INTRODUCCIÓN
En la agricultura tradicional, los sistemas productivos, imitan a la naturaleza desarrollando de manera simultánea, diversos estratos y especies como en los huertos familiares (Gutiérrez et al., 2015). El huerto familiar, generalmente se ubica cerca de la vivienda, de tamaño pequeño y en algunas zonas, es considerado un agroecosistema de producción sostenible, donde se tienen especies plantadas, toleradas y manejadas, las tres con diversos fines como el autoconsumo y la venta de excedentes, que aseguran la disponibilidad de alimentos, favorecen la generación de empleos agrícolas, mitigan la pobreza, conservan la biodiversidad y tradiciones culturales (Borbor et al., 2016; Reyes-Betanzos, 2017).
Los huertos, constituyen ahorros significativos para las familias, pues evita gastos en la compra de productos que pueden cultivarse y en algunos casos, genera ingresos por la venta de excedentes (Toledo et al., 2008; Sol, 2012;); estos ingresos, permiten un apalancamiento para reducir la inversión de gastos en el huerto y adquirir productos que ahí no se producen (Cano, 2015).
A nivel mundial, los huertos familiares, han sido reconocidas por su importancia estratégica para el cumplimiento de los Objetivos de Desarrollo del Milenio, los subsecuentes a los Objetivos del Desarrollo Sostenible y de la Agenda 2030, pues se han convertido en una estrategia de intervención popular entre diferentes actores del desarrollo, para promover la agricultura familiar (Pantoja, 2014; Krishnamurthy, et al., 2017; Castañeda-Navarrete, 2021; Farfán-García, 2022,).
Los huertos familiares, no han sido considerados como una estrategia de desarrollo incluyente (Krishnamurthy et al., 2017), generalmente, iniciativas, programas y proyectos, han fracasado al no considerar la cultura y las realidades locales (Cano, 2015), dando lugar a su posible extinción como sistemas sustentables y productivos (González, 2007).
En algunas áreas, se ha desaprovechado el potencial productivo de los huertos, como productor y generador de satisfactores que posteriormente, pueden transformarse en un bien útil (Dussel, 2014), limitando su condición productiva y su función como satisfactores que no contribuyen a reducir los costos de vida, ni al abastecimiento de las necesidades familiares. Este escenario, requiere de propuestas o estrategias sustentables de continuidad, por lo que es importante considerar al huerto familiar, como una propuesta de transición desde lo local, hacia lo global, un cambio de paradigma en el orden social, económico, político y ambiental, que potencialice al máximo y de manera racional, los servicios ecosistémicos que genera este agroecosistema en las familias. A nivel mundial, los huertos familiares de Etiopia, son considerados el principal centro de producción, especialmente, para las familias pobres de pequeños agricultores (Kewesse, 2020). Para el sureste asiático, considerado como una zona con grave desnutrición, se ha estado apostando a los huertos familiares, como una medida para contrarrestar el problema de falta de alimentos (Weinberger, 2013). Para la región de Java Occidental, el huerto, es considerado un sistema productivo socioeconómicamente sostenible, con un papel fundamental en la provisión de alimentos e ingresos a la población a través de un sistema multiestratos (Park et al., 2019).
Por lo anterior, el presente trabajo tuvo como objetivo, estimar el potencial económico y productivo de los huertos familiares pequeños, medianos y grandes, en relación con la diversidad de especies vegetales registradas, evaluar el consumo mensual familiar de productos hortofrutícolas y la evaluación de la producción anual de un huerto de hortalizas de 132 m2.
