Introducción
El agua es uno de los recursos naturales más abundantes del planeta. Aproximadamente el 75% de la superficie terrestre está cubierta por agua, pero solo un 5% es agua dulce disponible para el consumo. Después de las lluvias, la mayor parte del agua se pierde en procesos naturales como la evaporación, la transpiración y la evapotranspiración (Mishra et al. 2023). Es crucial contar con agua de alta calidad para usos agrícolas, industriales y comerciales, además de ser indispensable para el consumo humano y las necesidades domésticas (Kannel et al. 2007).
En las últimas décadas, el aumento en las presiones antrópicas y la explotación excesiva de los recursos hídricos han ocasionado su deterioro (Ŝtambuk‐Giljanović 2003, Mishra et al. 2023). La degradación se atribuye a factores, como la contaminación industrial, el aumento demográfico, el agotamiento provocado por el uso desigual del agua, la disminución de las precipitaciones debido al cambio climático global y la liberación de desechos industriales. Además, la inadecuada gestión de aguas residuales sin tratamiento, la filtración de agua de riego contaminada y productos agrícolas, junto con la ausencia de una planificación efectiva en la administración del agua, son elementos clave que contribuyen al deterioro de este recurso (Al-Ridah et al. 2021, Mohammed et al. 2022). Por esta razón, la actividad de monitoreo es fundamental para la gestión adecuada de los recursos hídricos. De acuerdo con Burt et al. (2016), el monitoreo no solo implica la medición analítica, sino que también es crucial para que estos datos estén accesibles para las autoridades ambientales, la comunidad civil y científica. Además, es esencial evaluar y ajustar diversas metodologías para determinar el enfoque y/o método para evaluar el verdadero estado de las aguas subterráneas y los ríos (Castro et al. 2014).
La formulación del índice de calidad del agua (ICA) fue establecida por Horton (1965), revelando las preocupantes problemáticas ambientales que afectaban a los ecosistemas acuáticos objeto de análisis. A través de la consideración de variables habitualmente monitoreadas, como oxígeno disuelto (OD), coliformes totales, pH, conductividad eléctrica, alcalinidad, cloruros y temperatura, el índice evalúa la contaminación del agua, estandarizando una metodología normalizada. A partir de esto, se han desarrollado múltiples indicadores para evaluar la calidad del agua en diversos cuerpos superficiales y subterráneos, entre ellos, el índice de calidad del agua desarrollado por Brown et al. (1970) el cual es una versión más estructurada del ICA. En 1976 se formula un nuevo índice basado en el NSF-WQI por el Departamento Escocés de Desarrollo de la Investigación utilizado para evaluar la calidad de los cuerpos superficiales. Para los años siguientes, a partir del SRDD-WQI se desarrollaron índices como Bascaron (1979), Steinhart et al. (1982), House (1989) y Dálmata (Ŝtambuk‐Giljanović 2003). Otros desarrollos fundamentales del ICA, fue el índice canadiense de calidad del agua (CCME 2001), índice de calidad del agua de la Columbia Británica (Zandbergen y Hall 1998), índice de calidad del agua de Oregón (Cude 2001) y el índice de calidad del agua de los arroyos de Florida (Kannel et al. 2007). La mayoría de estos modelos, se han desarrollado en razón a la experiencia de expertos y directrices locales, siendo muchos de estos específicos de una región (Sutadian et al. 2016). En los últimos años, se desarrolló el Índice de Malasia (Shuhaimi-Othman et al. 2007), el Índice de Liou y el Índice de Almeida (Akhtar et al. 2021). Lo que ha generado de acuerdo con Uddin et al. (2021) más de 35 indices que evalúan la calidad de los cuerpos de agua, de los cuales el 82% se han empleado para ecosistemas de ríos donde los modelos CCME y NSF tienen más del 50% de aplicación.
