Introducción
Con el desarrollo de la nanotecnología se abre un mundo de posibilidades, ya que ofrece la oportunidad de crear materiales con mejores propiedades a costos más rentables mediante el uso de nuevas metodologías de síntesis o la reinvención de las ya conocidas, las cuales generalmente son mediante procesos químicos, físicos y biológicos, ofreciendo una amplia gama de nanomateriales específicos (Kanmani y Lim, 2013). Siendo las nanopartículas metálicas las más atractivas debido a sus potenciales aplicaciones, por sus novedosas propiedades catalíticas, ópticas, electrónicas y en el área médica, por ejemplo, en la liberación de agentes terapéuticos, detección de patógenos, reparación de tejidos e inmunoensayos, destrucción de tumores, entre otras, generando un área de investigación bastante amplia (Khan et al., 2017; Huq et al., 2022).
Por su parte, las NP’s-Ag han sido un tema importante de investigación, ya que actualmente, la plata (Ag) iónica tiene una amplia aplicación en diversas industrias, principalmente en productos de uso médico, por lo que se ha intentado encontrar maneras más rentables de utilizar la plata a nivel nanométrico (Kanmani y Lim, 2013). Sin embargo, todavía existe la necesidad de una vía de síntesis de NP’s-Ag con menores costos, así como ambientalmente amigable. Por lo que, los métodos de la llamada “síntesis verde” se crearon para cumplir con protocolos de síntesis que no ostenten riesgos para el ambiente y que las NP’s se produzcan libres del uso de productos químicos tóxicos, como es el caso de agentes reductores u oxidantes muy agresivos (Pantidos y Horsfall, 2014; Huq et al., 2022). En los últimos años, muchos enfoques biológicos para la síntesis de las NP’s han sido reportados, realizándose principalmente con bacterias, hongos y plantas, siendo estas últimas las que proporcionan una mayor ventaja para la síntesis de NP’s, por proporcionar agentes estabilizantes y funcionalizantes naturales sin la necesidad de presentar riegos biológicos (Villanueva-Ibáñez et al., 2015). Esta ventaja ha sido evidente en el uso de extractos de diversas plantas, que contienen una variedad de metabolitos secundarios como terpenos, aceites esenciales, flavonoides y fenoles, los cuales tienen la capacidad de reducir iones metálicos, lo que conduce a la formación de nanopartículas con tamaños y morfologías estables (Goutam et al., 2018). Algunos investigadores han reportado el uso de metabolitos, extraídos desde B. spectabilis, como fuente en la síntesis de nanopartículas metálicas como dióxido de titanio (López-Mercado et al., 2023) y de plata (Pareek et al. 2012; Bharathi et al., 2016)
Partiendo de lo antes mencionado y tomando en cuenta que la plata B. spectabilis presenta propiedades antimicrobianas que se ven potencializadas al estar presentes en tamaño nanométrico, además, de ser biocompatible. Este trabajo muestra una alternativa para la síntesis de NP’s-Ag utilizando una planta de fácil acceso, que podría incluso llegar a ser usada industrialmente, así como reportar los efectos antimicrobianos y citotóxicos que estas NP’s presentan.
Materiales y metodos
Preparación el extracto
Las flores y brácteas de B. spectabilis utilizadas fueron recolectadas en la Universidad de La Ciénega del Estado de Michoacán de Ocampo, las cuales fueron lavadas con agua destilada para eliminar posibles impurezas. El extracto se obtuvo a partir de 3 g de planta, en 80 ml de agua destilada por el método de decocción a 90°C por 10 min, se separó de la parte sólida mediante filtración a vacío, utilizando un filtro convencional.
Análisis cualitativo fitoquímico de extractos
El extracto obtenido se sometió a pruebas para conocer los fitoconstituyentes de los metabolitos secundarios presentes en el mismo, tomando en cuenta diferentes metodologías conocidas como Shinoda, pruebas de espuma, prueba de FeCl3 y otras (Vimalkumar et al., 2014; Mahesh et al., 2013; Tamilselvan et al., 2016), las cuales se realizaron por triplicado.