MARCO TEÓRICO
La investigación sobre huertos familiares en los últimos 10 años, ha destacado su importancia para la seguridad alimentaria, la sostenibilidad y el bienestar de las familias. Estos contribuyen significativamente a la seguridad alimentaria, especialmente, en áreas rurales y periurbanas, cuando reciben el manejo apropiado (Altieri et al., 2012; Gliessman, 2002). Este sistema de producción, promueve la sostenibilidad, ya que reduce la dependencia de insumos externos y fomenta el uso de prácticas agroecológicas propias de cada región (Maroyi, 2009; Ibarra et al., 2019). Del mismo modo, generan beneficios para la salud, ya que proporcionan alimentos frescos y nutritivos y promueven la actividad física y la convivencia familiar (Alaimo et al., 2008; Algert et al., 2016). La participación de las mujeres en la gestión de los huertos familiares, es fundamental para el éxito de estos proyectos, ya que ellas, suelen ser las principales responsables de la producción y manejo de los alimentos (Yáñez, 2016; Cobo y Paz, 2017; Román et al., 2024). Tomando en consideración la crisis ambiental actual, los huertos familiares, constituyen una herramienta efectiva para la adaptación al cambio climático, ya que permiten a las familias, producir alimentos de manera resiliente y adaptable a las condiciones climáticas cambiantes (Rivas, 2014; Mattsson et al., 2018).
La corriente de pensamiento más conocida que se introduce en los huertos familiares, es la agroecología, cuyo enfoque, es diseñar y gestionar sistemas agrícolas sostenibles, diversificados y resilientes, que promuevan la biodiversidad y la salud ecológica (Altieri, 1995).
Dentro de la agroecología, hay varias teorías y conceptos que se relacionan con los huertos familiares, como es la teoría de la agricultura en pequeña escala, que sostiene que la producción de alimentos en pequeña escala, como en los huertos familiares, es más eficiente y sostenible que la producción en gran escala (Gliessman, 2018). Asimismo, la teoría de la soberanía alimentaria, sostiene que las comunidades y familias, deben tener control sobre su propio sistema alimentario, incluyendo la producción, procesamiento y consumo de alimentos, lo que se puede lograr a través de los huertos familiares. Finalmente, el concepto de agroecosistemas, se refiere a los sistemas agrícolas que están diseñados para mimetizar los ecosistemas naturales, promoviendo la biodiversidad y la salud ecológica, lo que se puede lograr en los huertos familiares (Altieri, 1999).
METODOLOGÍA
Ubicación del área de estudio
La investigación se llevó a cabo en el Ejido Nueva Esperanza 1ra. Sección, municipio de Palenque, Chiapas, ubicado en el Km. 96 de la Carretera Federal 186 Villahermosa-Escárcega, ubicado entre las coordenadas geográficas 17° 41´ 57” de latitud norte y 92° 11’ 55” de longitud oeste, a una altitud promedio de 30 msnm. El clima es cálido húmedo, con lluvias todo el año y cálido húmedo, con lluvias abundantes de verano (INEGI, 2020).
La metodología, consistió de tres fases, recorrido de campo en la comunidad, aplicación entrevistas semiestructuradas y análisis de la información. Durante la fase de recorrido de campo, se determinaron los tipos de huertos y tamaño de las superficies; en el transcurso de la fase de aplicación de las entrevistas semiestructuradas, se obtuvieron los principales usos de las especies. En la fase de análisis de la información, se transcribieron los usos de las mismas. Asimismo, se realizaron análisis descriptivos entre huertos. Se estimó el tamaño de muestra.
Tamaño de la muestra
Para determinar el tamaño de muestra del total de las viviendas registradas, se utilizó la fórmula propuesta por Linch et al. (1974).
dónde n: número de muestra; N: número de viviendas con huertos en el área de estudio; Z: valor de una distribución normal Z a/s (1.96), para un nivel de confianza de 95%; p: probabilidad de éxito (0.95); d: error de muestreo (0.05).
De acuerdo con el tamaño de muestra calculada, se realizaron entrevistas semiestructuradas aleatoriamente a 43 propietarios de huertos (hombres y mujeres), entre los meses de mayo a noviembre del año 2021. Se consideró, el potencial productivo y la contribución económica de los huertos, así como el consumo mensual familiar y la adquisición de los principales productos hortofrutícolas por parte de las familias. Además, se estableció un huerto demostrativo de hortalizas, para evaluar su producción y rentabilidad en relación al ingreso mensual familiar, el gasto mensual en el consumo de vegetales y el potencial productivo de los huertos
Potencial productivo y contribución económica de los huertos familiares
Con el propósito de conocer el potencial productivo de los huertos de las 43 familias encuestadas en el Ejido Nueva Esperanza 1ra. Sección, Palenque, Chiapas, se registraron e identificaron las especies vegetales encontradas y se priorizaron las especies de mayor importancia económica.