Sin embargo, en Colombia a partir del año 2000, el Instituto de Hidrología, Meteorología y Estudios Ambientales (IDEAM) ha llevado a cabo el Estudio Nacional del Agua, en el cual, el monitoreo de la calidad del agua se realiza bajo la inspección de parámetros físicos y químicos, empleando así por primera vez el ICA en sus cuencas hidrográficas, un índice poco usado en el monitoreo de los impactos generados por los vertimientos de aguas residuales urbanas y cuencas fluviales (Samboni et al. 2011). En este caso, la Política Nacional de Gestión Integral de los Recursos Hídricos (PNGIRH) de Colombia estableció en uno de sus objetivos el monitoreo de la calidad del agua reconociendo al recurso como vulnerable y finito. Por lo anterior, el objetivo del presente estudio fue determinar la calidad del agua en una sección del arroyo El Gallinazo mediante el índice ICA.
Materiales y métodos
Descripción del área de estudio
El arroyo El Gallinazo es parte de la microcuenca que lleva el mismo nombre, la cual pertenece a la cuenca de la Quebrada Buturama; este tramo se encuentra dentro de la zona periférica sureste del casco urbano del municipio de Aguachica, Cesar (Figura 1). El tramo alto colinda con un sistema de humedal pantanoso que vierte sus aguas en dicho cauce, las cuales desembocan en el río Magdalena (Saldaña-Escorcia et al. 2022).
Procedimiento de muestreo y análisis
Para el análisis de los parámetros físicos y químicos se recolectaron cuatro muestras, dos en periodos de sequía (diciembre 2022 - marzo 2023) y dos en periodo de lluvia (noviembre 2022 - abril 2023). Las tres estaciones de muestreo (Figura 1) se seleccionaron en base a la facilidad de acceso, condiciones geográficas y representatividad en distribución espacial del cauce; las coordenadas fueron tomadas por medio de un Sistema de Posicionamiento Global (GPS, Garmin Gpsmap 64x).
La temperatura, el pH, la conductividad eléctrica y el oxígeno disuelto (OD) fueron tomados in situ mediante instrumentos calibrados y específicos (Tabla 1). Por otro lado, para los parámetros como DQO, DBO y fosfatos se recolectaron muestras en contra la corriente en botellas de polipropileno lavadas y esterilizadas con capacidad de 1 000 y 500 mL de acuerdo con el manual de instrucciones para la toma, preservación y transporte de muestras de agua (INS 2011); para su procesamiento en laboratorios certificados por IDEAM.
Tabla 1 Parámetros físicos y químicos
| Variable | Unidades | Instrumentos | Modelo | Técnica |
|---|---|---|---|---|
| pH | - | Potenciómetro | HI 98191 | SM 4500 H+B |
| Temperatura del agua (T) | °C | Termómetro | HI 98193 | SM 2250 B |
| Conductividad | μS cm-1 | Conductímetro | HI 9835 | SM 2510 B |
| Oxígeno disuelto (OD) | % Saturación | Oxímetro | HI 98193 | SM 4500 OC |
| Turbidez | NTU | Turbidímetro | HI 93414 | SM 2130 B |
| Fosfatos | mg L-1 PO4 3- | Espectrofotómetro | DR6000 | FM 4500 PD |
| DBO | mg O2 L-1 | SM 5219 B | ||
| DQO | mg L-1 | SM 5220 B |
Índice de calidad del agua (ICA)
Para Colombia, conforme al IDEAM (2021), el ICA se representa mediante un valor numérico que clasifica la calidad del agua de una corriente superficial en una de cinco categorías. En esencia, proporciona información sobre las condiciones físicas, químicas y microbiológicas de un cuerpo de agua, al mismo tiempo que detecta problemas de contaminación mediante el empleo de cálculos basados variables consideradas por el ICA, que se representa con la siguiente ecuación:
Donde: ICAnjt se refiere al Índice de calidad del agua en una corriente superficial específica, en la estación de monitoreo de calidad del agua j durante el tiempo t, siendo evaluado a partir de n variables; Wi representa el ponderador o peso relativo asignado a cada variable de calidad i; y Iikjt indica el valor calculado de la variable i obtenido al aplicar la curva funcional (ecuación) en la estación de monitoreo j, registrado durante la medición realizada en el trimestre k del período t; la variable n representa el número de variables de calidad consideradas en el cálculo del indicador.
Se utilizaron siete parámetros (Tabla 2) para determinar el ICA en las tres estaciones de muestreos seleccionadas a lo largo del tramo alto del arroyo El Gallinazo; ya que estos parámetros son importantes para calcular el índice de calidad del agua para diferentes propósitos.