Biosíntesis de las NP’s-Ag
Para la síntesis de las NP´s se exploraron diversas concentraciones de nitrato de plata (AgNO3, Golden Bell con pureza de 99.0 %), así como variaciones en la cantidad de extracto, como detalla la Tabla 1. Los volúmenes finales de las síntesis fueron ajustados a 10 mL con agua destilada para obtener las diferentes concentraciones. La biosíntesis fue desarrollada bajo condiciones de iluminación normal, agitación magnética constante (600 rpm), temperatura ambiente y el pH de la solución de la síntesis permaneció en 7 (± 0.1).
Caracterización de las NP’s-Ag
Las propiedades ópticas fueron analizadas con un espectrofotómetro de UV-Vis Lambda 25 marca Perkin Elmer en un rango de longitud de onda de 200-800 nm. El producto de la síntesis fue centrifugado a 6000 rpm y el precipitado obtenido se colocó a 70 °C hasta la completa eliminación del agua para después ser utilizado para realizar el estudio. La morfología y parte de la composición elemental fueron detectadas por MEB usando un microscopio JEOL 66-10LV equipado con espectroscopia de EDS utilizando una potencia de 20 kV y distancia de trabajo de 10 mm, las muestras fueron recubiertas con oro. La estructura cristalina se determinó usando difractómetro de rayos X de polvo, modelo D8 Avance A25 marca Bruker con radiación CuKα (0.15405 nm), el ángulo de inicio fue 10.0931°, el ángulo final de 90.9941°, el paso de 0.015334, con un voltaje de 30 kV y una intensidad de corriente de 20 mA.
Pruebas antimicrobianas
La actividad antimicrobiana de las NP’s-Ag fue confirmada usando la prueba antimicrobiana Kirby-Bauer con modificaciones contra Escherichia coli, Pseudomonas aeruginosa y Staphylococcus aureus aislados de úlceras de pie diabético al igual que las cepas ATCC Klebsiella pneumoniae 700603 y Staphylococcus aureus 25923. Los microorganismos fueron sembrados (106 UFC) sobre el agar Mueller-Hinton (Fluka Analytical) mediante estría cerrada. Para la actividad antibacteriana se utilizaron pequeños discos de papel filtro de 5 mm de diámetro a los que se le colocaron 30 µl de las NP’s-Ag y finalmente los cultivos fueron incubados a 37 °C por 24 h. Posterior al tiempo de incubación se midió el halo de inhibición de las muestras sobre las cepas estudiadas con el apoyo de un vernier. Se utilizó como control negativo el extracto de B. spectabilis y como control positivo las concentraciones utilizadas de AgNO3 en cada síntesis.
Pruebas citotóxicas
Se utilizaron células humanas embrionarias de riñón (HEK293T), se cultivaron siguiendo los métodos estándares de crecimiento en medio DMEM (por sus siglas en inglés medio Eagle modificado de Dulbecco) bajo en glucosa, con glutamina y piruvato de sodio (GIBCO), suplementado con 10% de suero fetal bovino, 100 U/mL de penicilina y 100 µg/mL de estreptomicina. Se incubaron bajo atmósfera húmeda a 37 °C y corriente de aire (95 % aire y 5 % CO2) por 72 h. Posteriormente, la monocapa celular se lavó con NaCl 0.9 %, fue tratada con 2 mL de tripsina-EDTA 1X (GIBCO), durante 10-15 min a 37 °C y se añadieron 2 mL de medio DMEM para inactivar la tripsina. La suspensión celular se centrifugó por 2 min a 1300 rpm a 4 °C. Las células obtenidas fueron utilizadas para estudios de viabilidad y proliferación celular.