Consumo mensual familiar y adquisición de productos hortofrutícolas
Se utilizó la información obtenida de las entrevistas, referente al gasto mensual por consumo de los principales productos hortofrutícolas y sus formas de obtención. El cálculo de gastos, se obtuvo del precio de mercado en el segundo semestre del año 2021.
Diseño de un huerto demostrativo de hortalizas
Como parte de la estrategia de aprovechamiento integral, en el huerto de un productor, se estableció un módulo demostrativo de 132 m2 para la producción de hortalizas manejadas con prácticas agroecológicas, siguiendo las recomendaciones de diversos manuales (FAO, 2000; Espinosa et al, 2010; SEMARNAT, 2013; INDESOL, Tierra Verde, 2014; Pantoja, 2014).
La producción del huerto, se registró en tres periodos enero-abril, mayo-agosto y septiembre-diciembre de 2021, en el año de implementación a evaluar. En el primer cuatrimestre, se plantaron tomate (Solanum lycopersicum L.), chile morrón (Capsicum annuum L.), repollo (Brassica oleracea L.), cebollín (Allium fistulosum L.), perejil (Eryngium foetidum L.), cilantro (Coriandrum sativum L.), rábano (Raphanus sativus) y zacate limón (Cymbopogon citratus (DC.) Stapf), en el perímetro del huerto para repeler plagas.
En el segundo cuatrimestre, se estableció frijol pelón (Vigna unguiculata L. Walp), cebollín a una distancia de 10´10 cm y cilantro a 5´5 cm, para provechar mejor el espacio. Se colocaron camas de germinación de 3.0´0.90 m para semillas de tomate saladette.
Para el tercer cuatrimestre, se realizaron semilleros (3.0´0.90 m) de chile tabaquero y chile costeño (Capsicum annuum L.), para su comercialización en plántulas y se plantaron plántulas de tomate saladette, cilantro, cebollín y perejil.
Ingreso mensual por tamaño de huerto, gasto mensual en el consumo de vegetales y el potencial de producción de los huertos
Los huertos, se agruparon por tamaño, según el área que presentaron: pequeños (19 huertos con superficie de 120 a 425 m2), medianos (12 huertos medianos, con superficies entre 425 y 800 m²) y 12 huertos grandes, con superficies entre 800 y 2,500 m². Se describieron en los tres tipos huertos seleccionados, el ingreso mensual de las familias, el gasto por consumo mensual de productos hortofrutícolas y el ingreso tentativo por la producción que podrían generar los huertos. Finalmente, se calculó el ingreso por la producción de las hortalizas.
RESULTADOS
Potencial productivo y contribución económica de los huertos familiares
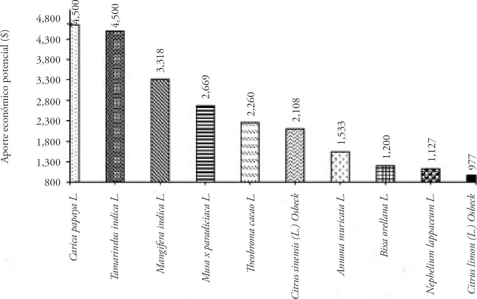
De los 43 huertos muestreados, se obtuvo un total de 3,549 plantas, que se agruparon en 46 familias botánicas, 82 géneros y 89 especies. De las 89 especies registradas, se priorizaron las 10 especies con mayor aportación económica para las familias, las cuales fueron: papaya (Carica papaya L.), tamarindo (Tamarindus indica L.), mango (Mangifera indica L), plátano (Musa × paradisiaca L.), cacao (Theobroma cacao L.), naranja (Citrus sinensis (L.) Osbeck), anona (Annona muricata L.), achiote (Bixa orellana L.), rambután (Nephelium lappaceum L.) y limón (Citrus limon (L.) Osbeck). La comercialización de estas especies, generó un aporte de $24,342.00, lo que representa de manera significativa, un incremento en la economía familiar y muestra el incremento en la productividad del huerto. Algunas de estas especies, son introducidas e injertadas como el limón, naranja, rambután, mango, plátano y tamarindo y que se adquieren en los viveros de la zona.