Tabla 2 Calificación de la calidad del agua (IDEAM 2020)
| Variable | Unidad de medida | Ponderación |
|---|---|---|
| Oxígeno Disuelto - OD | % Saturación | 0.17 |
| DBO | mg O2 L-1 | 0.10 |
| Turbidez | NTU | 0.08 |
| pH | Unidades de pH | 0.12 |
| Conductividad | μS cm-1 | 0.17 |
| Cambio T°C | °C | 0.10 |
| Fosfatos | mg L-1 | 0.10 |
En la interpretación del ICA, los valores potenciales que puede asumir este indicador han sido categorizados bajo los lineamientos del IDEAM, y según estos, se evalúa la calidad del agua de las corrientes superficiales, a los cuales se les ha asignado un código de color como indicador visual, como se indica en la Tabla 3.
Resultados
Parámetros físicos y químicos
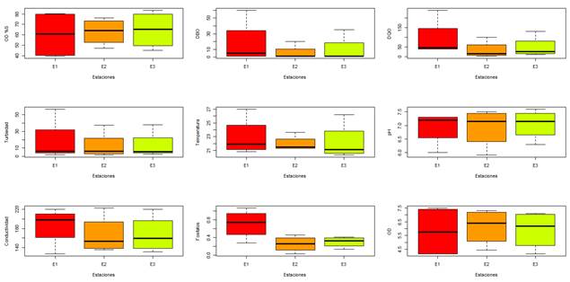
Los parámetros analizados tienen valores que no superan los límites permisibles de contaminación establecidos bajo la Resolución 631 de 2015 de Colombia. El OD presentó un rango entre 39.22 y 83.60 (Valor promedio de 62.71 ± 16.81% Saturación). Para la demanda biológica de oxígeno (DBO) el rango se encuentra entre un valor mínimo de 1 mg O2 L-1 y máximo de 60 mg O2 L-1, con media de 11.08 ± 18.66 mg O2 L-1. Además, la demanda química de oxígeno (DQO) tuvo un rango entre 1 y 240 mg L-1 con media de 57.58 mg L-1, y SD = 68.96 mg L-1; dado a esto, poseen una correlación negativa con el OD como se muestra en la Tabla 4.
Tabla 4 Correlación entre las propiedades físicas y químicas analizadas
| Propiedad | OD | DBO | DQO | Turbiedad | Temperatura | pH | Conductividad | Fosfatos |
|---|---|---|---|---|---|---|---|---|
| OD | 1.00 | (p = 0.009)** | (p = 0.032)* | (p = 0.055). | (p = 0.103). | (p = 0.237) | (p = 0.541) | (p = 0.174) |
| DBO | -0.70 | 1.00 | (p = 0.000)*** | (p = 0.442) | (p = 0.829) | (p = 0.281) | (p = 0.567) | (p = 0.148) |
| DQO | -0.60 | 0.98 | 1.00 | (p = 0.609) | (p = 0.623) | (p = 0.366) | (p = 0.505) | (p = 0.094). |
| Turbiedad | 0.53 | -0.24 | -0.16 | 1.00 | (p = 0.108) | (p = 0.121) | (p = 0.022)* | (p = 0.746) |
| Temperatura | -0.53 | -0.07 | -0.16 | -0.49 | 1.00 | (p = 0.985) | (p = 0.586) | (p = 0.453) |
| pH | -0.37 | 0.34 | 0.29 | 0.47 | 0.01 | 1.00 | (p = 0.015)* | (p = 0.372) |
| Conductividad | -0.16 | 0.18 | 0.21 | -0.65 | 0.17 | -0.68 | 1.00 | (p = 0.292) |
| Fosfatos | -0.43 | 0.44 | 0.50 | 0.10 | 0.24 | 0.28 | 0.33 | 1.00 |
Método de correlación: Pearson, *Nivel de significancia de la correlación: 0 '***' 0.001 '**' 0.01 '*' 0.05 '.'.
