como capital durante el periodo. Aunque el beneficio es real, encontramos apropiado decir que representa un ingreso virtual en la medida en que no está incluido en el valor del ingreso real. Como se mencionó en los comentarios precedentes sobre las ecuaciones [2] y [3.b], el último agregado es igual a la suma del salario más la ganancia; en consecuencia, sólo aquella parte de wt destinada por los trabajadores a obtener ganancias puede darles acceso a una parte suplementaria del ingreso real. Por ejemplo, supongamos que los trabajadores no requieran wt al principio de la producción y que al mismo tiempo las empresas no estén en posesión de esta suma. Entonces, los primeros pueden aceptar posponer el cobro de wt hasta el final de la producción a cambio de una compensación determinada por la tasa de ganancia. En este caso, el ingreso virtual es reducido a cero porque los trabajadores reciben una ganancia igual a wtr.5 Si, en una situación distinta, los trabajadores consumen el salario avanzado, el ingreso virtual continúa siendo igual a wtr, representando el costo de oportunidad que ellos pagan por consumir esa parte de su ingreso en lugar de utilizarla como capital. Es importante señalar que la distribución del ingreso entre salario y ganancia es independiente del monto de ganancias obtenido por los trabajadores.
La suma de las dos partes del ingreso de estos últimos es igual a la fracción del ingreso neto representada por los salarios actualizados al final de la producción, determinada por el producto w(1 + tr). Midiendo los precios con el ingreso real se puede escribir [1] de la manera siguiente:

Es fácil verificar que, para cada r ∈ [0,R[ el costo de producción no cambia en ninguna industria j si el costo del salario wlj(1 + tr) es sustituido en [4] por el salario actualizado equivalente wlj. Por lo tanto, el uso apropiado de las dos variables las hace equivalentes con respecto al sistema de precios que corresponde a cada r ∈ [0,R[. Sin embargo, 1 w(r) es igual a la ganancia correspondiente al acervo de capital, lo cual es menor que la parte de la ganancia en el ingreso si t > 0 y, por lo tanto, w(r) no expresa la distribución del ingreso entre salarios y ganancias en el modelo. Por esta razón, aunque su significado será aún explorado en el lema 3, en el resto del artículo consideraremos sólo el salario.
Desde la perspectiva de las empresas, la diferencia entre el salario y el salario actualizado es la misma que la existente entre la cantidad de salarios pagados y el costo del trabajo en la producción, que son respectivamente el monto pagado directamente a los trabajadores y el costo del mismo actualizado al final de la producción. La última cantidad siempre cuenta como una parte de los precios y, por lo tanto, del ingreso neto, mientras que esto no ocurre con la parte virtual del ingreso de los trabajadores.
Las ecuaciones [3.a] y [3.b] permiten escribir [2] como la primera de las siguientes ecuaciones:

La segunda ecuación se infiere de la primera y establece una relación entre el capital (K = KS + wt), la tasa de ganancia y la distribución del ingreso que será estudiada en las próximas secciones. Sin embargo, es conveniente recordar aquí las siguientes propiedades de w como función de r: (i) [5.a] implica que w = 1 cuando r = 0; (ii) [3.b] y (c) del teorema 1 implica que w es una función monótona decreciente de r y (iii) debido a la viabilidad de [1] cada bien que no integra el ingreso real participa en la producción del mismo,6 este resultado y (d) del teorema 1 implica que cuando r tiende a R al menos un precio en el denominador de [3.b] tiende a infinito, haciendo que w tienda a cero al mismo tiempo. Representaremos con W el conjunto de todas las funciones continuas f:[0,R[ → ]0,1], en donde R > 0, cuya gráfica verifica las propiedades expresadas en (i), (ii) y (iii). Es conveniente señalar que todas la funciones w(r) están determinadas por al menos un sistema de tipo [1] y, dado que consideramos sólo sistemas viables, todas pertenecen a W, pero puede haber funciones pertenecientes a W para las cuales no hay tal sistema.
PAGOS SALARIALES Y DISTRIBUCIÓN DEL INGRESO
Aunque los precios relativos cambian normalmente cuando cambia r, como se muestra en Sraffa (1983:3738), la proposición (e) del teorema 1 significa que para cualquier r ∈ [0,R[ los precios relativos son los mismos si el trabajo se paga enteramente al principio o al final de la producción y también si una parte es pagada en la primera fecha y el resto en la segunda.7 Por un procedimiento similar al que se sigue en la demostración de (e) del teorema 1, lo mismo puede demostrarse respecto a cualquier calendario de pagos salariales a condición que los trabajadores reciban la misma fracción de su salario en cada fecha de pago en todas las industrias. Sin embargo, este no sería el caso si las ramas industriales siguen distintos calendarios de pago. Por ejemplo, empezando en una situación en la que los salarios se pagan al final de la producción si la primera industria decide efectuar este pago al principio sus costos aumentarán para cada r > 0, pero esto no afectará a aquellas industrias en las que el primer bien no participa en la producción. Como mostraremos enseguida, estos resultados tienen algunas consecuencias sobre la relación entre los precios y la distribución del ingreso.