Para la prueba de viabilidad celular se utilizaron placas de 6 pozos en los cuales, se sembraron 2x105 células/mL cultivadas durante 72 h siguiendo el método antes mencionado. Posteriormente se retiró el medio y se adicionó medio con el tratamiento de NP’s-Ag evaluando las NP´s 1, NP´s 2 y NP´s 3. Asimismo, se consideraron diluciones a una proporción de 1:10 y 1:100 de cada una de estas nanopartículas sintetizadas, se colocaron como controles el extracto de la flor y el AgNO3 (2x10-3 M), colocando 300 µL de cada tratamiento y llevándolos a un volumen final de 10 mL con el medio DMEM, cabe señalar que el control negativo solo contenía medio DMEM, se incubaron durante 2 h bajo atmósfera húmeda a 37 °C y corriente de aire (95 % aire y 5 % CO2). Pasado el tiempo se desechó el medio y las células se trataron con 1 mL de tripsina-EDTA 1X (GIBCO), durante 10-15 min a 37 °C, posteriormente se añadió 1 mL de medio DMEM para inactivar la tripsina. La suspensión celular se centrifugó por 2 min a 1300 rpm a 4 °C. Se decantó el sobrenadante y a la pastilla celular obtenida, se le agregó 1 mL de medio DMEM para suspenderse. Para evaluar la viabilidad, se tomaron 97 µL de la suspensión celular y se añadió 3 µL de solución de azul de tripano, empleando una cámara de Neubauer para el conteo de las células después del tratamiento. La viabilidad celular de cada condición se determinó empleando un microscopio óptico Motic Digital Microscope, contándose solo las células vivas.
Para realizar la prueba de proliferación celular se utilizaron placas de 96 pozos, en las cuales, se sembraron 1x105 células/mL por pozo, siguiendo el método antes mencionado. Después se retiró el medio y se adicionó medio con el tratamiento de NP’s-Ag evaluando solo las NP´s 1, NP´s 2 y NP´s 3, se colocaron como controles el extracto de la flor y el AgNO3 (2x10-3 M), se incubaron durante 2 horas bajo atmósfera húmeda a 37 °C y corriente de aire (95 % aire y 5 % CO2). Después de este tiempo, se retiró el medio con el tratamiento, se realizaron lavados con una solución buffer de fosfatos salino (PBS) y se añadió en todos los pocillos 150 µL de solución de sales de tetrazolio de nueva generación (XTT). Esta solución se preparó colocando 0.043 g de menadiona (Sigma Aldrich) en 2 ml de una solución agua-etanol (1:1) y se agitó hasta su completa disolución, luego se adicionaron 18 ml de agua destilada y finalmente se adicionaron 0.005 g de XTT (Sigma Aldrich). Se incubó la placa con el XTT durante 90 min a 37 °C y al finalizar el tiempo de incubación, se midió la absorbancia a 490 nm en el espectrofotómetro Multiskan go marca Thermo Scientific, comparando células sin tratamiento.
Análisis estadísticos
Los resultados de las pruebas de viabilidad y proliferación celulares fueron sometidos a un análisis estadístico donde los resultados se mostraron como la media ± desviación estándar. Para cada evaluación, se realizaron al menos tres experimentos independientes por triplicado. Los resultados se analizaron mediante ANOVA para determinar las diferencias entre los grupos, mediante el programa Statview 4.57 (Abacus Concepts Inc.) con un intervalo de confianza en el análisis de 95%. Se tomó como significativa una p ≤ 0.05.
Resultados
El extracto acuoso de flores y brácteas de B. spectabilis presentó una coloración violeta clara. Por su parte, en las pruebas fitoquímicas se encontraron flavonoides, saponinas, taninos, fenoles y glucósidos esteroideos. Luego de adherir las soluciones de AgNO3 al extracto, al cabo de 3 min se comenzó a apreciar un cambio en la coloración de la solución pasando de un violeta claro a un rojizo obscuro, llegando finalmente a un color marrón amarillento observándose la coloración máxima a los 10 min de reacción.
La formación de NP’s-Ag se corroboró mediante los espectros de UV-Vis de cada una de las síntesis donde se pueden observar cómo es que cambia el espectro del extracto a las bandas características de las NP’s-Ag, los cuales cambiaban de picos de absorción entre los 530 y 550 nm generados por los metabolitos presentes en el extracto, a picos máximos cercanos a los 425 nm (Figura 1).
A través de las micrografías capturadas con el MEB, se confirmó la presencia de las NP’s sintetizadas. En la Figura 2, se presentan las micrografías representativas de la síntesis, donde se aprecian aglomerados de partículas con dimensiones nanométricas, oscilando entre los 30 nm y 60 nm. Estas partículas exhiben una morfología cuasi esférica en todos los cuadrantes analizados. Por otro lado, los análisis de los EDS realizados en todas las muestras de las NP’s-Ag indican que la plata es el elemento principal constituyente de estos aglomerados, seguido por carbono (C) y oxígeno (O) como elementos secundarios. La presencia de C y O puede atribuirse a restos del medio de síntesis o a compuestos funcionalizantes adheridos en la superficie de las partículas.