Por otro lado, los valores de temperatura muestran un mínimo de 20.3 °C y máximo de 27°C con promedio de 22.36 ± 2.15 °C; este parámetro puede influir en la solubilidad del oxígeno, así como la tasa de biodegradación orgánica de los materiales. Como se evidencia en la Tabla 4, que muestra que la temperatura es tiene correlación negativa con el OD. De igual forma, dicha tabla muestra que el fosfato posee correlación positiva con la DBO y la DQO, pero negativa con el OD; este parámetro posee un rango entre 0.02 y 1.07 mg L-1 con promedio de 0.41 ± 0.30 mg L-1. La conductividad presento un mínimo de 126.3 μS cm-1 y máximo de 223 μS cm-1 con media de 173.05 μS cm-1, y SD de 37.41 μS cm-1, mientras que la turbiedad tuvo un rango entre 1.33 y 56.82 NTU con promedio de 14.41 ± 18.50 NTU; estos parámetros poseen una relación inversamente proporcional. El pH posee un mínimo de 5.9 y máximo de 7.6 con promedio de 6.96 ± 0.58 unidades de pH, este rango indica que el agua se mantiene en un rango ligeramente ácido a neutro.
En la Figura 2, se observa que ciertos parámetros presentan datos atípicos, puesto que los bigotes se encuentran fuera del rango intercuartílico, entre estos, DQO, DBO, la conductividad y turbiedad del agua en las estaciones de muestreo, indicando que hay algunas estaciones del año en las que la calidad del agua puede empeorar.
Índice de calidad del agua (ICA)
El primer y segundo muestreo (M1, M2) tuvieron un promedio de 0.48 puntos dentro del ICA (Figura 3b), lo que indica mala calidad del agua; mientras que la estación dos (E2) alcanzó un máximo de 0.50 del M1 y en la estación tres (E3) del M2 (Figura 3a). Por otro lado, durante el tercer (M3) y cuarto muestreo (M4) el promedio bajó un punto dentro del rango del ICA (Figura 3a). Durante el periodo de sequía (marzo 2023) se evidenció el valor más bajo (0.42) en la primera estación (E1) de ambos muestreos (Figura 3b). No obstante, en la E2 y E3 del M4 el valor del ICA supero el valor máximo del periodo de lluvia (abril 2023) con 0.53; manteniendo aun así una calificación mala dentro del rango del ICA (Figura 3a).
Del mismo modo, el M2 presenta el ICA promedio más alto (aproximadamente 0.48), mientras que M3 tiene el promedio más bajo (alrededor de 0.43) (Figura 3b). Además, la variabilidad en las mediciones se refleja en los diferentes valores obtenidos en cada estación. Por ejemplo, en el M4, se observa una mayor variabilidad con valores que van desde 0.42 hasta 0.53 (Figura 3a).
Discusión
El pH es un parámetro importante para la vida acuática, ya que afecta la disponibilidad de nutrientes y la toxicidad de algunos contaminantes. Este parámetro muestra una oscilación entre el límite para el desarrollo de los organismos acuáticos, según Rubio et al. (2014) el valor natural del pH del agua tiene un rango entre 6.5 y 8.5; fuera de este rango ocasiona estrés a los organismos y la muerte de los mismos. En el caso de OD presento un rango de variación relativamente amplio, y es un parámetro importante para la vida acuática, ya que es fundamental para la variación y supervivencia de los organismos (Ibana-Lopez et al. 2021). Es así, que la influencia de la época de sequía (muestreo de marzo 2023) y los vertimientos agropecuarios (monocultivos y ganadería) en la zona contribuyeron a la acidez del agua; viéndose reflejada en la E2. En este tipo de situaciones la variación amplia de los parámetros indica que la calidad del agua puede variar en diferentes puntos del cuerpo de agua. Por lo cual, se deben ejecutar mediciones periódicas para evaluar las tendencias de pH a lo largo del tiempo para identificar patrones y posibles causas subyacentes (Avelar-Roblero et al. 2023).
Asimismo, la capacidad del agua para retener oxígeno disuelto disminuye a medida que aumenta la temperatura. Esto se debe a que el agua se calienta debido a la radiación solar tiene una menor solubilidad de gases, incluido el oxígeno. Este comportamiento se refleja en una correlación negativa moderada entre OD y temperatura, como se muestra en la Tabla 4. Este tipo de correlación no es fácil de explicar, por lo que es una explicación parcial, ya que las variaciones diurnas de oxígeno no son simplemente una función de la intensidad de la luz solar, sino que dependen de una combinación de factores complejos (Muñoz et al. 2015). De igual manera, el OD tienen correlación negativa fuerte con otros parámetros, entre ellos, la DQO y DBO; puesto que a una mayor carga orgánica consume más oxígeno para la degradación de estos compuestos, lo que reduce la cantidad de oxígeno disponible para otros procesos biológicos y químicos en el agua (Salih et al. 2021).