Las siguientes dos ecuaciones se infieren respectivamente de [5.a] y [5.b]:

Como puede apreciarse en [3.a], KS depende sólo de los precios relativos y por ello (e) del teorema 1 implica que para cualquier r ∈ [0,R[ la magnitud de KS será la misma independientemente de t. En consecuencia, de acuerdo con [6.a], para todo r ∈ [0,R[ rw es una función monótona decreciente de t que alcanza su valor mínimo cuando todo el salario es adelantado y el máximo cuando se paga al final de la producción. Por otra parte, de acuerdo con [6.b], para todo w ∈]0,1[ r es una función monótona creciente de t que alcanza sus valores máximo y mínimo respectivamente cuando el total del salario es pagado al principio y al final de la producción. Coincidiendo con lo que señalamos en la sección anterior, estas ecuaciones muestran que la importancia de t viene de la diferencia entre los salarios pagados y el costo de la fuerza de trabajo. Ambas cantidades son iguales sólo si t = 0 o si r = 0, de otro modo el costo de la fuerza de trabajo incluye una parte de ganancias de tal modo que es mayor que w. La figura 1 ilustra estos resultados presentando las gráficas de las funciones w0 y w1, que corresponden respectivamente t = 0 y t = 1 en un sistema que produce una unidad de un cierto bien con media unidad del mismo bien y una unidad de trabajo.

Pueden obtenerse esas funciones sustituyendo en [6.a] KS por 1 en los dos casos, t por 0 en el primer caso y por 1 en el segundo. Cuando r = 1/2, w adopta cada valor del intervalo [1/3,1/2] conforme t diminuye de 1 hasta 0. En la misma figura se puede observar que para cada w ∈]0,1[ habrá un intervalo de valores posibles de la tasa de ganancia y también que ésta puede adoptar cualquier valor perteneciente a él dependiendo del calendario particular que se sigue para el pago de los salarios. Por ejemplo, si w = 1/3 la tasa de ganancia adopta cada valor del intervalo [1/2,2/3] conforme t disminuye de uno a cero. Estos resultados significan que la distribución del ingreso entre salarios y ganancias no determina la tasa de ganancia (y en consecuencia tampoco los precios relativos) ni viceversa, pero cada una de estas variables determina los límites del intervalo en el que la otra adopta sus valores, el cual se fija una vez definido el calendario de pagos salariales. Alternativamente, se puede decir que r determina w y viceversa con la condición de que no sólo el programa de producción sino también t esté dado.
LA FORMA DE LA CURVA SALARIOGANANCIA
Dado que KS > 0, las ecuaciones [6.a] y [6.b] implican respectivamente las siguientes desigualdades, válidas para todo r ∈ [0,R[:

Cada una impone una restricción en la variable aislada en cada caso que depende sólo del valor de las otras variables. Por este motivo, la restricción sobre cada variable es independiente de la técnica utilizada y es la misma para todos los sistemas de tipo [1] que comparten los mismos valores en el lado derecho de la ecuación correspondiente. Debe señalarse que cuando t tiende a cero, el límite de 1/(1 + tr) es 1 y el de (1 w)/wt es + ∞. Por lo tanto, cada desigualdad establece una restricción efectiva sólo si t > 0, pero no cuando todo el salario se paga al final de la producción.
Si r ≥ 0, 1/(1 + tr) es estrictamente convexa y además es monótona decreciente con respecto a t y r. Su valor es 1 cuando r = 0 y tiende a cero cuando r tiende a infinito, como se muestra en la figura 1. La altura de esta curva aumenta cuando t disminuye, de tal modo que tiende a identificarse con la recta horizontal de altura igual a 1 cuando t tiende a cero. Dada una función f perteneciente a W y un rb en el intervalo correspondiente ]0,R], sea Srb la función que determina para cada r la altura de la recta que pasa por los puntos (0,1) y (rb,f(rb)). De este modo:

Debe mencionarse que, si f es una función w(r), el valor absoluto de la pendiente de esta recta (que es igual a la cantidad multiplicada por r en esta ecuación) es igual a K cuando r = rb, de acuerdo con [5.b]. En un caso particularmente importante para este estudio, cuando rb = R, SR se puede establecer sustituyendo en [8]f (rb) por 0 y rb por R. Después de simplificar se obtiene SR(r) = 1 r/R ∀ r.