Por medio de la técnica de DRX se obtuvo el patrón de difracción mostrado en la Figura 3, siendo el patrón de difracción principal la plata (JCPDS card No. 65-2871) con picos máximos en 38.107° (111), 44.29° (200), 64.43° (220), 77.38° (311) y 81.52° (222) y unos pequeños picos debido al cloruro de plata (JCPDS card No. 31-1238) en 27.803° (111), 32.213° (200), 46.20° (220) y 54.78° (311) los cuales, aparecen de acuerdo con los patrones de difracción indexados en el equipo. Se determinó el parámetro de red para la fase de Ag 4.086 Å y la fase de AgCl de 5.552 Å, ambos correspondientes al grupo espacial F M -3 M (No. 225). De acuerdo con la ecuación de Scherrer aplicada a los resultados obtenidos el tamaño de cristalito para la fase de Ag es de 30.77 nm y de 64.27 nm para la fase de AgCl.
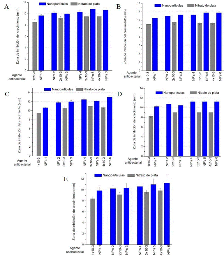
Las NP’s-Ag presentaron propiedades antibacterianas, observándose mayor inhibición de crecimiento bacteriano superior en comparación con el AgNO3 que fue utilizado como control positivo. Además, se presentó una ausencia total de inhibición bacteriana al utilizar el extracto de B. spectabilis por lo que no se consideró colocar en las gráficas (Figura 4), destacando así la eficacia antimicrobiana específica de las NP’s-Ag. La Figura 4 ilustra los halos de inhibición del crecimiento presentados por cada muestra de las nanopartículas de plata y el nitrato de plata en las cepas bacterianas evaluadas. Las barras azules representan las diferentes concentraciones de nanopartículas de plata (NP’s1, NP’s2, NP’s3, NP’s4, NP’s5 y NP’s6), mientras que las barras grises representan las concentraciones de nitrato de plata a las que fueron sintetizadas las diferentes NP’s-Ag, como se muestra en la Tabla 1. En ambos casos, tanto para las NP’s-Ag como para el AgNO3, se observa un incremento progresivo en el halo de inhibición del crecimiento bacteriano, desde las concentraciones más bajas hasta las más elevadas.

Figura. 4 Gráficas de los halos de inhibición del crecimiento para las muestras de nanopartículas de plata y nitrato de plata en A) S. aureus aislado clínico, B) K. pneumoniae ATCC, C) P. aeruginosa aislado clínico, D) E. coli aislado clínico y E) S. aureus ATCC. Nanopartículas=NP´s1, NP´s2, NP´s3, NP´s4, NP´s5 y NP´s6.
Figure. 4 Graphs of the growth inhibition zones for the silver nanoparticle and silver nitrate sample in A) S. aureus clinical isolate, B) K. pneumoniae ATCC, C) P. aeruginosa clinical isolate, D) E. coli clinical isolate and E) S. aureus ATCC. Nanoparticle=NP´s1, NP´s2, NP´s3, NP´s4, NP´s5 y NP´s6.
En el estudio de viabilidad celular se observaron alteraciones morfológicas como el crecimiento de vacuolas en las células tratadas con AgNO3, NP2 y NP3, observándose en algunos casos un gran número de células muertas teñidas de color azul y la membrana irregular, lo cual no se presentó en el control, extracto, NP1 y en diluciones de las muestras las NP´s Ag (Figura 5). Cabe señalar que se presentaron diferencias significativas, encontrando los siguientes valores de citotoxicidad, en el extracto (0.907, ± 0.020), el AgNO3 (0.678, ± 0.038), así como en las muestras NP1 (0.88, ± 0.059), NP2 (0.38, ± 0.046), NP21:100 (0.94, ± 0.028), NP3 (0.028, ± 0.004) y NP31:10 (0.78, ± 0.011). En el caso de la muestra NP11:10 (1.09, ± 0.072) se encontró una tendencia a aumentar el efecto proliferativo. Por su parte, no se apreció un cambio significativo en los tratamientos NP11:100 (0.96, ± 0.035), NP21:10 (0.97, ± 0.031) y NP31:100 (0.967, ± 0.009), como se puede apreciar en la Figura 6A.