Por otro lado, la DBO y la DQO presentan valores elevados, lo que indica que hay una cantidad significativa de materia orgánica presente en el agua (Sharma et al. 2020). Esto se debe a factores sociodemográficos como la contaminación por vertimientos de aguas residuales, siendo esta la principal causa dado a que la población aledaña no cuenta con conexión a la red de alcantarillado. Asimismo, hay presencia de agricultura (maíz y yuca) así como actividad ganadera (bobina, bufalina y equina) en las zonas circundantes a la sección del arroyo estudiado (Saldaña-Escorcia et al. 2022). En tercer lugar, los valores bajos de turbiedad (1.33 NTU) pueden reflejar condiciones relativamente limpias y estables, mientras que los valores altos (56.82 NTU) pueden ser indicativos de eventos de contaminación. Esto también podría deberse a factores como la contaminación por aguas residuales, la agricultura, o la ganadería que alteran la calidad del agua (Ruiz-Chugden 2021).
Del mismo modo, la presencia de fosfatos en el agua puede provenir de diversas fuentes, como el uso de fertilizantes agrícolas, detergentes y vertimientos puntuales de aguas residuales en la zona, lo que a su vez aumenta la DBO y DQO, y muestra la correlación directa, así mismo, indica que a una mayor concentración de fosfatos se asocia con mayor conductividad del agua (Gómez-Castañeda et al. 2021, Bolaños-Alfaro et al. 2017). El aumento en la concentración de estos parámetros puede ser causado por una serie de factores, incluyendo el uso de fertilizantes en las áreas circundantes, el vertido de aguas residuales de origen doméstico o industrial y la erosión del suelo.
La Figura 3a-b, muestra la clasificación de la calidad del agua del tramo alto del arroyo el Gallinazo, los resultados del ICA presentaron un rango entre 0.42 - 0.53 (promedio: 0.47), indicado que la calidad del agua es mala. De igual forma, la estación con mayor influencia de las zonas periurbanas fue la estación 1 (E1), la cual mantuvo una calidad del agua mala indiferentemente de la temporada de muestreo (Las lluvias pueden arrastrar contaminantes hacia los cuerpos de agua, mientras que las sequías pueden concentrar los contaminantes presentes), mostrando que los procesos de autodepuración del cuerpo de agua son ineficientes, así mismo, se mantiene dicha influencia en la segunda estación de muestreo (E2). No obstante, para la última estación (E3) la calidad, aunque se oscila entre mala y regular se ve influenciada por condiciones naturales más favorables (agua que entra al cause principal proveniente del humedal circundante a la sección) lo que ayuda a la depuración de los compuestos orgánicos disminuyendo su carga contaminante (Trujillo-Zapata et al. 2021). Cabe resaltar que la disminución de este punto de muestreo no supera el rango regular dado a las actividades antrópicas dentro del perímetro de la ronda hídrica, como las excretas de la ganadería, aguas residuales agrícolas, así como residuos de lavandería dado a que la población de bajos recursos emplea el cauce como zona de lavado (Hernandez-Alvarez et al. 2021).
Conclusiones
Los resultados indican que la calidad del agua en el tramo alto del arroyo El Gallinazo está comprometida, con una condición de calidad mala, aunque hay estaciones y períodos del año (Época de lluvia o sequia) en los que la calidad del agua puede ser mejor. El comportamiento de los parámetros analizados está directamente relacionado con los determinantes ambientales, sociales o económicos que se desarrollan en la zona circundante. El agua según el ICA no es aceptable para fines humanos, pero si para uso agropecuario o ambiental dado a que los parámetros se mantienen en los límites permisibles. La comprensión y gestión de estos factores es crucial para mantener la calidad del agua y proteger los ecosistemas acuáticos.


