En la Figura 1, se enlistan las 10 principales especies que se cultivan en los huertos y su aporte económico. La papaya (Carica papaya L.), genera mejor ingreso económicos ($4,650.00), dado que se aprovecha para consumo en fresco, para aguas frescas y los frutos verdes para elaborar dulces regionales, seguido del tamarindo, mango, plátano, ornamental, cacao, etcétera.
Consumo mensual familiar y adquisición de productos hortofrutícolas
Dado que el mercado público más cerca de la zona de estudio es el de Playas de Catazajá, Chiapas, ubicado a 28 km, la comunidad se abastece de los productos hortofrutícolas de tres fuentes, 35% de sus productos requeridos, provienen de las tiendas locales, 34% del mercado ambulante y 31% del huerto familiar. Las especies hortofrutícolas de mayor consumo son frijol, cebolla, ajo, papa, zanahoria, tomate y chayote, compradas en tiendas locales. Del mercado ambulante, se compra cilantro, perejil, papa, zanahoria, ajo y chayote. Del huerto familiar, las especies consumidas son perejil, plátano y cilantro (Figura 2).
Diseño de un huerto demostrativo de hortalizas
El huerto demostrativo, generó beneficios económicos variables en la producción anual, durante los tres periodos de siembra. El cebollín, el cilantro, el perejil y el zacate limón, se cultivaron durante los tres periodos establecidos, debido a que, de estas especies, solo se emplea el follaje y es el tallo el que permanece en el suelo para que vuelva a emitir hojas. Durante el primer cuatrimestre, los mayores ingresos se obtuvieron con la venta del tomate saladette, seguido del cilantro, chile morrón, repollo, zacate limón, cebollín, perejil y rábano; mientras que, en el segundo cuatrimestre, los mejores ingresos, provinieron del cilantro, cebollín, perejil, frijol pelón y zacate limón; y para el tercer cuatrimestre, los ingresos más altos se obtuvieron con la venta de tomate saladette, chile tabaquero, cebollín, chile costeño, cilantro, perejil y zacate limón, respectivamente (Cuadro 1).
En cuanto a la instalación del huerto demostrativo, el costo total de la misma fue de $7,270.00 pesos, que incluyó la adquisición de herramientas e insumos, así como las semillas de chile. Durante el primer cuatrimestre, se generaron ingresos por $4,650.00 pesos; en el segundo cuatrimestre, $7,480.00 pesos y en el tercero, $7,340.00 pesos. El ingreso total alcanzó los $19,470.00 pesos, pero después de descontar el costo de instalación, el ingreso neto fue de $12,200.00 pesos. Como se puede observar, la principal fuente de ingreso provino de la venta de tomate saladette, cilantro, cebollín y plántulas de chile tabaquero (Cuadro 1).
Cuadro 1 Especies cultivadas por trimestre en un huerto demostrativo, rendimiento e ingresos en pesos MX y en US$.