En las pruebas de proliferación, se obtuvo que las NP1 (1.15, ± 0.11) aumentaron significativamente la actividad mitocondrial (proliferación celular), mientras que su contraparte los iones de plata la disminuyeron ligeramente, siendo las muestras NP2 (0.72, ± 0.078) y NP3 (0.409, ± 0.071) las que disminuyeron la actividad mitocondrial en mayor medida y con significancia estadística al compararse al control. Cabe señalar que la muestra NP3 tuvo una diferencia significativa con respeto al extracto en la disminución de la actividad mitocondrial (Figura 6B).
Discusión
De acuerdo con lo reportado por Hernandez-Martinez et al. (2011), la coloración violeta del extracto es causada por una familia de biomoléculas llamadas betacianinas extraídas que pudiesen ser: betanina, betanidina, indicaxantina y/o ácido betalámico; además de flavonoides como: apigenina 7-o-βglucopiranósido, rutina, quercetina; así como también fenoles: ácido clorogénico, ácido gálico (Nidhi et al., 2016). Que, debido a su arreglo estructural y grupos funcionales, estás moléculas podrían ser partícipes en la quelación, reducción o estabilización de las NP’s-Ag de manera activa o pasiva, debido a que son conocidas por presentar propiedades antioxidantes (Kumar et al., 2017). Estos componentes tienen la capacidad de actuar como agentes reductores, debido a que pueden generarse transformaciones tautoméricas en estas moléculas, de la forma enol a la forma ceto, desligando un átomo de hidrógeno reactivo para reducir los iones metálicos a NP’s. Además, estas moléculas son capaces de quelar los iones metálicos con sus grupos funcionales. Lo anterior implica que no solo están presentes en las fases iniciales de la nucleación de NP’s-Ag, sino también en la agregación de éstas a parte de su presencia en la bioreducción. Por ello, fue posible la biorreducción, agregación y estabilización de las NP’s-Ag como fue reportado por Pareek et al. (2012), quienes utilizaron únicamente las brácteas de una planta de la misma especie, pero de una variedad diferente.
Es importante destacar que, de acuerdo con la coloración obtenida del extracto, además de tomar en cuenta lo reportado por Hernandez-Martinez et al. en el 2011, donde ellos usando extractos acuosos de B. spectabilis les fue posible extraer betacianinas, lo que sugiere que es muy probable que en el proceso de extracción se obtuvieran estos componentes, los cuales son solubles en agua además de que presentan una coloración entre rojo-violeta, dependiendo del pH al que se encuentren. Asimismo, los autores mencionan que las betacianinas extraídas presentan picos máximos de absorbancia máxima en su espectro de UV-Vis aproximadamente en 535 nm, algo que en el espectro del extracto inicial se observa con un pico de absorción entre los 530 y 550 nm (Figura 1), y al pasar el tiempo esta banda desaparece completamente dando origen a las bandas de NP’s-Ag, lo que sugiere significativamente que estas biomoléculas tienen también un papel importante en el proceso de síntesis de dichas NP´s.
Es relevante resaltar una característica distintiva de estas NP’s, la cual se centra en su interacción con la radiación electromagnética. La tonalidad exhibida por las dispersiones de nanopartículas está directamente relacionada a su tamaño y forma, debido a la longitud de onda de la luz que dispersan y transmiten, por lo que la intensidad del color y absorbancia depende de la concentración a la que se encuentren. Lo anterior ocurre debido a las oscilaciones colectivas de los electrones de conducción, que, al ser excitados por la radiación electromagnética, generan un efecto denominado plasmón de resonancia superficial. Como ha sido ampliamente reportado por diversos autores como es el caso de Villanueva-Ibáñez et al. (2015), donde hacen mención que las NP’s-Ag exhiben un color marrón amarillento en solución acuosa debido a las vibraciones del plasmón de resonancia superficial en las NP’s-Ag. Lo anterior indica que el extracto es capaz de reducir los iones de plata de Ag1+ a Ag0 y hacer que estos átomos se agreguen formando las NP’s. Así, se comprueba que efectivamente los metabolitos están realizando la reducción, agregación y estabilización como se planteó anteriormente.