Distingamos cuatro subconjuntos de Wetiquetándolos desde W1 hasta W4, los cuales son descritos a continuación. El primero es integrado por todas las funciones cuya gráfica es un segmento de recta. Por lo tanto, contiene sólo aquellas funciones que verifican

W2 incluye las funciones que se encuentran enteramente por encima o por debajo de SR, excepto por sus puntos extremos. Entre las funciones w(r), contiene sólo aquellas que satisfacen una de las desigualdades siguientes:

W3 está integrada por dos tipos de funciones que llamaremos sobre y bajo Sr si, dado cualquier rb ∈ [0,R[, el nivel correspondiente de la función está respectivamente por encima o por debajo de Srb para todo r ∈ [0,rb[. Finalmente, W4 contiene dos tipos de funciones bien conocidas que se definen como estrictamente cóncavas o estrictamente convexas si dado cualquier par de valores sucesivos (ra,rb) ∈ [0,R[, para todo r ∈ [ra,rb[, el nivel correspondiente de la función está respectivamente encima o debajo de la recta determinada por los puntos (ra,f(ra)) y (rb,f(rb)). Diremos que cada una de las funciones pertenecientes a los conjuntos W1 y W4 poseen un perfil singular.8
La desigualdad [7.a] impone algunas restricciones en las formas posibles de las funciones w(r) que se establecen en los siguientes dos teoremas. El primero de ellos concierne a W1 y W2 y el segundo a W3 y W4. Sus demostraciones están basadas en la proposición siguiente.
Lema 1. Sea rx > 1/t. Para cada r ∈]0,rx[ la altura del segmento de recta que pasa por los puntos (0,1) y (rx,0), comparada con 1/(1 + tr), es: a) mayor si 0 < r < rx 1/t, b) igual si r = rx 1/t y c) menor si r > rx 1/t.
Prueba. Para todo rx > 0, la ecuación de la recta que contiene el segmento [(0, 1),(rx,0)] es 1 r/rx = (rx r)/rx. Por lo tanto, la diferencia entre las dos funciones es igual a (rx r)/rx 1/(1 + tr); haciendo la sustracción se obtiene (rx + rxtr r tr2 rx)/[rx(1 + tr)], simplificando y dividiendo (dado que r > 0) el numerador por tr, el cociente se puede escribir como [(rx 1/t r)(tr)]/[rx(1 + tr)]. En consecuencia, la diferencia es mayor, igual o menor que cero respectivamente si r es menor que, igual y mayor que rx 1/t, terminando la prueba.
Se ilustra este lema en la figura 2: cuando rx = 3/2 y t = 1, la ecuación de la recta correspondiente es 1 2r/3: su altura es mayor, igual o menor que 1/(1 + tr) cuando r es respectivamente menor, igual y mayor que 1/2.

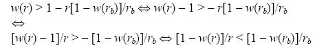
Teorema 2. La función w(r): a) puede ser recta o sobre SR sólo si R ≤ 1/t y b) está bajo SR cuando R > 1/t, si pertenece a W2.
Prueba. De acuerdo con (b) del lema 1, si R > 1/t existe un r ∈ [0,R[ tal que SR(r) = 1/(1 + tr); si [9] o bien si [10.a] es válida, este r también verifica w(r) ≥ 1/(1 + tr) contradiciendo [8], lo que prueba (a). Por lo tanto, si R > 1/t y w(r) pertenece a W2 sólo [10.b] puede ser verificada. Por esta razón está bajo SR, con lo que termina la prueba.
Las gráficas de las funciones w0 y w1 se presentan en la figura 1 son respectivamente una recta y una curva bajo SR. La gráfica de la función w(r) correspondiente al siguiente sistema

está sobre SR, como puede apreciarse en la figura 2.
La distribución del ingreso en [11] está determinada por:

Estas conclusiones se establecen en el Apéndice B, donde se analiza [11].
Teorema 3. Si w(r) pertenece a W3 o a W4, puede ser: a) estrictamente cóncavo o sobre Sr sólo si R < 1/t y b) sólo estrictamente convexo o bajo Sr si R > 1/t.
Prueba. La función w(r) es estrictamente cóncava o sobre Sr sólo si [10.a] se verifica, lo que implica que R < rb/[1 w(rb)] para todo rb ∈ [0,R[. Esto nos permite comprobar que, para cada rb ∈ [0,R[, el valor de r (rx) en la intersección de Srb(r) con el eje horizontal es mayor que R. En efecto, sustituyendo en [8] Srb(r) por 0, f por w y r por rx obtenemos 0 = 1 rx[1 w(rb)]/rby, como consecuencia, rx = rb/[1 w(rb)]. Por lo tanto, si R ≥ 1/t tenemos rx > 1/t; este resultado y (a) del lema 1 implican que hay al menos un r ∈ [0,rb[ tal que Srb(r) > 1/(1 + tr). El hecho de que w(r) sea estrictamente cóncava o sobre Sr implica que este valor de r también verifica la desigualdad w(r) > Srb(r) y, por lo tanto, w(r) > 1/(1 + tr) contradiciendo [8], lo que prueba (a). Por otra parte, las ecuaciones [9] y [10.a] se pueden satisfacer sólo si R < 1/t de acuerdo con (a) del teorema 2. Por lo tanto, si R > 1/t y w(r) pertenece a W3 o a W4, sólo [10.b] puede ser verificada; por lo que w(r) puede ser tan sólo estrictamente convexa o bajo Sr, terminando la prueba.