| Cultivo | Rendimiento | Unidad de medida | Ingresos ($MXN) | Ingresos (US$) |
| Cuatrimestre 1 | ||||
| Capsicum annuum L. | 14 | kg | 840.00 | 40.4137 |
| Solanum lycopersicum L. | 80 | kg | 1,200.00 | 57.7339 |
| Brassica oleracea L. | 36 | Piezas | 720.00 | 34.6404 |
| Allium schoenoprasum L. | 29 | Manojos | 290.00 | 13.9524 |
| Eryngium foetidum L. | 22 | Manojos | 220.00 | 10.5846 |
| Coriandrum sativum L. | 88 | Manojos | 880.00 | 42.3382 |
| Raphanus sativus | 6 | kg | 150.00 | 7.21674 |
| Cymbopogon citratus (DC.) Stapf | 35 | Manojos | 350.00 | 16.8391 |
| Cuatrimestre 2 | ||||
| Vigna unguiculata L. Walp | 15 | kg | 525.00 | 25.2586 |
| Allium schoenoprasum L. | 368 | Manojos | 1,840.00 | 88.5253 |
| Eryngium foetidum L. | 120 | Manojos | 600.00 | 28.867 |
| Coriandrum sativum L. | 828 | Manojos | 4,140.00 | 199.182 |
| Cymbopogon citratus (DC.) Stapf | 75 | Manojos | 375.00 | 16.8391 |
| Cuatrimestre 3 | ||||
| Capsicum annuum L. | 1,630 | Plántulas | 1,630.00 | 78.4219 |
| Capsicum annuum L. | 1,670 | Plántulas | 835.00 | 40.1732 |
| Solanum lycopersicum L. | 80 | kg | 2,400.00 | 115.468 |
| Allium schoenoprasum L. | 184 | Manojos | 920.00 | 44.2627 |
| Eryngium foetidum L. | 120 | Manojos | 600.00 | 28.867 |
| Coriandrum sativum L. | 126 | Manojos | 630.00 | 30.3103 |
| Cymbopogon citratus (DC.) Stapf | 75 | Manojos | 375.00 | 18.0419 |
Fuente: elaborado por los autores, con base a la información de campo. La conversión en dólares se realizó el 22 de diciembre de 2021.
Comparación entre tamaño de huertos en su ingreso mensual familiar, el gasto mensual en el consumo de vegetales y el potencial de producción de los huertos
En la Figura 3, se muestra el comparativo del ingreso mensual familiar, el gasto mensual en el consumo de vegetales y el potencial de producción del huerto. Como se puede observar, en los huertos pequeños, el ingreso familiar en promedio es más alto que las familias de los otros dos huertos. Mientras, que el potencial de producción y el gasto mensual en el consumo de vegetales en los huertos pequeños, es el más bajo, comparado con los huertos medianos y grandes. Los huertos medianos, presentaron un ingreso familiar menor, pero presentan un mayor potencial de producción en el huerto y un gasto mensual mayor en el consumo de vegetales. En los huertos grandes el ingreso familiar es alto, pero el gasto mensual en el consumo de vegetales y el potencial de producción, es menor que en los huertos medianos.

Fuente: elaborado por los autores, con base a la información de campo.
Figura 3 Comparativo del ingreso mensual familiar, gasto mensual en el consumo de vegetales y el potencial de producción de los huertos.
Los huertos medianos, presentaron un mayor potencial de producción de hortalizas, seguido de los huertos grandes y pequeños, respectivamente. Esto puede ser, debido a que cuentan con espacios para realizar la siembra de hortalizas y no gasten en comprarlos. Sin embargo, los productores de los huertos medianos, gastan más en la compra de vegetales que ellos no producen en sus huertos, como son el ajo, zanahoria, cebolla, etcétera. Los huertos medianos, son los que generan mayor potencial de producción y beneficio para las familias, esto podría deberse a que, en ellos, se registraron el mayor número de individuos, 1,261 de 55 especies, entre las que destacan: cilantro, cebollín, plátano y perejil, que son de importancia económica para las familias, además, son especies fáciles de cultivar en pequeños espacios y de fácil manejo y son de fácil crecimiento y se reaprovechan. Aunque en los huertos chicos se reportaron el mismo número de especies (55) que en los huertos medianos, estos solo reportaron 793 individuos, entre los que destacan: hierbabuena, cebollín, cacao y rambután, de los cuales, el que se comercializa más y fácilmente es el cebollín. En los huertos grandes, se reportan 1,095 de 42 especies, entre los que destaca: cilantro, tomate, plátano y cebollín
DISCUSIÓN
Dentro de los huertos seleccionados en este estudio, se registraron especies con diversos usos, como frutales, medicinales, ornamentales, hortícolas, maderables, condimentos, combustibles (leña), condimentos-maderables y medicinales-hortícolas, empleadas para autoconsumo. Estas especies, se siembran y cosechan de acuerdo al calendario agrícola de la zona. Resultados que concuerdan con Sol (2012), quien señala que, dentro del huerto, hay áreas especializadas para la producción. Generalmente, se conocen cuatro áreas: área de especies medicinales, área de especies ornamentales, área de especies poco usadas y área común. Las plantas ornamentales, por lo general, se ubican al frente de la casa, es decir donde, las demás personas puedan ver las flores de la familia. Las plantas medicinales, están a un costado de la vivienda. Las plantas poco usadas, se ubican al fondo del huerto y el resto, es área de uso común.