Como se puede observar en las imágenes MEB-EDS al igual que el patrón de difracción es algo que ha sido ampliamente reportado sin importar si se sintetizan las NP’s por métodos verdes o químicos, como lo ha sido reportado por Agasti y Kaushik (2014) al igual que Shaik et al. (2016).
El hecho de que las NP’s-Ag presenten mayor inhibición de crecimiento bacteriano se debe a que interactúan de manera diferente que los iones de Ag, algunos de los mecanismos hipotéticos planteados que pudieran estar ocurriendo son, a) la adhesión de las NP’s-Ag a la superficie de la pared celular y la membrana alterando la permeabilidad de estas, provocando cambios irreversibles en la estructura de la pared celular, dando lugar a su interrupción ocasionando posteriormente la liberación de diferentes biomoléculas, b) la penetración de NP’s-Ag dentro de la célula ocasionando daño de las estructuras intracelulares y biomoléculas (proteínas, lípidos y ADN), c) la inducción de toxicidad celular mediante el estrés oxidativo por la generación de especies reactivas de oxígeno (ROS) y radicales libres seguido por el agotamiento de la producción de ATP intracelular, produciendo la interrupción de la replicación del ADN y el daño del ADN y por último d) las uniones de NP’s-Ag y sus iones con diferentes enzimas inactivándolas, resultando en una falla en el metabolismo celular, como la respiración celular (Dakal et al., 2016).
Además, el efecto antibacteriano que se presentó con mayor eficacia en contra de las bacterias Gram-negativas a diferencia de su contraparte las Gram-positivas, es la derivación de diversos factores que influyen en el potencial antimicrobiano de las NP’s-Ag, como el espesor y la composición de la pared celular de los microorganismos. Lo anterior, a causa de que las bacterias Gram-negativas, como la E. coli, tienden a ser más susceptibles a estas NP’s, que las bacterias Grampositivas, como S. aureus, por la diferencia en la organización del peptidoglicano, el cual es el componente clave de la pared celular bacteriana y está cargado negativamente. Las bacterias Gram-positivas, caracterizadas por una pared celular con un espesor aproximado de 30 nm, difieren significativamente de las bacterias Gram-negativas, cuya pared celular tiene un grosor de aproximadamente 3-4 nm. Esta diferencia estructural conlleva a que la pared celular más gruesa de las bacterias Gram-positivas propicie una mayor adherencia de iones de plata y NP’s-Ag a su superficie (Villanueva-Ibáñez et al., 2015). Además, otro factor importante son los lipopolisacáridos presentes en la membrana celular, los cuales están en mayor cantidad en bacterias Gram-negativas y tienen de igual manera carga negativa promoviendo la adhesión de NP’s-Ag (Dakal et al., 2016). Por estas razones, las bacterias Gram-positivas, son comparativamente más resistente a la terapia con NP’s-Ag, caso contrario, las bacterias Gramnegativas son más susceptibles a la terapia antimicrobiana basada en NP’s-Ag debido a su pared celular menos densa y a su mayor cantidad de lipopolisacáridos, lo que es congruente con los resultados obtenidos en el presente estudio.
La internalización de las NP’s-Ag a las células eucariotas, son procesos que se desconocen en gran medida ya que cambian dependiendo de cada célula, se han planteado mecanismos hipotéticos para la captación de NP’s-Ag por las células que muy probablemente estarían ocurriendo en este estudio, los cuales incluyen la pinocitosis, la endocitosis dependiente de caveolina y clatrina y la fagocitosis (Zhang et al., 2016; Milić et al., 2014). Adicionalmente, las propiedades físicas de las NP’s-Ag juegan un papel importante, como por ejemplo su forma, el tamaño de partícula, en donde las NP’s más grandes son envueltas más rápido y producen suficiente energía para entrar a la célula, y las NP’s más pequeñas deben ser agrupadas porque su acoplamiento individual no produce suficiente energía para envolverlas completamente y ser ingresadas, así como también otras de las propiedades a considerar es la aglomeración de dichas NP´s ya que se ha mostrado un aumento en la captación de estas cuando se encuentran agregadas y finalmente otra de las propiedades es la carga superficial la cual controla la unión a diferentes moléculas y a las células, para posteriormente dirigir a las NP’s a los compartimentos celulares, todas estas propiedades desempeñan un papel crucial en su captación por las células (Zhang et al., 2016; Milić et al., 2014; McShan et al., 2014; Shannahan et al., 2015; Jiao et al., 2014; Zhang et al., 2015).