Las implicaciones de [7.a] sobre las formas posibles de la función w(r) establecidas en esta sección tienen algunas consecuencias para los PWE que se estudian a continuación. Antes de eso presentaremos una fórmula para estimar el capital que es sólo función de r y t.
Teorema 4. Si r ∈ [0,R[, entonces

Prueba. De [3.b] y [7.a] tenemos que 0 ≤ w(r) < 1/(1 + tr) ∀ r ∈ [0,R[, de tal modo que 0 ≥ w(r) > 1/(1 + tr) y 1 > 1 w(r) > 1 1/(1 + tr). Como 1 1/(1 + tr) = r/(1/t + r), dividiendo entre r las últimas desigualdades resulta 1/r ≥ [1 w(r)]/r > 1/(1/t + r), sustituyendo el término medio de esta expresión por su equivalente de acuerdo con [5.b], tenemos finalmente (1/r) ≥ K(r) > 1/(1/t + r). Por lo tanto, K(r) puede estimarse como el promedio de los valores extremos del último intervalo con un error máximo igual a 1/2 de la diferencia entre estos dos valores. Su suma es (1 + 2tr)/[r(1 + tr)] y su diferencia es 1/[r(tr + 1)]; dividiendo las dos fórmulas por 2 se completa la prueba.
El máximo error posible en esta fórmula como fracción de la estimación es {1/[2r(tr + 1)]}/{(1 + 2tr)/[2r(1 + tr)]} = 1/(1 + 2tr). En consecuencia, la fracción es una función monótona decreciente de r y de t que tiende a 1 cuando el producto tr tiende a cero y a 0 conforme el producto crece. Debido a ello, la fórmula es menos buena para pequeños valores de t y r, pero su precisión se acrecienta de modo notable cuando los valores de t y r crecen. Por ejemplo, cuando t = 1 y r es sucesivamente igual a 2, 5, 10 y 20, el error máximo como fracción de la estimación es respectivamente igual a 1/5, 1/11, 1/21 y 1/41.
La proporción entre la inversión y el ingreso real, como los otros precios relativos, depende poruna parte de la tecnología descrita por los coeficientes técnicos y, por otra, de los valores de r y t. De acuerdo con [13], la primera parte disminuye conforme el producto tr aumenta.
EFECTOS WICKSELL SOBRE LOS PRECIOS
A continuación introducimos algunas relaciones entre K(r) y la forma de la función w(r).
Teorema 5. Los siguientes son tres pares de proposiciones equivalentes en el sentido de que cada una de ellas implica a la otra que pertenece al mismo par: a) K(r) es monótona decreciente y w(r) está sobre Sr, b) K(r) es constante y w(r) es recta y c) K(r) es monótona decreciente y w(r) está bajo Sr.
Prueba. La función w(r) está sobre Sr si ∀rb ∈ [0,R[ y r ∈ [0,rb[:

Dado que r < rb, la última desigualdad implica, según [5.b], que K(r) es una función creciente ∀r ∈ [0,R[. En consecuencia, si K(0) > K(rx) para un rx ∈ [0,R[, existe un rb ∈ [0,rx[ tal que K(0) > K(rb), pero como K(r) es continua también hay en este caso un r ∈ [0,rb[ para el cual K(r) > K(rb), contradiciendo el resultado previo y demostrando que K(r) es una función creciente ∀ r ∈ [0,R[. Ahora bien, si este es el caso, la última de las cuatro desigualdades equivalentes se verifica ∀rb ∈ [0,R[ y r ∈ [0,rb[ de tal modo que w(r) está sobre Sr de acuerdo con el argumento que empieza con esta desigualdad yendo hacia atrás, lo que prueba (a). Para probar (b) y (c), es suficiente sustituir en la prueba anterior algunas palabras y ciertos símbolos fáciles de identificar, además de hacer algunos pequeños cambios en el caso de (b) cuando r = 0.9
Estos resultados permiten establecer a continuación una relación entre los cambios en K(r), la forma de w(r) y las restricciones presentadas en la sección precedente.
Teorema 6. Si K(r) es una función monótona puede ser: a) creciente sólo si R < 1/t, b) constante sólo si R ≤ 1/t y c) sólo decreciente si R > 1/t.
Prueba. (a) del teorema 5 y (a) del teorema 3 implican (a); (b) del teorema 5 y (a) del teorema 2 implican (b), mientras que (c) del teorema 5 y (b) del teorema 3 implican (c), terminando la prueba.
Las conclusiones recién establecidas no excluyen que en algunos sistemas viables el capital pueda crecer y disminuir cuando r aumenta. Sin embargo, dadas las restricciones impuestas por [7.a] para cualquier t, cuando R aumenta la fracción del intervalo ]0,R[ sobre el que la gráfica de w(r) puede ser cóncava o recta, disminuye. Una consecuencia de esto es que, si se adopta un supuesto particular, el PWE tenderá a ser preponderantemente positivo, un resultado que se basa en la proposición siguiente:
Teorema 7. Dado un par (rx,r) ∈ [0,R[ tal que rx> r y rx > 1/t, si la tasa de ganancia disminuye desde rx hasta r, el PWE puede ser neutro o negativo solo si r > rx 1/t.