De las especies registradas con mayor aportación económica para las familias, fueron papaya (Carica papaya L.), tamarindo (Tamarindus indica L.), mango (Mangifera indica L), plátano (Musa × paradisiaca L.), cacao (Theobroma cacao L.), naranja (Citrus sinensis (L.) Osbeck), anona (Annona muricata L.), achiote (Bixa orellana L.), rambután (Nephelium lappaceum L.) y limón (Citrus limon (L.) Osbeck); estas especies, generaron un aporte de $24,342.00. Similar ingreso ($23,800.00) reportó Sol (2012), para huertos de la Costa de Tabasco, cuando el precio del dólar era de $12.95.
Los frutales registrados en los huertos en este estudio, representaron mayor importancia económica por su venta, lo que generó ganancias extras para la familia y un interés de autoconsumo. Resultados semejantes, fueron encontrados para tres municipios de Veracruz, donde los frutales retribuyeron mayor producción en los huertos y que fueron plantados de acuerdo a la necesidad de la familia (Álvarez, 2012; Chávez, 2012).
El cultivo de hortalizas de hoja como momo (Piper auritum H.B.K.), albahaca (Ocimum basilicum L.), chaya (Cnidoscolus chayamansa Mcvaught), hojas de chile amashito (Capsicum annuum var aviculare L.), cilantro (Coriandrum sativum L.), perejil (Eryngium foetidum) y bulbos como el cebollín blanco (Allium fistulosum) y cebollino morado (Allium schoenoprasum), son sembradas en espacios pequeños, se emplean para autoconsumo y su venta genera escasos ingresos; estos resultados, concuerdan con lo obtenido por Gerardo Méndez et al. (2022), quienes señalan que, las hortalizas de hojas y bulbos, son las más consumidas por su uso casi diario, se consumen siempre en fresco, dependiendo de la necesidad la familia y permite ahorrar al no comprarlas.
Para el caso de las plantas medicinales, su presencia fue común en casi todos los huertos, estas no se comercializan, más bien se intercambian u obsequian en la misma localidad y aunque no generan ingresos, permiten no generar gastos para tratar algunas enfermedades.
Se registró que las mujeres de familia, deciden el tipo de planta a introducir y experimentar en los huertos, sobre todo, las plantas ornamentales y medicinales, por lo que se confirmó que las mujeres, influyen en la diversidad del huerto (Lerner et al., 2009) y es más preciso su conocimiento sobre la forma y frecuencia de uso en las hierbas medicinales. La venta de plantas medicinales en fresco y seco, es común en los mercados de las cabeceras municipales de la localidad.
Dentro de los beneficios económicos que genera un huerto, es que evita el gasto de la familia de $24,342.00 al año, al producir sus satisfactores en el huerto (Moreno-Moreno et al., 2020). Algunas especies encontradas en los huertos, son heliófilas y en el huerto por lo general, no hay espacios vacíos, pues se ocupan los tres niveles de estratificación, en lo más alto, los arboles como naranja, aguacate o maderables, en el estrato medio, las plantas de plátano, guayaba y otras; en el espacio bajo, las hierbas como hoja blanca, achiote, limón y en el nivel más bajo, las hierbas de uso común, pero solo en las pequeñas áreas donde llegan los rayos del sol.
Las especies arbóreas, son fundamentales en la estructura de los Huertos familiares (Gliessman, 2002), incrementan la diversidad y abundancia de especies y cumplen funciones ambientales, sociales, culturales, económicas, alimenticias, ornamentales, medicinales, entre otros (Hylander y Nemomisa 2008). Los árboles, son un componente integral de los sistemas, son sembrados y tolerados en los huertos familiares como apoyo alimenticio. Del estrato, 42.62% es aprovechado para este fin, de los que se aprovechan los frutos como alimento (White-Olascoaga et al., 2017).