También es importante mencionar que una vez que las NP’sAg entran en las células, el destino de estas en las células se determina por varios factores, incluyendo la eficacia de la defensa antioxidante, la eficiencia de los sistemas de reparación del ADN, la propensión apoptótica y los mecanismos de señalización celular, por lo que, tomando en cuenta lo anterior su captación tiene dos etapas principales: La etapa de unión en la membrana celular y la etapa de internalización (Dakal et al., 2016; Zhang et al., 2016).
En general, las células son capaces de bioacumular Ag en su sistema. Las NP’s-Ag pueden ser oxidadas parcialmente en suspensión, lo que las conduce a la liberación lenta de Ag iónica, la cual es conocida como una de las formas más tóxicas de este metal pesado; por lo que, cualquier NP’s-Ag representa una fuente potencial de toxicidad causada por la liberación de Ag en solución acuosa, pero esta modificación in vitro o no de las NP’s-Ag depende de factores como el pH, la fuerza iónica, la viabilidad termodinámica, la concentración de la especie, la facilidad cinética de las transferencias de electrones, las condiciones redox de los medios biológicos y las condiciones intracelulares (Zhang et al., 2016; Milić et al., 2014; Monteiro-Riviere et al., 2013; Shannahan et al., 2015; Zhang et al., 2015; Kaba y Egorova, 2015), lo que nos lleva a considerar como perspectivas de este estudio realizar la evaluación de estos diferente factores para así poder explicar con mayor precisión por qué se observa menor viabilidad celular a concentraciones mayores de NP’s-Ag en comparación al AgNO3 utilizado.
Por otro lado, es lógico que la liberación de iones no explique toda la toxicidad. Existen otros factores secundarios que acompañan a la toxicidad de éste tipo de NP’s como la generación de especies reactivas de oxígeno (ROS), pues células expuestas a la NP’s-Ag, muestran aumentos en la citotoxicidad, la genotoxicidad, la respuesta inflamatoria y la activación de diversas rutas de señalización, asociado en gran medida a la generación de ROS y consecuentemente a la acumulación de estrés oxidativo. Los niveles intermedios de estrés oxidativo dentro de la célula pueden resultar en: la apertura de poros de transición de permeabilidad mitocondrial; la activación de cascadas de señalización celular, como la vía se señalización dependiente de la proteincinasa de activación mitogénica (MAPK); factores de transcripción , como AP-1, Nrf-2 y factor nuclear kappa-B (NF-kB) y citoquinas, como la quinasa regulada por señal extracelular (ERK), p38MAPK y JNK, dando como resultado un daño permanente a las células, en forma de la detención del ciclo celular en las fases G1 y S, esto debido a la interacción NP’s-proteínas ocasionando proteínas mal plegadas, conduciendo a daños en el ADN, las aberraciones cromosómicas, la apoptosis en la célula a través de la liberación de citocromo C en el citosol y la disfunción mitocondrial, causando afecciones a la cadena de la respiración mitocondrial (Dakal et al., 2016; Zhang et al., 2016; Milić et al., 2014; McShan et al., 2014; Monteiro-Riviere et al., 2013; Shannahan et al., 2015; Jiao et al., 2014; Zhang et al., 2015; Kaba y Egorova, 2015). Éste último es de gran importancia, ya que, sería una de las razones por la cual en el estudio de proliferación celular de las muestras NP´s2 y NP´s3, las cuales son las NP’s-Ag sintetizadas con mayor concentración de nitrato de plata se observa una disminución en la función mitocondrial, como podemos observar hay una gran cantidad de evaluaciones celulares y moleculares que se deben realizar para poder entender mejor la citotoxicidad de dichas nanopartículas.