Prueba. Por cada rx ∈ [1/t,R[ tenemos w(rx) ≥ 0, por lo que K(rx) ≤ 1/rx de acuerdo con [5.b]. Por otra parte, como se establece en (a) y (b) del lema 1, si r ≤ rx 1/t entonces 1 r/rx ≥ 1/(1 + tr). Esta desigualdad y [7.a] implican que 1 r/rx > w(r) si r > 0 de tal modo que r/rx 1 < w(r) y r/rx < 1 w(r). Como r > 0, dividiendo la última desigualdad por r resulta 1/rx < [1 w(r)]/r. En consecuencia, 1/rx < K(r) para todo r ∈ [0,rx 1/t]. Por otra parte, K(0) = KS(0) + w(0)t; dado el hecho que w(0) = 1, se sigue que K(0) > t y como rx > 1/t obtenemos 1/rx < t < K(0). Por lo tanto, 1/rx < K(r) para todo r ∈ [0,rx 1/t]. Esto nos permite concluir que K(rx) < K(r) para cada r ∈ [0, rx 1/t] de tal modo que si r ≤ rx 1/t el PWE es positivo, terminando la prueba.
A cada vector (rx,r) que verifica 0 ≤ r < rx ≤ R corresponde un PWE que resulta como consecuencia de la reducción de la tasa de ganancia desde rx hasta r. Dado un sistema de tipo [1], sea W(R) el conjunto de todos los vectores que satisfacen la condición expresada. Este es igual a la superficie triangular determinada por los puntos (0,0), (R,0) y (R,R) excepto por el segmento [(0,0),(R,R)], como se muestra en la figura 3.

Para cualquier rx > 0, todos los posibles PWE están asociados con los puntos del segmento vertical [(rx,0),(rx,rx)[. De acuerdo con el teorema 7, si rx > 1/t, los efectos asociados con los puntos en el segmento [(rx,0),(rx,rx 1/t)] son todos positivos, mientras que los que no son positivos pueden asociarse sólo con los puntos contenidos en ](rx,rx 1/t),(rx,rx)[, aunque los efectos correspondientes a cualquiera (o a todos) los puntos en este segmento también pueden ser positivos.
Con el propósito de calcular una cota superior para la proporción entre los PWE no necesariamente positivos y los positivos dado un sistema [1], es conveniente considerar un número natural G > 2 e inscribir G 1 segmentos rectos verticales y G 1 segmentos rectos horizontales en W(R) separando cada par de líneas paralelas una distancia igual a R/G como se muestra en la figura 3. Supongamos que G es tan grande que la diferencia entre dos puntos cualesquiera contenidos dentro del mismo cuadrado de lado R/G es indiferente para todos los agentes. Dado este supuesto, es suficiente considerar (desde el punto de vista de estos últimos) sólo aquellos PWE asociados con el conjunto W(R) ∩ {G(R) x G(R)}, donde G(R) = {R/G, 2R/G, ..., R}. Entonces, para cada G dado, la proporción expresada arriba no es mayor que el cociente del número de elementos de dos subconjuntos de cuadrados de lado igual a R/G cuya esquina inferior derecha está contenida en W(R), los cuales están separados por la recta de pendiente igual a 1 que pasa por el punto (1/t,0): el de los que tienen la esquina arriba de la recta y el de los que la tienen sobre y bajo la misma. Dado que esta cantidad normalmente cambia de acuerdo con el tamaño de G, es conveniente definir la cota superior calculada aquí como el límite del último cociente cuando G tiende a + ∞. Consecuentemente, la proporción entre los dos grupos de PWE no es mayor que el límite de la proporción entre las dos cantidades apenas definidas cuando R/G tiende a cero. Por lo tanto, es igual a la proporción entre las áreas de las secciones correspondientes de W(R), que está determinada por [R2/2 (R 1/t)2/2]/[(R 1/t)2/2] = [R2 (R 1/t)2]/(R 1/t)2; dividiendo cada término del lado derecho de esta ecuación por su denominador y simplificando, llegamos a la siguiente conclusión:
Lema 2. Para cualquier t, la proporción entre los PWE no necesariamente positivos y los positivos en un sistema de tipo [1] en donde R > 1/t no es mayor que [R/(R 1/t)]2 1.