Con respecto al huerto demostrativo, las plántulas de chile tabaquero y chile costeño, se comercializaron con los productores de la comunidad, ya que son cultivos de importancia económica en la región (García-Palomares, 2010). Asimismo, la producción de tomate, generó el mayor ingreso. En el huerto de 132 m2, se incrementaron las ganancias que ayudarían al ingreso familiar y a la seguridad alimentaria; ya que cuentan con especies para autoconsumo y los excedentes, para venta (Cahuich-Campos, 2012).
De acuerdo a los datos obtenidos, la implementación de pequeños huertos, genera satisfactores a las familias y permite reducir los costos de vida. El desafío consiste en propiciar sistemas de producción que respalden un mayor acceso a las familias de escasos recursos, orientados a satisfacer futuras necesidades de alimentos (García-Flores et al., 2016).
El mejor ingreso mensual de una familia, fue de $3,294.00 y el costo de vida por consumo de vegetales $1,992.00, lo cual indica que, las familias invierten 68% de sus ingresos a la compra de frutas, verduras y hortalizas y el resto, es para cubrir sus demás necesidades, es decir, que el ingreso por concepto de productos del huerto, no es suficiente para cubrir la demanda de la familia.
No obstante, aprovechar las especies vegetales de sus huertos e implementar el módulo productivo de hortalizas de 132 m2, podrían obtener ingresos mensuales promedios de $1,801,00. Lo que significa, ahorros de hasta 90% de los recursos destinados a la adquisición de vegetales y un ahorro de 55% en sus ingresos mensuales directos; estos datos, concuerdan con los registros de Calpan, Puebla, donde el promedio del aporte económico anual del huerto familiar, fue de $14,400.00 (López-González et al., 2019); pero a la vez, se ha identificado que, con más años de intervención, los huertos biointensivos, logran aumentar de 20 a 40% de productos (Bonilla-Aparicio et al., 2013).
Entre los grupos étnicos (mayas peninsulares, choles y mestizos) del estado de Campeche, se ha citado que el huerto en términos porcentuales, contribuye en la generación de ingresos familiares entre 12.40% y 18% (Chi-Quej, 2009). Por otro lado, en huertos de Cárdenas Tabasco, se han registrado ingresos de entre $150.00 a $450.00 por semana y ahorros económicos de entre $100.00 y $250.00 por semana (Gómez, 2010). Para Honduras, el aporte económico de los huertos en Honduras, varía entre 10 y 26%, mientras que, en Nicaragua, representa un promedio de 35%. En general, el huerto familiar, genera aportes monetarios que oscilan de 10% a 100 % y que, puede ser significativo para las economías domésticas (Pulido et al., 2008).
CONCLUSIONES
Los huertos familiares presentes en las comunidades, son la unidad productiva de la familia; su manejo se basa en el conocimiento del medio, la experiencia en cultivar las especies vegetales, los requerimientos familiares de alimentación, los cuales, se expresan en los atributos agroecológicos de riqueza de especies con importancia alimenticia, medicinal, condimento, ornamental, poste y cercas vivas, lo que se traducen en beneficios ambientales, económicos, sociales y culturales.
Los huertos estudiados, generalmente presentan espacios vacíos sin cultivar, una razón, es que se tienen áreas pobres, sin materia orgánica y empobrecidas debido a que fue zona ganadera antes de ser huertos.
Bajo la condición actual, el huerto familiar, no cubre de manera completa las necesidades alimentarias de las familias, puesto que destinan 68% de sus ingresos, para la adquisición de frutas y verduras que consumen. Sin embargo, al implementar un huerto de hortalizas de 132 m2, podrían obtener ingresos mensuales promedios de $1,801,00, lo que significa ahorros de hasta 90% de los recursos destinados a la adquisición de frutas y verduras y un ahorro de 55%, en sus ingresos totales por mes.
Los huertos, constituyen una parte esencial de la economía de las familias, por lo que debe promoverse su permanencia y su enriquecimiento, toda vez que tienen como fin, proveer alimentos frescos y de bajo costo para la familia, además de constituir un reservorio de plantas útiles.
