Otros estudios han observado efectos completamente diferentes dependientes de las concentraciones. Si bien, la mayoría de resultados reportados muestran que las NP’s-Ag a dosis altas son considerablemente más tóxicas que los iones de éste metal, también han encontrado hallazgos intrigantes que sugieren que a dosis bajas las NP’s-Ag aceleran la proliferación celular, a diferencia de la plata iónica que a niveles similares no aumenta la viabilidad celular (McShan et al., 2014; Monteiro-Riviere et al., 2013; Shannahan et al., 2015; Jiao et al., 2014; Zhang et al., 2015; Kaba y Egorova, 2015; Samberg et al., 2010). Lo antes citado, corrobora los efectos proliferativos presentados con las dosis más bajas estudiadas en el ensayo de viabilidad celular de este trabajo. La actividad biológica de las NP’s-Ag depende de las biomoléculas presentes, entre ellas los aminoácidos, proteínas u otros compuestos orgánicos o inorgánicos. La Ag forma enlaces químicos fuertes con muchos compuestos presentes en entornos biológicos, los compuestos generados experimentan intercambios tautoméricos para preservar la estabilidad, siendo las uniones con azufre las que predominan, dado que termodinámicamente resulta más estable para las NPs-Ag. Estos enlazamientos con el azufre se corroboran mediante la presencia de una “corona” proteica formada en la superficie de las NP’s, que contribuye a la internalización de las NP’s a la célula y facilita las interacciones dentro de la célula para inducir o mitigar completamente la toxicidad (Dakal et al., 2016; Duran et al., 2015; Samberg et al., 2010). Lo antes mencionado, es una posible razón del porque a menores concentraciones se observa poca o nula toxicidad, pues se podrían estar generando estas coronas proteicas estabilizando las NP´s y mitigando los efectos de estrés oxidativo en las células tratadas.
Es importante señalar que Monteiro-Riviere et al. en el 2013, realizaron un trabajo con cantidades muy pequeñas de NP’s-Ag muy parecidas a las concentraciones utilizadas en este estudio, además usaron las células HEK-293T, y mencionan que las NP’s-Ag no eran tóxicas para las células, si no los contaminantes residuales que estas contenían lo que provocaba la citotoxicidad, estos contaminantes podrían estar presentes desde la síntesis de estas NP’s-Ag o incluso de restos de biomoléculas adheridas debido a la degradación de las NP’s-Ag dentro de la célula creando ROS que dañarían la maquinaria celular y el ADN, por lo que posiblemente el daño provocado por estas NP’s-Ag esta mediado por la concentración de compuestos del extracto que quedaron recubriendo a las NP’s.
Conclusiones
La biosíntesis de NP’s-Ag utilizando el extracto acuoso de B. spectabilis es un método simple, amigable con el medio ambiente y rápido para la obtención de estas NP’s. Las NP’sAg presentaron mayor inhibición del crecimiento bacteriano que el AgNO3, destacando su eficacia especialmente contra bacterias Gram negativas. Además, los resultados de los ensayos citotóxicos revelaron que las NP’s-Ag generadas presentan propiedades proliferativas a una concentración específica y citotóxicas cuando se tiene una concentración mayor de estas en las células HEK-293T, observando resultados prometedores a concentraciones más bajas, donde no se evidenciaron daños celulares y se logró apreciar un aumento en la proliferación celular. Para obtener una comprensión más sólida y perspectivas claras sobre el potencial uso beneficioso de las nanopartículas de plata (NP’s-Ag) en concentraciones óptimas, es fundamental profundizar en el análisis de los mecanismos moleculares y celulares asociados con los cambios observados in vitro en este estudio. Este enfoque permitirá una evaluación más precisa del equilibrio deseado entre la actividad citotóxica y proliferativa en las células examinadas, fortaleciendo así la base para considerar con mayor convicción la viabilidad y los beneficios potenciales de las NP’s-Ag considerando que tienen potenciales aplicaciones en el campo biomédico, por lo que podrían ser utilizadas en el tratamiento de infecciones, ya que pueden ser aplicadas en un sinfín de productos comerciales utilizados para el tratamiento de diversos padecimientos microbianos.
