Este lema nos permite observar que, para cualquier t, la cota superior para la proporción entre los dos tipos de efectos disminuye conforme R aumenta y también que tiende a cero cuando R tiende a + ∞. Además, para cualquier R dado, la cota superior crece conforme t disminuye y tiende a + ∞ cuando t tiende a 1/R. Sin embargo, cuando R crece manteniéndose t constante, el incremento en la preponderancia de los PWE positivos es segura, algo que no ocurre necesariamente con los PWE no positivos en la segunda situación. Aunque el tema trasciende el alcance de este artículo, un aspecto interesante de estos resultados es que contribuyen al estudio de esta proporción, relacionada con un debate teórico expuesto por Harcourt (1972), sobre bases empíricas. En efecto, de acuerdo con el lema 2, la pregunta acerca de la proporción entre los dos grupos de PWE en un sistema productivo, ya sea actualmente o como tendencia, puede recibir una respuesta aproximada si se cuenta con una estimación confiable sobre, respectivamente, los valores presentes y futuros de R y t (si R > 1/t).
Finalmente, como se afirma en la introducción, el acervo de capital podría variar en una dirección distinta a la del capital. Se ilustra esto mediante el sistema cuya curva salarioganancia aparece en la figura 1: KS es constante mientras que el capital disminuye en forma monótona cuando r crece si t =1. También, las variaciones de KS no están sujetas a las restricciones que existen en los cambios del acervo de capital derivadas de [7.a], como se prueba en la proposición siguiente:
Lema 3. La desigualdad [7.a] no impone ninguna restricción sobre el acervo de capital.
Prueba. Resolviendo [5.a] para KS, obtenemos KS = [1 w(1 + tr)]/r; sustituyendo el salario actual por el actualizado en esta fórmula se obtiene KS = [1 w(r)]/r. En consecuencia, las variaciones de KS dependen de la forma de la función w(r), como puede inferirse del teorema 5. Sin embargo, cualquiera que sea la forma de esta función o el valor de R, para todo r ∈ [0,R[ w(r) < 1 de tal modo que w(1 + tr) < 1, lo que implica que en cada caso [7.a] se verifica.
CONCLUSIONES
El estudio precedente muestra que el calendario de pagos salariales constituye una variable relevante para el análisis de la interdependencia entre los precios y la distribución del ingreso. Esta conclusión reposa principalmente en los resultados de la investigación sobre dos subconjuntos de temas: a) los efectos del calendario señalado sobre la distribución del ingreso que corresponde a cada nivel de la tasa de ganancia compatible con un programa de producción dado y b) las restricciones que pesan sobre las formas posibles de la curva salarioganancia, determinadas por el mismo calendario junto con la tasa máxima de ganancia, las cuales permiten formular algunas proposiciones generales que relacionan estas dos variables y los PWE. Se puede decir que estos resultados son una consecuencia de la distinción, estudiada en la tercera sección, entre la suma de los salarios y el valor actualizado de los mismos al final de la producción, que corresponde desde el punto de vista del empresario a la distinción entre la participación del trabajo en el ingreso real y el costo salarial.
Por otra parte, el modelo introducido aquí alude aun conjunto de casos que también es analizado parcialmente por una literatura extensa y diversa. Por este motivo, un examen apropiado de la misma sobrepasa el alcance del presente artículo, aunque las siguientes observaciones junto con algunos comentarios ya expuestos a lo largo del texto ayudarán a distinguir las contribuciones sobre el fondo de los estudios previos.
Con este fin, es conveniente distinguir tres posiciones relevantes en la literatura económica con respecto al pago de los salarios. La primera fue argumentada por Smith (1992) para quien el pago se hace generalmente al principio de la producción, lo que implica que el salario es normalmente parte integrante del capital, un supuesto compartido por otros economistas clásicos.10 En contraposición, Marx (2000) sostiene que los salarios siempre se pagan al final del periodo establecido por el contrato de trabajo y señala que por este motivo los trabajadores dan crédito a las empresas. Como el crédito va en el sentido opuesto cuando los salarios son avanzados, se puede concluir que la diferencia entre el salario y el costo del trabajo no escapó a su atención. Sin embargo, Marx decidió suponer de manera provisional que t=1 considerando que con ello no se altera la naturaleza del intercambio de mercancías, algo confirmado por (e) del teorema 1, en lo que respecta a los precios relativos.11 Con relación a este punto, Negishi (1985:7376) afirma que el supuesto de que los salarios no se pagan con el producto pasado sino con el corriente es propio de la escuela postwalrasiana mientras que el adelanto de los salarios es más compatible con la teoría marxista. La tercera postura considera el pago de una parte de los salarios al principio de la producción y el resto a su término, lo cual es lo más adecuado de acuerdo con Sraffa (1983). Sin embargo, Sraffa escogió 0 como el único valor de t en su modelo, probablemente suponiendo que esta variable no afecta las tesis expuestas en su libro.12
Desde nuestro punto de vista, la determinación del valor de t que representa mejor el calendario de los pagos salariales en una economía dada requiere de estudios empíricos, los cuales pueden ser estimulados por la relevancia de esta variable, suficientemente argumentada en lo que precede. No obstante, dado que el trabajo teórico sobre el tema se puede realizar independientemente de los resultados de dicha investigación, consideramos aquí todos los valores posibles de t. Por otra parte, puede decirse que el enfoque seguido es más cercano al que prefiere Sraffa que a los otros dos. Sin embargo, el análisis precedente no requiere la hipótesis de que la fracción de los salarios avanzada cubre los gastos de subsistencia de los trabajadores, propuesta por Sraffa.13 Además, su afirmación de que los resultados de su libro son compatibles con esta interpretación más adecuada del pago de los salarios no puede ser discutida aquí porque esto exigiría el estudio detallado de varios temas.
La existencia de una diferencia en la forma de la curva salarioganancia debida al pago del total de los salarios al principio o al final de la producción ya ha sido advertida, por ejemplo en Bidard (2004:39), Pasinetti (1977:131132) y Kurz y Salvadori (1995:54). Pese a ello, hasta donde se sabe, no es éste el caso con las relaciones entre las diferentes formas de dicha curva, la tasa de ganancia máxima y los distintos calendarios para el pago de los salarios.
Finalmente, Broome (1983:56) establece que "los efectos Wicksell son una molestia en la economía. El problema es que son impredecibles. Un cambio en la distribución cambiará los requerimientos de capital en las diferentes industrias, pero no existe una regla simple que nos diga en cuál dirección y con qué magnitud". A este respecto, puede decirse que los teoremas 2 y 3 proveen reglas simples que reducen las formas posibles de la curva salarioganancia; el teorema 7 ofrece otra regla que nos dice en qué sentido cambia la magnitud del capital y el teorema 4 nos da una fórmula que permite estimar la magnitud del cambio. Ninguna de estas reglas es general, pero cada una cubre un número de casos que puede ser grande, dependiendo de los valores de t y R. Debe agregarse que hasta donde se sabe el comentario de Broome es aún válido si se considera la literatura que fue publicada después de la aparición de su libro.14
REFERENCIAS
Bidard, Ch., Prices, Reproduction, Scarcity, Cambridge, Cambridge University Press, 2004. [ Links ]
Broome, J., The Microeconomics of Capitalism, Nueva York, Academic Press, 1983. [ Links ]
Dorfman, R., P. Samuelson y R.M. Solow, Linear Programming and Economic Analysis, Nueva York, McGrawHill Book Company, 1958. [ Links ]
Harcourt, G.C., Some Cambridge Controversies in the Theory of Capital, Cambridge, Cambridge University Press, 1972. [ Links ]
Hawkins, D., "Some conditions of macroeconomics stability", Econometrica, vol. 16, 1948, pp. 309322. [ Links ]
Kurz, H.D. y N. Salvadori, Theory of Production, Cambridge, Cambridge University Press, 1995. [ Links ]
Leontief, W., InputOutput Economics, Nueva York, Oxford University Press,1966. [ Links ]
Marx, K., El Capital, México, Fondo de Cultura Económica (FCE), 2000. [ Links ]
Morishima, M., Marx's Economics, Cambridge, Cambridge University Press, 1973. [ Links ]
Negishi, T., Economic Theories in a nonWalrasian Tradition, Cambridge, Cambridge University Press, 1985. [ Links ]
Pasinetti, L.L., Lectures in the Theory of Production, Nueva York, Columbia University Press, 1977. [ Links ]
Ricardo, D., Principios de Economía Política y Tributación, México, FCE, 1965. [ Links ]
Roemer,J.E., Value, Exploitation and Class, Church, Harwood Academic Publishers,1983. [ Links ]
, AnalyticalMarxism, Cambridge, Cambridge University Press/Editions de la Maison de L'Homme, 1993. [ Links ]
Samuelson, P.A., "Parable and realism in capital theory: the surrogate production function", Review of Economic Studies, vol. 29, 1962, pp. 193206. [ Links ]
Seneta, E., Non Negative Matrices and Markov Chains, Nueva York, SpringerVerlag, 1981. [ Links ]
Smith, A., La Riqueza de las Naciones, México, fce, 1992. [ Links ]
Sraffa, P., Producción de Mercancías por Medio de Mercancías, Barcelona, OikosTau, 1983. [ Links ]
Takayama, A., MathematicalEconomics, 2ª edición, Cambridge, Cambridge University Press, 1987. [ Links ]
* El autor agradece los valiosos comentarios de dos dictaminadores anónimos de la revista.
** JEL: Journal of Economic LiteratureEconlit.
1 Alternativamente, el concepto de PWE puede reservarse para los cambios en el acervo de capital, introduciendo algún otro término para designar los cambios en el capital invertido. También, se puede distinguir entre dos tipos de PWE que afecten respectivamente el capital invertido y el acervo de capital. Además de la justificación indirecta de los argumentos de Broome, la opción elegida aquí parece ser la más simple.
2 Para simplificar, también nos referiremos a los índices como bienes.
3 Si se supone que cada fracción de salario paga la misma cantidad particular de trabajo, se puede interpretar también lj como la cantidad de trabajo consumida en la jésima industria. Sin embargo, esto no se requiere para los propósitos del artículo. Kurz y Salvadori (199:116) presentan algunas referencias sobre el uso de la unidad de salario en la literatura económica.
4 Pasinetti (1977:134) afirma que cuando los salarios se pagan al principio de la producción no forman parte de la noción clásica del producto neto. Sin embargo, independientemente del calendario de pagos salariales, el valor del ingreso real es igual al ingreso neto.
5 Desde el punto de vista de los trabaj adores, la ganancia mencionada en el ejemplo podría considerarse como un ahorro. Sin embargo, acentuemos que como el salario no cambia, la parte del ingreso real que se obtiene de esta manera corresponde a la ganancia, un aspecto del interés subrayado por Marx (2000, vol. III: 355) quien escribió: "El interés, como hemos visto en los dos capítulos anteriores, aparece primitivamente, es primitivamente y sigue siendo en realidad, simplemente una parte de la ganancia [...]".
6 Sea D el conjunto de todos los bienes producidos por i. Como [1] es viable al menos un bien j perteneciente a D es consumido en la producción de los bienes de D en menos de una unidad. Dado que el excedente correspondiente no es consumido en la producción de ningún bien, forma parte del ingreso real.
7 Bidard (2004:9) muestra que, si r es constante, los precios relativos son independientes del pago de la totalidad de los salarios ante o postfactum.
8 Puede haber funciones cóncavas y convexas en W1 que no pertenecen a W3 y funciones que pertenecen a este último conjunto que no son cóncavas ni convexas. Ejemplos de los primeros dos casos son las funciones de W2 cuyas gráficas consisten en dos segmentos de recta que se unen respectivamente sobre o bajo SR y de los dos últimos casos las funciones que pertenecen a W3 y que son estrictamente cóncavas o convexas sobre [0,R/2] y respectivamente, estrictamente convexas y cóncavas sobre [R/2,R]. También conviene notar que W4 ⊂ W3 ⊂ W2 pero W2 ⊄ W3 ⊄ W4. En efecto, W2 ⊄ W3 como puede comprobarse con el primer par de ejemplos mencionados y el hecho de que W3 ⊄ W4 se verifica con los últimos dos ejemplos.
9 Harcourt (1972:3943) muestra que, si la gráfica de w(r) es estrictamente cóncava, recta o estrictamente convexa, K(r) es una función monótona respectivamente creciente, constante o decreciente. También hace referencia a quienes contribuyeron originalmente con estos resultados.
10 "En todas las artes y manufacturas, la mayor parte de los operarios necesita un patrón que les adelante los materiales de su obra, los salarios y el sustento, hasta que la obra se termine." (Smith 1992:64) Y más adelante: "Sin embargo, en todos estos oficios la mayor parte del capital circula en forma de salarios, que se pagan a los obreros, o en el precio de los materiales, recuperándose con un beneficio en el precio del artículo" (op. cit.:253). En el mismo sentido, Ricardo (1965:72) escribió que "El capital es aquella parte de la riqueza de una nación que se emplea en la producción, y comprende los alimentos, vestidos, herramientas, materias primas, maquinaria, etc., necesarios para dar efectividad al trabajo."
11 "En los países en que impera el régimen de producción capitalista, la fuerza de trabajo no se paga nunca hasta que ya haya funcionado durante el plazo señalado en el contrato de compra, v. gr. al final de cada semana. Es decir, que el obrero adelanta en todas partes al capitalista el valor de uso de la fuerza de trabajo y el comprador la consume, la utiliza, antes de habérsela pagado al obrero, siendo, por tanto, éste el que abre crédito al capitalista. [...] Sin embargo, el que el dinero funcione como medio de compra o como medio de pago no altera para nada el carácter del cambio de las mercancías" (Marx 2000:124). Y más adelante añade: "Sin embargo, para enfocar el proceso en toda su pureza, es conveniente partir del supuesto provisional de que al poseedor de la fuerza de trabajo se le abona el precio contractualmente estipulado al momento mismo de venderla" (op. cit.:125).
12 "A la vista de este doble carácter de los salarios, sería apropiado, cuando vengamos a considerar la división del excedente entre capitalistas y trabajadores, separar las dos partes componentes del salario y considerar solo la parte "excedente" como variable; en tanto que los bienes necesarios para la subsistencia de los trabajadores continuarían apareciendo entre los medios de producción, con el petróleo, etc." (Sraffa 1983:25). Y añade: "Evitaremos, sin embargo, en este libro toda intromisión en el concepto tradicional del salario, y seguiremos la práctica usual de tratar todo el salario como variable [...] En cualquier caso, la discusión que sigue puede ser adaptada fácilmente a la interpretación más apropiada, aunque no convencional, del salario, sugerida más arriba" (op. cit.:26).
13 Sobre el salario de subsistencia, Roemer (1993:33) sostiene que en el capitalismo avanzado "los trabajadores escogen de hecho entre diferentes canastas de bienes y no tiene ningún sentido decir que están limitados a la subsistencia".













